当前位置:首页>文档>北师大五年级下册数学-第三单元跟踪检测卷_小学1-6年级全部试卷_数学_五年级_3-10-4、小学五年级数学下册_3-10-4-2、练习题、作业、试题、试卷_北师大版_单元测试卷

北师大五年级下册数学-第三单元跟踪检测卷_小学1-6年级全部试卷_数学_五年级_3-10-4、小学五年级数学下册_3-10-4-2、练习题、作业、试题、试卷_北师大版_单元测试卷

  • 2026-04-05 10:06:03 2026-02-19 21:12:58

文档预览

北师大五年级下册数学-第三单元跟踪检测卷_小学1-6年级全部试卷_数学_五年级_3-10-4、小学五年级数学下册_3-10-4-2、练习题、作业、试题、试卷_北师大版_单元测试卷
北师大五年级下册数学-第三单元跟踪检测卷_小学1-6年级全部试卷_数学_五年级_3-10-4、小学五年级数学下册_3-10-4-2、练习题、作业、试题、试卷_北师大版_单元测试卷
北师大五年级下册数学-第三单元跟踪检测卷_小学1-6年级全部试卷_数学_五年级_3-10-4、小学五年级数学下册_3-10-4-2、练习题、作业、试题、试卷_北师大版_单元测试卷
北师大五年级下册数学-第三单元跟踪检测卷_小学1-6年级全部试卷_数学_五年级_3-10-4、小学五年级数学下册_3-10-4-2、练习题、作业、试题、试卷_北师大版_单元测试卷
北师大五年级下册数学-第三单元跟踪检测卷_小学1-6年级全部试卷_数学_五年级_3-10-4、小学五年级数学下册_3-10-4-2、练习题、作业、试题、试卷_北师大版_单元测试卷
北师大五年级下册数学-第三单元跟踪检测卷_小学1-6年级全部试卷_数学_五年级_3-10-4、小学五年级数学下册_3-10-4-2、练习题、作业、试题、试卷_北师大版_单元测试卷
北师大五年级下册数学-第三单元跟踪检测卷_小学1-6年级全部试卷_数学_五年级_3-10-4、小学五年级数学下册_3-10-4-2、练习题、作业、试题、试卷_北师大版_单元测试卷
北师大五年级下册数学-第三单元跟踪检测卷_小学1-6年级全部试卷_数学_五年级_3-10-4、小学五年级数学下册_3-10-4-2、练习题、作业、试题、试卷_北师大版_单元测试卷
北师大五年级下册数学-第三单元跟踪检测卷_小学1-6年级全部试卷_数学_五年级_3-10-4、小学五年级数学下册_3-10-4-2、练习题、作业、试题、试卷_北师大版_单元测试卷
北师大五年级下册数学-第三单元跟踪检测卷_小学1-6年级全部试卷_数学_五年级_3-10-4、小学五年级数学下册_3-10-4-2、练习题、作业、试题、试卷_北师大版_单元测试卷
北师大五年级下册数学-第三单元跟踪检测卷_小学1-6年级全部试卷_数学_五年级_3-10-4、小学五年级数学下册_3-10-4-2、练习题、作业、试题、试卷_北师大版_单元测试卷

