当前位置:首页>文档>专题19力学综合计算题(解析版)_赠送:2008-2024全套高考真题_高考物理真题_送高考物理五年真题(2019-2023)分项汇编(全国通用)

专题19力学综合计算题(解析版)_赠送:2008-2024全套高考真题_高考物理真题_送高考物理五年真题(2019-2023)分项汇编(全国通用)

  • 2026-03-20 17:55:27 2026-02-13 22:48:12

文档预览

专题19力学综合计算题(解析版)_赠送:2008-2024全套高考真题_高考物理真题_送高考物理五年真题(2019-2023)分项汇编(全国通用)
专题19力学综合计算题(解析版)_赠送:2008-2024全套高考真题_高考物理真题_送高考物理五年真题(2019-2023)分项汇编(全国通用)
专题19力学综合计算题(解析版)_赠送:2008-2024全套高考真题_高考物理真题_送高考物理五年真题(2019-2023)分项汇编(全国通用)
专题19力学综合计算题(解析版)_赠送:2008-2024全套高考真题_高考物理真题_送高考物理五年真题(2019-2023)分项汇编(全国通用)
专题19力学综合计算题(解析版)_赠送:2008-2024全套高考真题_高考物理真题_送高考物理五年真题(2019-2023)分项汇编(全国通用)
专题19力学综合计算题(解析版)_赠送:2008-2024全套高考真题_高考物理真题_送高考物理五年真题(2019-2023)分项汇编(全国通用)
专题19力学综合计算题(解析版)_赠送:2008-2024全套高考真题_高考物理真题_送高考物理五年真题(2019-2023)分项汇编(全国通用)
专题19力学综合计算题(解析版)_赠送:2008-2024全套高考真题_高考物理真题_送高考物理五年真题(2019-2023)分项汇编(全国通用)
专题19力学综合计算题(解析版)_赠送:2008-2024全套高考真题_高考物理真题_送高考物理五年真题(2019-2023)分项汇编(全国通用)
专题19力学综合计算题(解析版)_赠送:2008-2024全套高考真题_高考物理真题_送高考物理五年真题(2019-2023)分项汇编(全国通用)
专题19力学综合计算题(解析版)_赠送:2008-2024全套高考真题_高考物理真题_送高考物理五年真题(2019-2023)分项汇编(全国通用)
专题19力学综合计算题(解析版)_赠送:2008-2024全套高考真题_高考物理真题_送高考物理五年真题(2019-2023)分项汇编(全国通用)
专题19力学综合计算题(解析版)_赠送:2008-2024全套高考真题_高考物理真题_送高考物理五年真题(2019-2023)分项汇编(全国通用)
专题19力学综合计算题(解析版)_赠送:2008-2024全套高考真题_高考物理真题_送高考物理五年真题(2019-2023)分项汇编(全国通用)
专题19力学综合计算题(解析版)_赠送:2008-2024全套高考真题_高考物理真题_送高考物理五年真题(2019-2023)分项汇编(全国通用)
专题19力学综合计算题(解析版)_赠送:2008-2024全套高考真题_高考物理真题_送高考物理五年真题(2019-2023)分项汇编(全国通用)
专题19力学综合计算题(解析版)_赠送:2008-2024全套高考真题_高考物理真题_送高考物理五年真题(2019-2023)分项汇编(全国通用)
专题19力学综合计算题(解析版)_赠送:2008-2024全套高考真题_高考物理真题_送高考物理五年真题(2019-2023)分项汇编(全国通用)
专题19力学综合计算题(解析版)_赠送:2008-2024全套高考真题_高考物理真题_送高考物理五年真题(2019-2023)分项汇编(全国通用)
专题19力学综合计算题(解析版)_赠送:2008-2024全套高考真题_高考物理真题_送高考物理五年真题(2019-2023)分项汇编(全国通用)
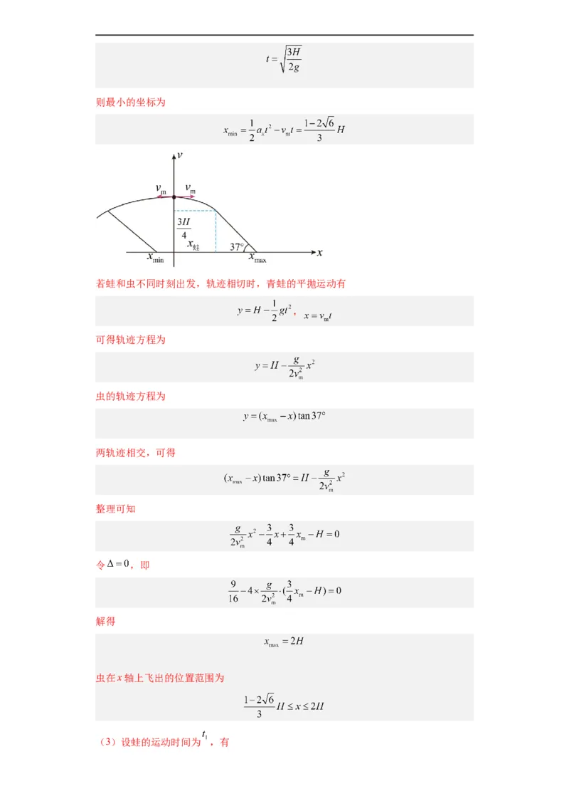
专题19力学综合计算题(解析版)_赠送:2008-2024全套高考真题_高考物理真题_送高考物理五年真题(2019-2023)分项汇编(全国通用)
专题19力学综合计算题(解析版)_赠送:2008-2024全套高考真题_高考物理真题_送高考物理五年真题(2019-2023)分项汇编(全国通用)
专题19力学综合计算题(解析版)_赠送:2008-2024全套高考真题_高考物理真题_送高考物理五年真题(2019-2023)分项汇编(全国通用)
专题19力学综合计算题(解析版)_赠送:2008-2024全套高考真题_高考物理真题_送高考物理五年真题(2019-2023)分项汇编(全国通用)
专题19力学综合计算题(解析版)_赠送:2008-2024全套高考真题_高考物理真题_送高考物理五年真题(2019-2023)分项汇编(全国通用)
专题19力学综合计算题(解析版)_赠送:2008-2024全套高考真题_高考物理真题_送高考物理五年真题(2019-2023)分项汇编(全国通用)
专题19力学综合计算题(解析版)_赠送:2008-2024全套高考真题_高考物理真题_送高考物理五年真题(2019-2023)分项汇编(全国通用)
专题19力学综合计算题(解析版)_赠送:2008-2024全套高考真题_高考物理真题_送高考物理五年真题(2019-2023)分项汇编(全国通用)
专题19力学综合计算题(解析版)_赠送:2008-2024全套高考真题_高考物理真题_送高考物理五年真题(2019-2023)分项汇编(全国通用)
专题19力学综合计算题(解析版)_赠送:2008-2024全套高考真题_高考物理真题_送高考物理五年真题(2019-2023)分项汇编(全国通用)
专题19力学综合计算题(解析版)_赠送:2008-2024全套高考真题_高考物理真题_送高考物理五年真题(2019-2023)分项汇编(全国通用)
专题19力学综合计算题(解析版)_赠送:2008-2024全套高考真题_高考物理真题_送高考物理五年真题(2019-2023)分项汇编(全国通用)
专题19力学综合计算题(解析版)_赠送:2008-2024全套高考真题_高考物理真题_送高考物理五年真题(2019-2023)分项汇编(全国通用)
专题19力学综合计算题(解析版)_赠送:2008-2024全套高考真题_高考物理真题_送高考物理五年真题(2019-2023)分项汇编(全国通用)
专题19力学综合计算题(解析版)_赠送:2008-2024全套高考真题_高考物理真题_送高考物理五年真题(2019-2023)分项汇编(全国通用)
专题19力学综合计算题(解析版)_赠送:2008-2024全套高考真题_高考物理真题_送高考物理五年真题(2019-2023)分项汇编(全国通用)
专题19力学综合计算题(解析版)_赠送:2008-2024全套高考真题_高考物理真题_送高考物理五年真题(2019-2023)分项汇编(全国通用)
专题19力学综合计算题(解析版)_赠送:2008-2024全套高考真题_高考物理真题_送高考物理五年真题(2019-2023)分项汇编(全国通用)
专题19力学综合计算题(解析版)_赠送:2008-2024全套高考真题_高考物理真题_送高考物理五年真题(2019-2023)分项汇编(全国通用)
专题19力学综合计算题(解析版)_赠送:2008-2024全套高考真题_高考物理真题_送高考物理五年真题(2019-2023)分项汇编(全国通用)
专题19力学综合计算题(解析版)_赠送:2008-2024全套高考真题_高考物理真题_送高考物理五年真题(2019-2023)分项汇编(全国通用)
专题19力学综合计算题(解析版)_赠送:2008-2024全套高考真题_高考物理真题_送高考物理五年真题(2019-2023)分项汇编(全国通用)
专题19力学综合计算题(解析版)_赠送:2008-2024全套高考真题_高考物理真题_送高考物理五年真题(2019-2023)分项汇编(全国通用)
专题19力学综合计算题(解析版)_赠送:2008-2024全套高考真题_高考物理真题_送高考物理五年真题(2019-2023)分项汇编(全国通用)
专题19力学综合计算题(解析版)_赠送:2008-2024全套高考真题_高考物理真题_送高考物理五年真题(2019-2023)分项汇编(全国通用)
专题19力学综合计算题(解析版)_赠送:2008-2024全套高考真题_高考物理真题_送高考物理五年真题(2019-2023)分项汇编(全国通用)
专题19力学综合计算题(解析版)_赠送:2008-2024全套高考真题_高考物理真题_送高考物理五年真题(2019-2023)分项汇编(全国通用)
专题19力学综合计算题(解析版)_赠送:2008-2024全套高考真题_高考物理真题_送高考物理五年真题(2019-2023)分项汇编(全国通用)
专题19力学综合计算题(解析版)_赠送:2008-2024全套高考真题_高考物理真题_送高考物理五年真题(2019-2023)分项汇编(全国通用)
专题19力学综合计算题(解析版)_赠送:2008-2024全套高考真题_高考物理真题_送高考物理五年真题(2019-2023)分项汇编(全国通用)
专题19力学综合计算题(解析版)_赠送:2008-2024全套高考真题_高考物理真题_送高考物理五年真题(2019-2023)分项汇编(全国通用)
专题19力学综合计算题(解析版)_赠送:2008-2024全套高考真题_高考物理真题_送高考物理五年真题(2019-2023)分项汇编(全国通用)
专题19力学综合计算题(解析版)_赠送:2008-2024全套高考真题_高考物理真题_送高考物理五年真题(2019-2023)分项汇编(全国通用)
专题19力学综合计算题(解析版)_赠送:2008-2024全套高考真题_高考物理真题_送高考物理五年真题(2019-2023)分项汇编(全国通用)
专题19力学综合计算题(解析版)_赠送:2008-2024全套高考真题_高考物理真题_送高考物理五年真题(2019-2023)分项汇编(全国通用)
专题19力学综合计算题(解析版)_赠送:2008-2024全套高考真题_高考物理真题_送高考物理五年真题(2019-2023)分项汇编(全国通用)
专题19力学综合计算题(解析版)_赠送:2008-2024全套高考真题_高考物理真题_送高考物理五年真题(2019-2023)分项汇编(全国通用)
专题19力学综合计算题(解析版)_赠送:2008-2024全套高考真题_高考物理真题_送高考物理五年真题(2019-2023)分项汇编(全国通用)
专题19力学综合计算题(解析版)_赠送:2008-2024全套高考真题_高考物理真题_送高考物理五年真题(2019-2023)分项汇编(全国通用)
专题19力学综合计算题(解析版)_赠送:2008-2024全套高考真题_高考物理真题_送高考物理五年真题(2019-2023)分项汇编(全国通用)
专题19力学综合计算题(解析版)_赠送:2008-2024全套高考真题_高考物理真题_送高考物理五年真题(2019-2023)分项汇编(全国通用)
专题19力学综合计算题(解析版)_赠送:2008-2024全套高考真题_高考物理真题_送高考物理五年真题(2019-2023)分项汇编(全国通用)
专题19力学综合计算题(解析版)_赠送:2008-2024全套高考真题_高考物理真题_送高考物理五年真题(2019-2023)分项汇编(全国通用)
专题19力学综合计算题(解析版)_赠送:2008-2024全套高考真题_高考物理真题_送高考物理五年真题(2019-2023)分项汇编(全国通用)
专题19力学综合计算题(解析版)_赠送:2008-2024全套高考真题_高考物理真题_送高考物理五年真题(2019-2023)分项汇编(全国通用)
专题19力学综合计算题(解析版)_赠送:2008-2024全套高考真题_高考物理真题_送高考物理五年真题(2019-2023)分项汇编(全国通用)
专题19力学综合计算题(解析版)_赠送:2008-2024全套高考真题_高考物理真题_送高考物理五年真题(2019-2023)分项汇编(全国通用)
专题19力学综合计算题(解析版)_赠送:2008-2024全套高考真题_高考物理真题_送高考物理五年真题(2019-2023)分项汇编(全国通用)
专题19力学综合计算题(解析版)_赠送:2008-2024全套高考真题_高考物理真题_送高考物理五年真题(2019-2023)分项汇编(全国通用)
专题19力学综合计算题(解析版)_赠送:2008-2024全套高考真题_高考物理真题_送高考物理五年真题(2019-2023)分项汇编(全国通用)
专题19力学综合计算题(解析版)_赠送:2008-2024全套高考真题_高考物理真题_送高考物理五年真题(2019-2023)分项汇编(全国通用)
专题19力学综合计算题(解析版)_赠送:2008-2024全套高考真题_高考物理真题_送高考物理五年真题(2019-2023)分项汇编(全国通用)
专题19力学综合计算题(解析版)_赠送:2008-2024全套高考真题_高考物理真题_送高考物理五年真题(2019-2023)分项汇编(全国通用)
专题19力学综合计算题(解析版)_赠送:2008-2024全套高考真题_高考物理真题_送高考物理五年真题(2019-2023)分项汇编(全国通用)
专题19力学综合计算题(解析版)_赠送:2008-2024全套高考真题_高考物理真题_送高考物理五年真题(2019-2023)分项汇编(全国通用)
专题19力学综合计算题(解析版)_赠送:2008-2024全套高考真题_高考物理真题_送高考物理五年真题(2019-2023)分项汇编(全国通用)
专题19力学综合计算题(解析版)_赠送:2008-2024全套高考真题_高考物理真题_送高考物理五年真题(2019-2023)分项汇编(全国通用)
专题19力学综合计算题(解析版)_赠送:2008-2024全套高考真题_高考物理真题_送高考物理五年真题(2019-2023)分项汇编(全国通用)
专题19力学综合计算题(解析版)_赠送:2008-2024全套高考真题_高考物理真题_送高考物理五年真题(2019-2023)分项汇编(全国通用)
专题19力学综合计算题(解析版)_赠送:2008-2024全套高考真题_高考物理真题_送高考物理五年真题(2019-2023)分项汇编(全国通用)
专题19力学综合计算题(解析版)_赠送:2008-2024全套高考真题_高考物理真题_送高考物理五年真题(2019-2023)分项汇编(全国通用)
专题19力学综合计算题(解析版)_赠送:2008-2024全套高考真题_高考物理真题_送高考物理五年真题(2019-2023)分项汇编(全国通用)
专题19力学综合计算题(解析版)_赠送:2008-2024全套高考真题_高考物理真题_送高考物理五年真题(2019-2023)分项汇编(全国通用)
专题19力学综合计算题(解析版)_赠送:2008-2024全套高考真题_高考物理真题_送高考物理五年真题(2019-2023)分项汇编(全国通用)
专题19力学综合计算题(解析版)_赠送:2008-2024全套高考真题_高考物理真题_送高考物理五年真题(2019-2023)分项汇编(全国通用)
专题19力学综合计算题(解析版)_赠送:2008-2024全套高考真题_高考物理真题_送高考物理五年真题(2019-2023)分项汇编(全国通用)
专题19力学综合计算题(解析版)_赠送:2008-2024全套高考真题_高考物理真题_送高考物理五年真题(2019-2023)分项汇编(全国通用)
专题19力学综合计算题(解析版)_赠送:2008-2024全套高考真题_高考物理真题_送高考物理五年真题(2019-2023)分项汇编(全国通用)
专题19力学综合计算题(解析版)_赠送:2008-2024全套高考真题_高考物理真题_送高考物理五年真题(2019-2023)分项汇编(全国通用)
专题19力学综合计算题(解析版)_赠送:2008-2024全套高考真题_高考物理真题_送高考物理五年真题(2019-2023)分项汇编(全国通用)
专题19力学综合计算题(解析版)_赠送:2008-2024全套高考真题_高考物理真题_送高考物理五年真题(2019-2023)分项汇编(全国通用)
专题19力学综合计算题(解析版)_赠送:2008-2024全套高考真题_高考物理真题_送高考物理五年真题(2019-2023)分项汇编(全国通用)
专题19力学综合计算题(解析版)_赠送:2008-2024全套高考真题_高考物理真题_送高考物理五年真题(2019-2023)分项汇编(全国通用)
专题19力学综合计算题(解析版)_赠送:2008-2024全套高考真题_高考物理真题_送高考物理五年真题(2019-2023)分项汇编(全国通用)
专题19力学综合计算题(解析版)_赠送:2008-2024全套高考真题_高考物理真题_送高考物理五年真题(2019-2023)分项汇编(全国通用)
专题19力学综合计算题(解析版)_赠送:2008-2024全套高考真题_高考物理真题_送高考物理五年真题(2019-2023)分项汇编(全国通用)
专题19力学综合计算题(解析版)_赠送:2008-2024全套高考真题_高考物理真题_送高考物理五年真题(2019-2023)分项汇编(全国通用)
专题19力学综合计算题(解析版)_赠送:2008-2024全套高考真题_高考物理真题_送高考物理五年真题(2019-2023)分项汇编(全国通用)
专题19力学综合计算题(解析版)_赠送:2008-2024全套高考真题_高考物理真题_送高考物理五年真题(2019-2023)分项汇编(全国通用)
专题19力学综合计算题(解析版)_赠送:2008-2024全套高考真题_高考物理真题_送高考物理五年真题(2019-2023)分项汇编(全国通用)
专题19力学综合计算题(解析版)_赠送:2008-2024全套高考真题_高考物理真题_送高考物理五年真题(2019-2023)分项汇编(全国通用)
专题19力学综合计算题(解析版)_赠送:2008-2024全套高考真题_高考物理真题_送高考物理五年真题(2019-2023)分项汇编(全国通用)
专题19力学综合计算题(解析版)_赠送:2008-2024全套高考真题_高考物理真题_送高考物理五年真题(2019-2023)分项汇编(全国通用)
