当前位置:首页>文档>北京市朝阳区2024-2025学年高三上学期期中质量检测物理试卷_2024-2025高三(6-6月题库)_2024年11月试卷_1116北京市朝阳区2024-2025学年高三上学期期中考试(全科)

北京市朝阳区2024-2025学年高三上学期期中质量检测物理试卷_2024-2025高三(6-6月题库)_2024年11月试卷_1116北京市朝阳区2024-2025学年高三上学期期中考试(全科)

  • 2026-04-01 20:35:11 2026-02-18 04:50:38

文档预览

北京市朝阳区2024-2025学年高三上学期期中质量检测物理试卷_2024-2025高三(6-6月题库)_2024年11月试卷_1116北京市朝阳区2024-2025学年高三上学期期中考试(全科)
北京市朝阳区2024-2025学年高三上学期期中质量检测物理试卷_2024-2025高三(6-6月题库)_2024年11月试卷_1116北京市朝阳区2024-2025学年高三上学期期中考试(全科)
北京市朝阳区2024-2025学年高三上学期期中质量检测物理试卷_2024-2025高三(6-6月题库)_2024年11月试卷_1116北京市朝阳区2024-2025学年高三上学期期中考试(全科)
北京市朝阳区2024-2025学年高三上学期期中质量检测物理试卷_2024-2025高三(6-6月题库)_2024年11月试卷_1116北京市朝阳区2024-2025学年高三上学期期中考试(全科)
北京市朝阳区2024-2025学年高三上学期期中质量检测物理试卷_2024-2025高三(6-6月题库)_2024年11月试卷_1116北京市朝阳区2024-2025学年高三上学期期中考试(全科)
北京市朝阳区2024-2025学年高三上学期期中质量检测物理试卷_2024-2025高三(6-6月题库)_2024年11月试卷_1116北京市朝阳区2024-2025学年高三上学期期中考试(全科)
北京市朝阳区2024-2025学年高三上学期期中质量检测物理试卷_2024-2025高三(6-6月题库)_2024年11月试卷_1116北京市朝阳区2024-2025学年高三上学期期中考试(全科)
北京市朝阳区2024-2025学年高三上学期期中质量检测物理试卷_2024-2025高三(6-6月题库)_2024年11月试卷_1116北京市朝阳区2024-2025学年高三上学期期中考试(全科)
北京市朝阳区2024-2025学年高三上学期期中质量检测物理试卷_2024-2025高三(6-6月题库)_2024年11月试卷_1116北京市朝阳区2024-2025学年高三上学期期中考试(全科)
北京市朝阳区2024-2025学年高三上学期期中质量检测物理试卷_2024-2025高三(6-6月题库)_2024年11月试卷_1116北京市朝阳区2024-2025学年高三上学期期中考试(全科)

文档信息

文档格式
docx
文档大小
1.558 MB
文档页数
10 页
上传时间
2026-02-18 04:50:38

文档内容

