当前位置:首页>文档>北师大五年级下册数学-第三单元测试卷(1)_小学1-6年级全部试卷_数学_五年级_3-10-4、小学五年级数学下册_3-10-4-2、练习题、作业、试题、试卷_北师大版_单元测试卷

北师大五年级下册数学-第三单元测试卷(1)_小学1-6年级全部试卷_数学_五年级_3-10-4、小学五年级数学下册_3-10-4-2、练习题、作业、试题、试卷_北师大版_单元测试卷

  • 2026-04-06 18:26:37 2026-02-19 21:12:18

文档预览

北师大五年级下册数学-第三单元测试卷(1)_小学1-6年级全部试卷_数学_五年级_3-10-4、小学五年级数学下册_3-10-4-2、练习题、作业、试题、试卷_北师大版_单元测试卷
北师大五年级下册数学-第三单元测试卷(1)_小学1-6年级全部试卷_数学_五年级_3-10-4、小学五年级数学下册_3-10-4-2、练习题、作业、试题、试卷_北师大版_单元测试卷
北师大五年级下册数学-第三单元测试卷(1)_小学1-6年级全部试卷_数学_五年级_3-10-4、小学五年级数学下册_3-10-4-2、练习题、作业、试题、试卷_北师大版_单元测试卷
北师大五年级下册数学-第三单元测试卷(1)_小学1-6年级全部试卷_数学_五年级_3-10-4、小学五年级数学下册_3-10-4-2、练习题、作业、试题、试卷_北师大版_单元测试卷
北师大五年级下册数学-第三单元测试卷(1)_小学1-6年级全部试卷_数学_五年级_3-10-4、小学五年级数学下册_3-10-4-2、练习题、作业、试题、试卷_北师大版_单元测试卷

文档信息

文档格式
doc
文档大小
0.181 MB
文档页数
5 页
上传时间
2026-02-19 21:12:18

文档内容

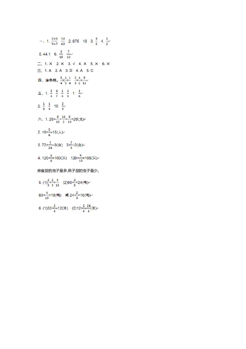
第三单元测试卷(1) 时间:90分钟 满分:100分 分数: 一、填空题。(30分) 二、判断题。(正确的画“√”,错误的画“✕”)(12分) 1.两个分数相乘,积一定小于每一个分数。 ( ) 6.两个数相乘积为1,其中一个数为分数,则另一个数一定比1大。( ) 三、选择题。(把正确答案的序号填在括号里)(10分) 2.一个不为0的数乘一个大于1的假分数,积一定( )这个数。 A.大于 B.小于 C.等于 D.无法确定4.一个数是72,它 的是( )。 A. 9 B. 8 C. 3 D. 24 A. 5分 B. 30分 C. 24分 D. 40分 四、涂一涂,算一算。(6分) × = × = 五、计算题。(14分) 1.直接写得数。(6分) 2.计算下面各题。(8分)六、解决问题。(28分) 1.一律按八折出售, 买一个足球和一个兵乓球拍一共要用多少元钱?(4分) 原价25元 2.五(1)班有男生18人,女生人数是男生 女生有多少人?(4分) (4分) 的虫子最多?谁捉的虫子最少?(4分)(6分) (1)第二天运走这堆石子的几分之几? (2)两天各运走了多少吨? 6.一个球从高处自由落下,每次落地后弹起的高度总是它前一次下落 果这个球从30米高度落下。(6分) (1)第一次弹起的高度是多少米? (2)第二次弹起的高度是多少米? 参考答案:二、1. ✕ 2. ✕ 3. √ 4. ✕ 5. ✕ 6. ✕ 三、1. A 2. A 3. D 4. A 5. C 麻雀捉的虫子最多,燕子捉的虫子最少。