专题19力学综合计算题(解析版)_赠送:2008-2024全套高考真题_高考物理真题_送高考物理五年真题(2019-2023)分项汇编(全国通用)
专题19力学综合计算题(解析版)_赠送:2008-2024全套高考真题_高考物理真题_送高考物理五年真题(2019-2023)分项汇编(全国通用)
专题19力学综合计算题(解析版)_赠送:2008-2024全套高考真题_高考物理真题_送高考物理五年真题(2019-2023)分项汇编(全国通用)
专题19力学综合计算题(解析版)_赠送:2008-2024全套高考真题_高考物理真题_送高考物理五年真题(2019-2023)分项汇编(全国通用)
专题19力学综合计算题(解析版)_赠送:2008-2024全套高考真题_高考物理真题_送高考物理五年真题(2019-2023)分项汇编(全国通用)
专题19力学综合计算题(解析版)_赠送:2008-2024全套高考真题_高考物理真题_送高考物理五年真题(2019-2023)分项汇编(全国通用)
专题19力学综合计算题(解析版)_赠送:2008-2024全套高考真题_高考物理真题_送高考物理五年真题(2019-2023)分项汇编(全国通用)
专题19力学综合计算题(解析版)_赠送:2008-2024全套高考真题_高考物理真题_送高考物理五年真题(2019-2023)分项汇编(全国通用)
专题19力学综合计算题(解析版)_赠送:2008-2024全套高考真题_高考物理真题_送高考物理五年真题(2019-2023)分项汇编(全国通用)
专题19力学综合计算题(解析版)_赠送:2008-2024全套高考真题_高考物理真题_送高考物理五年真题(2019-2023)分项汇编(全国通用)
专题19力学综合计算题(解析版)_赠送:2008-2024全套高考真题_高考物理真题_送高考物理五年真题(2019-2023)分项汇编(全国通用)
专题19力学综合计算题(解析版)_赠送:2008-2024全套高考真题_高考物理真题_送高考物理五年真题(2019-2023)分项汇编(全国通用)
专题19力学综合计算题(解析版)_赠送:2008-2024全套高考真题_高考物理真题_送高考物理五年真题(2019-2023)分项汇编(全国通用)
专题19力学综合计算题(解析版)_赠送:2008-2024全套高考真题_高考物理真题_送高考物理五年真题(2019-2023)分项汇编(全国通用)
专题19力学综合计算题(解析版)_赠送:2008-2024全套高考真题_高考物理真题_送高考物理五年真题(2019-2023)分项汇编(全国通用)
专题19力学综合计算题(解析版)_赠送:2008-2024全套高考真题_高考物理真题_送高考物理五年真题(2019-2023)分项汇编(全国通用)
专题19力学综合计算题(解析版)_赠送:2008-2024全套高考真题_高考物理真题_送高考物理五年真题(2019-2023)分项汇编(全国通用)
专题19力学综合计算题(解析版)_赠送:2008-2024全套高考真题_高考物理真题_送高考物理五年真题(2019-2023)分项汇编(全国通用)
专题19力学综合计算题(解析版)_赠送:2008-2024全套高考真题_高考物理真题_送高考物理五年真题(2019-2023)分项汇编(全国通用)
专题19力学综合计算题(解析版)_赠送:2008-2024全套高考真题_高考物理真题_送高考物理五年真题(2019-2023)分项汇编(全国通用)
专题19力学综合计算题(解析版)_赠送:2008-2024全套高考真题_高考物理真题_送高考物理五年真题(2019-2023)分项汇编(全国通用)
专题19力学综合计算题(解析版)_赠送:2008-2024全套高考真题_高考物理真题_送高考物理五年真题(2019-2023)分项汇编(全国通用)
专题19力学综合计算题(解析版)_赠送:2008-2024全套高考真题_高考物理真题_送高考物理五年真题(2019-2023)分项汇编(全国通用)
专题19力学综合计算题(解析版)_赠送:2008-2024全套高考真题_高考物理真题_送高考物理五年真题(2019-2023)分项汇编(全国通用)
专题19力学综合计算题(解析版)_赠送:2008-2024全套高考真题_高考物理真题_送高考物理五年真题(2019-2023)分项汇编(全国通用)
专题19力学综合计算题(解析版)_赠送:2008-2024全套高考真题_高考物理真题_送高考物理五年真题(2019-2023)分项汇编(全国通用)
专题19力学综合计算题(解析版)_赠送:2008-2024全套高考真题_高考物理真题_送高考物理五年真题(2019-2023)分项汇编(全国通用)
专题19力学综合计算题(解析版)_赠送:2008-2024全套高考真题_高考物理真题_送高考物理五年真题(2019-2023)分项汇编(全国通用)
专题19力学综合计算题(解析版)_赠送:2008-2024全套高考真题_高考物理真题_送高考物理五年真题(2019-2023)分项汇编(全国通用)
专题19力学综合计算题(解析版)_赠送:2008-2024全套高考真题_高考物理真题_送高考物理五年真题(2019-2023)分项汇编(全国通用)
专题19力学综合计算题(解析版)_赠送:2008-2024全套高考真题_高考物理真题_送高考物理五年真题(2019-2023)分项汇编(全国通用)
专题19力学综合计算题(解析版)_赠送:2008-2024全套高考真题_高考物理真题_送高考物理五年真题(2019-2023)分项汇编(全国通用)
专题19力学综合计算题(解析版)_赠送:2008-2024全套高考真题_高考物理真题_送高考物理五年真题(2019-2023)分项汇编(全国通用)
专题19力学综合计算题(解析版)_赠送:2008-2024全套高考真题_高考物理真题_送高考物理五年真题(2019-2023)分项汇编(全国通用)
专题19力学综合计算题(解析版)_赠送:2008-2024全套高考真题_高考物理真题_送高考物理五年真题(2019-2023)分项汇编(全国通用)
专题19力学综合计算题(解析版)_赠送:2008-2024全套高考真题_高考物理真题_送高考物理五年真题(2019-2023)分项汇编(全国通用)
专题19力学综合计算题(解析版)_赠送:2008-2024全套高考真题_高考物理真题_送高考物理五年真题(2019-2023)分项汇编(全国通用)
专题19力学综合计算题(解析版)_赠送:2008-2024全套高考真题_高考物理真题_送高考物理五年真题(2019-2023)分项汇编(全国通用)
专题19力学综合计算题(解析版)_赠送:2008-2024全套高考真题_高考物理真题_送高考物理五年真题(2019-2023)分项汇编(全国通用)
专题19力学综合计算题(解析版)_赠送:2008-2024全套高考真题_高考物理真题_送高考物理五年真题(2019-2023)分项汇编(全国通用)
专题19力学综合计算题(解析版)_赠送:2008-2024全套高考真题_高考物理真题_送高考物理五年真题(2019-2023)分项汇编(全国通用)
专题19力学综合计算题(解析版)_赠送:2008-2024全套高考真题_高考物理真题_送高考物理五年真题(2019-2023)分项汇编(全国通用)

文档信息

文档格式
docx
文档大小
5.814 MB
文档页数
141 页
上传时间
2026-02-13 22:48:12

文档内容

专题19 力学综合计算题 一、解答题 1.(2023·全国·统考高考真题)如图,一竖直固定的长直圆管内有一质量为M的静止 薄圆盘,圆盘与管的上端口距离为l,圆管长度为 。一质量为 的小球从管 的上端口由静止下落,并撞在圆盘中心,圆盘向下滑动,所受滑动摩擦力与其所受重 力大小相等。小球在管内运动时与管壁不接触,圆盘始终水平,小球与圆盘发生的碰 撞均为弹性碰撞且碰撞时间极短。不计空气阻力,重力加速度大小为g。求 (1)第一次碰撞后瞬间小球和圆盘的速度大小; (2)在第一次碰撞到第二次碰撞之间,小球与圆盘间的最远距离; (3)圆盘在管内运动过程中,小球与圆盘碰撞的次数。 【答案】(1)小球速度大小 ,圆盘速度大小 ;(2)l;(3)4 【详解】(1)过程1:小球释放后自由下落,下降 ,根据机械能守恒定律 解得 过程2:小球以 与静止圆盘发生弹性碰撞,根据能量守恒定律和动量守恒定律分 别有解得 即小球碰后速度大小 ,方向竖直向上,圆盘速度大小为 ,方向竖直向下; (2)第一次碰后,小球做竖直上抛运动,圆盘摩擦力与重力平衡,匀速下滑,所以只 要圆盘下降速度比小球快,二者间距就不断增大,当二者速度相同时,间距最大,即 解得 根据运动学公式得最大距离为 (3)第一次碰撞后到第二次碰撞时,两者位移相等,则有 即 解得 此时小球的速度 圆盘的速度仍为 ,这段时间内圆盘下降的位移 之后第二次发生弹性碰撞,根据动量守恒 根据能量守恒联立解得 同理可得当位移相等时 解得 圆盘向下运动 此时圆盘距下端管口13l,之后二者第三次发生碰撞,碰前小球的速度 有动量守恒 机械能守恒 得碰后小球速度为 圆盘速度 当二者即将四次碰撞时 x = x 盘3 球3 即得 在这段时间内,圆盘向下移动 此时圆盘距离下端管口长度为 20l-1l-2l-4l-6l = 7l 此时可得出圆盘每次碰后到下一次碰前,下降距离逐次增加2l,故若发生下一次碰撞, 圆盘将向下移动 x = 8l 盘4 则第四次碰撞后落出管口外,因此圆盘在管内运动的过程中,小球与圆盘的碰撞次数 为4次。 2.(2023·全国·统考高考真题)如图,光滑水平桌面上有一轻质弹簧,其一端固定在 墙上。用质量为m的小球压弹簧的另一端,使弹簧的弹性势能为 。释放后,小球在 弹簧作用下从静止开始在桌面上运动,与弹簧分离后,从桌面水平飞出。小球与水平 地面碰撞后瞬间,其平行于地面的速度分量与碰撞前瞬间相等;垂直于地面的速度分 量大小变为碰撞前瞬间的 。小球与地面碰撞后,弹起的最大高度为h。重力加速度 大小为g,忽略空气阻力。求 (1)小球离开桌面时的速度大小; (2)小球第一次落地点距桌面上其飞出点的水平距离。 【答案】(1) ;(2) 【详解】(1)由小球和弹簧组成的系统机械能守恒可知 得小球离开桌面时速度大小为(2)离开桌面后由平抛运动规律可得 第一次碰撞前速度的竖直分量为 ,由题可知 离开桌面后由平抛运动规律得 , 解得小球第一次落地点距桌面上其飞出的水平距离为 3.(2023·全国·统考高考真题)如图,水平桌面上固定一光滑U型金属导轨,其平行 部分的间距为 ,导轨的最右端与桌子右边缘对齐,导轨的电阻忽略不计。导轨所在区 域有方向竖直向上的匀强磁场,磁感应强度大小为 。一质量为 、电阻为 、长度 也为 的金属棒P静止在导轨上。导轨上质量为 的绝缘棒Q位于P的左侧,以大小 为 的速度向P运动并与P发生弹性碰撞,碰撞时间很短。碰撞一次后,P和Q先后 从导轨的最右端滑出导轨,并落在地面上同一地点。P在导轨上运动时,两端与导轨 接触良好,P与Q始终平行。不计空气阻力。求 (1)金属棒P滑出导轨时的速度大小; (2)金属棒P在导轨上运动过程中产生的热量; (3)与P碰撞后,绝缘棒Q在导轨上运动的时间。 【答案】(1) ;(2) ;(3)【详解】(1)由于绝缘棒Q与金属棒P发生弹性碰撞,根据动量守恒和机械能守恒可 得 联立解得 , 由题知,碰撞一次后,P和Q先后从导轨的最右端滑出导轨,并落在地面上同一地点, 则金属棒P滑出导轨时的速度大小为 (2)根据能量守恒有 解得 (3)P、Q碰撞后,对金属棒P分析,根据动量定理得 又 , 联立可得 由于Q为绝缘棒,无电流通过,做匀速直线运动,故Q运动的时间为 4.(2023·山东·统考高考真题)如图所示,物块A和木板B置于水平地面上,固定光 滑弧形轨道末端与B的上表面所在平面相切,竖直挡板P固定在地面上。作用在A上 的水平外力,使A与B以相同速度 向右做匀速直线运动。当B的左端经过轨道末端 时,从弧形轨道某处无初速度下滑的滑块C恰好到达最低点,并以水平速度v滑上B的上表面,同时撤掉外力,此时B右端与P板的距离为s。已知 , , , ,A与地面间无摩擦,B与地面间动摩擦因数 ,C与 B间动摩擦因数 ,B足够长,使得C不会从B上滑下。B与P、A的碰撞均为 弹性碰撞,不计碰撞时间,取重力加速度大小 。 (1)求C下滑的高度H; (2)与P碰撞前,若B与C能达到共速,且A、B未发生碰撞,求s的范围; (3)若 ,求B与P碰撞前,摩擦力对C做的功W; (4)若 ,自C滑上B开始至A、B、C三个物体都达到平衡状态,求这三个 物体总动量的变化量 的大小。 【答案】(1) ;(2) ;(3) ;(4) 【详解】(1)由题意可知滑块C静止滑下过程根据动能定理有 代入数据解得 (2)滑块C刚滑上B时可知C受到水平向左的摩擦力,为 木板B受到C的摩擦力水平向右,为 B受到地面的摩擦力水平向左,为 所以滑块C的加速度为 木板B的加速度为设经过时间t,B和C共速,有 1 代入数据解得 木板B的位移 共同的速度 此后B和C共同减速,加速度大小为 设再经过t 时间,物块A恰好祖上模板B,有 2 整理得 解得 , (舍去) 此时B的位移 共同的速度 综上可知满足条件的s范围为(3)由于 所以可知滑块C与木板B没有共速,对于木板B,根据运动学公式有 整理后有 解得 , (舍去) 滑块C在这段时间的位移 所以摩擦力对C做的功 (4)因为木板B足够长,最后的状态一定会是C与B静止,物块A向左匀速运动。 木板B向右运动0.48m时,有 此时A、B之间的距离为 由于B与挡板发生碰撞不损失能量,故将原速率反弹。接着B向左做匀减速运动,可 得加速度大小 物块A和木板B相向运动,设经过t 时间恰好相遇,则有 3 整理得解得 , (舍去) 此时有 方向向左; 方向向右。 接着A、B发生弹性碰撞,碰前A的速度为v=1m/s,方向向右,以水平向右为正方向, 0 则有 代入数据解得 而此时 物块A向左的速度大于木板B和C向右的速度,由于摩擦力的作用,最后B和C静止, A向左匀速运动,系统的初动量 末动量 则整个过程动量的变化量 即大小为9.02kg⋅m/s。 5.(2023·山东·统考高考真题)电磁炮灭火消防车(图甲)采用电磁弹射技术投射灭 火弹进入高层建筑快速灭火。电容器储存的能量通过电磁感应转化成灭火弹的动能,设置储能电容器的工作电压可获得所需的灭火弹出膛速度。如图乙所示,若电磁炮正 对高楼,与高楼之间的水平距离 ,灭火弹出膛速度 ,方向与水平面 夹角 ,不计炮口离地面高度及空气阻力,取重力加速度大小 , 。 (1)求灭火弹击中高楼位置距地面的高度H; (2)已知电容器储存的电能 ,转化为灭火弹动能的效率 ,灭火弹 的质量为 ,电容 ,电容器工作电压U应设置为多少? 【答案】(1)60m;(2) 【详解】(1)灭火弹做斜向上抛运动,则水平方向上有 竖直方向上有 代入数据联立解得 (2)根据题意可知 又因为 联立可得6.(2023·北京·统考高考真题)螺旋星系中有大量的恒星和星际物质,主要分布在半 径为R的球体内,球体外仅有极少的恒星。球体内物质总质量为M,可认为均匀分布, 球体内外的所有恒星都绕星系中心做匀速圆周运动,恒星到星系中心的距离为r,引力 常量为G。 (1)求 区域的恒星做匀速圆周运动的速度大小v与r的关系; (2)根据电荷均匀分布的球壳内试探电荷所受库仑力的合力为零,利用库仑力与万有 引力的表达式的相似性和相关力学知识,求 区域的恒星做匀速圆周运动的速度大 小v与r的关系; (3)科学家根据实测数据,得到此螺旋星系中不同位置的恒星做匀速圆周运动的速度 大小v随r的变化关系图像,如图所示,根据在 范围内的恒星速度大小几乎不变, 科学家预言螺旋星系周围( )存在一种特殊物质,称之为暗物质。暗物质与通常 的物质有引力相互作用,并遵循万有引力定律,求 内暗物质的质量 。 【答案】(1) ;(2) ;(3) 【详解】(1)由万有引力定律和向心力公式有 解得 (2)在 内部,星体质量 由万有引力定律和向心力公式有 解得(3)对处于R球体边缘的恒星,由万有引力定律和向心力公式有 对处于r=nR处的恒星,由万有引力定律和向心力公式有 解得 7.(2023·北京·统考高考真题)如图所示,质量为m的小球A用一不可伸长的轻绳悬 挂在O点,在O点正下方的光滑桌面上有一个与A完全相同的静止小球B,B距O点 的距离等于绳长L。现将A拉至某一高度,由静止释放,A以速度v在水平方向和B 发生正碰并粘在一起。重力加速度为g。求: (1)A释放时距桌面的高度H; (2)碰撞前瞬间绳子的拉力大小F; (3)碰撞过程中系统损失的机械能 。 【答案】(1) ;(2) ;(3) 【详解】(1)A释放到与B碰撞前,根据动能定理得 解得 (2)碰前瞬间,对A由牛顿第二定律得解得 (3)A、B碰撞过程中,根据动量守恒定律得 解得 则碰撞过程中损失的机械能为 8.(2023·海南·统考高考真题)如图所示,有一固定的光滑 圆弧轨道,半径 ,一质量为 的小滑块B从轨道顶端滑下,在其冲上长木板C左端时, 给木板一个与小滑块相同的初速度,已知 ,B、C间动摩擦因数 ,C与 地面间的动摩擦因数 ,C右端有一个挡板,C长为 。 求: (1) 滑到 的底端时对 的压力是多大? (2)若 未与 右端挡板碰撞,当 与地面保持相对静止时, 间因摩擦产生的 热量是多少? (3)在 时,B与C右端挡板发生碰撞,且碰后粘在一起,求 从滑 上 到最终停止所用的时间。 【答案】(1)30N;(2)1.6J;(3) 【详解】(1)滑块下滑到轨道底部,有解得 在底部,根据牛顿第二定律 解得 由牛顿第三定律可知B对A的压力是 。 (2)当B滑上C后,对B分析,受摩擦力力向左,根据牛顿第二定律得 解得加速度向左为 对C分析,受B向右的摩擦力 和地面向左的摩擦力 根据牛顿第二定律 解得其加速度向左为 由运动学位移与速度关系公式 ,得B向右运动的距离 C向右运动距离 由功能关系可知,B、C间摩擦产生的热量可得 (3)由上问可知,若B还末与C上挡板碰撞,C先停下,用时为 ,有 解得 B的位移为 则此刻的相对位移为 此时 由 ,一定是C停下之后,B才与C上挡板碰撞。设再经 时间B与C挡板碰 撞,有 解得 碰撞时B速度为 碰撞时由动量守恒可得 解得碰撞后B、C速度为 之后二者一起减速,根据牛顿第二定律得后再经 后停下,则有 故 从滑上 到最终停止所用的时间总时间 9.(2023·辽宁·统考高考真题)某大型水陆两柄飞机具有水面滑行汲水和空中投水等 功能。