当前位置:首页>文档>精品解析:重庆市璧山来凤中学等多校联考2023-2024学年高三下学期3月月考生物试题(解析版)_2024年3月_013月合集_2024届重庆金太阳(24-340C)好教育联盟高三3月联考

精品解析:重庆市璧山来凤中学等多校联考2023-2024学年高三下学期3月月考生物试题(解析版)_2024年3月_013月合集_2024届重庆金太阳(24-340C)好教育联盟高三3月联考

  • 2026-05-15 01:56:53 2026-02-18 07:51:52

文档预览

精品解析:重庆市璧山来凤中学等多校联考2023-2024学年高三下学期3月月考生物试题(解析版)_2024年3月_013月合集_2024届重庆金太阳(24-340C)好教育联盟高三3月联考
精品解析:重庆市璧山来凤中学等多校联考2023-2024学年高三下学期3月月考生物试题(解析版)_2024年3月_013月合集_2024届重庆金太阳(24-340C)好教育联盟高三3月联考
精品解析:重庆市璧山来凤中学等多校联考2023-2024学年高三下学期3月月考生物试题(解析版)_2024年3月_013月合集_2024届重庆金太阳(24-340C)好教育联盟高三3月联考
精品解析:重庆市璧山来凤中学等多校联考2023-2024学年高三下学期3月月考生物试题(解析版)_2024年3月_013月合集_2024届重庆金太阳(24-340C)好教育联盟高三3月联考
精品解析:重庆市璧山来凤中学等多校联考2023-2024学年高三下学期3月月考生物试题(解析版)_2024年3月_013月合集_2024届重庆金太阳(24-340C)好教育联盟高三3月联考
精品解析:重庆市璧山来凤中学等多校联考2023-2024学年高三下学期3月月考生物试题(解析版)_2024年3月_013月合集_2024届重庆金太阳(24-340C)好教育联盟高三3月联考
精品解析:重庆市璧山来凤中学等多校联考2023-2024学年高三下学期3月月考生物试题(解析版)_2024年3月_013月合集_2024届重庆金太阳(24-340C)好教育联盟高三3月联考
精品解析:重庆市璧山来凤中学等多校联考2023-2024学年高三下学期3月月考生物试题(解析版)_2024年3月_013月合集_2024届重庆金太阳(24-340C)好教育联盟高三3月联考
精品解析:重庆市璧山来凤中学等多校联考2023-2024学年高三下学期3月月考生物试题(解析版)_2024年3月_013月合集_2024届重庆金太阳(24-340C)好教育联盟高三3月联考
精品解析:重庆市璧山来凤中学等多校联考2023-2024学年高三下学期3月月考生物试题(解析版)_2024年3月_013月合集_2024届重庆金太阳(24-340C)好教育联盟高三3月联考
精品解析:重庆市璧山来凤中学等多校联考2023-2024学年高三下学期3月月考生物试题(解析版)_2024年3月_013月合集_2024届重庆金太阳(24-340C)好教育联盟高三3月联考
精品解析:重庆市璧山来凤中学等多校联考2023-2024学年高三下学期3月月考生物试题(解析版)_2024年3月_013月合集_2024届重庆金太阳(24-340C)好教育联盟高三3月联考
精品解析:重庆市璧山来凤中学等多校联考2023-2024学年高三下学期3月月考生物试题(解析版)_2024年3月_013月合集_2024届重庆金太阳(24-340C)好教育联盟高三3月联考
精品解析:重庆市璧山来凤中学等多校联考2023-2024学年高三下学期3月月考生物试题(解析版)_2024年3月_013月合集_2024届重庆金太阳(24-340C)好教育联盟高三3月联考
精品解析:重庆市璧山来凤中学等多校联考2023-2024学年高三下学期3月月考生物试题(解析版)_2024年3月_013月合集_2024届重庆金太阳(24-340C)好教育联盟高三3月联考
精品解析:重庆市璧山来凤中学等多校联考2023-2024学年高三下学期3月月考生物试题(解析版)_2024年3月_013月合集_2024届重庆金太阳(24-340C)好教育联盟高三3月联考
精品解析:重庆市璧山来凤中学等多校联考2023-2024学年高三下学期3月月考生物试题(解析版)_2024年3月_013月合集_2024届重庆金太阳(24-340C)好教育联盟高三3月联考
精品解析:重庆市璧山来凤中学等多校联考2023-2024学年高三下学期3月月考生物试题(解析版)_2024年3月_013月合集_2024届重庆金太阳(24-340C)好教育联盟高三3月联考
精品解析:重庆市璧山来凤中学等多校联考2023-2024学年高三下学期3月月考生物试题(解析版)_2024年3月_013月合集_2024届重庆金太阳(24-340C)好教育联盟高三3月联考

文档信息

文档格式
docx
文档大小
1.211 MB
文档页数
19 页
上传时间
2026-02-18 07:51:52

文档内容

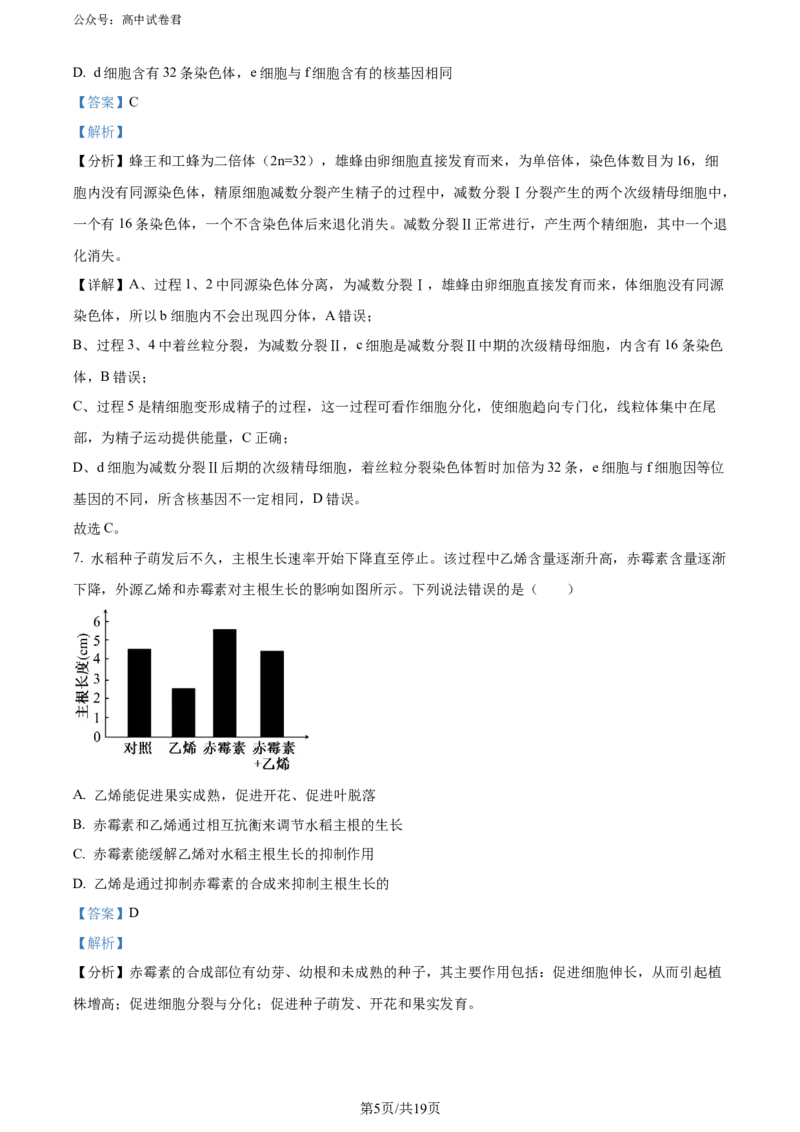
