当前位置:首页>文档>第六单元测试卷(1)_小学1-6年级全部试卷_数学_五年级_3-10-4、小学五年级数学下册_3-10-4-2、练习题、作业、试题、试卷_青岛版_单元测试卷

第六单元测试卷(1)_小学1-6年级全部试卷_数学_五年级_3-10-4、小学五年级数学下册_3-10-4-2、练习题、作业、试题、试卷_青岛版_单元测试卷

  • 2026-03-24 18:52:24 2026-02-20 23:40:54

文档预览

第六单元测试卷(1)_小学1-6年级全部试卷_数学_五年级_3-10-4、小学五年级数学下册_3-10-4-2、练习题、作业、试题、试卷_青岛版_单元测试卷
第六单元测试卷(1)_小学1-6年级全部试卷_数学_五年级_3-10-4、小学五年级数学下册_3-10-4-2、练习题、作业、试题、试卷_青岛版_单元测试卷
第六单元测试卷(1)_小学1-6年级全部试卷_数学_五年级_3-10-4、小学五年级数学下册_3-10-4-2、练习题、作业、试题、试卷_青岛版_单元测试卷
第六单元测试卷(1)_小学1-6年级全部试卷_数学_五年级_3-10-4、小学五年级数学下册_3-10-4-2、练习题、作业、试题、试卷_青岛版_单元测试卷
第六单元测试卷(1)_小学1-6年级全部试卷_数学_五年级_3-10-4、小学五年级数学下册_3-10-4-2、练习题、作业、试题、试卷_青岛版_单元测试卷