某次演练中,该飞机在水而上由静止开始匀加速直线滑行并汲水,速度达到 v₁=80m/s时离开水面,该过程滑行距离L=1600m、汲水质量m=1.0×10⁴kg。离开水面后, 飞机琴升高度h=100m时速度达到v₂=100m/s,之后保持水平匀速飞行,待接近目标时 开始空中投水。取重力加速度g=10m/s²。求: (1)飞机在水面滑行阶段的加速度a的大小及滑行时间t; (2)整个攀升阶段,飞机汲取的水的机械能增加量ΔE。 【答案】(1) , ;(2) 【详解】(1)飞机做从静止开始做匀加速直线运动,平均速度为 ,则 解得飞机滑行的时间为 飞机滑行的加速度为 (2)飞机从水面至 处,水的机械能包含水的动能和重力势能,则机械能变化 量为 10.(2023·江苏·统考高考真题)如图所示,滑雪道AB由坡道和水平道组成,且平滑 连接,坡道倾角均为45°。平台BC与缓冲坡CD相连。若滑雪者从P点由静止开始下 滑,恰好到达B点。滑雪者现从A点由静止开始下滑,从B点飞出。已知A、P间的距离为d,滑雪者与滑道间的动摩擦因数均为 ,重力加速度为g,不计空气阻力。 (1)求滑雪者运动到P点的时间t; (2)求滑雪者从B点飞出的速度大小v; (3)若滑雪者能着陆在缓冲坡CD上,求平台BC的最大长度L。 【答案】(1) ;(2) ;(3) 【详解】(1)滑雪者从A到P根据动能定理有 根据动量定理有 联立解得 (2)由于滑雪者从P点由静止开始下滑,恰好到达B点,故从P点到B点合力做功为 0,所以当从A点下滑时,到达B点有 (3)当滑雪者刚好落在C点时,平台BC的长度最大;滑雪者从B点飞出做斜抛运动, 竖直方向上有 水平方向上有联立可得 11.(2023·江苏·统考高考真题)“转碟”是传统的杂技项目,如图所示,质量为m 的发光物体放在半径为r的碟子边缘,杂技演员用杆顶住碟子中心,使发光物体随碟 子一起在水平面内绕A点做匀速圆周运动。当角速度为 时,碟子边缘看似一个光环。 求此时发光物体的速度大小 和受到的静摩擦力大小f。 【答案】 ; 【详解】发光体的速度 发光体做匀速圆周运动,则静摩擦力充当做圆周运动的向心力,则静摩擦力大小为 12.(2023·天津·统考高考真题)已知A、B两物体 , ,A物体从 处自由下落,且同时B物体从地面竖直上抛,经过 相遇碰撞后,两物 体立刻粘在一起运动,已知重力加速度 ,求: (1)碰撞时离地高度x; (2)碰后速度v; (3)碰撞损失机械能 。 【答案】(1)1m;(2)0;(3)12J 【详解】(1)对物块A,根据运动学公式可得(2)设B物体从地面竖直上抛的初速度为 ,根据运动学公式可知 即 解得 可得碰撞前A物块的速度 方向竖直向下; 碰撞前B物块的速度 方向竖直向上; 选向下为正方向,由动量守恒可得 解得碰后速度 v=0 (3)根据能量守恒可知碰撞损失的机械能 13.(2023·湖北·统考高考真题)如图为某游戏装置原理示意图。水平桌面上固定一半 圆形竖直挡板,其半径为2R、内表面光滑,挡板的两端A、B在桌面边缘,B与半径 为R的固定光滑圆弧轨道 在同一竖直平面内,过C点的轨道半径与竖直方向的夹 角为60°。小物块以某一水平初速度由A点切入挡板内侧,从B点飞出桌面后,在C 点沿圆弧切线方向进入轨道 内侧,并恰好能到达轨道的最高点D。小物块与桌面 之间的动摩擦因数为 ,重力加速度大小为g,忽略空气阻力,小物块可视为质点。 求:(1)小物块到达D点的速度大小; (2)B和D两点的高度差; (3)小物块在A点的初速度大小。 【答案】(1) ;(2)0;(3) 【详解】(1)由题知,小物块恰好能到达轨道的最高点D,则在D点有 解得 (2)由题知,小物块从C点沿圆弧切线方向进入轨道 内侧,则在C点有 小物块从C到D的过程中,根据动能定理有 则小物块从B到D的过程中,根据动能定理有 联立解得 ,H = 0 BD (3)小物块从A到B的过程中,根据动能定理有 S = π∙2R 解得14.(2023·浙江·统考高考真题)利用磁场实现离子偏转是科学仪器中广泛应用的技术。 如图所示,Oxy平面(纸面)的第一象限内有足够长且宽度均为L、边界均平行x轴的 区域Ⅰ和Ⅱ,其中区域存在磁感应强度大小为B 的匀强磁场,区域Ⅱ存在磁感应强度 1 大小为B 的磁场,方向均垂直纸面向里,区域Ⅱ的下边界与x轴重合。位于 处的 2 离子源能释放出质量为m、电荷量为q、速度方向与x轴夹角为60°的正离子束,沿纸 面射向磁场区域。不计离子的重力及离子间的相互作用,并忽略磁场的边界效应。 (1)求离子不进入区域Ⅱ的最大速度v 及其在磁场中的运动时间t; 1 (2)若 ,求能到达 处的离子的最小速度v; 2 (3)若 ,且离子源射出的离子数按速度大小均匀地分布在 范围, 求进入第四象限的离子数与总离子数之比η。 【答案】(1) ; (2) (3)60 % 【详解】(1)当离子不进入磁场Ⅱ速度最大时,轨迹与边界相切,则由几何关系 解得 r=2L 1 根据 解得 在磁场中运动的周期运动时间 (2)若B=2B,根据 2 1 可知 粒子在磁场中运动轨迹如图,设OO 与磁场边界夹角为α,由几何关系 1 2 解得 r=2L 2 根据 解得 (3)当最终进入区域Ⅱ的粒子若刚好到达x轴,则由动量定理即 求和可得 粒子从区域Ⅰ到区域Ⅱ最终到x轴上的过程中 解得 则速度在 ~ 之间的粒子才能进入第四象限;因离子源射出粒子的速度范围 在 ~ ,又粒子源射出的粒子个数按速度大小均匀分布,可知能进入第四象 限的粒子占粒子总数的比例为 η=60% 15.(2023·浙江·统考高考真题)为了探究物体间碰撞特性,设计了如图所示的实验装 置。水平直轨道AB、CD和水平传送带平滑无缝连接,两半径均为 的四分之 一圆周组成的竖直细圆弧管道DEF与轨道CD和足够长的水平直轨道FG平滑相切连 接。质量为3m的滑块b与质量为2m的滑块c用劲度系数 的轻质弹簧连接, 静置于轨道FG上。现有质量 的滑块a以初速度 从D处进入, 经DEF管道后,与FG上的滑块b碰撞(时间极短)。已知传送带长 ,以 的速率顺时针转动,滑块a与传送带间的动摩擦因数 ,其它摩擦和阻 力均不计,各滑块均可视为质点,弹簧的弹性势能 (x为形变量)。 (1)求滑块a到达圆弧管道DEF最低点F时速度大小v 和所受支持力大小F ; F N (2)若滑块a碰后返回到B点时速度 ,求滑块a、b碰撞过程中损失的机械 能 ;(3)若滑块a碰到滑块b立即被粘住,求碰撞后弹簧最大长度与最小长度之差 。 【答案】(1)10m/s;31.2;(2)0;(3)0.2m 【详解】(1)滑块a从D到F,由能量关系 在F点 解得 F =31.2N N (2)滑块a返回B点时的速度v =1m/s,滑块a一直在传送带上减速,加速度大小为 B 根据 可得在C点的速度 v =3m/s C 则滑块a从碰撞后到到达C点 解得 v=5m/s 1 因ab碰撞动量守恒,则 解得碰后b的速度 v=5m/s 2则碰撞损失的能量 (3)若滑块a碰到滑块b立即被粘住,则ab碰后的共同速度 解得 v=2.5m/s 当弹簧被压缩到最短或者伸长到最长时有共同速度 则 当弹簧被压缩到最短时压缩量为x,由能量关系 1 解得 同理当弹簧被拉到最长时伸长量为 x=x 2 1 则弹簧最大长度与最小长度之差 16.(2023·湖南·统考高考真题)如图,质量为 的匀质凹槽放在光滑水平地面上, 凹槽内有一个半椭圆形的光滑轨道,椭圆的半长轴和半短轴分别为 和 ,长轴水平, 短轴竖直.质量为 的小球,初始时刻从椭圆轨道长轴的右端点由静止开始下滑.以 初始时刻椭圆中心的位置为坐标原点,在竖直平面内建立固定于地面的直角坐标系 ,椭圆长轴位于 轴上。整个过程凹槽不翻转,重力加速度为 。 (1)小球第一次运动到轨道最低点时,求凹槽的速度大小以及凹槽相对于初始时刻运 动的距离; (2)在平面直角坐标系 中,求出小球运动的轨迹方程; (3)若 ,求小球下降 高度时,小球相对于地面的速度大小(结果用 及 表示)。【答案】(1) , ;(2) ; (3) 【详解】(1)小球运动到最低点的时候小球和凹槽水平方向系统动量守恒,取向左为 正 小球运动到最低点的过程中系统机械能守恒 联立解得 因水平方向在任何时候都动量守恒即 两边同时乘t可得 且由几何关系可知 联立得 (2)小球向左运动过程中凹槽向右运动,当小球的坐标为 时,此时凹槽水平向 右运动的位移为 ,根据上式有则小球现在在凹槽所在的椭圆上,根据数学知识可知此时的椭圆方程为 整理得 ( ) (3)将 代入小球的轨迹方程化简可得 即此时小球的轨迹为以 为圆心,b为半径的圆,则当小球下降的高度为 时有 如图 此时可知速度和水平方向的的夹角为 ,小球下降 的过程中,系统水平方向动量守 恒 系统机械能守恒 联立得17.(2023·湖北·统考高考真题)如图所示,空间存在磁感应强度大小为B、垂直于 xOy平面向里的匀强磁场。t = 0时刻,一带正电粒子甲从点P(2a,0)沿y轴正方向 射入,第一次到达点O时与运动到该点的带正电粒子乙发生正碰。碰撞后,粒子甲的 速度方向反向、大小变为碰前的3倍,粒子甲运动一个圆周时,粒子乙刚好运动了两 个圆周。己知粒子甲的质量为m,两粒子所带电荷量均为q。假设所有碰撞均为弹性正 碰,碰撞时间忽略不计,碰撞过程中不发生电荷转移,不考虑重力和两粒子间库仑力 的影响。求: (1)第一次碰撞前粒子甲的速度大小; (2)粒子乙的质量和第一次碰撞后粒子乙的速度大小; (3) 时刻粒子甲、乙的位置坐标,及从第一次碰撞到 的过程中粒子 乙运动的路程。(本小问不要求写出计算过程,只写出答案即可) 【答案】(1) ;(2) , ;(3)甲(-6a,0),乙(0,0),67πa 【详解】(1)由题知,粒子甲从点P(2a,0)沿y轴正方向射入到达点O,则说明粒 子甲的半径 r = a 根据 解得 (2)由题知,粒子甲运动一个圆周时,粒子乙刚好运动了两个圆周,则 T = 2T 甲 乙 根据 ,有则 粒子甲、乙碰撞过程,取竖直向下为正有 mv +m v = -mv +m v 甲0 乙 乙0 甲1 乙 乙1 解得 v = -5v ,v = 3v 乙0 甲0 乙1 甲0 则第一次碰撞后粒子乙的速度大小为 。 (3)已知在 时,甲、乙粒子发生第一次碰撞且碰撞后有 v = -3v ,v = 3v 甲1 甲0 乙1 甲0 则根据 ,可知此时乙粒子的运动半径为 可知在 时,甲、乙粒子发生第二次碰撞,且甲、乙粒子发生第一次碰撞到第 二次碰撞过程中乙粒子运动了2圈,此过程中乙粒子走过的路程为 S= 6πa 1 且在第二次碰撞时有 mv +m v = mv +m v 甲1 乙 乙1 甲2 乙 乙2 解得 v = v ,v = -5v 甲2 甲0 乙2 甲0 可知在 时,甲、乙粒子发生第三次碰撞,且甲、乙粒子发生第二次碰撞到第 三次碰撞过程中乙粒子运动了2圈,此过程中乙粒子走过的路程为 S= 10πa 2 且在第三次碰撞时有mv +m v = mv +m v 甲2 乙 乙2 甲3 乙 乙3 解得 v = -3v ,v = 3v 甲3 甲0 乙3 甲0 依次类推 在 时,甲、乙粒子发生第九次碰撞,且甲、乙粒子发生第八次碰撞到第九次 碰撞过程中乙粒子运动了2圈,此过程中乙粒子走过的路程为 S= 10πa 8 且在第九次碰撞时有 mv +m v = mv +m v 甲8 乙 乙8 甲9 乙 乙9 解得 v =-3v ,v = 3v 甲9 甲0 乙9 甲0 在 到 过程中,甲粒子刚好运动半周,且甲粒子的运动半径为 r = 3a 甲1 则 时甲粒子运动到P点即(-6a,0)处。 在 到 过程中,乙粒子刚好运动一周,则 时乙粒子回到坐标 原点,且此过程中乙粒子走过的路程为 S = 3πa 0 故整个过程中乙粒子走过总路程为 S = 4 × 6πa+4 × 10πa+3πa = 67πa 18.(2023·山西·统考高考真题)将扁平的石子向水面快速抛出,石子可能会在水面上 一跳一跳地飞向远方,俗称“打水漂”。要使石子从水面跳起产生“水漂”效果,石 子接触水面时的速度方向与水面的夹角不能大于θ。为了观察到“水漂”,一同学将 一石子从距水面高度为h处水平抛出,抛出速度的最小值为多少?(不计石子在空中 飞行时的空气阻力,重力加速度大小为g) 【答案】【详解】石子做平抛运动,竖直方向做自由落体运动,则有 可得落到水面上时的竖直速度 由题意可知 即 石子抛出速度的最小值为 。 19.(2023·全国·统考高考真题)分别沿x轴正向和负向传播的两列简谐横波P、Q的 振动方向相同,振幅均为5cm,波长均为8m,波速均为4m/s。 时刻,P波刚好传播 到坐标原点,该处的质点将自平衡位置向下振动;Q波刚好传到 处,该处的质 点将自平衡位置向上振动。经过一段时间后,两列波相遇。 (1)在答题卡给出的坐标图上分别画出P、Q两列波在 时刻的波形图(P波用 虚线,Q波用实线); (2)求出图示范围内的介质中,因两列波干涉而振动振幅最大和振幅最小的平衡位置。 【答案】(1) ;(2)见解析【详解】(1)根据 得 可知 时P波刚好传播到 处,Q波刚好传播到 处,根据上坡下坡法 可得波形图如图所示 (2)两列波在图示范围内任一位置的波程差为 根据题意可知,P、Q两波振动频率相同,振动方向相反,两波叠加时,振动加强点的 条件为到两波源的距离差 解得振幅最大的平衡位置有 、 振动减弱的条件为 解得振幅最小的平衡位置有 、 、 20.(2023·浙江·高考真题)一游戏装置竖直截面如图所示,该装置由固定在水平地面 上倾角 的直轨道 、螺旋圆形轨道 ,倾角 的直轨道 、水平 直轨道 组成,除 段外各段轨道均光滑,且各处平滑连接。螺旋圆形轨道与轨道 、 相切于 处.凹槽 底面 水平光滑,上面放有一无动力摆渡车, 并紧靠在竖直侧壁 处,摆渡车上表面与直轨道下 、平台 位于同一水平面。 已知螺旋圆形轨道半径 ,B点高度为 , 长度 , 长度 ,摆渡车长度 、质量 。将一质量也为 的滑块从倾斜轨道 上高度 处静止释放,滑块在 段运动时的阻力为其重力的0.2倍。(摆渡车 碰到竖直侧壁 立即静止,滑块视为质点,不计空气阻力, ,) (1)求滑块过C点的速度大小 和轨道对滑块的作用力大小 ; (2)摆渡车碰到 前,滑块恰好不脱离摆渡车,求滑块与摆渡车之间的动摩擦因数 ; (3)在(2)的条件下,求滑块从G到J所用的时间 。 【答案】(1) , ;(2) ;(3) 【详解】(1)滑块从静止释放到C点过程,根据动能定理可得 解得 滑块过C点时,根据牛顿第二定律可得 解得 (2)设滑块刚滑上摆渡车时的速度大小为 ,从静止释放到G点过程,根据动能定理 可得 解得 摆渡车碰到 前,滑块恰好不脱离摆渡车,说明滑块到达摆渡车右端时刚好与摆渡车 共速 ,以滑块和摆渡车为系统,根据系统动量守恒可得解得 根据能量守恒可得 解得 (3)滑块从滑上摆渡车到与摆渡车共速过程,滑块的加速度大小为 所用时间为 此过程滑块通过的位移为 滑块与摆渡车共速后,滑块与摆渡车一起做匀速直线运动,该过程所用时间为 则滑块从G到J所用的时间为 21.(2022·天津·高考真题)冰壶是冬季奥运会上非常受欢迎的体育项目。如图所示, 运动员在水平冰面上将冰壶A推到M点放手,此时A的速度 ,匀减速滑行 到达N点时,队友用毛刷开始擦A运动前方的冰面,使A与 间冰面的动 摩擦因数减小,A继续匀减速滑行 ,与静止在P点的冰壶B发生正碰,碰后 瞬间A、B的速度分别为 和 。已知A、B质量相同,A与 间冰面的动摩擦因数 ,重力加速度 取 ,运动过程中两冰壶均视为质点,A、B碰撞时间极短。求冰壶A (1)在N点的速度 的大小; (2)与 间冰面的动摩擦因数 。 【答案】(1) ;(2) 【详解】(1)设冰壶质量为 ,A受到冰面的支持力为 ,由竖直方向受力平衡,有 设A在 间受到的滑动摩擦力为 ,则有 设A在 间的加速度大小为 ,由牛顿第二定律可得 联立解得 由速度与位移的关系式,有 代入数据解得 (2)设碰撞前瞬间A的速度为 ,由动量守恒定律可得 解得设A在 间受到的滑动摩擦力为 ,则有 由动能定理可得 联立解得 22.(2022·福建·高考真题)如图,L形滑板A静置在粗糙水平面上,滑板右端固定一 劲度系数为 的轻质弹簧,弹簧左端与一小物块B相连,弹簧处于原长状态。一小物 块C以初速度 从滑板最左端滑入,滑行 后与B发生完全非弹性碰撞(碰撞时间极 短),然后一起向右运动;一段时间后,滑板A也开始运动.已知A、B、C的质量均 为 ,滑板与小物块、滑板与地面之间的动摩擦因数均为 ,重力加速度大小为 ; 最大静摩擦力近似等于滑动摩擦力,弹簧始终处于弹性限度内。求: (1)C在碰撞前瞬间的速度大小; (2)C与B碰撞过程中损失的机械能; (3)从C与B相碰后到A开始运动的过程中,C和B克服摩擦力所做的功。 【答案】(1) ;(2) ;(3) 【详解】(1)小物块C运动至刚要与物块B相碰过程,根据动能定理可得 解得C在碰撞前瞬间的速度大小为 (2)物块B、C碰撞过程,根据动量守恒可得 解得物块B与物块C碰后一起运动的速度大小为故C与B碰撞过程中损失的机械能为 (3)滑板A刚要滑动时,对滑板A,由受力平衡可得 解得弹簧的压缩量,即滑板A开始运动前物块B和物块C一起运动的位移大小为 从C与B相碰后到A开始运动的过程中,C和B克服摩擦力所做的功为 23.(2022·福建·高考真题)清代乾隆的《冰嬉赋》用“躄躠”(可理解为低身斜体) 二字揭示了滑冰的动作要领。 短道速滑世界纪录由我国运动员武大靖创造并保持。 在其创造纪录的比赛中, (1)武大靖从静止出发,先沿直道加速滑行,前 用时 。该过程可视为匀加速直 线运动,求此过程加速度大小; (2)武大靖途中某次过弯时的运动可视为半径为 的匀速圆周运动,速度大小为 。已知武大靖的质量为 ,求此次过弯时所需的向心力大小; (3)武大靖通过侧身来调整身体与水平冰面的夹角,使场地对其作用力指向身体重心 而实现平稳过弯,如图所示。求武大靖在(2)问中过弯时身体与水平面的夹角 的大 小。(不计空气阻力,重力加速度大小取 , 、 、 、 ) 【答案】(1) ;(2) ;(3) 【详解】(1)设武大靖运动过程的加速度大小为 ,根据 解得(2)根据 解得过弯时所需的向心力大小为 (3)设场地对武大靖的作用力大小为 ,受力如图所示 根据牛顿第二定律可得 解得 可得 24.(2022·重庆·高考真题)小明设计了一个青蛙捉飞虫的游戏,游戏中蛙和虫都在 竖直平面内运动。虫可以从水平x轴上任意位置处由静止开始做匀加速直线运动, 每次运动的加速度大小恒为 (g为重力加速度),方向均与x轴负方向成 斜向 上(x轴向右为正)。