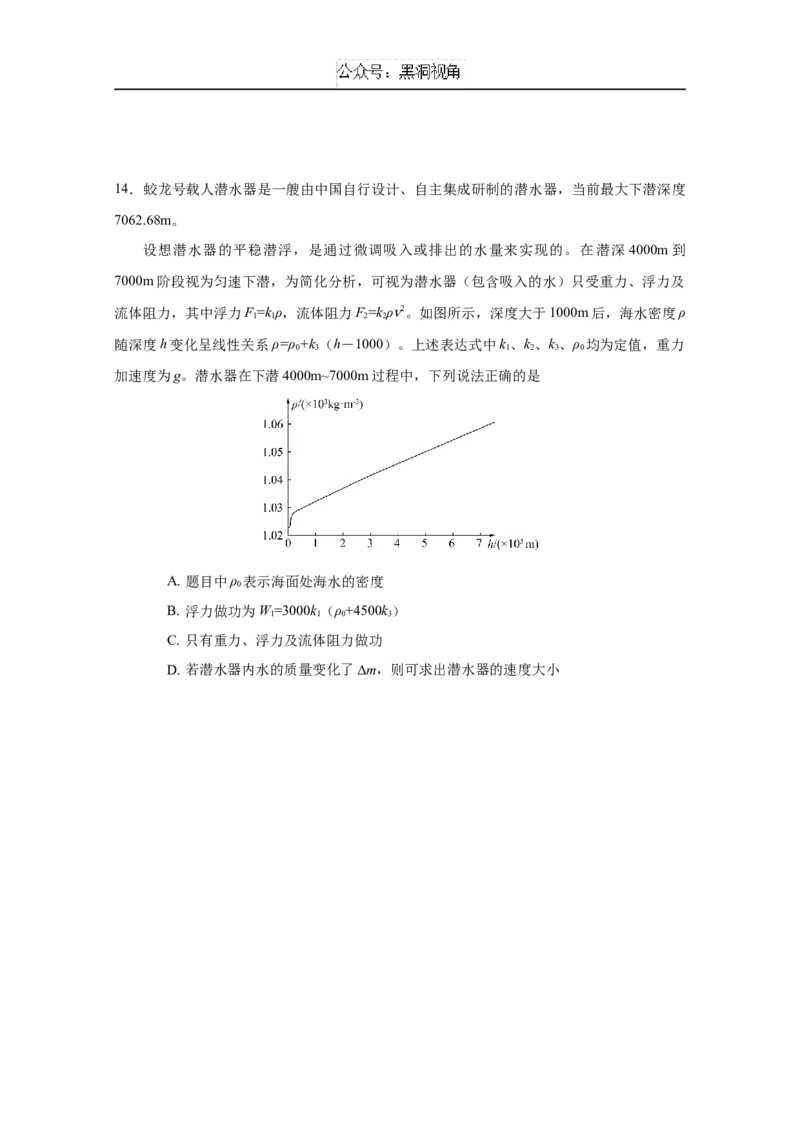
北京市朝阳区2024~2025学年度第一学期期中质量检测 高三物理 2024.11 (考试时间90分钟满分100分) 第一部分 本部分共14题,每题3分,共42分。在每题列出的四个选项中,选出最符合题目要求 的一项。 1.关于直线运动与曲线运动,下列选项正确的是 A.速度改变的运动一定是曲线运动 B.速度恒定的运动一定是直线运动 C.加速度改变的运动一定是曲线运动 D.加速度恒定的运动一定是直线运动 2.运动会中有100m、200m、400m比赛。如图所示,在200m、400m比赛中运动员从不同 的起跑线出发,全程分道赛跑,比赛的最后程都经过跑道的直道部分,到达同一条终点线。 下列选项正确的是 A.在100m比赛中,运动员的位移大小相等 B.在200m比赛中,不同跑道的运动员的位移相同 C.在400m比赛中,外跑道的运动员的路程大 D.在400m比赛中,不同跑道的运动员的位移相同 3.甲、乙两物体零时刻开始从同一地点向同一方向做直线运动,位移-时间图像如图所示。 则下列选项正确的是 A.甲、乙均做加速运动 B.t 时刻甲、乙的速度相同 1 C.在0~t 时间内甲的速度总比乙大 1 O D.在0~t 时间内甲、乙的平均速度相同 1 4.手持较长软绳端点O以周期T在竖直方向上做简谐运动,带动绳上的其他质点振动形成沿绳水平方向传播的简谐波,如图所示。绳上有另一质点P(图中未画出),且O、P的平 衡位置间距为L。t=0时,O位于最高点,P位于最低点,下列选项正确的是 A.该简谐波是纵波 L B.该简谐波的最大传播速度为 T T C. t= 时,P在平衡位置上方 2 T D. t= 时,P的速度方向竖直向上 2 5.生活中常用绳索来改变或固定悬吊物的位置。如图所示,悬吊重物的细绳O点被一水平 绳BO牵引,使悬绳AO段和竖直方向成θ角。悬吊物所受的重力为G。下列选项正确的是 A.绳AO所受拉力大小为Gsinθ B.绳BO所受拉力大小为Gtanθ C.保持O点位置不变,若B点上移,则绳AO中拉力变大 D.保持O点位置不变,若B点上移,则绳BO中拉力变大 6.在平直的公路上,一辆小汽车前方26m处有一辆大客车 正以12m/s的速度匀速前进,这时小汽车从静止出发以1m/s2的加速度追赶。下列选项正确的 是 A.小汽车运动12s追上大客车 B.小汽车运动338m追上大客车 C.追上时小汽车的速度大小为24m/s D.追上前两车之间的最远距离为72m 7.如图所示,水平传送带长为L,传动速率为v,在其左端无初速度放一小木块,若木块与 传送带间的动摩擦因数为μ,则木块从左端运动到右端的时间不可能是 A. B. v C. D. +8.“套圈圈”是许多人喜爱的一种游戏。如图所示,小孩和大人在同一竖直线上的不同高 度先后水平抛出圆环,且圆环都恰好套中前方同一个物体,若大人抛出圆环的高度为小孩抛 出高度的n倍,圆环的运动均可视为平抛运动,则大人和小孩所抛出的圆环 A.运动时间之比为 1:√n B.速度变化率之比为 1:√n C.水平初速度大小之比为 D.落地时速度大小之比为 9.