文档
办公文件
生活文档
学习资料
当前位置:
首页
>
文档
>化学答案_2024年4月_01按日期_19号_2024届河北金科大联考高三4月质量检测_河北金科大联考2024届高三4月质量检测化学
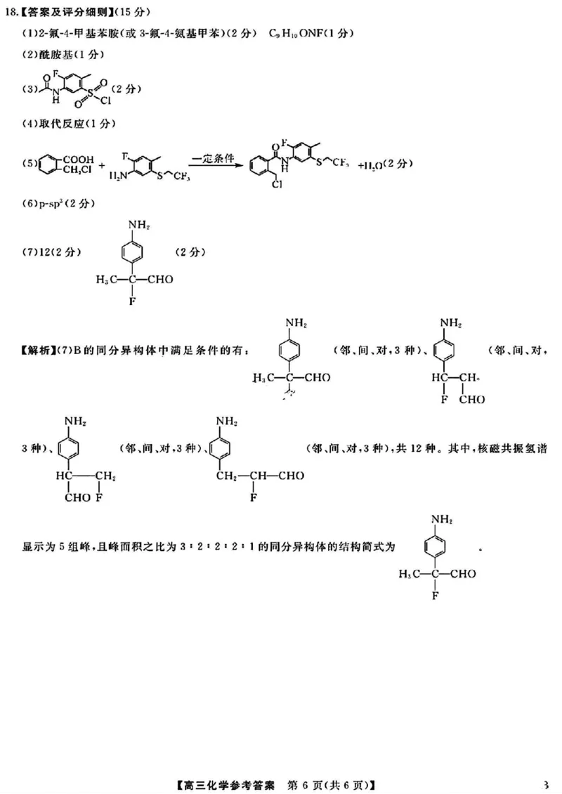
化学答案_2024年4月_01按日期_19号_2024届河北金科大联考高三4月质量检测_河北金科大联考2024届高三4月质量检测化学
2026-02-16 02:26:19
2026-02-15 06:51:19
文档预览
文档信息
文档格式
pdf
文档大小
13.938 MB
文档页数
6 页
上传时间
2026-02-15 06:51:19
下载文档
本文档来自网络内容,如有侵犯您的权益请联系我们删除,联系邮箱:wyl860211@qq.com。
上一篇
7.3习题课:功和功率(解析版)_E015高中全科试卷_物理试题_必修2_2.同步练习_同步练习(第一套)_7.3习题课:功和功率(原稿版+解析版)
下一篇
7.3功率(原卷版)_E015高中全科试卷_物理试题_必修2_2.同步练习_同步练习(第一套)_7.3功率(原稿版+解析版)
最新文档
专题05形容词和副词知识梳理-口袋书2024年中考英语一轮复习知识清单(全国通用)(解析版)_02中考总复习(2026版更新中)_03-英语-中考总复习_2024年中考复习资料_一轮复习
2012年全国统一高考生物真题(新课标)(原卷版)_全国卷+地方卷_6.生物_1.生物高考真题试卷_2008-2020年_全国卷_全国统一高考生物(新课标ⅱ)08-21_A4word版
2012年全国统一高考生物真题(新课标)(原卷版)_全国卷+地方卷_6.生物_1.生物高考真题试卷_2008-2020年_全国卷_全国统一高考生物(新课标ⅱ)08-21_A3word版_PDF版(赠送)
2012年全国统一高考生物真题(新课标)(原卷版)_全国卷+地方卷_6.生物_1.生物高考真题试卷_2008-2020年_全国卷_全国统一高考生物(新课标ⅱ)08-21_A3word版
专题05形容词和副词知识梳理-口袋书2024年中考英语一轮复习知识清单(全国通用)(原卷版)_02中考总复习(2026版更新中)_03-英语-中考总复习_2024年中考复习资料_一轮复习
2012年全国统一高考生物真题(新课标)(原卷版)_全国卷+地方卷_6.生物_1.生物高考真题试卷_2008-2020年_全国卷_全国统一高考生物(新课标ⅰ)08-21_A4word版_PDF版(赠送)
2012年全国统一高考生物真题(新课标)(原卷版)_全国卷+地方卷_6.生物_1.生物高考真题试卷_2008-2020年_全国卷_全国统一高考生物(新课标ⅰ)08-21_A4word版
专题05平衡力(含相互作用力)与摩擦力问题(解析版)_02中考总复习(2026版更新中)_04-物理-中考总复习_2025年中考复习资料_2025年中考物理答题方法模板
2012年全国统一高考生物真题(新课标)(原卷版)_全国卷+地方卷_6.生物_1.生物高考真题试卷_2008-2020年_全国卷_全国统一高考生物(新课标ⅰ)08-21_A3word版_PDF版(赠送)
2012年全国统一高考生物真题(新课标)(原卷版)_全国卷+地方卷_6.生物_1.生物高考真题试卷_2008-2020年_全国卷_全国统一高考生物(新课标ⅰ)08-21_A3word版
热门文档
2012年全国统一高考物理试卷(大纲版)(解析版)_全国卷+地方卷_4.物理_1.物理高考真题试卷_2008-2020年_全国卷物理_全国统一高考物理(新课标ⅱ)08-21_A4word版_PDF版(赠送)
2012年全国统一高考物理试卷(大纲版)(解析版)_全国卷+地方卷_4.物理_1.物理高考真题试卷_2008-2020年_全国卷物理_全国统一高考物理(新课标ⅱ)08-21_A3word版_PDF版(赠送)