蛙位于y轴上M点处, ,能以不同速率向右或向左水平 跳出,蛙运动过程中仅受重力作用。蛙和虫均视为质点,取 。 (1)若虫飞出一段时间后,蛙以其最大跳出速率向右水平跳出,在 的高度捉 住虫时,蛙与虫的水平位移大小之比为 ,求蛙的最大跳出速率。(2)若蛙跳出的速率不大于(1)问中的最大跳出速率,蛙跳出时刻不早于虫飞出时 刻,虫能被捉住,求虫在x轴上飞出的位置范围。 (3)若虫从某位置飞出后,蛙可选择在某时刻以某速率跳出,捉住虫时蛙与虫的运动 时间之比为 ;蛙也可选择在另一时刻以同一速率跳出,捉住虫时蛙与虫的运动时 间之比为 。求满足上述条件的虫飞出的所有可能位置及蛙对应的跳出速率。 【答案】(1) ;(2) ;(3) , 或 , 【详解】(1)虫子做匀加速直线运动,青蛙做平抛运动,由几何关系可知 青蛙做平抛运动,设时间为 ,有 联立解得 , (2)若蛙和虫同时开始运动,时间均为 ,则虫的水平分加速度和竖直分加速度分别 为 , 相遇时有 解得则最小的坐标为 若蛙和虫不同时刻出发,轨迹相切时,青蛙的平抛运动有 , 可得轨迹方程为 虫的轨迹方程为 两轨迹相交,可得 整理可知 令 ,即 解得 虫在x轴上飞出的位置范围为 (3)设蛙的运动时间为 ,有解得 , 若青蛙两次都向右跳出,则 解得 , 若青蛙一次向左跳出,一次向右跳出,则 解得 , 25.(2022·北京·高考真题)利用物理模型对问题进行分析,是重要的科学思维方法。 (1)某质量为m的行星绕太阳运动的轨迹为椭圆,在近日点速度为v,在远日点速度 1 为v。求从近日点到远日点过程中太阳对行星所做的功W; 2 (2)设行星与恒星的距离为r,请根据开普勒第三定律( )及向心力相关知识, 证明恒星对行星的作用力F与r的平方成反比; (3)宇宙中某恒星质量是太阳质量的2倍,单位时间内向外辐射的能量是太阳的16 倍。设想地球“流浪”后绕此恒星公转,且在新公转轨道上的温度与“流浪”前一样。 地球绕太阳公转的周期为T,绕此恒星公转的周期为T,求 。 1 2【答案】(1) ;(2)见解析;(3) 【详解】(1)根据动能定理有 (2)设行星绕恒星做匀速圆周运动,行星的质量为m,运动半径为r,运动速度大小 为v。恒星对行星的作用力F提供向心力,则 运动周期 根据开普勒第三定律 ,k为常量,得 即恒星对行星的作用力F与r的平方成反比。 (3)假定恒星的能量辐射各向均匀,地球绕恒星做半径为r的圆周运动,恒星单位时 间内向外辐射的能量为P。以恒星为球心,以r为半径的球面上,单位面积单位时间 0 接受到的辐射能量 设地球绕太阳公转半径为r 在新轨道上公转半径为r。地球在新公转轨道上的温度与 1 2 “流浪”前一样,必须满足P不变,由于恒星单位时间内向外辐射的能量是太阳的16 倍,得 r = 4r 2 1 设恒星质量为M,地球在轨道上运行周期为T,万有引力提供向心力,有 解得 由于恒星质量是太阳质量的2倍,得26.(2022·北京·高考真题)体育课上,甲同学在距离地面高 处将排球击出, 球的初速度沿水平方向,大小为 ;乙同学在离地 处将排球垫起, 垫起前后球的速度大小相等,方向相反。已知排球质量 ,取重力加速度 。不计空气阻力。求: (1)排球被垫起前在水平方向飞行的距离x; (2)排球被垫起前瞬间的速度大小v及方向; (3)排球与乙同学作用过程中所受冲量的大小I。 【答案】(1) ;(2) ,方向与水平方向夹角 ;(3) 【详解】(1)设排球在空中飞行的时间为t,则 解得 ;则排球在空中飞行的水平距离 (2)乙同学垫起排球前瞬间排球在竖直方向速度的大小 得 ;根据 得 ;设速度方向与水平方向夹角为 (如答图所示)则有 (3)根据动量定理,排球与乙同学作用过程中所受冲量的大小 27.(2022·江苏·高考真题)在轨空间站中物体处于完全失重状态,对空间站的影响可 忽略,空间站上操控货物的机械臂可简化为两根相连的等长轻质臂杆,每根臂杆长为 L,如题图1所示,机械臂一端固定在空间站上的O点,另一端抓住质量为m的货物, 在机械臂的操控下,货物先绕O点做半径为 、角速度为 的匀速圆周运动,运动到 A点停下,然后在机械臂操控下,货物从A点由静止开始做匀加速直线运动,经时间t 到达B点,A、B间的距离为L。 (1)求货物做匀速圆周运动时受到合力提供的向心力大小 ; (2)求货物运动到B点时机械臂对其做功的瞬时功率P。 (3)在机械臂作用下,货物、空间站和地球的位置如题图2所示,它们在同一直线上, 货物与空间站同步做匀速圆周运动,已知空间站轨道半径为r,货物与空间站中心的距 离为d,忽略空间站对货物的引力,求货物所受的机械臂作用力与所受的地球引力之 比 。 【答案】(1) ;(2) ;(3) 【详解】(1)质量为 的货物绕 点做匀速圆周运动,半径为 ,根据牛顿第二定律可知 (2)货物从静止开始以加速度 做匀加速直线运动,根据运动学公式可知 解得 货物到达 点时的速度大小为 货物在机械臂的作用下在水平方向上做匀加速直线运动,机械臂对货物的作用力即为 货物所受合力 ,所以经过 时间,货物运动到 点时机械臂对其做功的瞬时功率为 (3)空间站和货物同轴转动,角速度 相同,对质量为 空间站,质量为 的地球 提供向心力 解得 货物在机械臂的作用力 和万有引力 的作用下做匀速圆周运动,则 货物受到的万有引力 解得机械臂对货物的作用力大小为 则28.(2022·海南·高考真题)有一个角度可变的轨道,当倾角为 时,A恰好匀速下 滑,现将倾角调为 ,从高为h的地方从静止下滑,过一段时间无碰撞地进入光滑水 平面,与B发生弹性正碰,B被一根绳子悬挂,与水平面接触但不挤压,碰后B恰好 能做完整的圆周运动,已知A的质量是B质量的3倍,求: ①A与轨道间的动摩擦因数 ; ②A与B刚碰完B的速度大小; ③绳子的长度L。 【答案】① ;② ;③0.6h 【详解】①倾角为 时匀速运动,根据平衡条件有 得 ②③A从高为h的地方滑下后速度为 ,根据动能定理有 A与B碰撞后速度分别为 和 ,根据动量守恒、能量守恒有 B到达最高点速度为 ,根据牛顿第二定律有 根据能量守恒有解得 29.(2022·辽宁·高考真题)2022年北京冬奥会短道速滑混合团体2000米接力决赛中, 我国短道速滑队夺得中国队在本届冬奥会的首金。 (1)如果把运动员起跑后进入弯道前的过程看作初速度为零的匀加速直线运动,若运 动员加速到速度 时,滑过的距离 ,求加速度的大小; (2)如果把运动员在弯道滑行的过程看作轨道为半圆的匀速圆周运动,如图所示,若 甲、乙两名运动员同时进入弯道,滑行半径分别为 ,滑行速率分别 为 ,求甲、乙过弯道时的向心加速度大小之比,并通过计算 判断哪位运动员先出弯道。 【答案】(1) ;(2) ,甲 【详解】(1)根据速度位移公式有 代入数据可得 (2)根据向心加速度的表达式 可得甲、乙的向心加速度之比为甲、乙两物体做匀速圆周运动,则运动的时间为 代入数据可得甲、乙运动的时间为 , 因 ,所以甲先出弯道。 30.(2022·湖北·统考高考真题)打桩机是基建常用工具。某种简易打桩机模型如图所 示,重物A、B和C通过不可伸长的轻质长绳跨过两个光滑的等高小定滑轮连接,C 与滑轮等高(图中实线位置)时,C到两定滑轮的距离均为L。重物A和B的质量均 为m,系统可以在如图虚线位置保持静止,此时连接C的绳与水平方向的夹角为60°。 某次打桩时,用外力将C拉到图中实线位置,然后由静止释放。设C的下落速度为 时,与正下方质量为2m的静止桩D正碰,碰撞时间极短,碰撞后C的速度为零, D竖直向下运动 距离后静止(不考虑C、D再次相碰)。A、B、C、D均可视为质 点。 (1)求C的质量; (2)若D在运动过程中受到的阻力F可视为恒力,求F的大小; (3)撤掉桩D,将C再次拉到图中实线位置,然后由静止释放,求A、B、C的总动 能最大时C的动能。【答案】(1) ;(2)6.5mg;(3) 【详解】(1)系统在如图虚线位置保持静止,以C为研究对象,根据平衡条件可知 解得 (2)CD碰后C的速度为零,设碰撞后D的速度v,根据动量守恒定律可知 解得 CD碰撞后D向下运动 距离后停止,根据动能定理可知 解得 F=6.5mg (3)设某时刻C向下运动的速度为v′,AB向上运动的速度为v,图中虚线与竖直方向 的夹角为α,根据机械能守恒定律可知 令 对上式求导数可得 当 时解得 即 此时于是有 解得 此时C的最大动能为 31.(2022·湖北·统考高考真题)如图所示,水族馆训练员在训练海豚时,将一发光小 球高举在水面上方的A位置,海豚的眼睛在B位置,A位置和B位置的水平距离为d, A位置离水面的高度为 d。训练员将小球向左水平抛出,入水点在B位置的正上方, 入水前瞬间速度方向与水面夹角为θ。小球在A位置发出的一束光线经水面折射后到 达B位置,折射光线与水平方向的夹角也为θ。 已知水的折射率 ,求: (1)tanθ的值; (2)B位置到水面的距离H。 【答案】(1) ;(2) 【详解】(1)由平抛运动的规律可知解得 (2)因 可知 ,从A点射到水面的光线的入射角为α,折射角为 ,则由折射定律可知 解得 由几何关系可知 解得 32.(2022·浙江·统考高考真题)如图所示,在竖直面内,一质量m的物块a静置于悬 点O正下方的A点,以速度v逆时针转动的传送带MN与直轨道AB、CD、FG处于同 一水平面上,AB、MN、CD的长度均为l。圆弧形细管道DE半径为R,EF在竖直直 径上,E点高度为H。开始时,与物块a相同的物块b悬挂于O点,并向左拉开一定的 高度h由静止下摆,细线始终张紧,摆到最低点时恰好与a发生弹性正碰。已知 , , , , ,物块与MN、CD之间的动摩擦因数 ,轨道AB和管道DE均光滑,物块a落到FG时不反弹且静止。忽略M、B和 N、C之间的空隙,CD与DE平滑连接,物块可视为质点,取 。 (1)若 ,求a、b碰撞后瞬时物块a的速度 的大小; (2)物块a在DE最高点时,求管道对物块的作用力 与h间满足的关系; (3)若物块b释放高度 ,求物块a最终静止的位置x值的范围(以A 点为坐标原点,水平向右为正,建立x轴)。【答案】(1) ;(2) ;(3)当 时, ,当 时, 【详解】(1)滑块b摆到最低点过程中,由机械能守恒定律 解得 与 发生弹性碰撞,根据动量守恒定律和机械能守恒定律可得 联立解得 (2)由(1)分析可知,物块 与物块 在 发生弹性正碰,速度交换,设物块 刚好 可以到达 点,高度为 ,根据动能定理可得 解得 以竖直向下为正方向由动能定理 联立可得 (3)当 时,物块位置在 点或 点右侧,根据动能定理得 从 点飞出后,竖直方向 水平方向 根据几何关系可得 联立解得 代入数据解得 当 时,从 释放时,根据动能定理可得 解得 可知物块达到距离 点0.8m处静止,滑块a由E点速度为零,返回到 时,根据动 能定理可得 解得距离 点0.6m,综上可知当 时 代入数据得 33.(2022·浙江·统考高考真题)物流公司通过滑轨把货物直接装运到卡车中。如图所 示,倾斜滑轨与水平面成24°角,长度 ,水平滑轨长度可调,两滑轨间平滑连 接。若货物从倾斜滑轨顶端由静止开始下滑,其与滑轨间的动摩擦因数均为 ,货 物可视为质点(取 , ,重力加速度 )。 (1)求货物在倾斜滑轨上滑行时加速度 的大小; (2)求货物在倾斜滑轨末端时速度 的大小; (3)若货物滑离水平滑轨末端时的速度不超过2m/s,求水平滑轨的最短长度 。 【答案】(1) ;(2) ;(3) 【详解】(1)根据牛顿第二定律可得 代入数据解得 (2)根据运动学公式 解得(3)根据牛顿第二定律 根据运动学公式 代入数据联立解得 34.(2022·广东·高考真题)某同学受自动雨伞开伞过程的启发,设计了如图所示的物 理模型。竖直放置在水平桌面上的滑杆上套有一个滑块,初始时它们处于静止状态。 当滑块从A处以初速度 为 向上滑动时,受到滑杆的摩擦力f为 ,滑块滑到 B处与滑杆发生完全非弹性碰撞,带动滑杆离开桌面一起竖直向上运动。已知滑块的 质量 ,滑杆的质量 ,A、B间的距离 ,重力加速度g取 ,不计空气阻力。求: (1)滑块在静止时和向上滑动的过程中,桌面对滑杆支持力的大小 和 ; (2)滑块碰撞前瞬间的速度大小v; 1 (3)滑杆向上运动的最大高度h。 【答案】(1) , ;(2) ;(3) 【详解】(1)当滑块处于静止时桌面对滑杆的支持力等于滑块和滑杆的重力,即 当滑块向上滑动过程中受到滑杆的摩擦力为1N,根据牛顿第三定律可知滑块对滑杆的 摩擦力也为1N,方向竖直向上,则此时桌面对滑杆的支持力为(2)滑块向上运动到碰前瞬间根据动能定理有 代入数据解得 。 (3)由于滑块和滑杆发生完全非弹性碰撞,即碰后两者共速,碰撞过程根据动量守恒 有 碰后滑块和滑杆以速度v整体向上做竖直上抛运动,根据动能定理有 代入数据联立解得 。 35.(2022·河北·统考高考真题)如图,光滑水平面上有两个等高的滑板A和B,质量 分别为 和 ,A右端和B左端分别放置物块C、D,物块质量均为 ,A和C 以相同速度 向右运动,B和D以相同速度 向左运动,在某时刻发生碰撞, 作用时间极短,碰撞后C与D粘在一起形成一个新滑块,A与B粘在一起形成一个新 滑板,物块与滑板之间的动摩擦因数均为 。重力加速度大小取 。 (1)若 ,求碰撞后瞬间新物块和新滑板各自速度的大小和方向; (2)若 ,从碰撞后到新滑块与新滑板相对静止时,求两者相对位移的大小。 【答案】(1) , ,方向均向右;(2) 【详解】(1)物块C、D碰撞过程中满足动量守恒,设碰撞后物块C、D形成的新物 块的速度为 ,C、D的质量均为 ,以向右方向为正方向,则有 解得可知碰撞后滑块C、D形成的新滑块的速度大小为 ,方向向右。 滑板A、B碰撞过程中满足动量守恒,设碰撞后滑板A、B形成的新滑板的速度为 , 滑板A和B质量分别为 和 ,则由 解得 则新滑板速度方向也向右。 (2)若 ,可知碰后瞬间物块C、D形成的新物块的速度为 碰后瞬间滑板A、B形成的新滑板的速度为 可知碰后新物块相对于新滑板向右运动,新物块向右做匀减速运动,新滑板向右做匀 加速运动,设新物块的质量为 ,新滑板的质量为 ,相对静止时的共 同速度为 ,根据动量守恒可得 解得 根据能量守恒可得 解得 36.(2022·湖南·统考高考真题)如图(a),质量为m的篮球从离地H高度处由静止下落,与地面发生一次非弹性碰撞后反弹至离地h的最高处。设篮球在运动过程中所 受空气阻力的大小是篮球所受重力的 倍( 为常数且 ),且篮球每次 与地面碰撞的碰后速率与碰前速率之比相同,重力加速度大小为g。 (1)求篮球与地面碰撞的碰后速率与碰前速率之比; (2)若篮球反弹至最高处h时,运动员对篮球施加一个向下的压力F,使得篮球与地 面碰撞一次后恰好反弹至h的高度处,力F随高度y的变化如图(b)所示,其中 已 知,求 的大小; (3)篮球从H高度处由静止下落后,每次反弹至最高点时,运动员拍击一次篮球(拍 击时间极短),瞬间给其一个竖直向下、大小相等的冲量I,经过N次拍击后篮球恰好 反弹至H高度处,求冲量I的大小。 【答案】(1) ;(2) ;(3) 【详解】(1)篮球下降过程中根据牛顿第二定律有 再根据匀变速直线运动的公式,下落的过程中有 篮球反弹后上升过程中根据牛顿第二定律有再根据匀变速直线运动的公式,上升的过程中有 则篮球与地面碰撞的碰后速率与碰前速率之比 (2)若篮球反弹至最高处h时,运动员对篮球施加一个向下的压力F,则篮球下落过 程中根据动能定理有 篮球反弹后上升过程中根据动能定理有 联立解得 (3)方法一:由(1)问可知篮球上升和下降过程中的加速度分别为 (方向向下) (方向向下) 由题知运动员拍击一次篮球(拍击时间极短),瞬间给其一个竖直向下、大小相等的 冲量I,由于拍击时间极短,则重力的冲量可忽略不计,则根据动量定理有 即每拍击一次篮球将给它一个速度v。 拍击第1次下降过程有 上升过程有 代入k后,下降过程有 上升过程有联立有 拍击第2次,同理代入k后,下降过程有 上升过程有 联立有 再将h 代入h 有 1 2 拍击第3次,同理代入k后,下降过程有 上升过程有 联立有 再将h 代入h 有 2 3 直到拍击第N次,同理代入k后,下降过程有 上升过程有 联立有 将h 代入h 有 N-1 N其中 , 则有 则 方法二: 由(1)问可知篮球上升和下降过程中的加速度分别为 (方向向下) (方向向下) 由题知运动员拍击一次篮球(拍击时间极短),瞬间给其一个竖直向下、大小相等的 冲量I,由于拍击时间极短,则重力的冲量可忽略不计,则根据动量定理有 即每拍击一次篮球将给它一个速度v’。设篮球从H下落时,速度为 ,反弹高度为 , 篮球受到冲量I后速度为v’,落地时速度为 ,则 , 联立可得 代入k可得, ……① 篮球再次反弹,反弹速度为k ,设反弹高度为h,受到冲量后,落地速度为v,同理 1 2 可得, 同理化简可得 ……② 篮球第三次反弹,反弹速度为k ,设反弹高度为h,受到冲量后,落地速度为v,同 2 3 理可得 , 同理化简可得 ……③ …… 第N次反弹可得 ……(N) 对式子①②③……(N)两侧分别乘以 、 、 ……、 ,再相加可得 得 其中, , ,可得 可得冲量I的大小 37.(2022·山东·统考高考真题)某粮库使用额定电压 ,内阻 的电 动机运粮。如图所示,配重和电动机连接小车的缆绳均平行于斜坡,装满粮食的小车 以速度 沿斜坡匀速上行,此时电流 。关闭电动机后,小车又沿斜坡上行路程L到达卸粮点时,速度恰好为零。卸粮后,给小车一个向下的初速度,小车沿 斜坡刚好匀速下行。已知小车质量 ,车上粮食质量 ,配重质量 ,取重力加速度 ,小车运动时受到的摩擦阻力与车及车上粮食总 重力成正比,比例系数为k,配重始终未接触地面,不计电动机自身机械摩擦损耗及缆 绳质量。求: (1)比例系数k值; (2)上行路程L值。 【答案】(1) ;(2) 【详解】(1)设电动机的牵引绳张力为 ,电动机连接小车的缆绳匀速上行,由能量 守恒定律有 解得 小车和配重一起匀速,设绳的张力为 ,对配重有 设斜面倾角为 ,对小车匀速有 而卸粮后给小车一个向下的初速度,小车沿斜坡刚好匀速下行,有 联立各式解得, (2)关闭发动机后小车和配重一起做匀减速直线运动,设加速度为 ,对系统由牛顿 第二定律有 可得 由运动学公式可知 解得 38.(2022·全国·统考高考真题)将一小球水平抛出,使用频闪仪和照相机对运动的小 球进行拍摄,频闪仪每隔 发出一次闪光。某次拍摄时,小球在抛出瞬间频闪仪恰 好闪光,拍摄的照片编辑后如图所示。图中的第一个小球为抛出瞬间的影像,每相邻 两个球之间被删去了3个影像,所标出的两个线段的长度 和 之比为3:7。重力加 速度大小取 ,忽略空气阻力。求在抛出瞬间小球速度的大小。 