公众号:高中试卷君 重庆市高三生物学考试 本试卷满分100分,考试用时75分钟。 注意事项: 1.答题前,考生务必将自己的姓名、考生号、考场号、座位号填写在答题卡上。 2.回答选择题时,选出每小题答案后,用铅笔把答题卡上对应题目的答案标号涂黑。如需改 动,用橡皮擦干净后,再选涂其他答案标号。回答非选择题时,将答案写在答题卡上。写在 本试卷上无效。 3.考试结束后,将本试卷和答题卡一并交回。 4.本试卷主要考试内容:人教版必修1、2,选择性必修12.3 一、单项选择题:本题共15小题,每小题3分,共45分。在每小题给出的四个选项中,只 有一项是符合题目要求的。 1. 在真核细胞内,由于存在膜泡运输,生物膜在各个膜性细胞器、膜性结构及细胞膜之间进行常态性转移 而出现“膜流”现象。下列有关叙述错误的是( ) A. 抗体合成和运输的过程中,高尔基体是“膜流”的枢纽 B. 兴奋在神经元之间传递的过程中,会出现“膜流”现象 C. 细胞出现质壁分离和复原可以作为“膜流”现象的例证 D. 损伤的线粒体发生自噬的过程中,溶酶体参与“膜流” 【答案】C 【解析】 【分析】题干分析可知,①膜流是指膜泡运输、②发生在真核细胞各个膜性细胞器及细胞膜之间,常见的 例子有分泌蛋白的运输过程,神经递质的释放过程等。 【详解】A、抗体合成和运输的过程中,内质网产生的囊泡会与高尔基体融合,高尔基体对蛋白质加工后, 又通过囊泡的形式运往细胞膜,与细胞膜发生融合,因此高尔基体是“膜流”的枢纽,A正确; B、兴奋在神经元之间传递的过程中,囊泡与突触前膜融合释放神经递质,会出现“膜流”现象,B正确; C、由题干知,“膜流”发生在“真核细胞生物膜在各个膜性细胞器及细胞膜之间的常态性转移”,质壁 分离和复原现象只是原生质层与细胞壁的分离与复原,没有涉及到各种膜结构之间的联系和转移,C错误; D、损伤的线粒体发生自噬的过程中,损伤的线粒体被内质网包裹形成自噬体,自噬体与溶酶体结合对线 粒体进行降解,因此溶酶体参与“膜流”,D正确。 故选C 。 2. 生态足迹又叫生态占用,是指在现有技术条件下,维持某一人口单位生存所需的生产资源和吸纳废物的 土地及水域的面积。下列措施会增大生态足迹的是( ) 第1页/共19页 学科网(北京)股份有限公司公众号:高中试卷君 A. 降低植物性食物的比例 . B 双面打印,节约用纸 C. 骑自行车或乘坐公共汽车出行 D. 节约生活用水、降低污水排放 【答案】A 【解析】 【分析】生态足迹是指在现有技术条件下,维持某一人口单位生存所需的生产资源和吸纳废物的土地及水 域的面积。 【详解】A、降低植物性食物的比例,增加动物性食物的比例,会增大生态足迹,A正确; B、双面打印,节约用纸,可以减少森林的砍伐,减小生态足迹,B错误; C、骑自行车或乘坐公共汽车出行,可以减少汽车尾气的排放,减小生态足迹,C错误; D、节约生活用水、降低污水排放,可以减小生态足迹,D错误。 故选A。 3. 阿格雷在分离纯化红细胞膜上的Rh多肽时,发现了一种疏水性跨膜蛋白(CHIP28),并发现CHIP28 在吸水能力很强的红细胞的膜上含量特别高。非洲爪蟾卵母细胞对水的通透性极低,阿格雷将CHIP28的 mRNA注入非洲爪蟾卵母细胞内,72 h后再将其放入低渗溶液中。并与未注入此mRNA的细胞作比较,结 果如图所示。下列有关分析正确的是( ) A. 由磷脂分子构成的脂质体在低渗溶液中不会吸水膨胀 B. CHIP28是水通道蛋白,与水分子结合后介导水的跨膜运输 C. 在不同种类的细胞中,mRNA翻译出CHIP28所用的密码子不同 D. CHIP28增大了膜对水的通透性,使水以协助扩散的方式进入细胞 【答案】D 【解析】 【分析】1、水分子进出细胞的方式有两种:一是通过自由扩散的方式进出细胞,二是通过细胞膜上的水 通道蛋白以协助扩散的方式进出细胞; 2、题图分析可知,科学家将膜蛋白CHIP28的mRNA注入到非洲爪蟾卵母细胞内,72h后将其放入低渗溶 液中,3.5分钟后该卵母细胞吸水涨破;而没有注入膜蛋白CHIP28的mRNA的非洲爪蟾卵母细胞放入低渗 第2页/共19页 学科网(北京)股份有限公司公众号:高中试卷君 溶液后,细胞体积无明显变化。据此可知,将膜蛋白CHIP28的mRNA注入到非洲爪蟾卵母细胞内,72h 后非洲爪蟾卵母细胞以该mRNA为模板合成了膜蛋白CHIP28,该蛋白为水通道蛋白,可以协助水分子进 入细胞,导致细胞吸水涨破。 【详解】A、由磷脂分子构成的脂质体在低渗溶液中会吸水膨胀,A错误; B、CHIP28是水通道蛋白,可以协助水分子进入细胞,不与水分子结合,B错误; C、在不同种类的细胞中,相同的mRNA翻译出CHIP28所用的密码子相同,因为生物界共用一套密码子,C 错误。 D、根据图示可知,蛋白CHIP28增大了膜对水的通透性,使水分子通过协助扩散进入细胞,D正确。 故选D。 4. 铁在叶绿素代谢中起着重要作用,可促进叶片中叶绿素含量的增加。植物根毛细胞从土壤中吸收铁的过 程如图所示。下列分析叙述正确的是( ) A. 在植物各个部位的细胞内,游离铁的含量是相同的 B. 蛋白质1运输H+消耗的ATP是在类囊体膜上产生的 C. 抑制柠檬酸的合成或蛋白质2的功能,植物会出现缺铁症 D. 蛋白质3催化螯合态Fe3+转化为Fe2+时,NADPH接受了电子 【答案】C 【解析】 【分析】由图可知,图中细胞为根毛细胞,ATP来自于细胞呼吸产生。 【详解】A、铁在叶绿素代谢中起着重要作用,可促进叶片中叶绿素含量的增加,在植物各个部位的细胞 内,游离铁的含量是不同的,A错误; B、该细胞为根毛细胞,蛋白质1运输H+消耗的ATP是由细胞呼吸产生,不在类囊体膜上产生的,B错误; C、抑制柠檬酸的合成或蛋白质2的功能,螯合态Fe3+无法正常转化为Fe2+,植物无法正常吸收Fe2+,会出 第3页/共19页 学科网(北京)股份有限公司公众号:高中试卷君 现缺铁症,C正确; D、由图可知,蛋白质3催化整合态Fe3+转化为Fe2+时,NADPH失去电子,D错误。 