如图所示是 A、B两物体做匀速圆周运动的向心加速度a的大小随半径r变化的图像,其 中A为反比例函数图像。由图可知当圆周运动的半径增大时 A.物体中A运动的线速度增大 B.物体B运动的线速度增大 C.物体A运动的角速度增大 D.物体B运动的角速度增大 10.如图所示,水平面上放一足够长的木板,木板左侧固定一轻 弹 簧并与物块的左侧连接,控制木板和物块均静止并使弹簧处于压缩状态,不计各表面摩擦。 现同时释放木板和物块,则 A.弹簧恢复原长时物块动量最大 B.弹簧伸长最长时木板动能最大 C.木板与物块最终一起向左运动 D.木板、物块、弹簧组成的系统机械能变大 11.如图所示,轻质定滑轮固定在天花板上,质量分别为m、m 的物体1和2用不可伸长的 1 2 轻绳相连,悬挂在定滑轮上,且 。 时刻将两物体由静止释放,物体2的加速度大 小为a。重力加速度大小为 ,不计摩擦和空气阻力,两物体均可视为质点。下列选项正确 的是 A.两物体的加速度相同 B.a与(m-m)成正比 2 1 C.物体1机械能增加量小于物体2机械能减少量 D.物体1动能增加量小于其重力势能增加量12.当自行车在水平路面上正常匀速前进时,轮胎边缘气门嘴的运动,可以等效成一个沿前 进方向匀速直线运动和一个匀速圆周运动的合运动。关于气门嘴,下列说法正确的是 气门嘴 A.相对于轮轴的线速度和沿前进方向匀速直线运动的速度一定相同 B.运动到车轮轮轴前方同一水平位置时的速度方向竖直向下 C.所受合力大小不变,方向始终指向车轮轮轴方向 D.运动到最低点时所受合力为零 13.不计质量的弹簧一端连接一个可看作质点的小球构成弹簧振子,若小球质量为m、弹簧的 劲度系数为k,则系统做简谐运动的固有周期为 。实验小组把未连接小球的弹簧竖 直悬挂在铁架台的横杆上,拉伸弹簧并释放后,发现弹簧不悬挂重物时也存在振动周期。为 探究这一问题,小组同学首先测量了弹簧自身的质量m ,然后按照图1把不同质量的小球悬 0 挂在这根弹簧的下端,测量并记录系统振动周期 T与对应的小球质量m,作出T2-m的图像如 图2所示,发现该图像为一条不过原点的直线。对这一探究过程,以下推理正确的是 O 图1 图2 A.小球质量不同,造成弹簧劲度系数发生了变化 B.图像不过原点是周期的测量值存在误差造成的 C.图2中图线延长线与横轴交点的绝对值不等于m 0 D.使系统在水平方向做简谐运动,T2-m图像将通过原点14.蛟龙号载人潜水器是一艘由中国自行设计、自主集成研制的潜水器,当前最大下潜深度 7062.68m。 设想潜水器的平稳潜浮,是通过微调吸入或排出的水量来实现的。在潜深4000m到 7000m阶段视为匀速下潜,为简化分析,可视为潜水器(包含吸入的水)只受重力、浮力及 流体阻力,其中浮力F=kρ,流体阻力F=kρv2。如图所示,深度大于1000m后,海水密度ρ 1 1 2 2 随深度h变化呈线性关系ρ=ρ+k (h-1000)。上述表达式中k 、k 、k 、ρ 均为定值,重力 0 3 1 2 3 0 加速度为g。潜水器在下潜4000m~7000m过程中,下列说法正确的是 A. 题目中ρ 表示海面处海水的密度 0 B. 