【答案】 【详解】频闪仪每隔0.05s发出一次闪光,每相邻两个球之间被删去3个影像,故相邻 两球的时间间隔为 设抛出瞬间小球的速度为 ,每相邻两球间的水平方向上位移为x,竖直方向上的位移分别为 、 ,根据平抛运动位移公式有 令 ,则有 已标注的线段 、 分别为 则有 整理得 故在抛出瞬间小球的速度大小为 39.(2022·全国·统考高考真题)如图(a),一质量为m的物块A与轻质弹簧连接, 静止在光滑水平面上:物块B向A运动, 时与弹簧接触,到 时与弹簧分离, 第一次碰撞结束,A、B的 图像如图(b)所示。已知从 到 时间内,物块 A运动的距离为 。A、B分离后,A滑上粗糙斜面,然后滑下,与一直在水平 面上运动的B再次碰撞,之后A再次滑上斜面,达到的最高点与前一次相同。斜面倾 角为 ,与水平面光滑连接。碰撞过程中弹簧始终处于弹性限度内。求(1)第一次碰撞过程中,弹簧弹性势能的最大值; (2)第一次碰撞过程中,弹簧压缩量的最大值; (3)物块A与斜面间的动摩擦因数。 【答案】(1) ;(2) ;(3) 【详解】(1)当弹簧被压缩最短时,弹簧弹性势能最大,此时 、 速度相等,即 时刻,根据动量守恒定律 根据能量守恒定律 联立解得 (2)解法一:同一时刻弹簧对 、B的弹力大小相等,根据牛顿第二定律 可知同一时刻 则同一时刻 、 的的瞬时速度分别为 , 根据位移等速度在时间上的累积可得, 又 解得 第一次碰撞过程中,弹簧压缩量的最大值 解法二:B接触弹簧后,压缩弹簧的过程中,A、B动量守恒,有 对方程两边同时乘以时间 ,有 0-t 之间,根据位移等速度在时间上的累积,可得 0 将 代入可得 则第一次碰撞过程中,弹簧压缩量的最大值 (3)物块A第二次到达斜面的最高点与第一次相同,说明物块A第二次与B分离后速 度大小仍为 ,方向水平向右,设物块A第一次滑下斜面的速度大小为 ,设向左 为正方向,根据动量守恒定律可得 根据能量守恒定律可得 联立解得方法一:设在斜面上滑行的长度为 ,上滑过程,根据动能定理可得 下滑过程,根据动能定理可得 联立解得 方法二:根据牛顿第二定律,可以分别计算出滑块A上滑和下滑时的加速度, , 上滑时末速度为0,下滑时初速度为0,由匀变速直线运动的位移速度关系可得 , 联立可解得 40.(2022·浙江·统考高考真题)如图所示,处于竖直平面内的一探究装置,由倾角 =37°的光滑直轨道AB、圆心为O 的半圆形光滑轨道BCD、圆心为O 的半圆形光滑细 1 2 圆管轨道DEF、倾角也为37°的粗糙直轨道FG组成,B、D和F为轨道间的相切点, 弹性板垂直轨道固定在G点(与B点等高),B、O、D、O 和F点处于同一直线上。 1 2 已知可视为质点的滑块质量m=0.1kg,轨道BCD和DEF的半径R=0.15m,轨道AB长 度 ,滑块与轨道FG间的动摩擦因数 ,滑块与弹性板作用后,以等大速 度弹回,sin37°=0.6,cos37°=0.8。滑块开始时均从轨道AB上某点静止释放,( ) (1)若释放点距B点的长度l=0.7m,求滑块到最低点C时轨道对其支持力F 的大小; N (2)设释放点距B点的长度为 ,滑块第一次经F点时的速度v与 之间的关系式; (3)若滑块最终静止在轨道FG的中点,求释放点距B点长度 的值。【答案】(1)7N;(2) ( );(3) , , 【详解】(1)滑块释放运动到C点过程,由动能定理 经过C点时 解得 (2)能过最高点时,则能到F点,则恰到最高点时 解得 而要保证滑块能到达F点,必须要保证它能到达DEF最高点,当小球恰好到达DEF 最高点时,由动能定理 可解得 则要保证小球能到F点, ,带入 可得 (3)设全过程摩擦力对滑块做功为第一次到达中点时做功的n倍,则n=1,3,5,……解得 n=1,3,5, …… 又因为 , 当 时, ,当 时, ,当 时, ,满足要求。 即若滑块最终静止在轨道FG的中点,释放点距B点长度 的值可能为 , , 。 41.(2022·浙江·统考高考真题)第24届冬奥会将在我国举办。钢架雪车比赛的一段 赛道如图1所示,长12m水平直道AB与长20m的倾斜直道BC在B点平滑连接,斜道 与水平面的夹角为15°。运动员从A点由静止出发,推着雪车匀加速到B点时速度大小 为8m/s,紧接着快速俯卧到车上沿BC匀加速下滑(图2所示),到C点共用时5.0s。 若雪车(包括运动员)可视为质点,始终在冰面上运动,其总质量为110kg, sin15°=0.26,求雪车(包括运动员) (1)在直道AB上的加速度大小; (2)过C点的速度大小; (3)在斜道BC上运动时受到的阻力大小。 【答案】(1) ;(2)12m/s;(3)66N 【详解】(1)AB段 解得(2)AB段 解得 BC段 过C点的速度大小 (3)在BC段有牛顿第二定律 解得 42.(2021·重庆·高考真题)我国规定摩托车、电动自行车骑乘人员必须依法佩戴具有 缓冲作用的安全头盔。小明对某轻质头盔的安全性能进行了模拟实验检测。某次,他 在头盔中装入质量为 的物体(物体与头盔密切接触),使其从 的高处自由 落下(如图),并与水平地面发生碰撞,头盔厚度被挤压了 时,物体的速度减 小到零。挤压过程不计物体重力,且视为匀减速直线运动,不考虑物体和地面的形变, 忽略空气阻力,重力加速度g取 。求: (1)头盔接触地面前瞬间的速度大小; (2)物体做匀减速直线运动的时间; (3)物体在匀减速直线运动过程中所受平均作用力的大小。【答案】(1) ;(2) ;(3) 【详解】(1)由自由落体运动规律 ,带入数据解得 (2)由匀变速直线运动规律 解得 (3)由动量定理得 解得 43.(2021·福建·统考高考真题)如图(a),一倾角 的固定斜面的 段粗糙, 段光滑。斜面上一轻质弹簧的一端固定在底端C处,弹簧的原长与 长度相同。 一小滑块在沿斜面向下的拉力T作用下,由A处从静止开始下滑,当滑块第一次到达 B点时撤去T。T随滑块沿斜面下滑的位移s的变化关系如图(b)所示。已知 段长 度为 ,滑块质量为 ,滑块与斜面 段的动摩擦因数为0.5,弹簧始终在弹性限 度内,重力加速度大小取 , 。求: (1)当拉力为 时,滑块的加速度大小; (2)滑块第一次到达B点时的动能; (3)滑块第一次在B点与弹簧脱离后,沿斜面上滑的最大距离。【答案】(1) ;(2) ;(3) 【详解】(1)设小滑块的质量为m,斜面倾角为 ,滑块与斜面间的动摩擦因数为 , 滑块受斜面的支持力大小为N,滑动摩擦力大小为f,拉力为 时滑块的加速度大小 为 。由牛顿第二定律和滑动摩擦力公式有 ① ② ③ 联立①②③式并代入题给数据得 ④ (2)设滑块在 段运动的过程中拉力所做的功为W,由功的定义有 ⑤ 式中 、 和 、 分别对应滑块下滑过程中两阶段所受的拉力及相应的位移大小。 依题意, , , , 。设滑块第一次到达B点时的动能为 ,由动能定理有 ⑥ 联立②③⑤⑥式并代入题给数据得 ⑦ (3)由机械能守恒定律可知,滑块第二次到达B点时,动能仍为 。设滑块离B点的最大距离为 ,由动能定理有 ⑧ 联立②③⑦⑧式并代入题给数据得 ⑨ 44.(2021·福建·统考高考真题)一火星探测器着陆火星之前,需经历动力减速、悬停 避障两个阶段。在动力减速阶段,探测器速度大小由 减小到0,历时 。在悬 停避障阶段,探测器启用最大推力为 的变推力发动机,在距火星表面约百米高 度处悬停,寻找着陆点。已知火星半径约为地球半径的 ,火星质量约为地球质量的 ,地球表面重力加速度大小取 ,探测器在动力减速阶段的运动视为竖直向下 的匀减速运动。求: (1)在动力减速阶段,探测器的加速度大小和下降距离; (2)在悬停避障阶段,能借助该变推力发动机实现悬停的探测器的最大质量。 【答案】(1) , ;(2) 【详解】(1)设探测器在动力减速阶段所用时间为t,初速度大小为 ,末速度大小 为 ,加速度大小为a,由匀变速直线运动速度公式有 ① 代入题给数据得 ② 设探测器下降的距离为s,由匀变速直线运动位移公式有 ③ 联立②③式并代入题给数据得 ④ (2)设火星的质量、半径和表面重力加速度大小分别为 、 和 ,地球的质量、半径和表面重力加速度大小分别为 、 和 由牛顿运动定律和万有引力定律,对 质量为m的物体有 ⑤ ⑥ 式中G为引力常量。设变推力发动机的最大推力为F,能够悬停的火星探测器最大质 量为 ,由力的平衡条件有 ⑦ 联立⑤⑥⑦式并代入题给数据得 ⑧ 在悬停避障阶段,该变推力发动机能实现悬停的探测器的最大质量约为 。 45.(2021·江苏·高考真题)如图所示的离心装置中,光滑水平轻杆固定在竖直转轴的 O点,小圆环A和轻质弹簧套在轻杆上,长为 的细线和弹簧两端分别固定于O和 A,质量为m的小球B固定在细线的中点,装置静止时,细线与竖直方向的夹角为 , 现将装置由静止缓慢加速转动,当细线与竖直方向的夹角增大到 时,A、B间细线 的拉力恰好减小到零,弹簧弹力与静止时大小相等、方向相反,重力加速度为g,取 , ,求: (1)装置静止时,弹簧弹力的大小F; (2)环A的质量M; (3)上述过程中装置对A、B所做的总功W。 【答案】(1) ;(2) ;(3)【详解】(1)设 、 的张力分别为 、 ,A受力平衡 B受力平衡 解得 (2)设装置转动的角速度为 ,对A 对B 解得 (3)B上升的高度 ,A、B的动能分别为 ; 根据能量守恒定律可知 解得 46.(2021·海南·高考真题)如图,一长木板在光滑的水平面上以速度v 向右做匀速 0 直线运动,将一小滑块无初速地轻放在木板最右端。已知滑块和木板的质量分别为m 和2m,它们之间的动摩擦因数为μ,重力加速度为g。 (1)滑块相对木板静止时,求它们的共同速度大小; (2)某时刻木板速度是滑块的2倍,求此时滑块到木板最右端的距离; (3)若滑块轻放在木板最右端的同时,给木板施加一水平向右的外力,使得木板保持匀速直线运动,直到滑块相对木板静止,求此过程中滑块的运动时间以及外力所做的 功。 【答案】(1)v = ;(2)x = ;(3)t = ,W = mv2 共 0 【详解】(1)由于地面光滑,则木板与滑块组成的系统动量守恒,有 2mv = 3mv 0 共 解得 v = 共 (2)由于木板速度是滑块的2倍,则有 v = 2v 木 滑 再根据动量守恒定律有 2mv = 2mv + mv 0 木 滑 联立化简得 v = v,v = v 滑 0 木 0 再根据功能关系有 - μmgx = × 2mv 2 + mv 2 - × 2mv2 木 滑 0 经过计算得 x = (3)由于木板保持匀速直线运动,则有 F = μmg 对滑块进行受力分析,并根据牛顿第二定律有 a = μg 滑 滑块相对木板静止时有 v = a t 0 滑 解得 t = 则整个过程中木板滑动的距离为x′ = vt = 0 则拉力所做的功为 W = Fx′ = mv2 0 47.(2021·海南·高考真题)一列沿x轴正方向传播的简谐横波,其波源的平衡位置在 坐标原点,波源在0 ~ 4s内的振动图像如图(a)所示,已知波的传播速度为0.5m/s。 (1)求这列横波的波长; (2)求波源在4s内通过的路程; (3)在图(b)中画出t = 4s时刻的波形图。 【答案】(1)λ = 2m;(2)s = 16cm;(3) 【详解】(1)由题知图(a)为波源的振动图像,则可知 A = 4cm,T = 4s 由于波的传播速度为0.5m/s,根据波长与速度关系有 λ = vT = 2m (2)由(1)可知波源的振动周期为4s,则4s内波源通过的路程为 s = 4A = 16cm (3)由题图可知在t = 0时波源的起振方向向上,由于波速为0.5m/s,则在4s时根据 x = vt = 2m 可知该波刚好传到位置为2m的质点,且波源刚好回到平衡位置,且该波沿正方向传播, 则根据“上坡、下坡”法可绘制出t = 4s时刻的波形图如下图所示 48.(2021·湖北·统考高考真题)如图所示,一圆心为O、半径为R的光滑半圆弧轨道 固定在竖直平面内,其下端与光滑水平面在Q点相切。在水平面上,质量为m的小物块A以某一速度向质量也为m的静止小物块B运动。A、B发生正碰后,B到达半圆 弧轨道最高点时对轨道压力恰好为零,A沿半圆弧轨道运动到与O点等高的C点时速 度为零。已知重力加速度大小为g,忽略空气阻力。 (1)求B从半圆弧轨道飞出后落到水平面的位置到Q点的距离; (2)当A由C点沿半圆弧轨道下滑到D点时,OD与OQ夹角为θ,求此时A所受力 对A做功的功率; (3)求碰撞过程中A和B损失的总动能。 【答案】(1)2R ;(2) ;(3) 【详解】解:(1)设 B到半圆弧轨道最高点时速度为 ,由于B对轨道最高点的压 力为零,则由牛顿第二定律得 B离开最高点后做平抛运动,则在竖直方向上有 在水平方向上有 联立解得 x=2R (2)对A由C到D的过程,由机械能守恒定律得 由于对A做功的力只有重力,则A所受力对A做功的功率为 解得(3)设A、B碰后瞬间的速度分别为v,v,对B由Q到最高点的过程,由机械能守 1 2 恒定律得 解得 对A由Q到C的过程,由机械能守恒定律得 解得 设碰前瞬间A的速度为v,对A、B碰撞的过程,由动量守恒定律得 0 解得 碰撞过程中A和B损失的总动能为 解得 49.(2021·辽宁·统考高考真题)机场地勤工作人员利用传送带从飞机上卸行李。如图 所示,以恒定速率v=0.6m/s运行的传送带与水平面间的夹角 ,转轴间距 1 L=3.95m。工作人员沿传送方向以速度v=1.6m/s从传送带顶端推下一件小包裹(可视 2 为质点)。小包裹与传送带间的动摩擦因数μ=0.8。取重力加速度g=10m/s2, sin37°=0.6,cos37°=0.8.求: (1)小包裹相对传送带滑动时加速度的大小a; (2)小包裹通过传送带所需的时间t。【答案】(1) ;(2) 【详解】(1)小包裹的速度 大于传动带的速度 ,所以小包裹受到传送带的摩擦力 沿传动带向上,根据牛顿第二定律可知 解得 (2)根据(1)可知小包裹开始阶段在传动带上做匀减速直线运动,用时 在传动带上滑动的距离为 因为小包裹所受滑动摩擦力大于重力沿传动带方向上的分力,即 , 所以小包裹与传动带共速后做匀速直线运动至传送带底端,匀速运动的时间为 所以小包裹通过传送带的时间为 50.(2021·天津·高考真题)一玩具以初速度 从水平地面竖直向上抛出,达到最高点 时,用遥控器将玩具内压缩的轻弹簧弹开,该玩具沿水平方向分裂成质量之比为1∶4的 两部分,此时它们的动能之和与玩具从地面抛出时的动能相等。弹簧弹开的时间极短, 不计空气阻力。求 (1)玩具上升到最大高度 时的速度大小; (2)两部分落地时速度大小之比。【答案】(1) ;(2) 【详解】(1)设玩具上升的最大高度为h,玩具上升到高度 时的速度大小为v,重 力加速度大小为g,以初速度方向为正,整个运动过程有 玩具上升到最大高度 有 两式联立解得 (2)设玩具分开时两部分的质量分别为 、 ,水平速度大小分别为 、 。依题 意,动能关系为 玩具达到最高点时速度为零,两部分分开时速度方向相反,水平方向动量守恒,有 分开后两部分做平抛运动,由运动学关系,两部分落回地面时,竖直方向分速度大小 为 ,设两部分落地时的速度大小分别为 、 ,由速度合成公式,有 , 结合 ,解得 51.(2021·北京·高考真题)秋千由踏板和绳构成,人在秋千上的摆动过程可以简化为 单摆的摆动,等效“摆球”的质量为m,人蹲在踏板上时摆长为 ,人站立时摆长为 。 不计空气阻力,重力加速度大小为g。 (1)如果摆长为 ,“摆球”通过最低点时的速度为v,求此时“摆球”受到拉力T的大小。 (2)在没有别人帮助的情况下,人可以通过在低处站起、在高处蹲下的方式使“摆 球”摆得越来越高。 a.人蹲在踏板上从最大摆角 开始运动,到最低点时突然站起,此后保持站立姿势摆 到另一边的最大摆角为 。假定人在最低点站起前后“摆球”摆动速度大小不变,通 过计算证明 。 b.实际上人在最低点快速站起后“摆球”摆动速度的大小会增大。随着摆动越来越高, 达到某个最大摆角 后,如果再次经过最低点时,通过一次站起并保持站立姿势就能 实现在竖直平面内做完整的圆周运动,求在最低点“摆球”增加的动能 应满足的 条件。 【答案】(1) ;(2)a.见解析;b. 【详解】(1)根据牛顿运动定律 解得 (2)a.设人在最低点站起前后“摆球”的摆动速度大小分别为v、v,根据功能关系 1 2 得 已知v = v,得 1 2 因为 ,得 所以b.设“摆球”由最大摆角 摆至最低点时动能为 ,根据功能关系得 “摆球”在竖直平面内做完整的圆周运动,通过最高点最小速度为 ,根据牛顿运动定 律得 “摆球”在竖直平面内做完整的圆周运动,根据功能关系得 得 52.(2021·北京·高考真题)如图所示,小物块A、B的质量均为m = 0.10 kg,B静止 在轨道水平段的末端。A以水平速度v 与B碰撞,碰后两物块粘在一起水平抛出。抛 0 出点距离水平地面的竖直高度为h = 0.45 m,两物块落地点距离轨道末端的水平距离 为s = 0.30 m,取重力加速度g = 10 m/s2。求: (1)两物块在空中运动的时间t; (2)两物块碰前A的速度v 的大小; 0 (3)两物块碰撞过程中损失的机械能 。 【答案】(1)0.30 s;(2) ;(3) 【详解】(1)竖直方向为自由落体运动,由 得 t = 0.30 s(2)设A、B碰后速度为 ,水平方向为匀速运动,由 得 根据动量守恒定律,由 得 (3)两物体碰撞过程中损失的机械能 得 53.(2021·山东·高考真题)如图所示,三个质量均为m的小物块A、B、C,放置在 水平地面上,A紧靠竖直墙壁,一劲度系数为k的轻弹簧将A、B连接,C紧靠B,开 始时弹簧处于原长,A、B、C均静止。现给C施加一水平向左、大小为F的恒力,使 B、C一起向左运动,当速度为零时,立即撤去恒力,一段时间后A离开墙壁,最终三 物块都停止运动。已知A、B、C与地面间的滑动摩擦力大小均为f,最大静摩擦力等 于滑动摩擦力,弹簧始终在弹性限度内。(弹簧的弹性势能可表示为: ,k 为弹簧的劲度系数,x为弹簧的形变量) (1)求B、C向左移动的最大距离 和B、C分离时B的动能 ; (2)为保证A能离开墙壁,求恒力的最小值 ; (3)若三物块都停止时B、C间的距离为 ,从B、C分离到B停止运动的整个过程, B克服弹簧弹力做的功为W,通过推导比较W与 的大小; (4)若 ,请在所给坐标系中,画出C向右运动过程中加速度a随位移x变化的 图像,并在坐标轴上标出开始运动和停止运动时的a、x值(用f、k、m表示),不要 求推导过程。以撤去F时C的位置为坐标原点,水平向右为正方向。