故选C。 5. 豆豉是一种古老的传统发酵豆制品,北魏贾思勰的《齐民要术》中也有相关记录。豆豉制作的流程如图 所示。装坛后放在室外日晒,每天搅拌两次。下列说法错误的是( ) A. 发酵过程中多种酶系将原料中的蛋白质、脂肪等分解为小分子 B. 发酵的目的主要是让酵母菌产生酶,搅拌能增加发酵液的溶氧量 C. 代谢产物积累和酿造环境的变化导致后期窖池微生物数量下降 D. 添加的盐、白酒和风味料具有抑制杂菌生长和调节口味的作用 【答案】B 【解析】 【分析】参与腐乳制作的微生物主要是毛霉,其新陈代谢类型是异养需氧型。腐乳制作的原理:毛霉等微 生物产生的蛋白酶能将豆腐中的蛋白质分解成小分子的肽和氨基酸;脂肪酶可将脂肪分解成甘油和脂肪酸。 【详解】A、发酵过程中多种酶系将原料中的蛋白质、脂肪等分解为小分子,如可将蛋白质分解为小分子 的肽和氨基酸,A正确; B、前期发酵的目的是让霉菌产生相应的酶,如蛋白酶可以将蛋白质分解为氨基酸,使豆豉营养更丰富,B 错误; C、代谢产物积累和酿造环境的变化(pH等变化)导致后期窖池微生物数量下降,C正确; D、调味过程中添加盐、白酒和调味料均可起到抑制杂菌生长的目的,如盐分可通过使微生物渗透失水死 亡而达到抑菌作用,D正确。 故选B。 6. 蜜蜂群体中蜂王和工蜂为二倍体(2n=32),雄蜂由卵细胞直接发育而来。雄蜂产生精子的过程中染色 体行为的变化如图所示(仅显示部分染色体)。不考虑新的突变,下列相关叙述正确的是( ) A. 过程1、2为减数分裂Ⅰ.b细胞内会出现8个四分体 B. 过程3、4为减数分裂Ⅱ,c细胞内含有2条染色体 C. 过程5细胞核消失,线粒体集中在尾部,结果使细胞趋向专门化 第4页/共19页 学科网(北京)股份有限公司公众号:高中试卷君 D. d细胞含有32条染色体,e细胞与f细胞含有的核基因相同 【答案】C 【解析】 【分析】蜂王和工蜂为二倍体(2n=32),雄蜂由卵细胞直接发育而来,为单倍体,染色体数目为16,细 胞内没有同源染色体,精原细胞减数分裂产生精子的过程中,减数分裂Ⅰ分裂产生的两个次级精母细胞中, 一个有16条染色体,一个不含染色体后来退化消失。减数分裂Ⅱ正常进行,产生两个精细胞,其中一个退 化消失。 【详解】A、过程1、2中同源染色体分离,为减数分裂Ⅰ,雄蜂由卵细胞直接发育而来,体细胞没有同源 染色体,所以b细胞内不会出现四分体,A错误; B、过程3、4中着丝粒分裂,为减数分裂Ⅱ,c细胞是减数分裂Ⅱ中期的次级精母细胞,内含有16条染色 体,B错误; C、过程5是精细胞变形成精子的过程,这一过程可看作细胞分化,使细胞趋向专门化,线粒体集中在尾 部,为精子运动提供能量,C正确; D、d细胞为减数分裂Ⅱ后期的次级精母细胞,着丝粒分裂染色体暂时加倍为32条,e细胞与f细胞因等位 基因的不同,所含核基因不一定相同,D错误。 故选C。 7. 水稻种子萌发后不久,主根生长速率开始下降直至停止。该过程中乙烯含量逐渐升高,赤霉素含量逐渐 下降,外源乙烯和赤霉素对主根生长的影响如图所示。下列说法错误的是( ) A. 乙烯能促进果实成熟,促进开花、促进叶脱落 B. 赤霉素和乙烯通过相互抗衡来调节水稻主根的生长 C. 赤霉素能缓解乙烯对水稻主根生长的抑制作用 D. 乙烯是通过抑制赤霉素的合成来抑制主根生长的 【答案】D 【解析】 【分析】赤霉素的合成部位有幼芽、幼根和未成熟的种子,其主要作用包括:促进细胞伸长,从而引起植 株增高;促进细胞分裂与分化;促进种子萌发、开花和果实发育。 第5页/共19页 学科网(北京)股份有限公司公众号:高中试卷君 【详解】A、乙烯在植物体各个部位均有合成,能通过在细胞之间传递信息,进而实现对植物生长发育的 调节作用,其主要功能是促进果实成熟,促进开花,促进叶、花、果实脱落等,A正确; B、据图可知,乙烯可以抑制主根生长,赤霉素可以促进主根生长,说明赤霉素和乙烯通过相互抗衡来调 节水稻主根的生长,B正确; C、据图可知,赤霉素+乙烯组的主根长度大于乙烯单独处理组,小于赤霉素单独处理组, 说明赤霉素能 缓解乙烯对水稻主根生长的抑制作用,C正确; D、据题干信息无法得出乙烯是通过抑制赤霉素的合成来抑制主根生长的结论,如也可能是乙烯促进赤霉 素分解,D错误。 故选D。 8. 下列与实验操作及实验原理相关的说法,错误的是( ) A. 鉴定样液中的蛋白质时,先加双缩脲试剂A液以营造碱性环境 B. 观察洋葱根尖细胞有丝分裂时,视野中多数的细胞处于分裂期 C. 检测酵母菌进行无氧呼吸产生了酒精时,培养时间要适当延长 D. 低温诱导染色体数目加倍的实验中,应将根尖先进行低温处理再制成装片 【答案】B 【解析】 【分析】某些化学试剂能够使生物组织中的相关化合物产生特定的颜色反应。糖类中的还原糖,如葡萄糖, 与斐林试剂发生作用,生成砖红色沉淀。脂肪可以被苏丹Ⅲ染液染成橘黄色。蛋白质与双缩脲试剂发生作 用,产生紫色反应。观察植物根尖分生区细胞有丝分裂时,解离(用药液使组织中的细胞相互分离开来)、 漂洗(洗去药液,防止解离过度)、染色(甲紫溶液或醋酸洋红液能使染色体着色)、制片(使细胞分散 开来,有利于观察)。 