文档信息

文档格式
docx
文档大小
0.090 MB
文档页数
5 页
上传时间
2026-02-20 23:40:54

文档内容

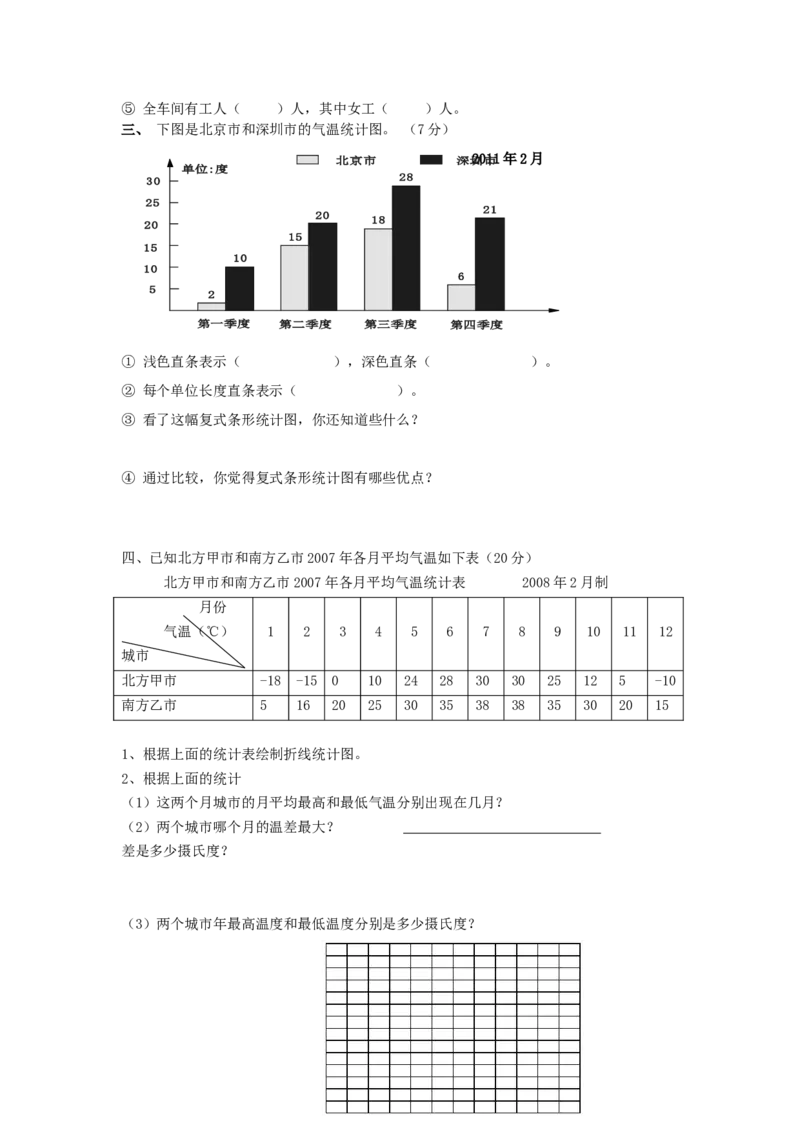
第六单元测试卷(一) 一、这是六(1)班同学水果喜好情况统计表(见下表)(10分) 西瓜 香蕉 桔子 梨 葡萄 男 13 5 1 2 5 女 8 3 2 4 8 请将下面的条形统计图补充完整。 二、下图是深圳某公司一车间中三个小组男、女工人数统计图(13分) 单位:人 140 140 男 140 女 120 110 100 80 80 80 60 40 30 20 0 第一小组 第二小组 第三小组 ① 男工人数最多的是( )小组,最少的是( )小组; 女工人数最多的是( )小组,最少的是( )小组; 从图上可以看出( )小组的人数最多,( ) 小组的人数最少. ② 通过计算,能知道第一小组是( )人,人数最少;第二小组是( )人;第三 小组是( )人. ③ 第一小组男工人数是女工人数的( )倍。 ④ 第二小组男工人数占第二小组人数的( )⑤ 全车间有工人( )人,其中女工( )人。 三、 下图是北京市和深圳市的气温统计图。 (7分) 北 京 市 深 圳20市11年2月 单位:度 30 28 25 21 20 18 20 15 15 10 10 6 5 2 第一季度 第二季度 第三季度 第四季度 ① 浅色直条表示( ),深色直条( )。 ② 每个单位长度直条表示( )。 ③ 看了这幅复式条形统计图,你还知道些什么? ④ 通过比较,你觉得复式条形统计图有哪些优点? 四、已知北方甲市和南方乙市2007年各月平均气温如下表(20分) 北方甲市和南方乙市2007年各月平均气温统计表 2008年2月制 月份 气温(℃) 1 2 3 4 5 6 7 8 9 10 11 12 城市 北方甲市 -18 -15 0 10 24 28 30 30 25 12 5 -10 南方乙市 5 16 20 25 30 35 38 38 35 30 20 15 1、根据上面的统计表绘制折线统计图。 2、根据上面的统计 (1)这两个月城市的月平均最高和最低气温分别出现在几月? (2)两个城市哪个月的温差最大? 差是多少摄氏度? (3)两个城市年最高温度和最低温度分别是多少摄氏度?五、北京路小学五年级4班共有50名学生。这个班2002~2007年拥有电话和电脑的家庭 户数如下表。(20分) 年份 2002 2003 2004 2005 2006 2007 项目 电 话 29 35 46 50 50 50 电 脑 11 15 18 24 38 45 1、根据表中的数据,绘制折线统计表。 2、拥有电话的户数哪两年增长幅度最大? 3、拥有电脑的户数哪两年增长幅度最大? 六、根据下面的统计表制作条形统计图,并回答问题。(16分) 商场去年电视、空调销售情况统计表 08年3月 单位:台 08年3月 季度 第一 第二 第三 第四 台数 季度 季度 季度 季度 项目 电 视 机 800 500 300 600 空 调 450 400 850 150 1、全年销售电视机( )台,空调( )台。 2、平均每个季度销售电视机( )台,空 调( )台。 3、( )季度销售电视最多( ),季度销售空调最少。 4、如果你是商厦经理,根据电视机、空调的销售情况,将如何安排货源?七、请你根据图中提供的信息,完成下列各题:(14分) 爱国者电脑公司第一、第二两个门市部上缴利润统计图 (2001年~2007年) 2008年3月 ( (1)第( )门市部上缴利润的 数最增长得快。 (2)( )年上缴利润的数量增长得最快。 (3)( )年两个门市上缴利润的数量最接近。 (4)从图中还可获得其他信息吗?请写出两条来:青岛版小学五年级数学下册第六单元测试题 一、略 二、① 第三、第一、第二、第一、第二、第一② 110、250、220 ③ ④⑤ 580、250 三、① 北京市气温、深圳市气温 四、 2(1)七八月、一月(2) 一月 23(3) 38 、38、-18、5 五、 2、 2003、2004 3、2005、2006 六、 1、2200、1850 2、550、462.5 3、一、四 七、 (1)二