【答案】(1) 、 ;(2) ;(3) ;(4) 【详解】(1)从开始到B、C向左移动到最大距离的过程中,以B、C和弹簧为研究 对象,由功能关系得 弹簧恢复原长时B、C分离,从弹簧最短到B、C分离,以B、C和弹簧为研究对象, 由能量守恒得 联立方程解得 (2)当A刚要离开墙时,设弹簧得伸长量为 ,以A为研究对象,由平衡条件得 若A刚要离开墙壁时B得速度恰好等于零,这种情况下恒力为最小值 ,从弹簧恢 复原长到A刚要离开墙得过程中,以B和弹簧为研究对象,由能量守恒得结合第(1)问结果可知 根据题意舍去 ,所以恒力得最小值为 (3)从B、C分离到B停止运动,设B的路程为 ,C的位移为 ,以B为研究对象, 由动能定理得 以C为研究对象,由动能定理得 由B、C得运动关系得 联立可知 (4)小物块B、C向左运动过程中,由动能定理得 解得撤去恒力瞬间弹簧弹力为 则坐标原点的加速度为 之后C开始向右运动过程(B、C系统未脱离弹簧)加速度为 可知加速度随位移 为线性关系,随着弹簧逐渐恢复原长, 减小, 减小,弹簧恢复 原长时,B和C分离,之后C只受地面的滑动摩擦力,加速度为负号表示C的加速度方向水平向左;从撤去恒力之后到弹簧恢复原长,以B、C为研 究对象,由动能定理得 脱离弹簧瞬间后C速度为 ,之后C受到滑动摩擦力减速至0,由能量守恒得 解得脱离弹簧后,C运动的距离为 则C最后停止的位移为 所以C向右运动的图象为 54.(2021·山东·高考真题)海鸥捕到外壳坚硬的鸟蛤(贝类动物)后,有时会飞到空 中将它丢下,利用地面的冲击打碎硬壳。一只海鸥叼着质量 的鸟蛤,在 的高度、以 的水平速度飞行时,松开嘴巴让鸟蛤落到水平地面上。 取重力加速度 ,忽略空气阻力。 (1)若鸟蛤与地面的碰撞时间 ,弹起速度可忽略,求碰撞过程中鸟蛤受到 的平均作用力大小F;(碰撞过程中不计重力) (2)在海鸥飞行方向正下方的地面上,有一与地面平齐、长度 的岩石,以岩 石左端为坐标原点,建立如图所示坐标系。若海鸥水平飞行的高度仍为 ,速度大 小在 之间,为保证鸟蛤一定能落到岩石上,求释放鸟蛤位置的x坐标范 围。【答案】(1) ;(2) 【详解】(1)设鸟蛤落地前瞬间的速度大小为 ,竖直分速度大小为 ,据自由落体 运动规律可得 则碰撞前鸟蛤的合速度为 在碰撞过程中,以鸟蛤为研究对象,取速度方向为正方向,由动量定理得 联立解得碰撞过程中鸟蛤受到的平均作用力大小为 (2)若释放鸟蛤的初速度为 ,设击中岩石左端时,释放点的x坐标为x,击 1 中右端时,释放点的x坐标为 ,得 , 联立,代入数据得 , 若释放鸟蛤时的初速度为 ,设击中岩石左端时,释放点的x坐标为 ,击中 右端时,释放点的x坐标为 ,得, 联立,代入数据得 , 综上所述可得x坐标区间为 。 55.(2021·浙江·高考真题)如图所示,水平地面上有一高 的水平台面,台 面上竖直放置倾角 的粗糙直轨道 、水平光滑直轨道 、四分之一圆周光滑 细圆管道 和半圆形光滑轨道 ,它们平滑连接,其中管道 的半径 、 圆心在 点,轨道 的半径 、圆心在 点, 、D、 和F点均处在同 一水平线上。小滑块从轨道 上距台面高为h的P点静止下滑,与静止在轨道 上 等质量的小球发生弹性碰撞,碰后小球经管道 、轨道 从F点竖直向下运动, 与正下方固定在直杆上的三棱柱G碰撞,碰后速度方向水平向右,大小与碰前相同, 最终落在地面上Q点,已知小滑块与轨道 间的动摩擦因数 , , 。 (1)若小滑块的初始高度 ,求小滑块到达B点时速度 的大小; (2)若小球能完成整个运动过程,求h的最小值 ; (3)若小球恰好能过最高点E,且三棱柱G的位置上下可调,求落地点Q与F点的水 平距离x的最大值 。 【答案】(1)4m/s;(2) ;(3)0.8m【详解】(1)小滑块在 轨道上运动 代入数据解得 (2)小球沿 轨道运动,在最高点可得 从C点到E点由机械能守恒可得 解得 , 小滑块与小球碰撞后动量守恒,机械能守恒,因此有 , 解得 , 结合(1)问可得 解得h的最小值 (3)设F点到G点的距离为y,小球从E点到G点的运动,由动能定理 由平抛运动可得 , 联立可得水平距离为 由数学知识可得当取最大,最大值为 56.(2021·浙江·高考真题)机动车礼让行人是一种文明行为。如图所示,质量 的汽车以 的速度在水平路面上匀速行驶,在距离斑马线 处,驾驶员发现小朋友排着长 的队伍从斑马线一端开始通过,立即刹车, 最终恰好停在斑马线前。假设汽车在刹车过程中所受阻力不变,且忽略驾驶员反应时 间。 (1)求开始刹车到汽车停止所用的时间和所受阻力的大小; (2)若路面宽 ,小朋友行走的速度 ,求汽车在斑马线前等待小朋友 全部通过所需的时间; (3)假设驾驶员以 超速行驶,在距离斑马线 处立即刹车,求汽车 到斑马线时的速度。 【答案】(1) , ;(2)20s;(3) 【详解】(1)根据平均速度 解得刹车时间 刹车加速度 根据牛顿第二定律 解得(2)小朋友过时间 等待时间 (3)根据 解得 57.(2021·广东·高考真题)算盘是我国古老的计算工具,中心带孔的相同算珠可在算 盘的固定导杆上滑动,使用前算珠需要归零,如图所示,水平放置的算盘中有甲、乙 两颗算珠未在归零位置,甲靠边框b,甲、乙相隔 ,乙与边框a相隔 ,算珠与导杆间的动摩擦因数 。现用手指将甲以 的初速度 拨出,甲、乙碰撞后甲的速度大小为 ,方向不变,碰撞时间极短且不计,重力 加速度g取 。 (1)通过计算,判断乙算珠能否滑动到边框a; (2)求甲算珠从拨出到停下所需的时间。 【答案】(1)能;(2)0.2s 【详解】(1)由牛顿第二定律可得,甲乙滑动时均有则甲乙滑动时的加速度大小均为 甲与乙碰前的速度v,则 1 解得 v=0.3m/s 1 甲乙碰撞时由动量守恒定律 解得碰后乙的速度 v=0.2m/s 3 然后乙做减速运动,当速度减为零时则 可知乙恰好能滑到边框a; (2)甲与乙碰前运动的时间 碰后甲运动的时间 则甲运动的总时间为 58.(2021·全国·高考真题)一篮球质量为 ,一运动员使其从距地面高度为 处由静止自由落下,反弹高度为 。若使篮球从距地面 的高 度由静止下落,并在开始下落的同时向下拍球、球落地后反弹的高度也为 。假设 运动员拍球时对球的作用力为恒力,作用时间为 ;该篮球每次与地面碰撞前后 的动能的比值不变。重力加速度大小取 ,不计空气阻力。求: (1)运动员拍球过程中对篮球所做的功; (2)运动员拍球时对篮球的作用力的大小。【答案】(1) ;(2) 【详解】(1)第一次篮球下落的过程中由动能定理可得 篮球反弹后向上运动的过程由动能定理可得 第二次从1.5m的高度静止下落,同时向下拍球,在篮球反弹上升的过程中,由动能定 理可得 第二次从1.5m的高度静止下落,同时向下拍球,篮球下落过程中,由动能定理可得 因篮球每次和地面撞击的前后动能的比值不变,则有比例关系 代入数据可得 (2)因作用力是恒力,在恒力作用下篮球向下做匀加速直线运动,因此有牛顿第二定 律可得 在拍球时间内运动的位移为 做得功为 联立可得 ( 舍去) 59.(2021·全国·高考真题)均匀介质中质点A、B的平衡位置位于x轴上,坐标分别 为0和x =16cm。某简谐横波沿x轴正方向传播,波速为v=20cm/s,波长大于20cm, B 振幅为A=1cm,且传播时无衰减。t=0时刻A、B偏离平衡位置的位移大小相等、方向 相同,运动方向相反,此后每隔 t=0.6s两者偏离平衡位置的位移大小相等、方向相同。 已知在t 时刻(t>0),质点A位△于波峰。求 1 1 (1)从t 时刻开始,质点B最少要经过多长时间位于波峰; 1 (2)t 时刻质点B偏离平衡位置的位移。 1【答案】(1) ;(2) 【详解】(1) 时刻质点A位于波峰,波长 则 则从t 时刻开始,质点B第一次到达波峰时,波传播的距离为 1 则质点B到达波峰的最少时间为 (2)由题意可知,波的周期是 则波长 时刻的波形图如图所示 质点B位于 处,则质点B偏离平衡位置的位移 带入数据解得 60.(2021·全国·高考真题)如图,一倾角为 的光滑斜面上有50个减速带(图中未 完全画出),相邻减速带间的距离均为d,减速带的宽度远小于d;一质量为m的无动 力小车(可视为质点)从距第一个减速带L处由静止释放。已知小车通过减速带损失 的机械能与到达减速带时的速度有关。观察发现,小车通过第30个减速带后,在相邻减速带间的平均速度均相同。小车通过第50个减速带后立刻进入与斜面光滑连接的水 平地面,继续滑行距离s后停下。已知小车与地面间的动摩擦因数为 ,重力加速度 大小为g。 (1)求小车通过第30个减速带后,经过每一个减速带时损失的机械能; (2)求小车通过前30个减速带的过程中在每一个减速带上平均损失的机械能; (3)若小车在前30个减速带上平均每一个损失的机械能大于之后每一个减速带上损 失的机械能,则L应满足什么条件? 【答案】(1) ;(2) ;(3) 【详解】(1)由题意可知小车在光滑斜面上滑行时根据牛顿第二定律有 设小车通过第30个减速带后速度为v,到达第31个减速带时的速度为v,则有 1 2 因为小车通过第30个减速带后,在相邻减速带间的平均速度均相同,故后面过减速带 后的速度与到达下一个减速带均为v 和v;经过每一个减速带时损失的机械能为 1 2 联立以上各式解得 (2)由(1)知小车通过第50个减速带后的速度为v,则在水平地面上根据动能定理 1 有 从小车开始下滑到通过第30个减速带,根据动能定理有 联立解得故在每一个减速带上平均损失的机械能为 (3)由题意可知 可得 61.(2021·河北·高考真题)如图,一滑雪道由 和 两段滑道组成,其中 段倾 角为 , 段水平, 段和 段由一小段光滑圆弧连接,一个质量为 的背包在 滑道顶端A处由静止滑下,若 后质量为 的滑雪者从顶端以 的初速度、 的加速度匀加速追赶,恰好在坡底光滑圆弧的水平处追上背包并立即将其拎起, 背包与滑道的动摩擦因数为 ,重力加速度取 , , , 忽略空气阻力及拎包过程中滑雪者与背包的重心变化,求: (1)滑道 段的长度; (2)滑雪者拎起背包时这一瞬间的速度。 【答案】(1) ;(2) 【详解】(1)设斜面长度为 ,背包质量为 ,在斜面上滑行的加速度为 , 由牛顿第二定律有 解得 滑雪者质量为 ,初速度为 ,加速度为 ,在斜面上滑行时间为 ,落后时间 ,则背包的滑行时间为 ,由运动学公式得 联立解得 或 故可得 (2)背包和滑雪者到达水平轨道时的速度为 、 ,有 滑雪者拎起背包的过程,系统在光滑水平面上外力为零,动量守恒,设共同速度为 , 有 解得 62.(2021·湖南·高考真题)如图,竖直平面内一足够长的光滑倾斜轨道与一长为 的 水平轨道通过一小段光滑圆弧平滑连接,水平轨道右下方有一段弧形轨道 。质量为 的小物块A与水平轨道间的动摩擦因数为 。以水平轨道末端 点为坐标原点建立 平面直角坐标系 , 轴的正方向水平向右, 轴的正方向竖直向下,弧形轨道 端坐标为 , 端在 轴上。重力加速度为 。 (1)若A从倾斜轨道上距 轴高度为 的位置由静止开始下滑,求 经过 点时的 速度大小; (2)若A从倾斜轨道上不同位置由静止开始下滑,经过 点落在弧形轨道 上的动 能均相同,求 的曲线方程; (3)将质量为 ( 为常数且 )的小物块 置于 点,A沿倾斜轨道由静止开 始下滑,与B发生弹性碰撞(碰撞时间极短),要使A和B均能落在弧形轨道上,且A落在B落点的右侧,求A下滑的初始位置距 轴高度的取值范围。 【答案】(1) ;(2) (其中, );(3) 【详解】(1)物块 从光滑轨道滑至 点,根据动能定理 解得 (2)物块 从 点飞出后做平抛运动,设飞出的初速度为 ,落在弧形轨道上的坐标 为 ,将平抛运动分别分解到水平方向的匀速直线运动和竖直方向的自由落体运动, 有 , 解得水平初速度为 物块 从 点到落点,根据动能定理可知 解得落点处动能为 因为物块 从 点到弧形轨道上动能均相同,将落点 的坐标代入,可得化简可得 即 (其中, ) (3)物块 在倾斜轨道上从距 轴高 处静止滑下,到达 点与 物块碰前,其速度 为 ,根据动能定理可知 解得 ------- ① 物块 与 发生弹性碰撞,使A和B均能落在弧形轨道上,且A落在B落点的右侧, 则A与B碰撞后需要反弹后再经过水平轨道-倾斜轨道-水平轨道再次到达O点。规定 水平向右为正方向,碰后AB的速度大小分别为 和 ,在物块 与 碰撞过程中, 动量守恒,能量守恒。则 解得 -------② -------③ 设碰后 物块反弹,再次到达 点时速度为 ,根据动能定理可知 解得 -------④据题意, A落在B落点的右侧,则 -------⑤ 据题意,A和B均能落在弧形轨道上,则A必须落在P点的左侧,即: -------⑥ 联立以上,可得 的取值范围为 63.(2021·浙江·统考高考真题)如图所示,竖直平面内由倾角α=60°的斜面轨道 AB、半径均为R的半圆形细圆管轨道BCDE和圆周细圆管轨道EFG构成一游戏装置固 定于地面,B、E两处轨道平滑连接,轨道所在平面与竖直墙面垂直。轨道出口处G和 圆心O 的连线,以及O、E、O 和B等四点连成的直线与水平线间的夹角均为 2 2 1 θ=30°,G点与竖直墙面的距离 。现将质量为m的小球从斜面的某高度h处静 止释放。小球只有与竖直墙面间的碰撞可视为弹性碰撞,不计小球大小和所受阻力。 (1)若释放处高度h=h,当小球第一次运动到圆管最低点C时,求速度大小v 及在此过 0 c 程中所受合力的冲量的大小和方向; (2)求小球在圆管内与圆心O 点等高的D点所受弹力F 与h的关系式; 1 N (3)若小球释放后能从原路返回到出发点,高度h应该满足什么条件? 【答案】(1) , ,水平向左;(2) (h≥R);(3) 或 【详解】(1)机械能守恒 解得动量定理 方向水平向左 (2)机械能守恒 牛顿第二定律 解得 满足的条件 (3)第1种情况:不滑离轨道原路返回,条件是 第2种情况:与墙面垂直碰撞后原路返回,在进入G之前是平抛运动 其中 , ,则 得 机械能守恒 h满足的条件 64.(2021·浙江·统考高考真题)如图所示,质量m=2kg的滑块以v=16m/s的初速度 0 沿倾角θ=37°的斜面上滑,经t=2s滑行到最高点。然后,滑块返回到出发点。已知 sin37°=0.6,cos37°=0.8,求滑块(1)最大位移值x; (2)与斜面间的动摩擦因数; (3)从最高点返回到出发点的过程中重力的平均功率P。 【答案】(1)16m;(2)0.25;(3)67.9W 【详解】(1)小车向上做匀减速直线运动,有 得 (2)加速度 上滑过程 得 (3)下滑过程 由运动学公式 重力的平均功率 65.(2020·海南·统考高考真题)如图,光滑的四分之一圆弧轨道PQ竖直放置,底端 与一水平传送带相切,一质量 的小物块a从圆弧轨道最高点P由静止释放,到最低点Q时与另一质量 小物块b发生弹性正碰(碰撞时间极短)。已知圆 弧轨道半径 ,传送带的长度L=1.25m,传送带以速度 顺时针匀速转动, 小物体与传送带间的动摩擦因数 , 。求 (1)碰撞前瞬间小物块a对圆弧轨道的压力大小; (2)碰后小物块a能上升的最大高度; (3)小物块b从传送带的左端运动到右端所需要的时间。 【答案】(1)30N;(2)0.2m;(3)1s 【详解】(1)设小物块a下到圆弧最低点未与小物块b相碰时的速度为 ,根据机械 能守恒定律有 代入数据解得 小物块a在最低点,根据牛顿第二定律有 代入数据解得 根据牛顿第三定律,可知小物块a对圆弧轨道的压力大小为30N。 (2)小物块a与小物块b发生弹性碰撞,根据动量守恒有 根据能量守恒有联立解得 , 小物块a反弹,根据机械能守恒有 解得 (3)小物块b滑上传送带,因 ,故小物块b先做匀减速运动,根 据牛顿第二定律有 解得 则小物块b由2m/s减至1m/s,所走过的位移为 代入数据解得 运动的时间为 代入数据解得 因 ,故小物块b之后将做匀速运动至右端,则匀速运动的时间为 故小物块b从传送带的左端运动到右端所需要的时间 66.(2020·北京·统考高考真题)无人机在距离水平地面高度 处,以速度 水平匀速 飞行并释放一包裹,不计空气阻力,重力加速度为 。 (1)求包裹释放点到落地点的水平距离 ; (2)求包裹落地时的速度大小 ; (3)以释放点为坐标原点,初速度方向为 轴方向,竖直向下为 轴方向,建立平面直 角坐标系,写出该包裹运动的轨迹方程。【答案】(1) ;(2) ;(3) 【详解】(1)包裹脱离无人机后做平抛运动,在竖直方向做自由落体运动,则 解得 水平方向上做匀速直线运动,所以水平距离为 (2)包裹落地时,竖直方向速度为 落地时速度为 (3)包裹做平抛运动,分解位移 两式消去时间得包裹的轨迹方程为 67.(2020·江苏·统考高考真题)如图所示,鼓形轮的半径为R,可绕固定的光滑水平 轴O转动。在轮上沿相互垂直的直径方向固定四根直杆,杆上分别固定有质量为m的 小球,球与O的距离均为 。在轮上绕有长绳,绳上悬挂着质量为M的重物。重物 由静止下落,带动鼓形轮转动。重物落地后鼓形轮匀速转动,转动的角速度为 。绳 与轮之间无相对滑动,忽略鼓形轮、直杆和长绳的质量,不计空气阻力,重力加速度 为g。求: (1)重物落地后,小球线速度的大小v; (2)重物落地后一小球转到水平位置A,此时该球受到杆的作用力的大小F; (3)重物下落的高度h。【答案】(1) ;(2) ;(3) 【详解】(1)由题意可知当重物落地后鼓形轮转动的角速度为ω,则根据线速度与角速 度的关系可知小球的线速度为 (2)小球匀速转动,当在水平位置时设杆对球的作用力为F,合力提供向心力,则有 结合(1)可解得杆对球的作用力大小为 (3)设重物下落高度为H,重物下落过程中对重物、鼓形轮和小球组成的系统,根据系 统机械能守恒可知 而重物的速度等于鼓形轮的线速度,有 联立各式解得 68.(2020·江苏·统考高考真题)一只质量为 的乌贼吸入 的水,静止在水 中。遇到危险时,它在极短时间内把吸入的水向后全部喷出,以 的速度向前逃窜。 求该乌贼喷出的水的速度大小v。 【答案】 【详解】乌贼喷水过程,时间较短,内力远大于外力,动量守恒;选取乌贼逃窜的方向为正方向,根据动量守恒定律得 解得喷出水的速度大小为 69.(2020·天津·统考高考真题)长为l的轻绳上端固定,下端系着质量为 的小球 A,处于静止状态。A受到一个水平瞬时冲量后在竖直平面内做圆周运动,恰好能通过 圆周轨迹的最高点。当A回到最低点时,质量为 的小球B与之迎面正碰,碰后A、 B粘在一起,仍做圆周运动,并能通过圆周轨迹的最高点。不计空气阻力,重力加速 度为g,求 (1)A受到的水平瞬时冲量I的大小; (2)碰撞前瞬间B的动能 至少多大? 