浮力做功为W=3000k(ρ+4500k) 1 1 0 3 C. 只有重力、浮力及流体阻力做功 D. 若潜水器内水的质量变化了Δm,则可求出潜水器的速度大小第二部分 本部分共6题,共58分。 15.(8分) (1)某同学用频闪照相记录平抛小球在不同时刻的位置,探究平抛运动的特点。关于该实 验,下列做法中正确的是 。 A.选择体积小、质量小的小球 B.借助重锤线确定竖直方向 C.先打开频闪仪,再抛出小球 (2)如图1所示,某同学用向心力演示器探究向心力大小F与物 钢球1 钢球1 体的质量m、角速度ω和轨道半径r的关系。通过本实验可以初步 得到的结果是________。 A.在半径和角速度一定的情况下,向心力的大小与质量成正比 B.在质量和角速度一定的情况下,向心力的大小与半径成反比 图1 C.在质量和半径一定的情况下,向心力的大小与角速度平方成正比 (3)利用图2所示装置通过研究重物的落体运动来验证机械能守恒定 律。下列做法中正确的是 。 A.要用秒表测量时间 B.选用重物时,同样大小、形状的重物应选重一点的比较好 v=√2gh C.可以利用公式 来计算瞬时速度 图2 (4)某同学在竖直悬挂的弹簧下加挂钩码,研究弹力与弹 m/g 160 簧伸长量的关系。他根据实验数据作出钩码的质量m跟弹 120 簧总长度 x 关系的图像,如图 3 所示,重力加速度取 9.8 m/s2。由图可知弹簧的劲度系数为 N/m(结果保 80 留两位有效数字)。 40 4 0 12 6 8 10 x/cm 图3 16.(10分)(1)如图1所示为“探究小车加速度a与受力F、质量M的关系”实验装置图。 ①实验中主要采用的研究方法是 。 A.理想模型法 B.微元法 C.控制变量法 ②关于本实验,下列说法正确的是 。 A.实验时,应先接通打点计时器的电源,再释放小车 B.每次增加重物改变小车的质量,都需要重新平衡摩擦力 C.平衡小车受到的摩擦力和其他阻力时,应不挂槽码 图1 ③经正确操作后获得一条如图2所示的纸带,选取0、1、2、3、4、5、6七个计数点, 建立以计数点0为坐标原点的x轴,相邻计数点间的时间间隔为T,计数点0、3、6的位置坐 标分别为0、L、L。小车加速度的表达式是 (用所给字母表示)。 1 2 0 L L 1 2 图2 (2)如图3所示,两小车放在水平桌面上,把木板一端适当垫高平衡阻力。两小车前端各自 通过小盘及重物牵引,后端各系一条细线,用板擦把两条细线按在木板上,使小车静止。抬 起板擦,小车同时运动,一段时间后按下板擦,小车同时停下。 图3 ①用小盘和盘中重物的总重力大小代替拉小车的轻绳拉力大小,其条件是小盘和盘中重 物的总质量 (选填“远大于”、“远小于”或“等于”)小车和车中重物的总质 量; ②在盘中重物相同且保持不变的情况下,通过增减小车中的重物改变小车的质量,多次 m 1 m 进行实验,测得多组数据。把两小车质量(包括车上重物质量)之比 2作为横轴,对应的 x x m 2 2 1 − x x m 两小车位移大小之比 1作为纵轴,作出 1 2图像。该图像满足什么特征即可说明“合力 一定时,物体加速度与其质量成反比”。 17.