【详解】A、鉴定样液中的蛋白质时,先加双缩脲试剂A液氢氧化钠,以营造碱性环境,A正确; B、分裂间期占细胞周期的90%-95%,所以观察洋葱根尖细胞有丝分裂时,视野中多数的细胞处于分裂间 期,B错误; C、检测酵母菌进行无氧呼吸产生了酒精时,用酸性重铬酸钾溶液鉴定,由于葡萄糖也能与酸性重铬酸钾 反应发生颜色变化, 因此,应将酵母菌的培养时间适当延长以耗尽溶液中的葡萄糖,C正确; D、低温诱导染色体数目加倍的实验中,应将根尖先进行低温处理,再放入卡诺氏液中浸泡以固定细胞的 形态,最后再制成装片,D正确。 故选B。 9. 眼白化病是由酪氨酸酶缺乏或功能减退引起的单基因(A/a)遗传病,患者眼部黑色素的生成减少。某 家族眼白化病的遗传情况如图1所示,对该家族部分成员的基因A/a酶切后电泳的结果如图2所示。下列 分析错误的是( ) 第6页/共19页 学科网(北京)股份有限公司公众号:高中试卷君 A. 皮肤细胞中的酪氨酸酶缺少会引起白化病 B. 条带2表示致病基因,基因a位于X染色体上 C. Ⅲ-2与Ⅲ-3的基因A/a电泳图相同的概率是1/3 D. 若Ⅲ-3与正常男性婚配,则生育的男孩患该病的概率是1/2 【答案】C 【解析】 【分析】生物的性状由基因控制,基因有显性和隐性之分;显性基因是控制显性性状发育的基因,隐性基 因,是控制隐性性状的基因;当细胞内控制某种性状的一对基因都是显性或一个是显性、一个是隐性时, 生物体表现出显性基因控制的性状;当控制某种性状的基因都是隐性时,隐性基因控制的性状才会表现出 来。 【详解】A、由Ⅱ-1和Ⅱ-2表现正常,Ⅲ-1患病,可判断该病为隐性遗传病,A正确; B、电泳后,Ⅱ-1只有条带1,Ⅱ-2有条带1和条带2,Ⅲ-1患病且只有条带2,说明条带2表示致病基因, 且致病基因位于X染色体上,B正确; C、Ⅲ-3的基因型为XAXa,Ⅲ-2的基因型为XAXA或XAXa,因此Ⅲ-2与Ⅲ-3的基因A/a电泳图相同的概率 是1/2,C错误; D、Ⅲ-3(XAXa)与正常男性(XAY)婚配,生育的男孩患该病(XaY)的概率是1/2,D正确。 故选C。 10. 大肠杆菌是一种条件致病菌,一定数量的大肠杆菌有利于胃肠蠕动,过量的大肠杆菌则容易引发腹痛、 腹泻等症状。某校高中生对某品牌的雪糕进行了检验,并使用细菌计数板对其中大肠杆菌的数目进行了估 计。下列说法错误的是( ) A. 如果直接从静置的试管底部吸出培养液进行计数,结果可能偏大 B. 使用细菌计数板并用台盼蓝染色后计数,可估算大肠杆菌活菌数 C. 平板划线法可用于分离大肠杆菌,也常用来统计大肠杆菌的数目 D. 大肠杆菌也能作为益生菌,与胃肠中其他细菌的关系可能为种间竞争 【答案】C 【解析】 第7页/共19页 学科网(北京)股份有限公司公众号:高中试卷君 【分析】平板划线法:通过接种环在固体培养基表面连续划线操作,将聚集的菌种逐步稀释分散到培养基 的表面。经过数次划线后培养,可以分离得到单菌落,这种接种方法称为平板划线法。 【详解】A、大肠杆菌的代谢类型是异养兼性厌氧,因此,如果直接从静置的试管底部吸出培养液进行计 数,结果可能偏大,A正确; B、使用细菌计数板并用台盼蓝染色后计数,可估算大肠杆菌活菌数,因为台盼蓝染色可检测大肠杆菌的 死活,B正确; C、平板划线法可用于分离大肠杆菌,但不能用于统计大肠杆菌的数目,C错误; D、大肠杆菌也能作为益生菌,与胃肠中其他细菌有共同的空间、资源,因而它们之间的关系可能为种间 竞争,D正确。 故选C。 11. CD4+是辅助性T细胞上的一种膜蛋白,CD8+是细胞毒性T细胞上的一种膜蛋白。下列说法正确的是( ) A. 骨髓是辅助性T细胞发育、成熟的场所 B. 细胞毒性T细胞中含CD8+基因,不含CD4+基因 C. CD4+可能既参与体液免疫,又参与细胞免疫 D. CD8+可能只参与体液免疫,不参与细胞免疫 【答案】C 【解析】 【分析】辅助性T细胞表面的特定分子发生变化并与B细胞结合,是激活B细胞的第二个信号;辅助性T 细胞分泌的细胞因子能加速细胞毒性T细胞形成新的细胞毒性T细胞和记忆细胞。 【详解】A、辅助性T细胞是在胸腺中发育、成熟的,A错误; B、细胞毒性T细胞中含CD8+基因,也含CD4+基因,只有CD8+基因选择表达,B错误; CD、辅助性T细胞既能参与细胞免疫又能参与体液免疫,细胞毒性T细胞只参与细胞免疫,因此CD4+参 与体液免疫和细胞免疫,CD8+只参与细胞免疫,C正确、D错误。 故选C。 12. 科研人员在转入光敏蛋白基因的小鼠下丘脑中埋置光纤,用特定的光刺激下丘脑CRH神经元(细胞膜 结构如图1所示),引起的一系列变化如图2所示。去甲肾上腺素作为神经递质能激活辅助性T细胞。下 列分析错误的是( ) 第8页/共19页 学科网(北京)股份有限公司公众号:高中试卷君 A. 光刺激能增大CRH神经元的细胞膜对Na+的通透性 B. 由脑发出的传出神经包括躯体运动神经和内脏运动神经 C. 脑—脾神经通路在一定程度上能调节机体的特异性免疫 D. 图2中,辅助性T细胞被激活的调节机制为神经-体液调节 【答案】D 【解析】 【分析】静息时,神经细胞膜对钾离子的通透性大,钾离子大量外流,形成内负外正的静息电位;受到刺 激后,神经细胞膜的通透性发生改变,对钠离子的通透性增大,钠离子内流,形成内正外负的动作电位。 【详解】A、光刺激光敏蛋白导致钠离子通道开放,增大CRH神经元的细胞膜对钠离子的通透性,钠离子 内流,从而使CHR神经元产生兴奋,A正确; B、由脑发出的传出神经分为躯体运动神经和内脏运动神经,B正确; C、由图可知,下丘脑CRH神经元与脾脏之间存在神经联系,即脑-脾神经通路,该脑-脾神经通路可激活 辅助性T细胞,进一步激活B细胞,调节体液免疫,C正确; D、图2中,辅助性T细胞被激活的调节机制为神经-体液-免疫调节,D错误。 