当前位置:首页>文档>理科数学答案(1)(1)_2023年11月_0211月合集_2024届四川省阆中中学校高三上学期一模_四川省阆中中学校2024届高三上学期一模理科数学

理科数学答案(1)(1)_2023年11月_0211月合集_2024届四川省阆中中学校高三上学期一模_四川省阆中中学校2024届高三上学期一模理科数学

  • 2026-03-28 07:47:59 2026-02-18 12:07:23

文档预览

理科数学答案(1)(1)_2023年11月_0211月合集_2024届四川省阆中中学校高三上学期一模_四川省阆中中学校2024届高三上学期一模理科数学
理科数学答案(1)(1)_2023年11月_0211月合集_2024届四川省阆中中学校高三上学期一模_四川省阆中中学校2024届高三上学期一模理科数学
理科数学答案(1)(1)_2023年11月_0211月合集_2024届四川省阆中中学校高三上学期一模_四川省阆中中学校2024届高三上学期一模理科数学
理科数学答案(1)(1)_2023年11月_0211月合集_2024届四川省阆中中学校高三上学期一模_四川省阆中中学校2024届高三上学期一模理科数学
理科数学答案(1)(1)_2023年11月_0211月合集_2024届四川省阆中中学校高三上学期一模_四川省阆中中学校2024届高三上学期一模理科数学
理科数学答案(1)(1)_2023年11月_0211月合集_2024届四川省阆中中学校高三上学期一模_四川省阆中中学校2024届高三上学期一模理科数学
理科数学答案(1)(1)_2023年11月_0211月合集_2024届四川省阆中中学校高三上学期一模_四川省阆中中学校2024届高三上学期一模理科数学
理科数学答案(1)(1)_2023年11月_0211月合集_2024届四川省阆中中学校高三上学期一模_四川省阆中中学校2024届高三上学期一模理科数学
理科数学答案(1)(1)_2023年11月_0211月合集_2024届四川省阆中中学校高三上学期一模_四川省阆中中学校2024届高三上学期一模理科数学
理科数学答案(1)(1)_2023年11月_0211月合集_2024届四川省阆中中学校高三上学期一模_四川省阆中中学校2024届高三上学期一模理科数学
理科数学答案(1)(1)_2023年11月_0211月合集_2024届四川省阆中中学校高三上学期一模_四川省阆中中学校2024届高三上学期一模理科数学
理科数学答案(1)(1)_2023年11月_0211月合集_2024届四川省阆中中学校高三上学期一模_四川省阆中中学校2024届高三上学期一模理科数学
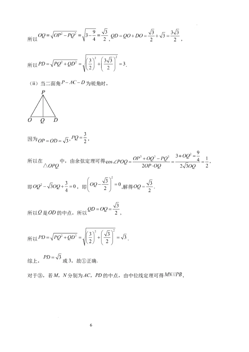
理科数学答案(1)(1)_2023年11月_0211月合集_2024届四川省阆中中学校高三上学期一模_四川省阆中中学校2024届高三上学期一模理科数学
理科数学答案(1)(1)_2023年11月_0211月合集_2024届四川省阆中中学校高三上学期一模_四川省阆中中学校2024届高三上学期一模理科数学
理科数学答案(1)(1)_2023年11月_0211月合集_2024届四川省阆中中学校高三上学期一模_四川省阆中中学校2024届高三上学期一模理科数学