(9分)如图所示,把一个质量为 m=0.2kg的小球放在高度为 h=5.0m 的直杆顶端。一颗子弹以 1 v=500m/s的速度沿水平方向击中并穿过小球,小球落地处离杆底端的距离为s=20m,子弹落 0 地处离杆底端的距离s'=100m,小球和子弹的落点与直杆底端在一条直线上。忽略空气阻力 的影响,取重力加速度g=10m/s2。求: v ' (1)子弹穿过小球瞬间的速度大小 0 ; m 0 (2)子弹对小球做的功W; (3)子弹的质量m。 0 18.(9分) 如图所示,长度为L的粗糙水平面AB与竖直面内半径为R的光滑半圆形轨道在B点 平滑相接,一质量为m的小滑块将轻弹簧压缩至A点后由静止释放,小滑块到达B点前已和 弹簧分离,经过B点后沿半圆轨道恰好能通过最高点C作平抛运动。 已知:R= 0.9m,m= 0.2kg,L= 10m,小滑块与轨道AB间的动摩擦因数μ=0.2,重 力加速度大小取g=10m/s2。求: (1)小滑块通过C点的速度大小v; C (2)小滑块对圆轨道最低处B点的压力大小F; (3)弹簧压缩至A点时的弹性势能E 。 P 19.(10分) 一种对钢水管道中的钢水减速缓冲的设计方案如图1所示。钢水在截面为矩形的水平腔内以速度v匀速流动,钢锭P静置在缓冲区abdc内的MN处。为简化起见,如图2所示,将 0 钢水视为与钢锭P相同的长方体A,且A、P质量均为m。当钢水A与钢锭P同时处于缓冲 区时,A、P受到大小相等且方向相反的作用力使A立即减速、P立即加速,作用力与A、P 的速度之差成正比,比例系数为k。忽略钢锭本身的大小,不考虑其他作用力,且钢水A在 缓冲区未与钢锭P接触。 (1)求钢水A运动过程中的最大加速度a ; m (2)若钢锭P到达缓冲区边界cd时的速度为 ,求: a.此过程系统损失的机械能ΔE; b.MN与边界ab间的最小距离x。 图1 图2 20.(12分) 20世纪人类最伟大的创举之一是实现了在太空翱翔的梦想。如图1所示,在地球表面水平抛射物体时,随着抛射速度的增大,物体被抛射的越来越 远。如果没有空气阻力,且不考虑地球自转的影响,当抛射速度达到某一值时,它将绕地球 做匀速圆周运动。抛射速度再大,轨道将变成椭圆。已知质量为m 和m ,距离为r的两个质 1 2 m m E =−G 1 2 点间的引力势能 P r ,G为引力常量。 (1)卫星沿圆周轨道运动的情况较为简单。已知地球质量为M,某卫星P质量为m,请推 导该卫星在半径为r的圆周轨道上运行时的机械能E; (2)卫星沿椭圆轨道运动的情况较为复杂。 a.卫星沿椭圆轨道运动时,它与地心的连线在相等的时间内扫过的面积相等。当卫星运 行到椭圆轨道的近地点时,与地心的距离为r ,速度大小为v;当卫星运行到远地点 1 1 时,与地心的距离为r 2 ,速度大小为v 2 。请推导证明r 1 v 1 = r 2 v 2 ; b.卫星沿椭圆轨道运动时,它的机械能守恒。如图2所示,轨道1、轨道2、轨道3均 为椭圆且半长轴均为a,该卫星在三个轨道上运行时的机械能分别为E 、E 、E 。小 1 2 3 明同学通过类比(1)问猜想E、E、E 相等,请你推理论证他的猜想是否正确。 1 2 3 1 2 3 图1 图2