故选D。 13. 某种螺可以捕食多种藻类,但捕食喜好不同。L、M两玻璃缸中均加入相等数量的甲、乙、丙三种藻 类,L中不放螺,M中放入100只螺。一段时间后,将M中的螺全部移入L中,并开始统计L、M中的藻 类数量,结果如图所示。实验期间螺的数量不变,下列说法错误的是( ) A. 三种藻类为种间竞争关系,且竞争能力为甲藻>乙藻>丙藻 B. 螺捕食藻类,为初级消费者,且捕食喜好为甲藻>乙藻>丙藻 C. L玻璃缸中,乙藻数量在峰值后下降的主要原因是螺的捕食 D. M玻璃缸中,丙藻数量下降与乙藻数量下降的主要原因不同 第9页/共19页 学科网(北京)股份有限公司公众号:高中试卷君 【答案】D 【解析】 【分析】题干分析,L玻璃缸不放螺,做空白对照,M中放入100只螺,则M中藻类数量变化如图所示为 甲藻数量增加,乙藻和丙藻数量减少,甲藻成为优势物种。将M中的螺全部移入L中,随着时间的变化, 甲藻数量减少,乙藻数量先升后降,丙藻数量慢慢上升。 【详解】A、由M可知,三种藻类为种间竞争关系,螺移除后,甲藻数量上升明显,乙藻数量总体下降, 的 但不及丙下降严重,说明三种藻 竞争力为甲藻>乙藻>丙藻,A正确; B、由L可知,在放入螺之前,甲藻数量多,乙藻数量其次,丙藻数量较少,放入螺之后,甲藻的数量减 少明显,乙藻其次,丙藻数量增加,说明螺螺捕食藻类的喜好为甲藻>乙藻>丙藻,B正确; C、L玻璃缸中,刚引入螺时,因为螺偏好吃甲藻,甲藻数量下降,乙藻竞争压力减少导致其数量上升。 乙藻数量在峰值后下降,很可能是甲藻数量太少无法满足螺的食物需求,螺开始大量捕食乙藻而导致乙藻 在峰值之后下降,C正确; D、M玻璃缸中,三种藻类为种间竞争关系,螺移除后,甲藻数量上升明显,乙藻与丙藻数量总体下降, 丙藻数量下降与乙藻数量下降的主要原因相同,在与甲藻的竞争中处于劣势,D错误。 故选D。 14. 在DNA甲基转移酶(Dnmt)的作用下,基因启动子区发生胞嘧啶的甲基化,可导致基因转录沉默。 某植物用azaC处理后,胞嘧啶的甲基化水平明显降低,开花提前。当敲除Dnmt基因时,甲基化的DNA 复制出的子链不会被甲基化。下列说法错误的是( ) A. 胞嘧啶发生甲基化后,不会改变启动子区的碱基序列 B. Dnmt的作用能使该植物出现表观遗传,可能表现出开花正常 C. 在无Dnmt时,甲基化的DNA复制三次才能得到去甲基化的DNA D. 上述过程可体现基因通过控制酶的合成来间接控制生物性状 【答案】C 【解析】 【分析】表观遗传是指生物体基因的碱基序列保持不变,但基因表达和表型发生可遗传变化的现象,DNA 甲基化是表观遗传的一种类型。 【详解】A、DNA甲基化是表观遗传的一种类型,表观遗传是指生物体基因的碱基序列保持不变,但基因 表达和表型发生可遗传变化的现象,故胞嘧啶发生甲基化后,不会改变启动子区的碱基序列,A正确; B、表观遗传是指生物体基因的碱基序列保持不变,但基因表达和表型发生可遗传变化的现象,DNA甲基 化是表观遗传的一种类型,在Dnmt的作用下,基因启动子区发生胞嘧啶的甲基化,能使该植物出现表观 遗传,可能表现出开花正常,B正确; 第10页/共19页 学科网(北京)股份有限公司公众号:高中试卷君 C、由题干信息可知, 当敲除Dnmt 基因时,甲基化的DNA复制出的子链不会被甲基化”,结合DNA的 半保留复制特点,以一个双链均甲基化的DNA复制为例,复制一次的时候,得到的两个DNA分子均为一 条甲基化的链和一条正常的链,复制两次后会得到2个DNA分子其两条链均为正常链,去甲基化,另外2 个DNA分子均为一条链甲基化,另一条链去甲基化,C错误; D、由题干信息可知,在DNA甲基转移酶(Dnmt)的作用下,基因启动子区发生胞嘧啶的甲基化,可导 致基因转录沉默,可体现基因通过控制酶的合成来间接控制生物性状,D正确。 15. PCR技术在生物工程中应用广泛,PCR的产物一般通过琼脂糖凝胶电泳来鉴定。下列有关叙述正确的 是( ) A. PCR过程中用到了缓冲液,缓冲液中一般要添加Mg2+用于激活RNA聚合酶 B. PCR反应体系中须加入耐高温的DNA聚合酶,该酶可在复性过程起作用 C. 限制酶切割质粒前后,质粒的长度不变,故无法通过电泳检测质粒是否被切开 D. 若采用PCR技术对一个双链目的基因进行扩增,则第n代复制共需要引物2n个 【答案】D 【解析】 【分析】利用PCR可以在体外进行DNA片段的扩增。PCR利用了DNA的热变性原理,通过调节温度来 控制DNA双链的解聚与结合。PCR仪实质上就是一台能够自动调控温度的仪器。一次PCR一般要经历30 次循环。 【详解】A、PCR过程中用到了缓冲液,缓冲液中一般要添加Mg2+用于激活DNA聚合酶,A错误; B、PCR反应体系中须加入耐高温的DNA聚合酶,该酶主要在延伸过程起作用,B错误; C、因为质粒被切开后可能成为多个DNA片段,相对分子质量彼此不同,因而可通过电泳检测,C错误; D、PCR技术大量扩增目的基因时,第n次复制形成2"个DNA,相当于新合成2n-1个DNA分子,合成一个 DNA分子需要两个引物,因此需要的引物数目为2n-1x2=2n,D正确。 故选D。 二、非选择题:本题共5小题,共55分。 16. 照光时,叶肉细胞中的O 与CO 竞争性结合C 。O 和CO 与RuBP羧化酶/加氧酶的亲和力与各自的相 2 2 5 2 2 对浓度有关,相对浓度高则与酶的亲和力高。