文档信息

文档格式
docx
文档大小
0.702 MB
文档页数
15 页
上传时间
2026-02-18 12:07:23

文档内容

理科数学参考答案 1.C 2.A 3.D 4.B 5.B 6.B 7.C 8.D 9.D 10.B 【详解】以D点为原点,BC所在直线为x轴,AD所在直线为y轴,建立坐标系, 因为圆O是边长为 的等边三角形ABC的内切圆, 所以 ,即内切圆的圆心为 ,半径为1, 可设 ,又 , ∴ , , ∴ , 故得到 , ∴ , 1 学科网(北京)股份有限公司∴ , 当 时等号成立,即 的最大值为2. 故选:B. 11.A 【详解】如图,伞的伞沿与地面接触点B是椭圆长轴的一个端点,伞沿在地面上最远的 投影点A是椭圆长轴的另一个端点, 对应的伞沿为C,O为伞的圆心,F为伞柄底端,即椭圆的左焦点,令椭圆的长半轴长 为 ,半焦距为 , 由 ,得 , , 在 中, ,则 , , 由正弦定理得, ,解得 ,则 , 所以该椭圆的离心率 . 故选:A 12.A 2 学科网(北京)股份有限公司【详解】由 知函数 的图象关于直线 对称, ∵ , 是R上的奇函数, ∴ , ∴ , ∴ 的周期为4, 考虑 的一个周期,例如 , 由 在 上是减函数知 在 上是增函数, 在 上是减函数, 在 上是增函数, 对于奇函数 有 , , 故当 时, ,当 时, , 当 时, ,当 时, , 方程 在 上有实数根, 则这实数根是唯一的,因为 在 上是单调函数, 则由于 ,故方程 在 上有唯一实数, 在 和 上 , 则方程 在 和 上没有实数根, 3 学科网(北京)股份有限公司从而方程 在一个周期内有且仅有两个实数根, 当 ,方程 的两实数根之和为 , 当 ,方程 的所有6个实数根之和为 . 故选:A. 13.15 14. 15. 16.①③④ 【详解】对于②,设 ,若 平面PAC, 平面PAC,所以 . 因为菱形ABCD的边长为2, ,所以 是等边三角形, 所以 ,即 . 因为 , 平面 ,所以 平面 . 因为 平面 ,所以 . 又 ,所以 ,故②错误. 对于④,由②可得当 时, 平面 , 4 学科网(北京)股份有限公司设 为三棱锥 的外接球球心, 为等边 的重心,过 作 ,垂足为 , 因为 ,所以 , , 所以三棱锥 的外接球半径为 , 所以三棱锥 的外接球体积为 ,故④正确. 对于①,设 在 的投影为 ,因为 ,所以 在 所在的直线上. 又 ,所以 ,解得 . 因为二面角 可能为锐角或钝角, (i)当二面角 为钝角时, 5 学科网(北京)股份有限公司所以 , , 所以 . (ii)当二面角 为锐角时, 因为 , , 所以在 中,由余弦定理可得 , 即 ,即 ,解得 . 所以 是 的中点,所以 , 所以 . 综上, 或3,故①正确. 对于③,若M,N分别为AC,PD的中点,由中位线定理可得 , 6 学科网(北京)股份有限公司因为 平面 , 平面 , 所以 平面 ,故③正确. 故答案为:①③④. 17【详解】(1)如下表所示: 甲设备 乙设备 合计 合格品 70 90 160 不合格 30 10 40 品 合计 100 100 200 (2)因为 , 所以有 的把握认为该工厂生产的这种电子元件是否合格与甲、乙两套设备的选择 有关. 18.(1) (2) 【详解】(1)由题意得 , 所以 ,故 7 学科网(北京)股份有限公司因为 , . (2)设 ,则 , 在 中,有 . 在 中,有 . 又 ,所以 , 所以有 .又 ,所以 . 在 中,由余弦定理可得 . 又 , , , 所以有 . 联立 ,解得 ,所以 , 所以 . 19.(1)证明见解析 (2) 【详解】(1)证明:设BD与OC相交于点 , 因为 为正三角形,所以 , 又 为AB的中点,则 . 8 学科网(北京)股份有限公司因为平面 平面ABS, 平面ABS,平面 平面 , , 所以 平面ABCD, 又 平面 ,则 . 因为四边形ABCD为矩形, , 在 中, , 在 中, , 所以 ,所以 , 又 ,则 ,即 ,所以 , 又 , , 平面 ,所以 平面SOC, 又 平面BDS,所以平面 平面BDS. (2)解:因为四边形ABCD为矩形,所以 , 又平面 平面SAB,平面 平面 , 平面ABCD,所以 平面SAB. 以 为坐标原点,过点 作平行于AD的直线为 轴,以OB和OS所在直线分别为 轴 和 轴,建立如图所示的空间直角坐标系 . 设 ,则 , , , , , 9 学科网(北京)股份有限公司, , , 设平面SCD的一个法向量为 , 则 ,即 , 令 ,则 . 由(1)可知, 平面SOC,所以 是平面SOC的一个法向量. 因为 , 所以二面角 的正弦值为 . 20.(1) (2)证明见解析,定点的坐标为 【详解】(1)设 ,其中 , 由 ,得 ,化简得 , ,即 , 线段 中点纵坐标的值为 ; (2)证明:设 , 10 学科网(北京)股份有限公司, 直线 的方程为 ,化简可得 , 在直线 上,解得 , 同理,可得 , , , 又直线 的方程为 ,即 , 直线 恒过定点 . 21.(1) ; (2) . 【详解】(1)当 时, ,则 , 所以 ,即在点 处的切线斜率为 . 而 ,所以切点坐标为 , 所以曲线 在点 处的切线方程为 ,即 11 学科网(北京)股份有限公司. (2)因为 , 所以 ,即 ,即 . 令 ,则 . ,所以 在 上单调递增, 所以 恒成立,即 ,即 恒成立. 令 ,则 , 令 ,解得 ,令 ,解得 , 所以 在 上单调递减,在 上单调递增, 所以 . 因为 恒成立,所以 ,解得 . 所以实数a的取值范围是 . 22.(1) 和 (2) 12 学科网(北京)股份有限公司【详解】(1) 的参数方程为 ( 为参数),消去 可得, ,所以曲线 的直角坐标方程为 . 将 , 代入得,曲线 的极坐标方程为 的极坐标方程为 ,联立可得 , 又因为两个曲线都经过极点, 所以曲线 和曲线 的交点极坐标为 和 . (2)当 时, , , . 显然当点P到直线MN的距离最大时, PMN的面积最大, △ 直线MN的方程为 ,圆心 到直线MN的距离为 , 所以点P到直线MN的最大距离 , 所以 . 23.(1) ;(2) . 【详解】(1)[方法一]:【通性通法】零点分段法 13 学科网(北京)股份有限公司当 时, ,即 ,所以不等式 等价于 或 或 ,解得: . 故不等式 的解集为 . [方法二]:【最优解】数形结合法 如图,当 时,不等式 即为 . 由绝对值的几何意义可知, 表示x轴上的点到 对应的点的距离减去到1 对应点的距离.结合数轴可知,当 时, ,当 时, .故不等式 的解集为 . (2)[方法一]:【通性通法】分类讨论 当 时, 成立等价于当 时, 成立. 若 ,则当 时, ; 若 ,由 得, ,解得: ,所以 ,故 . 综上, 的取值范围为 . [方法二]:平方法 14 学科网(北京)股份有限公司当 时,不等式 成立,等价于 时, 成立,即 成立,整理得 . 当 时,不等式不成立; 当 时, ,不等式解集为空集; 当 时,原不等式等价于 ,解得 . 由 ,解得 .故a的取值范围为 . [方法三]:【最优解】分离参数法 当 时,不等式 成立,等价于 时, 成立, 即 ,解得: ,而 ,所以 .故a的取值范围为 . 15 学科网(北京)股份有限公司