专题05平衡力(含相互作用力)与摩擦力问题(原卷版)_02中考总复习(2026版更新中)_04-物理-中考总复习_2025年中考复习资料_2025年中考物理答题方法模板
2012年全国统一高考物理试卷(大纲版)(解析版)_全国卷+地方卷_4.物理_1.物理高考真题试卷_2008-2020年_全国卷物理_全国统一高考物理(新课标ⅰ)08-21_A4word版_PDF版(赠送)
2012年全国统一高考物理试卷(大纲版)(解析版)_全国卷+地方卷_4.物理_1.物理高考真题试卷_2008-2020年_全国卷物理_全国统一高考物理(新课标ⅰ)08-21_A4word版
专题05山河激荡:中国近代的侵略与反抗潮声(讲练)(解析版)_02中考总复习(2026版更新中)_06-历史-中考总复习_2025年中考复习资料_2025中考二轮课件ppt+讲义+练习历史_讲义+练习
2012年全国统一高考物理试卷(大纲版)(解析版)_全国卷+地方卷_4.物理_1.物理高考真题试卷_2008-2020年_全国卷物理_全国统一高考物理(新课标ⅰ)08-21_A3word版_PDF版(赠送)
2012年全国统一高考物理试卷(大纲版)(解析版)_全国卷+地方卷_4.物理_1.物理高考真题试卷_2008-2020年_全国卷物理_全国统一高考物理(新课标ⅰ)08-21_A3word版
专题05山河激荡:中国近代的侵略与反抗潮声(讲练)(原卷版)_02中考总复习(2026版更新中)_06-历史-中考总复习_2025年中考复习资料_2025中考二轮课件ppt+讲义+练习历史_讲义+练习
2012年全国统一高考物理试卷(大纲版)(原卷版)_全国卷+地方卷_4.物理_1.物理高考真题试卷_2008-2020年_全国卷物理_全国统一高考物理(新课标ⅱ)08-21_A4word版_PDF版(赠送)
随机文档
2012年全国统一高考物理试卷(大纲版)(原卷版)_全国卷+地方卷_4.物理_1.物理高考真题试卷_2008-2020年_全国卷物理_全国统一高考物理(新课标ⅱ)08-21_A4word版
专题05山河激荡:中国近代的侵略与反抗潮声(测试)(解析版)_02中考总复习(2026版更新中)_06-历史-中考总复习_2025年中考复习资料_2025中考二轮课件ppt+讲义+练习历史_测试
2012年全国统一高考物理试卷(大纲版)(原卷版)_全国卷+地方卷_4.物理_1.物理高考真题试卷_2008-2020年_全国卷物理_全国统一高考物理(新课标ⅱ)08-21_A3word版_PDF版(赠送)
2012年全国统一高考物理试卷(大纲版)(原卷版)_全国卷+地方卷_4.物理_1.物理高考真题试卷_2008-2020年_全国卷物理_全国统一高考物理(新课标ⅱ)08-21_A3word版
2012年全国统一高考物理试卷(大纲版)(原卷版)_全国卷+地方卷_4.物理_1.物理高考真题试卷_2008-2020年_全国卷物理_全国统一高考物理(新课标ⅰ)08-21_A4word版_PDF版(赠送)
2012年全国统一高考物理试卷(大纲版)(原卷版)_全国卷+地方卷_4.物理_1.物理高考真题试卷_2008-2020年_全国卷物理_全国统一高考物理(新课标ⅰ)08-21_A4word版
专题05山河激荡:中国近代的侵略与反抗潮声(测试)(原卷版)_02中考总复习(2026版更新中)_06-历史-中考总复习_2025年中考复习资料_2025中考二轮课件ppt+讲义+练习历史_测试
2012年全国统一高考物理试卷(大纲版)(原卷版)_全国卷+地方卷_4.物理_1.物理高考真题试卷_2008-2020年_全国卷物理_全国统一高考物理(新课标ⅰ)08-21_A3word版_PDF版(赠送)
2012年全国统一高考物理试卷(大纲版)(原卷版)_全国卷+地方卷_4.物理_1.物理高考真题试卷_2008-2020年_全国卷物理_全国统一高考物理(新课标ⅰ)08-21_A3word版
专题05实验方案的设计与评价(解析版)_02中考总复习(2026版更新中)_05-化学-中考总复习_2025年中考复习资料_2025年中考化学答题方法模板