O 与C 结合后经一系列的反应,最终释放CO 的过程称为光 2 5 2 呼吸,如图所示。科研人员获得了水稻叶绿体中酶X缺陷型的突变植株,给予不同CO 浓度后检测植株的 2 生长情况与部分代谢产物的含量,结果如表所示。回答下列问题: 第11页/共19页 学科网(北京)股份有限公司公众号:高中试卷君 条件 0.5%CO 0.03%CO 0.03%CO 0.03%CO 2 2 2 2 平均株高/ 平均株高/ 乙醇酸含量/(μg·g-1 乙醛酸含量/(μg·g-1 指标 cm cm 叶重) 叶重) 突变植 42.45 24.47 825.54 1.26 株 野生植 43.26 42.21 1.54 1.78 株 (1)叶肉细胞中进行光呼吸的结构包括________,产生乙醇酸的具体场所是________。甘油酸转化为C 3 会消耗ATP产生ADP和Pi,产生的ADP和Pi在叶绿体中被再利用的途径是________。 (2)结合实验结果分析,在光呼吸的过程中酶X的功能是________。在较低的大气CO 浓度(0.03%)条 2 件下,突变植株的长势不如野生植株的,机制可能是___________________________。 (3)研究人员通过转基因技术使水稻叶绿体表达酶Y,酶Y能催化乙醇酸生成CO,并抑制叶绿体膜上乙 2 醇酸转运蛋白基因的表达。该途径提高了水稻的净光合速率,原因是________。 A. 改变了乙醇酸的利用途径 B. 减少了叶绿体中碳的损失 C. 加速了C 生成C D. 提高了RuBP羧化酶/加氧酶的活性 3 5 E. 抑制了光呼吸 【答案】(1) ①. 叶绿体、线粒体 ②. 叶绿体基质 ③. 进行光反应重新生成ATP (2) ①. 催化乙醇酸生成乙醛酸 ②. 因酶X缺陷,乙醇酸无法正常转变为C ,糖类生成受阻;而 3 自然状态下CO 含量较低,固定的效率较低,积累有机物较少 (3)ABCE 2 【解析】 【分析】由图可知:光呼吸需要叶绿体和线粒体共同参与。光呼吸时,叶绿体内生成乙醇酸,细胞质基质 转化成乙醛酸,经过线粒体生成甘氨酸,最后在叶绿体内消耗ATP生成C 。 3 【小问1详解】 第12页/共19页 学科网(北京)股份有限公司公众号:高中试卷君 由图分析可知,光呼吸完整过程依次经过叶绿体、细胞质基质和线粒体,产生乙醇酸的具体场所是叶绿体 基质,甘油酸转化为C 会消耗ATP产生ADP和Pi,产生的ADP和Pi在叶绿体类囊体薄膜上进行光反应 3 重新生成ATP。 【小问2详解】 酶X缺陷型的水稻突变株在0.03%CO 的条件下,乙醇酸含量明显增加。再根据图中所示,乙醇酸可转化 2 为乙醛酸,故推知酶A具有催化乙醇酸生成乙醛酸的功能。在较低的大气CO 浓度(0.03%)条件下,突 2 变植株的长势不如野生植株的,机制可能是因酶X缺陷,乙醇酸无法正常转变为C ,糖类生成受阻;而自 3 然状态下CO 含量较低,固定的效率较低,积累有机物较少。 2 【小问3详解】 酶Y能催化乙醇酸生成CO,并抑制叶绿体膜上乙醇酸转运蛋白基因的表达,这样一来就改变了乙醇酸的 2 利用途径,减少了叶绿体中碳的损失,一定程度抑制了光呼吸,有利于加速C 生成C ,故该途径提高了 3 5 水稻的净光合速率,ABCE符合题意。 17. 胰岛素对血糖的调控主要包括促进组织细胞摄取葡萄糖和抑制血糖的生成,当这些调控减弱,会出现 胰岛素抵抗或胰岛素敏感性下降。2型糖尿病患者常出现高血糖、胰岛素抵抗等特征。血清中游离脂肪酸 的浓度是胰岛素抵抗的敏感指标。人体内脂肪酸的部分代谢机制如图所示。回答下列问题: (1)人体内有多种激素参与调节血糖浓度,与胰岛素相抗衡的激素有胰高血糖素、________(答出2点)。 (2)X是脂肪细胞细胞膜上的胰岛素受体。2型糖尿病患者脂肪细胞的X________,导致脂肪细胞对胰岛 素不敏感。正常情况下,胰岛素和X结合后,脂肪细胞内cAMP的生成会________(填“增多”或“减 少”)。 (3)与正常人相比,2型糖尿病患者的脂肪细胞内HSL的活性会________(填“增强”或“减弱”), 引起________,使血清中游离脂肪酸增多。 (4)肥胖是2型糖尿病常见的危险因素。从日常生活习惯出发,提出预防2型糖尿病的措施: 第13页/共19页 学科网(北京)股份有限公司公众号:高中试卷君 __________________。 【答案】(1)肾上腺素、糖皮质激素、甲状腺激素(任选两点) (2) ①. 减少 ②. 减少 (3) ①. 增强 ②. 脂肪水酶的产生,促进脂肪的分解 (4)减少脂肪类食物的摄入 【解析】 【分析】1、2型糖尿病旧称非胰岛素依赖型糖尿病,是一种慢性代谢疾病,患者特征为高血糖、胰岛素抵 抗(指正常剂量的胰岛素在机体内产生的生物学效应低于正常水平、体内胰岛素含量高于正常水平)、相 对缺乏胰岛素等。 2、胰岛素是由胰脏内的胰岛B细胞受内源性或外源性刺激而分泌的一种蛋白质激素,是体内唯一降低血 糖的激素,胰岛素降低血糖的途径有促进糖原合成、抑制肝糖原分解,促进组织细胞加速摄取葡萄糖,促 进细胞内葡萄糖的氧化分解等。。而升高血糖的激素有胰高血糖素、肾上腺素、糖皮质激素、甲状腺激素 等 【小问1详解】 胰岛素能降低血糖浓度,所以能升高血糖浓度的激素与之表现为相抗衡的关系,升高血糖的激素有胰高血 糖素、肾上腺素、糖皮质激素、甲状腺激素等。 【小问2详解】 分析题图可知,2型糖尿病患者体内胰岛素含量正常,但脂肪细胞由于细胞膜上的胰岛素受体X减少而表 现为对胰岛素敏感性。 