【答案】(1) ;(2) 【详解】(1)A恰好能通过圆周轨迹的最高点,此时轻绳的拉力刚好为零,设A在最 高点时的速度大小为v,由牛顿第二定律,有 ① A从最低点到最高点的过程中机械能守恒,取轨迹最低点处重力势能为零,设A在最 低点的速度大小为 ,有 ② 由动量定理,有 ③ 联立①②③式,得 ④ (2)设两球粘在一起时速度大小为 ,A、B粘在一起后恰能通过圆周轨迹的最高点, 需满足⑤ 要达到上述条件,碰后两球速度方向必须与碰前B的速度方向相同,以此方向为正方 向,设B碰前瞬间的速度大小为 ,由动量守恒定律,有 ⑥ 又 ⑦ 联立①②⑤⑥⑦式,得碰撞前瞬间B的动能 至少为 ⑧ 70.(2020·山东·统考高考真题)如图所示,一倾角为 的固定斜面的底端安装一弹性 挡板,P、Q两物块的质量分别为m和4m,Q静止于斜面上A处。某时刻,P以沿斜 面向上的速度v 与Q发生弹性碰撞。Q与斜面间的动摩擦因数等于 ,设最大静摩 0 擦力等于滑动摩擦力。P与斜面间无摩擦,与挡板之间的碰撞无动能损失。两物块均 可以看作质点,斜面足够长,Q的速度减为零之前P不会与之发生碰撞。重力加速度 大小为g。 (1)求P与Q第一次碰撞后瞬间各自的速度大小v 、v ; P1 Q1 (2)求第n次碰撞使物块Q上升的高度h; n (3)求物块Q从A点上升的总高度H; (4)为保证在Q的速度减为零之前P不会与之发生碰撞,求A点与挡板之间的最小距离 s。 【答案】(1) P的速度大小为 ,Q的速度大小为 ;(2) (n=1, 2,3……);(3) ;(4)【详解】(1)P与Q的第一次碰撞,取P的初速度方向为正方向,由动量守恒定律得 ① 由机械能守恒定律得 ② 联立①②式得 ③ ④ 故第一次碰撞后P的速度大小为 ,Q的速度大小为 (2)设第一次碰撞后Q上升的高度为h,对Q由运动学公式得 1 ⑤ 联立①②⑤式得 ⑥ 设P运动至与Q刚要发生第二次碰撞前的位置时速度为 ,第一次碰后至第二次碰前, 对P由动能定理得 ⑦ 联立①②⑤⑦式得 ⑧ P与Q的第二次碰撞,设碰后P与Q的速度分别为 、 ,由动量守恒定律得 ⑨ 由机械能守恒定律得 ⑩ 联立①②⑤⑦⑨⑩式得 ⑪⑫ 设第二次碰撞后Q上升的高度为h,对Q由运动学公式得 2 ⑬ 联立①②⑤⑦⑨⑩⑬式得 ⑭ 设P运动至与Q刚要发生第三次碰撞前的位置时速度为 ,第二次碰后至第三次碰前, 对P由动能定理得 ⑮ 联立①②⑤⑦⑨⑩⑬⑮式得 7 v 03 ( 5 )2v 0 ⑯ v P3 v Q3 P与Q的第三次碰撞,设碰后P与Q的速度分别为 、 ,由动量守恒定律得 mv 03 mv P3 4mv Q3 ⑰ 由机械能守恒定律得 1 1 1 2 mv 03 2  2 mv P3 2 2 4mv Q3 2 ⑱ 联立①②⑤⑦⑨⑩⑬⑮⑰⑱式得 3 7 v P3  5 ( 5 )2v 0 ⑲ 2 7 v Q3  5 ( 5 )2v 0 ⑳ 设第三次碰撞后Q上升的高度为h,对Q由运动学公式⑩得 3 h 0v Q3 2=2(2gsin) sin 3  ㉑ 联立①②⑤⑦⑨⑩⑬⑮⑰⑱㉑式得 7 v 2 h 3 ( 25 )2 25 0 g ㉒ 总结可知,第n次碰撞后,物块Q上升的高度为 7 v 2 h n ( 25 )n1 25 0 g (n=1,2,3……) ㉓ (3)当P、Q达到H时,两物块到此处的速度可视为零,对两物块运动全过程由动能定理得 1 H 0 2 mv 0 2 (m4m)gHtan4mgcos sin ㉔ 解得 v 2 H  0 ㉕ 18g (4)设Q第一次碰撞至速度减为零需要的时间为t,由运动学公式得 1 v Q1 2gt 1 sin ㉖ v  设P运动到斜面底端时的速度为 P1,需要的时间为t,由运动学公式得 2 v P1  v P1 gt 2 sin ㉗ v P1 2v P1 2 2sgsin ㉘ 设P从挡板碰撞返回后从A点到Q第一次碰后速度减为零处匀减速运动的时间为t 3 v 02 v P1 gt 3 sin ㉙ 当A点与挡板之间的距离最小时 t 1 2t 2 t 3 ㉚ 联立㉖㉗㉘㉙㉚式,代入数据得 (8 713)v 2 s 0 ㉛ 200gsin 71.(2020·山东·统考高考真题)单板滑雪U型池比赛是冬奥会比赛项目,其场地可 以简化为如图甲所示的模型: U形滑道由两个半径相同的四分之一圆柱面轨道和一个 中央的平面直轨道连接而成,轨道倾角为17.2°。某次练习过程中,运动员以v =10 M m/s的速度从轨道边缘上的M点沿轨道的竖直切面ABCD滑出轨道,速度方向与轨道 边缘线AD的夹角α=72.8°,腾空后沿轨道边缘的N点进入轨道。图乙为腾空过程左视 图。该运动员可视为质点,不计空气阻力,取重力加速度的大小g=10 m/s2, sin72.8°=0.96,cos72.8°=0.30。求: (1)运动员腾空过程中离开AD的距离的最大值d; (2)M、N之间的距离L。【答案】(1)4.8 m;(2)12 m 【详解】(1)在M点,设运动员在ABCD面内垂直AD方向的分速度为v,由运动的合 1 成与分解规律得 v 1 v M sin72.8 ① 设运动员在ABCD面内垂直AD方向的分加速度为a,由牛顿第二定律得 1 mgcos17.2°=ma ② 1 由运动学公式得 v2 d  1 ③ 2a 1 联立①②③式,代入数据得 d=4.8 m ④ (2)在M点,设运动员在ABCD面内平行AD方向的分速度为v,由运动的合成与分解 2 规得 v=vMcos72.8° ⑤ 2 设运动员在ABCD面内平行AD方向的分加速度为a,由牛顿第二定律得 2 mgsin17.2°=ma ⑥ 2 设腾空时间为t,由运动学公式得 2v t 1 ⑦ a 1 1 L=v t a t2 ⑧ 2 2 2 联立①②⑤⑥⑦⑧式,代入数据得 L=12 m ⑨ 72.(2020·浙江·统考高考真题)小明将如图所示的装置放在水平地面上,该装置由弧 形轨道、竖直圆轨道、水平直轨道AB和倾角37的斜轨道BC平滑连接而成。质量 L L 1.0m m0.1kg H 1.0m R0.2m AB BCm0.1kg的小滑块从弧形轨道离地高H 1.0m处静止释放。已知R0.2m, L AB L BC 1.0m ,滑块与轨道 AB 和 BC 间的动摩擦因数均为 0.25 ,弧形轨道和圆 轨道均可视为光滑,忽略空气阻力。 (1)求滑块运动到与圆心O等高的D点时对轨道的压力; (2)通过计算判断滑块能否冲出斜轨道的末端C点; (3)若滑下的滑块与静止在水平直轨道上距A点x处的质量为2m的小滑块相碰,碰后一 起运动,动摩擦因数仍为0.25,求它们在轨道BC上到达的高度h与x之间的关系。 (碰撞时间不计,sin370.6,cos370.8) 1 5 5 【答案】(1)8N,方向水平向左;(2)不会冲出;(3) h x ( mx1m); 6 48 8 5 (0x m) h0 8 【详解】(1)机械能守恒定律 1 mgH mgR mv2 2 D 牛顿第二定律 mv2 F  D 8N N R 牛顿第三定律 F F 8N N N 方向水平向左 (2)能在斜轨道上到达的最高点为C点,功能关系 mgH mgL mgL cosmgL sin AB BC BC 得 15 L  m1.0m BC 16故不会冲出 (3)滑块运动到距A点x处的速度为v,动能定理 1 mgH mgx mv2 2 碰撞后的速度为v,动量守恒定律 mv3mv 设碰撞后滑块滑到斜轨道的高度为h,动能定理 h 1 3mgL x3mg 3mgh0 (3m)v2 AB tan 2 得 1 5 5  h x  m x�1m 6 488   5  h00剟x m  8  m200kg 73.(2020·浙江·统考高考真题)如图1所示,有一质量 的物件在电机的牵 1 引下从地面竖直向上经加速、匀速、匀减速至指定位置。当加速运动到总位移的 时 4 开始计时,测得电机的牵引力随时间变化的Ft图线如图2所示,t34s末速度减为 0时恰好到达指定位置。若不计绳索的质量和空气阻力,求物件: (1)做匀减速运动的加速度大小和方向; (2)匀速运动的速度大小; (3)总位移的大小。 0.125m/s2 【答案】(1) ,竖直向下;(2)1m/s;(3)40m 【详解】(1)由图2可知0~26s内物体匀速运动,26s~34s物体减速运动,在减速运动过 程根据牛顿第二定律有mgF ma T 根据图2得此时FT=1975N,则有 F a g T 0.125m/s2 m 方向竖直向下。 (2)结合图2根据运动学公式有 vat 0.1253426m/s=1m/s 2 (3)根据图像可知匀速上升的位移 h=vt =126m=26m 1 1 匀减速上升的位移 v 1 h = t = 8m=4m 2 2 2 2 1 3 匀加速上升的位移为总位移的 ,则匀速上升和减速上升的位移为总位移的 ,则有 4 4 3 h h  h 1 2 4 所以总位移为 h=40m 74.(2020·全国·统考高考真题)如图,相距L=11.5m的两平台位于同一水平面内,二 者之间用传送带相接。传送带向右匀速运动,其速度的大小v可以由驱动系统根据需 要设定。质量m=10 kg的载物箱(可视为质点),以初速度v=5.0 m/s自左侧平台滑上 0 传送带。载物箱与传送带间的动摩擦因数μ= 0.10,重力加速度取g =10m/s2。 (1)若v=4.0 m/s,求载物箱通过传送带所需的时间; (2)求载物箱到达右侧平台时所能达到的最大速度和最小速度; 13 (3)若v=6.0m/s,载物箱滑上传送带t s后,传送带速度突然变为零。求载物箱从左 12 侧平台向右侧平台运动的过程中,传送带对它的冲量。v 4 3m/s v  2m/s I 208.3Ns 【答案】(1)2.75s;(2) 2 , 1 ;(3)0 ,方向竖直向上 【详解】(1)传送带的速度为v4.0m/s时,载物箱在传送带上先做匀减速运动,设其 加速度为a,由牛顿第二定律有: mg ma ① 设载物箱滑上传送带后匀减速运动的距离为x,由运动学公式有 1 v2v2 2ax ② 0 1 联立①②式,代入题给数据得x=4.5m;③ 1 因此,载物箱在到达右侧平台前,速度先减小至v,然后开始做匀速运动,设载物箱从 滑上传送带到离开传送带所用的时间为t,做匀减速运动所用的时间为t,由运动学公 1 2 式有 vv at ④ 0 2 Lx t t  1 ⑤ 1 2 v 联立①③④⑤式并代入题给数据有t=2.75s;⑥ 1 (2)当载物箱滑上传送带后一直做匀减速运动时,到达右侧平台时的速度最小,设为 v,当载物箱滑上传送带后一直做匀加速运动时,到达右侧平台时的速度最大,设为 1 v 由动能定理有 2. 1 1 mgL mv2 mv2⑦ 2 1 2 0 1 1 mgL mv2 mv2⑧ 2 2 2 0 由⑦⑧式并代入题给条件得 v  2m/s,v 4 3m/s⑨ 1 2 v6.0m/s v vv (3)传送带的速度为 时,由于 0 2,载物箱先做匀加速运动,加速度大 小仍a。设载物箱做匀加速运动通过的距离为x,所用时间为t,由运动学公式有 2 3 vv at ⑩ 0 3 v2v2 2ax 0 2 ⑪ 联立①⑩⑪式并代入题给数据得 t=1.0s 3 x 2 =5.5m⑫ ⑬因此载物箱加速运动1.0s、向右运动5.5m时,达到与传送带相同的速度。此后载物箱 (tt ) 与传送带共同匀速运动 3 的时间后,传送带突然停止,设载物箱匀速运动通过的 距离为x 有 3 x v(tt ) 3 3 ⑭ 由① 式可知 1 ⑫⑬⑭ mv2 mg(Lx x ) 2 2 3 即载物箱运动到右侧平台时速度大于零,设为v,由运动学公式有, 3 v2v2 2a(Lx x ) 3 2 3 ⑮ 则 v 5m/s 3 减速运动时间 vv t  3 1s 4 a 设载物箱通过传送带的过程中,传送带在水平方向上和竖直方向上对它的冲量分别为 I、I。由动量定理有 1 2 I m(v v )0 1 3 0 625 I N(tt )mg(tt ) Ns208.3Ns,方向竖直向上 2 4 4 3 则在整个过程中,传送带给载物箱的冲量 I I 208.3Ns,方向竖直向上 2 75.(2020·全国·统考高考真题)如图,一竖直圆管质量为M,下端距水平地面的高 度为H,顶端塞有一质量为m的小球。圆管由静止自由下落,与地面发生多次弹性碰 撞,且每次碰撞时间均极短;在运动过程中,管始终保持竖直。已知M =4m,球和管 之间的滑动摩擦力大小为4mg, g为重力加速度的大小,不计空气阻力。 (1)求管第一次与地面碰撞后的瞬间,管和球各自的加速度大小; (2)管第一次落地弹起后,在上升过程中球没有从管中滑出,求管上升的最大高度; (3)管第二次落地弹起的上升过程中,球仍没有从管中滑出,求圆管长度应满足的条 件。13 152 H  H L H 【答案】(1)a 1 =2g,a 2 =3g;(2) 1 25 ;(3) 125 【详解】(1)管第一次落地弹起的瞬间,小球仍然向下运动。设此时管的加速度大小 为a,方向向下;球的加速度大小为a,方向向上;球与管之间的摩擦力大小为f,由 1 2 牛顿运动定律有 Ma=Mg+f ① 1 ma = f– mg ② 2 联立①②式并代入题给数据,得 a=2g,a=3g③ 1 2 (2)管第一次碰地前与球的速度大小相同。由运动学公式,碰地前瞬间它们的速度大 小均为 v  2gH ④ 0 方向均向下。管弹起的瞬间,管的速度反向,球的速度方向依然向下。 设自弹起时经过时间t,管与小球的速度刚好相同。取向上为正方向,由运动学公式 1 v–at= –v +a t⑤ 0 11 0 21 联立③④⑤式得 2 2H t  ⑥ 1 5 g 设此时管下端的高度为h,速度为v。由运动学公式可得 1 1 h vt  at2⑦ 1 01 2 11 vv at ⑧ 0 11 由③④⑥⑧式可判断此时v>0。此后,管与小球将以加速度g减速上升h,到达最高点。 2 由运动学公式有 v2 h  ⑨ 2 2g设管第一次落地弹起后上升的最大高度为H,则 1 H= h + h ⑩ 1 1 2 联立③④⑥⑦⑧⑨⑩式可得 13 H  H 1 25 ⑪ (3)设第一次弹起过程中球相对管的位移为x。在管开始下落到上升H 这一过程中, 1 1 由动能定理有 Mg(H–H)+mg(H–H+x)–4mgx=0 1 1 1 1 联立 式并代入题给数据得 ⑫ ⑪⑫ 4 x  H 1 5 ⑬ 同理可推得,管与球从再次下落到第二次弹起至最高点的过程中,球与管的相对位移 x 为 2 4 x  H 2 5 1 ⑭ 设圆管长度为L。管第二次落地弹起后的上升过程中,球不会滑出管外的条件是 x+ x ≤L 1 2 联立 式,L应满足条件为 ⑮ ⑪⑬⑭⑮ 152 L H 125 ⑯ 76.(2020·全国·统考高考真题)一振动片以频率f做简谐振动时,固定在振动片上的 两根细杆同步周期性地触动水面上a、b两点,两波源发出的波在水面上形成稳定的干 涉图样。c是水面上的一点,a、b、c间的距离均为l,如图所示。已知除c点外,在 3 ac连线上还有其他振幅极大的点,其中距c最近的点到c的距离为 l。求: 8 (i)波的波长; (ii)波的传播速度。 1 1 【答案】(i) l;(ii) fl 4 4【详解】(i)设与c点最近的振幅极大点为d,则 3 5 ad l l  l 8 8 7 bd  cd2bc22bccdcos60  l 8 根据干涉加强点距离差的关系: x x x n 1 2 1 bdad  l 4 1 所以波长为 l 4 vf (ii)由于受迫振动的频率取决于受迫源的频率由 知, 1 v fl 4 77.(2020·全国·统考高考真题)我国自主研制了运-20重型运输机。飞机获得的升力 F kv2 大小F可用 描写,k为系数;v是飞机在平直跑道上的滑行速度,F与飞机所受 1.21105 kg 重力相等时的v称为飞机的起飞离地速度,已知飞机质量为 时,起飞离地速 1.69105 kg 度为66 m/s;装载货物后质量为 ,装载货物前后起飞离地时的k值可视为不 变。 (1)求飞机装载货物后的起飞离地速度; (2)若该飞机装载货物后,从静止开始匀加速滑行1 521 m起飞离地,求飞机在滑行 过程中加速度的大小和所用的时间。 v 78m/s t39s 【答案】(1) 2 ;(2)2m/s2 , 【详解】(1)空载起飞时,升力正好等于重力: kv2 mg 1 1 满载起飞时,升力正好等于重力: kv2 m g 2 2 由上两式解得:v 78m/s 2 (2)满载货物的飞机做初速度为零的匀加速直线运动,所以 v202ax 2 解得: a2m/s2 由加速的定义式变形得: v v 0 t  2 a a 解得: t39s 78.(2020·浙江·高考真题)如图所示,一弹射游戏装置由安装在水平台面上的固定弹 射器、竖直圆轨道(在最低点E分别与水平轨道EO和EA相连)、高度h可调的斜轨 道AB组成。游戏时滑块从O点弹出,经过圆轨道并滑上斜轨道。全程不脱离轨道且 r 0.1m OE L 0.2m AC 恰好停在B端则视为游戏成功。已知圆轨道半径 , 长 1 , 长 L 2 0.4m ,圆轨道和 AE 光滑,滑块与 AB 、 OE 之间的动摩擦因数 0.5 。滑块质量 m=2g且可视为质点,弹射时从静止释放且弹簧的弹性势能完全转化为滑块动能。忽略 空气阻力,各部分平滑连接。求 v F (1)滑块恰好能过圆轨道最高点F时的速度 大小; h0.1m F (2)当 且游戏成功时,滑块经过E点对圆轨道的压力 N大小及弹簧的弹性 E 势能 p0; E (3)要使游戏成功,弹簧的弹性势能 P与高度h之间满足的关系。v 1m/s F 0.14N E 8.0103J 【答案】(1) F ;(2) N , p0 ;(3) E 2103(10h3)J 0.05m剟h 0.2m p ,其中 【详解】(1)滑块恰过F点的条件: v2 mg m F r 解得 v 1m/s F (2)滑块在斜面上摩擦受重力、支持力和摩擦力,其中仅重力和摩擦力做功从E到 B,动能定理 1 mghmgcosxmghmgL 0 mv2 2 2 E 代入数据可得 v  6m/s E 在E点做圆周运动,根据牛顿第二定律 v2 F mg m E N r 解得 F 0.14N N 从O到E点,根据能量守恒定律: 1 E mgL  mv 2 p0 1 2 E 解得 E 8.0103J p0 (3)要使游戏成功,首先滑块不能脱离轨道,其次滑块需要恰好停留在B点,设滑块 恰能过F点,从O点到F点,此情况由能量守恒定律可得 1 E 2mgrmgL  mv2 7.0103J p1 1 2 F 滑块恰能过F点,恰好能停留在B点,设此时B点离地高度为h,从O点到B点能量 1 守恒有 E mgh mgL L 0 p1 1 1 2解得 h 0.05m 1 由于滑块需要停留在B点,则需要 mgcosmgsin 解得 tan0.5 即B点离地高度最高为 h L 0.50.2m 2 2 从O到B点 E mghmgL L 2103(10h3)J p 1 2 其中0.05m剟h 0.2m 79.