正常情况下,胰岛素和X结合后,可通过抑制AC的合成和促进PDEs的合成,进而抑制脂肪细胞内cAMP 的生成,使之减少。 【小问3详解】 与正常人相比,2型糖尿病患者因胰岛素和X结合机会减少,脂肪细胞内cAMP的生成增多,促进PKA的 合成,使更多的无活性HSL转变为有活性HSL,HSL的活性增强,进一步引起脂肪水酶的产生,促进脂 肪的分解,使血清中游离脂肪酸增多。 【小问4详解】 生活习惯上,可以通过减少脂肪类食物的摄入和加强运动等措施来预防2型糖尿病。 18. 2022年6月,重庆市梁平区通过“全域治水,湿地润城”获得了“国际湿地城市”的殊荣。在梁平区 双桂城区城市设计与湿地生态修复协同的路径与方法中,“小微湿地+”的生态技术实现了城市公共空间 的生态服务功能和生态文化植入,在城市范围内形成有序的湿地生态斑块。“小微湿地+”是指以创建城 市小型景观和净化污水为目的,通过创建和修复山地梯塘、鱼稻共生、山间水潭等景观,结合环境治理、 有机产业、民宿康养、生态旅游、自然教育等持续发展经济的模式。下图为基于“小微湿地+”模式将小 第14页/共19页 学科网(北京)股份有限公司公众号:高中试卷君 微湿地元素融入城乡规划园建设的小型景观设计图。回答相关问题: (1)该设计图中的挺水植物、沉水植物和浮水植物分别利用了山地梯塘的不同空间,形成了梯塘的 ________,群落中出现这种现象的意义在于________。 (2)选用耐淹乔木栽种于塘基,体现了生态工程的________原理:小型景观建设后,将带动当地旅游业 的发展,体现了该生态工程的________原理。 (3)该小型景观还模拟“塘、堰和浅水沼泽”,利用“沟、渠、塘、堰、并、泉、溪”各要素通过人工 建造________进行外源截污,以保护核心湿地的水质。建成后,可以通过底泥清淤处理和原位消减修复进 行河集治理,同时构建浮水—挺水—沉水植物的水质净化系统。沉水植物净化水质的原理是 ____________________。 (4)规划区内位于双桂湖西侧的田塘已优化升级为小微湿地群,已建成的城市湿地具有________的功能, 同时固碳制氧净化城市空气,提高了城市生物多样性,体现了生物多样性的________价值。 【答案】(1) ①. 垂直结构 ②. 显著提高了群落利用阳光等环境资源的能力 (2) ①. 协调 ②. 整体 (3) ①. 湿地 ②. 可吸收水体中的氮、磷等元素;为根系微生物提供附着基质、栖息场所(氧气) 加速根系周围的有机碎屑分解 (4) ①. 净化水体、调节气候 ②. 间接 【解析】 【分析】1、生态系统的结构包括生态系统的组成成分和营养结构。生态系统的组成成分包括:非生物物 质和能量、生产者、消费者和分解者。营养结构包括食物链和食物网。 2、生物多样性的价值:包括直接价值、间接价值、潜在价值。直接价值:是指能为人类提供形式多样的 食物、纤维、燃料和建材等。间接价值:是指对生态平衡、生物圈稳态的调节功能。潜在价值:指目前人 类尚不清楚的价值。 【小问1详解】 第15页/共19页 学科网(北京)股份有限公司公众号:高中试卷君 群落的结构包括垂直结构和水平结构,垂直结构是指群落在垂直方向上的分层现象,该设计图中的挺水植 物、沉水植物和浮水植物分别利用了山地梯塘的不同空间,形成了群落的垂直结构,这种分层现象显著提 高了群落利用阳光等环境资源的能力。 【小问2详解】 协调:即生物与环境、生物与生物的协调与适应等也是需要考虑的问题,选用耐淹乔木栽种于塘基,体现 了生态工程的协调原理;整体性原理是指生态系统建设要考虑自然、经济、社会的整体影响,因此小型景 观建设后,将带动当地旅游业的发展,体现了该生态工程的整体原理。 【小问3详解】 该小型景观还模拟“塘、堰和浅水沼泽”,利用“沟、渠、塘、堰、并、泉、溪”各要素通过人工建造湿 地行外源截污,以保护核心湿地的水质。建成后,可以通过底泥清淤处理和原位消减修复进行河集治理, 同时构建浮水—挺水—沉水植物的水质净化系统。沉水植物可吸收水体中的氮、磷等元素构成自身的物质; 湿地植物根系发达,为根系微生物提供附着基质、栖息场所(氧气);湿地植物可形成过滤层,加速根系 周围的有机碎屑分解,净化水质。 【小问4详解】 湿地具有涵养水源、净化空气的作用,这属于生物多样性生态方面的功能,属于生物多样性的间接价值。 19. 某XY型性别决定的雌雄异株植物(2n)的叶形受三对等位基因D/d、E/e、E/f控制。当显性基因D、 E、F同时存在时该植物表现为心形叶,其余情况均表现为卵形叶。一株纯合的心形叶雌株与隐性纯合卵形 叶雄株杂交得到F,F 雌雄株随机传粉得到F。回答下列问题: 1 1 2 (1)若三对等位基因位于一对常染色体上,则F 的表型及比例为_________。 2 (2)若三对等位基因均位于常染色体上,F 雄株产生的配子为DEF:deF:DEf:def=1:1:1:1,则说 1 明基因________位于一对常染色体上,F 中心形叶植株所占的比例为________。 2 (3)若D基因位于X染色体上,另两对基因均位于常染色体上且独立遗传,则F 中心形叶植株所占的比 2 例为________。 (4)该植物常开红色花,其花色由花瓣中的色素决定。花色色素的合成受位于常染色体上独立遗传的基 因A、B控制,代谢途径如图所示。现有甲(雌株)、乙(雄株)两株开白色花的纯合突变株,欲探究是 否为同一基因突变的结果,请写出杂交实验思路和预期实验结果及结论。 实验思路:________________; 预期实验结果及结论:__________________。 【答案】(1)心形叶:卵形叶=3:1 第16页/共19页 学科网(北京)股份有限公司公众号:高中试卷君 (2) ①. DE##de ②. 9/16 (3)27/64 (4) ①. 让两株植株杂交,观察子代性状表型及比例 ②. 若子代全为白色,则为 同一基因突变的结果;若子代全为红色,则不是同一基因突变的结果 【解析】 【分析】基因自由组合定律的实质是:位于非同源染色体上的非等位基因的分离或自由组合是互不干扰的; 在减数分裂过程中,同源染色体上的等位基因彼此分离的同时,非同源染色体上的非等位基因自由组合。 【小问1详解】 纯合的心形叶雌株的基因型为DDEEFF,与隐性纯合卵形叶雄株的基因型为ddeeff,杂交得F 的基因型为 1 DdEeFf,若三对等位基因位于一对常染色体上,则F 可产生配子DEF和def,F 雌雄株随机传粉得到F, 1 1 2 F 为DDEEFF:DdEeFf:ddeeff=1:2:1,即心形叶D_E_F_:卵形叶ddeeff=3:1。 2 【小问2详解】 F 的基因型为DdEeFf,F1雄株产生的配子为=1:1:1:1,该比例相当于两对等位基因自由组合产生的配 1 子类型,观察发现DE连锁,de连锁,即DE、de 位于一对常染色体上。F 中心形叶植株所占的比例为心 2 形叶D_E_F_:卵形叶(D_E_ff:ddeeF_:ddeeff)=9:3:3:1,即心形叶:卵形叶=9:7,则F 中心形叶 2 植株所占的比例为9/16。 【小问3详解】 若D基因位于X染色体上,另两对基因均位于常染色体上且独立遗传,则F 的基因型可表示为EeFfXDY、 1 EeFfXDXd,该群体雌雄株随机传粉得到的F 中心形叶E_F_XD_的比例为9/16×(1-1/4XdY)=27/64。 2 【小问4详解】 由题意可知,该植物常开红色花,说明其基因型为A_B_,两突变植株基因型可能为aaBB或AAbb,欲探 究是否为同一基因突变的结果,可让两株植株杂交,观察子代性状表型及比例。 若为同一基因突变的结果,则设均为aaBB,杂交后子代均为aaBB,全为白色; 的 若不是同一基因突变 结果,则两株植株分别为aaBB和AAbb,杂交后自交均为AaBb,全为红色。 20. 巨噬细胞和树突状细胞等广泛表达信号调节蛋白α(SIRPα),SIRPα是跨膜蛋白CD47的特异性配 体,二者结合后通过信号途径负向调节巨噬细胞的吞噬功能。某些肿瘤细胞过度表达CD47蛋白从而获得 免疫逃逸,阻斯或干扰SIRPα与CD47的识别和结合,会重新激活巨噬细胞的吞噬功能,有利于促进肿瘤 细胞的清除。制备抗SIRPα单克隆抗体和验证其对巨噬细胞吞噬功能影响的实验流程如图所示。回答下 列问题: 第17页/共19页 学科网(北京)股份有限公司公众号:高中试卷君 (1)抗SIRPα单克隆抗体通过竞争性的与________结合,阻断CD47对巨噬细胞吞噬功能的抑制。制备 抗SIRPα单克隆抗体时,用________作为抗原免疫小鼠。 (2)过程②往往会加入适量的聚乙二醇(PGE),PGE的作用是________,使用HAT培养基筛选出杂交 瘤细胞,培养过程中________的细胞死亡,只有融合的杂交瘤细胞才能生长。对经过选择培养的杂交瘤细 胞进行________,经多次筛选,可获得足够数量的分泌抗SIRPα单克隆抗体的细胞。 (3)验证抗SIRPα单克隆抗体的功能时,实验组的处理为________。实验的预期结果为 _______________。 【答案】(1) ①. SIRPa ②. 健康、发育良好的小鼠 (2) ①. 诱导动物细胞融合 ②. 未融合 ③. 克隆化培养 (3) ①. 加入抗SIRPα单克隆抗体 ②. 实验组的吞噬指数显著高 【解析】 【分析】1、单克隆抗体:由单个B淋巴细胞进行无性繁殖形成的细胞系所产生出的化学性质单一、特异 性强的抗体。具有特异性强、灵敏度高,并可能大量制备的特点。 2、单克隆抗体制备流程:先给小鼠注射特定抗原使之发生免疫反应,之后从小鼠脾脏中获取已经免疫的B 淋巴细胞;诱导B细胞和骨髓瘤细胞融合,利用选择培养基筛选出杂交瘤细胞;进行抗体检测,筛选出能 产生特定抗体的杂交瘤细胞;进行克隆化培养,即用培养基培养和注入小鼠腹腔中培养;最后从培养液或 小鼠腹水中获取单克隆抗体。 的 3、单克隆抗体 作用:①作为诊断试剂:(最广泛的用途)具有准确、高效、简易、快速的优点;②用 于治疗疾病和运载药物:主要用于治疗癌症,可制成“生物导弹”。 【小问1详解】 SIRPα是跨膜蛋白CD47的特异性配体,二者结合后通过信号途径负向调节巨噬细胞的吞噬功能,抗 SIRPα单克隆抗体通过竞争性的与SIRPa结合可以阻断CD47对巨噬细胞吞噬功能的抑制;根据选用的骨 髓瘤细胞来源选择免疫用鼠系,一般选择健康、发育良好的小鼠作为抗原免疫小鼠。 【小问2详解】 聚乙二醇(PGE)或灭活的病毒可以诱导动物细胞融合;未融合的细胞不能合成核酸,所以会死亡;对经 过选择培养的杂交瘤细胞进行克隆化培养,即用培养基培养和注入小鼠腹腔中培养,可获得足够数量的分 第18页/共19页 学科网(北京)股份有限公司公众号:高中试卷君 泌抗SIRPα单克隆抗体的细胞。 【小问3详解】 实验组应在巨噬细胞+肿瘤细胞共培养体系中加入单克隆抗体,预期的结果为实验组的吞噬指数显著高于 对照组的。 第19页/共19页 学科网(北京)股份有限公司