(2020·浙江·高考真题)一个无风晴朗的冬日,小明乘坐游戏滑雪车从静止开始沿 斜直雪道匀变速下滑,滑行54m后进入水平雪道,继续滑行40.5m后匀减速到零。已 知小明和滑雪车的总质量为60kg,整个滑行过程用时10.5s,斜直雪道倾角为37°  sin37 0.6  。求小明和滑雪车: v (1)滑行过程中的最大速度 m的大小; t (2)在斜直雪道上滑行的时间 1; F (3)在斜直雪道上受到的平均阻力 f 的大小。 v 18m/s t 6s F 180N 【答案】(1) m ; (2) 1 ;(3) f 。 【详解】(1)小明和滑雪车在斜面上滑行时做初速度为0的匀加速的直线运动,在水 x v v 平上滑行时,做末速度为0的匀减速直线运动,由平均速度公式v  0 1 可得滑 t 2 行分析运动过程可知:v v x  m t ,x  m t 1 2 1 2 2 2 则整个过程有: v x x 54m40.5m m  1 2  9m/s 2 t t 10.5s 1 2 v 18m/s 解得: m v (2)在斜直雪道上滑行过程中由x  m t 可得,滑行的时间: 1 2 1 2x 254m t  1  6s 1 v 18m/s m vv at (3)根据匀变速直线运动速度时间关系式 0 可得小明和滑雪车在斜直雪道上 的加速度: v a m 3m/s2 t 1 由牛顿第二运动定律: mgsin37F ma f 解得: F 180N f 80.(2019·海南·高考真题)如图,用不可伸长轻绳将物块a悬挂在O点,初始时,轻 绳处于水平拉直状态,现将a由静止释放,当物块a下摆至最低点时,恰好与静止在 水平面上的物块b发生弹性碰撞(碰撞时间极短),碰撞后b滑行的最大距离为s,已  知b的质量是a的3倍,b与水平面间的动摩擦因数为 ,重力加速度大小为g,求 (1)碰撞后瞬间物块b速度的大小; (2)轻绳的长度。 2gs 【答案】(1) ;(2)4μs【详解】(1)设a的质量为m,则b的质量为3m,对物块b碰后由动能定理 1 3mgs0 3mv2 2 b 解得 v  2gs b (2)a球从水平位置摆下的过程 1 mgL mv2 2 0 ab碰撞的过程 mv mv 3mv 0 a b 1 1 1 mv2  mv2 3mv2 2 0 2 a 2 b 解得 L4s 81.(2019·江苏·高考真题)如图所示,质量相等的物块A和B叠放在水平地面上,左 边缘对齐.A与B、B与地面间的动摩擦因数均为μ.先敲击A,A立即获得水平向右 的初速度,在B上滑动距离L后停下.接着敲击B,B立即获得水平向右的初速度, A、B都向右运动,左边缘再次对齐时恰好相对静止,此后两者一起运动至停下.最大 静摩擦力等于滑动摩擦力,重力加速度为g.求: (1)A被敲击后获得的初速度大小v ; A (2)在左边缘再次对齐的前、后,B运动加速度的大小a 、a '; B B (3)B被敲击后获得的初速度大小v . B v  2gL v 2 2gL 【答案】(1) A ;(2)aB=3μg,aB′=μg;(3) B 【详解】(1)由牛顿运动定律知,A加速度的大小aA=μg 匀变速直线运动2aAL=vA2 v  2gL 解得 A (2)设A、B的质量均为m 对齐前,B所受合外力大小F=3μmg 由牛顿运动定律F=maB,得aB=3μg对齐后,A、B所受合外力大小F′=2μmg 由牛顿运动定律F′=2maB′,得aB′=μg (3)经过时间t,A、B达到共同速度v,位移分别为xA、xB,A加速度的大小等于aA 则v=aAt,v=vB–aBt 1 1 x  a t2,x v t a t2 A 2 A B B 2 B 且xB–xA=L v 2 2gL 解得 B . 82.(2019·北京·高考真题)雨滴落到地面的速度通常仅为几米每秒,这与雨滴下落过 程中受到空气阻力有关。雨滴间无相互作用且雨滴质量不变,重力加速度为g。 (1)质量为m的雨滴由静止开始,下落高度h时速度为u,求这一过程中克服空气阻力 所做的功W; (2)将雨滴看作半径为r的球体,设其竖直落向地面的过程中所受空气阻力f=kr2v2,其 中v是雨滴的速度,k是比例系数; a.设雨滴的密度为ρ,推导雨滴下落趋近的最大速度v 与半径r的关系式; m b.示意图中画出了半径为r、r(r>r)的雨滴在空气中无初速下落的v—t图线,其中 1 2 1 2 _____对应半径为r 的雨滴(选填①、②);若不计空气阻力,请在图中画出雨滴无初 1 速下落的v—t图线。 (3)由于大量气体分子在各方向运动的几率相等,其对静止雨滴的作用力为零。将雨滴 简化为垂直于运动方向面积为S的圆盘,证明:圆盘以速度v下落时受到的空气阻力f ∝v2(提示:设单位体积内空气分子数为n,空气分子质量为m)。 0 1 4πgr W mgh mu2 v  【答案】(1) f 2 ;(2)a. m 3k ;b. ①;;(3)见解析 【分析】(1)对雨滴由动能定理解得:雨滴下落h的过程中克服阻做的功; (2) 雨滴的加速度为0时速度最大; (3)由动量定理证明 【详解】(1)对雨滴由动能定理得: 1 mghW  mu2 f 2 1 解得:W mgh mu2 ; f 2 4 (2)a。半径为r的雨滴体积为:V  3 πr3 ,其质量为mV v mg  f 当雨滴的重力与阻力相等时速度最大,设最大速度为 m,则有: f kr2v2 其中 m 4πgr v  联立以上各式解得: m 3k 4πgr v  由 m 3k 可知,雨滴半径越大,最大速度越大,所以①对应半径为r 的雨滴, 1 不计空气阻力,雨滴做自由落体运动,图线如图: (3)设在极短时间t内,空气分子与雨滴碰撞,设空气分子的速率为u, t N nSvt mNm 在 内,空气分子个数为: ,其质量为 0设向下为正方向,对圆盘下方空气分子由动量定理有: Ft m(vu) 1 对圆盘上方空气分子由动量定理有: Ft 0m(uv) 2 圆盘受到的空气阻力为: f F F 1 2 f 2Sv2nm v2 联立解得: 0 。 83.(2019·天津·高考真题)完全由我国自行设计、建造的国产新型航空母舰已完成多 次海试,并取得成功.航母上的舰载机采用滑跃式起飞,故甲板是由水平甲板和上翘 甲板两部分构成,如图1所示.为了便于研究舰载机的起飞过程,假设上翘甲板BC是 与水平甲板 AB 相切的一段圆弧,示意如图2, AB 长 L 1 150m , BC 水平投影 L 63m C 12 sin120.21 2 ,图中 点切线方向与水平方向的夹角 ( ).若舰载机 A t 6s B BC 从 点由静止开始做匀加速直线运动,经 到达 点进入 .已知飞行员的质量 m60kg g 10m/s2 , ,求 (1)舰载机水平运动的过程中,飞行员受到的水平力所做功W; (2)舰载机刚进入BC时,飞行员受到竖直向上的压力F 多大. N W 7.5104 J F 1.1103 N 【答案】(1) ;(2) N 【详解】(1)舰载机由静止开始做匀加速直线运动,设其刚进入上翘甲板时的速度为  ,则有  L  1 ① 2 t 根据动能定理,有1 W  m20 ② 2 联立①②式,代入数据,得 W 7.5104 J ③ (2)设上翘甲板所对应的圆弧半径为R,根据几何关系,有 L Rsin 2 ④ 由牛顿第二定律,有 2 F mg m N R ⑤ 联立①④⑤式,代入数据,得 F 1.1103 N N ⑥ 84.(2019·全国·高考真题)静止在水平地面上的两小物块A、B,质量分别为 m 1.0kg m 4.0kg A , B ;两者之间有一被压缩的微型弹簧,A与其右侧的竖直墙壁 距离l 1.0m,如图所示。某时刻,将压缩的微型弹簧释放,使A、B瞬间分离,两物 E 10.0J 块获得的动能之和为 k 。释放后,A沿着与墙壁垂直的方向向右运动。A、B 0.20 g 10m/s2 与地面之间的动摩擦因数均为 。重力加速度取 。A、B运动过程中 所涉及的碰撞均为弹性碰撞且碰撞时间极短。 (1)求弹簧释放后瞬间A、B速度的大小; (2)物块A、B中的哪一个先停止?该物块刚停止时A与B之间的距离是多少? (3)A和B都停止后,A与B之间的距离是多少? 【答案】(1)4.0m/s, 1.0m/s;(2)B先停止; 0.50m;(3)0.91m 【详解】(1)设弹簧释放瞬间A和B的速度大小分别为v 、v ,以向右为正,由动量 A B 守恒定律和题给条件有0m v m v A A B B E  1 m v 2 1 m v 2 k 2 A A 2 B B 解得 v =4.0m/s,v =1.0m/s A B (2)A、B两物块与地面间的动摩擦因数相等,二者运动的过程中,若A一直向右运 动,一直到停止,则对A由动量定理可得 m gt 0m v A 1 A A 则 t 2.0s 1 B一直向左运动,则 m gt 0m v B 2 B B 解得 t 0.5s 2 可知B先停止运动,该过程中B的位移 1 m v 20 2 B B x  B m g B 解得 x 0.25m B 从二者分开到B停止,A若一直向右运动,由动量定理可得 m gt m v m v A 2 A A A A B停止时A的速度 m gt v ' v  A 2 A A m A 解得 v ' 3m s A 对A由动能定理可得 1 1 m gx  m v '2 m v 2 A A 2 A A 2 A A则位移 x 1.75m>l 1.0m A 这表明在时间t 内A已与墙壁发生碰撞,但没有与B发生碰撞,此时A位于出发点右 2 边的距离为 x2lx 2.0m1.75m0.25m A B位于出发点左边0.25 m处,两物块之间的距离s为 sx x0.25m0.25m0.50m B v '' (3)t 时刻后A将继续向左运动,假设它能与静止的B碰撞,碰撞时速度的大小为 A , 2 由动能定理有 1 1 m gs m v''2 m v '2 A 2 A 2 A A 解得 v ''  7m/s A v v 故A与B将发生碰撞.设碰撞后A、B的速度分别为 A0′以和 B0,由动量守恒定律与 机械能守恒定律有 1 1 1 m(v )m v m v , 2 m A v''2  2 m A v A0 2 2 m B v B0 2 A A A A0 B B0 解得 3 7 2 7 v  m/s, v  m/s A0 5 B0 5 x ' 这表明碰撞后A将向右运动,B继续向左运动。设碰撞后A向右运动距离为 A ′时停 x ' 止,B向左运动距离为 B 时停止,由运动学公式 1 1 m v 2 m v 2 x '  2 A A0 , x '  2 B B0 A m g B m g A B 解得 x 0.63m, x 0.28m A B x ' A 小于碰撞处到墙壁的距离。由上式可得两物块停止后的距离s x x 0.91m A B 85.(2019·全国·高考真题)一质量为m=2000 kg的汽车以某一速度在平直公路上匀速 行驶.行驶过程中,司机忽然发现前方100 m处有一警示牌.立即刹车.刹车过程中, 汽车所受阻力大小随时间变化可简化为图(a)中的图线.图(a)中,0~t 时间段为从 1 司机发现警示牌到采取措施的反应时间(这段时间内汽车所受阻力已忽略,汽车仍保 持匀速行驶),t=0.8 s;t~t 时间段为刹车系统的启动时间,t=1.3 s;从t 时刻开始 1 1 2 2 2 汽车的刹车系统稳定工作,直至汽车停止,已知从t 时刻开始,汽车第1 s内的位移为 2 24 m,第4 s内的位移为1 m. (1)在图(b)中定性画出从司机发现警示牌到刹车系统稳定工作后汽车运动的v-t图 线; (2)求t 时刻汽车的速度大小及此后的加速度大小; 2 (3)求刹车前汽车匀速行驶时的速度大小及t~t 时间内汽车克服阻力做的功;司机发 1 2 现警示牌到汽车停止,汽车行驶的距离约为多少(以t~t 时间段始末速度的算术平均 1 2 值替代这段时间内汽车的平均速度)? 【答案】(1) (2) , 28 m/s(3)30 m/s; 8m/s2 1.16105J ;87.5 m 【详解】解:(1)v-t图像如图所示. (2)设刹车前汽车匀速行驶时的速度大小为v,则t 时刻的速度也为v,t 时刻的速 1 1 1 2 度也为v,在t 时刻后汽车做匀减速运动,设其加速度大小为a,取Δt=1s,设汽车在 2 2 t+n-1Δt内的位移为s,n=1,2,3,…. 2 n若汽车在t+3Δt~t +4Δt时间内未停止,设它在t+3Δt时刻的速度为v,在t+4Δt时刻 2 2 2 3 2 的速度为v,由运动学有 4 s s 3a(Δt)2① 1 4 1 s vΔt a(Δt)2 1 2 2 ② v 4 v 2 4aΔt③ 联立①②③式,代入已知数据解得 17 v  m/s 4 6 ④ 这说明在t+4Δt时刻前,汽车已经停止.因此,①式不成立. 2 由于在t+3Δt~t +4Δt内汽车停止,由运动学公式 2 2 v 3 v 2 3aΔt⑤ 2as v2⑥ 4 3 联立②⑤⑥,代入已知数据解得 a8m/s2 ,v=28 m/s⑦ 2 288 a m/s2 或者 25 ,v 2 =29.76 m/s⑧ 第二种情形下v 小于零,不符合条件,故舍去 3 (3)设汽车的刹车系统稳定工作时,汽车所受阻力的大小为f,由牛顿定律有: 1 f=ma⑨ 1 1 I= f(t t) 在t 1 ~t 2 时间内,阻力对汽车冲量的大小为: 2 1 2 1 ⑩ 由动量定理有:Imv 1 m 2 1 1 由动能定理,在t~t 时间内 ⑪ ,汽车克服阻力做的功为:W  mv2 mv2 1 2 2 1 2 2 ⑫ 联立⑦⑨⑩ 式,代入已知数据解得 v 1 =30 m/s ⑪⑫ W 1.1610⑬ 5J ⑭ 从司机发现警示牌到汽车停止,汽车行驶的距离s约为 1 v2 svt  (v v )(t t) 2 11 2 1 2 2 1 2a ⑮ 联立⑦ ,代入已知数据解得 s=87.5 m⑬⑮ 86.(20⑯19·全国·高考真题)竖直面内一倾斜轨道与一足够长的水平轨道通过一小段光滑圆弧平滑连接,小物块B静止于水平轨道的最左端,如图(a)所示。t=0时刻,小 物块A在倾斜轨道上从静止开始下滑,一段时间后与B发生弹性碰撞(碰撞时间极 短);当A返回到倾斜轨道上的P点(图中未标出)时,速度减为0,此时对其施加 一外力,使其在倾斜轨道上保持静止。物块A运动的v-t图像如图(b)所示,图中的 v 和t 均为未知量。已知A的质量为m,初始时A与B的高度差为H,重力加速度大 1 1 小为g,不计空气阻力。 (1)求物块B的质量; (2)在图(b)所描述的整个运动过程中,求物块A克服摩擦力所做的功; (3)已知两物块与轨道间的动摩擦因数均相等,在物块B停止运动后,改变物块与轨 道间的动摩擦因数,然后将A从P点释放,一段时间后A刚好能与B再次碰上。求改 变前后动摩擦因数的比值。 2 11 【答案】(1)3m ;(2) mgH ;(3) 15 9 v v 【详解】(1)物块A和物块B发生碰撞后一瞬间的速度分别为 A、 B,弹性碰撞瞬 间,动量守恒,机械能守恒,即 mv mv m v 1 A B B 1 1 1 mv2  mv2  m v2 2 1 2 A 2 B B 联立方程解得 mm 2m v  B v ,v  v A mm 1 B mm 1 B B 根据v-t图像可知 1 v  v A 2 1 解得 m 3m B (2)设斜面的倾角为,根据牛顿第二定律,当物块A沿斜面下滑时mgsinθ f ma 1 由v-t图像知 v a  1 1 t 1 当物体A沿斜面上滑时 mgsin f ma 2 由v-t图像知 5v a  1 2 4t 1 解得 1 f  mgsin 9 又因下滑位移 H 1 x   vt 1 sin 2 11 则碰后A反弹,沿斜面上滑的最大位移为 h 1 v x    10.4t 0.1vt 2 sin 2 2 1 11 其中h为P点离水平面得高度,即 1 h H 5 解得 H x  2 5sin 故在图(b)描述的整个过程中,物块A克服摩擦力做的总功为 1  H H  2 W  f x x  mgsin   mgH f 1 2 9 sin 5sin 15  (3)设物块B在水平面上最远的滑行距离为S,设原来的摩擦因为为 ,则以A和B 组成的系统,根据能量守恒定律有 H h mgH hmg m gS tan B  设改变后的摩擦因数为 ,然后将A从P点释放,A恰好能与B再次碰上,即A恰好 滑到物块B位置时,速度减为零,以A为研究对象,根据能量守恒定律得 h mghmg mgS tan又据(2)的结论可知 2 H h W  mgH mg f 15 tan 得 tan9 联立解得,改变前与改变后的摩擦因素之比为  11   9 87.(2019·浙江·高考真题)某砂场为提高运输效率,研究砂粒下滑的高度与砂粒在传 送带上运动的关系,建立如图所示的物理模型.竖直平面内有一倾角θ=37°的直轨道 AB,其下方右侧放置一水平传送带,直轨道末端B与传送带间距可近似为零,但允许 砂粒通过.转轮半径R=0.4m、转轴间距L=2m的传送带以恒定的线速度逆时针转动, 转轮最低点离地面的高度H=2.2m.现将一小物块放在距离传送带高h处静止释放,假 设小物块从直轨道B端运动到达传送带上C点时,速度大小不变,方向变为水平向右. 已知小物块与直轨道和传送带间的动摩擦因数均为μ=0.5.(sin37°=0.6) (1)若h=2.4m,求小物块到达B端时速度的大小; (2)若小物块落到传送带左侧地面,求h需要满足的条件 (3)改变小物块释放的高度h,小物块从传送带的D点水平向右抛出,求小物块落地 点到D点的水平距离x与h的关系式及h需要满足的条件. 【答案】(1)4m/s;(2)h3.0m;(3)h3.6m mgsinmgcosma 【详解】(1)物块由静止释放到B的过程中: h v2 2a B sin 解得v =4m/s B (2)左侧离开,D点速度为零时高为h 1 h 0=mgh mgcos 1 mgL 1 sin解得h