文档信息

文档格式
docx
文档大小
0.312 MB
文档页数
11 页
上传时间
2026-02-19 21:12:58

文档内容

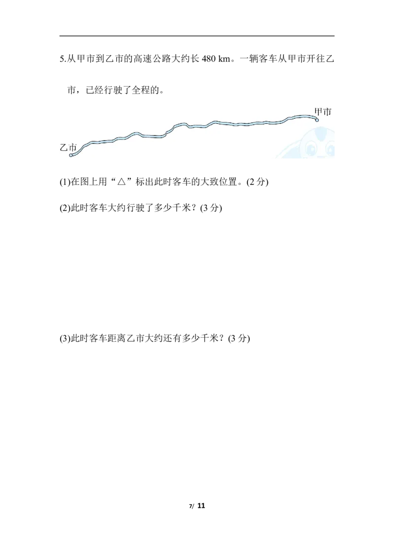
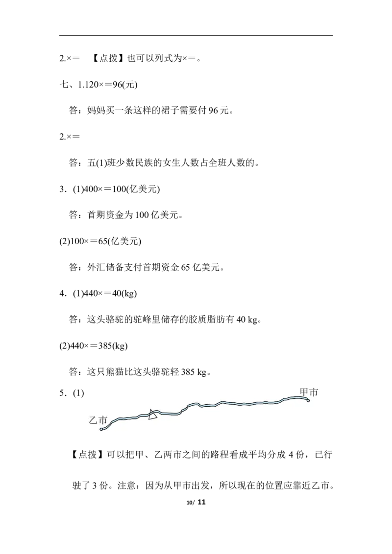
第三单元跟踪检测卷 一、填一填。(第1题4分,第6题2分,其余每空1分,共25分) 1.+++=×( ),表示( )个 相加。 2. m的是( )m, kg的8倍是( )kg。 3.一只袋鼠平均每次可跳 m远,连续跳10次,可跳出( )m。 4.甲数是 ,乙数是甲数的,乙数是( )。 5.一个正方形的边长是 dm,周长是( )dm,面积是( )dm2。 6.九折是指现价是( )的 。 7.奇思有54枚邮票,妙想收集的邮票比奇思的少,妙想比奇思少( )枚邮票,列式计算是( )。 8.“六年级学生人数比五年级学生人数多”,多的部分是( )年级 学生人数的。五年级学生人数+( )=六年 级学生人数。 9. 的倒数是( ),0.45的倒数是( ),0.08的倒数是( )。 10.在 里填上“>”“<”或“=”。 × × × × 1/ 11× × × × 1- 2× 二、辨一辨。(对的在括号里画“√”,错的画“×”。每题 1分,共 5分) 1.两个真分数相乘,积一定是真分数。 ( ) 2.假分数的倒数都比1小。 ( ) 3.是倒数,也是倒数。 ( ) 4.一个不为零的自然数和一个真分数相乘,积一定小于这个自然数。 ( ) 5.有两根同样长的电线,第一根剪去 m,第二根剪去它的,剩下的 电线一定一样长。 ( ) 三、选一选。(把正确答案的序号填在括号里。每题2分,共10分) 1.下面算式(a不为0)中,计算结果最小的是( )。 A.a÷1 B.a× C.a× D.a+ 2.有两盒重都是 250 g 的果冻,第一盒吃了,第二盒吃了 kg,两盒 剩下的果冻相比,( )。 A.第一盒多 B.第二盒多 C.一样多 D.无法确定 2/ 113.童童有8支铅笔,亮亮的铅笔数是童童的,亮亮有多少支铅笔?用 ( )法计算。 A.加 B.减 C.乘 D.除 4.,,1,3,0.7,这五个数的倒数小于1的有( )个。 A.2 B.3 C.4 D.5 5.如图,有一瓶 1 L 的饮料,第一次倒出饮料的,哪次倒出得多?( )。 A.第一次多 B.第二次多 C.一样多 D.无法比较 四、计算挑战。(共20分) 1.直接写出得数。(每题1分,共8分) ×= ×= ×= ×3= ×7= ×= ×= ×= 2.计算下面各题。(每题2分,共12分) 56× ×14 × 3/ 11×45 × × 五、动手操作,开发大脑。(画一画,涂一涂,算一算)(每题 3 分, 共6分) 1.5的是多少? 2.的是多少? 六、看图列式计算。(每题2分,共4分) 1. 2. 七、走进生活,解决问题。(共30分) 1.六一儿童节,商场童装打折促销。妈妈买一条这样的裙子需要付 4/ 11多少元?(4分) 2.实验小学五(1)班的女生人数占全班人数的,其中的女生是少数民 族。五(1)班少数民族的女生人数占全班人数的几分之几?(4分) 3.投向“一带一路”沿线国家和地区的丝路基金总规模为400亿美元, 首期资金为总规模的。 (1)首期资金为多少亿美元?(3分) (2)外汇储备支付首期资金的 ,外汇储备支付首期资金多少亿美元? 5/ 11(3分) 4.一头骆驼的体重是 440 kg,它的驼峰里储存的胶质脂肪占体重的, 一只熊猫的体重比一头骆驼的体重轻 。 (1)这头骆驼的驼峰里储存的胶质脂肪有多少千克?(4分) (2)这只熊猫比这头骆驼轻多少千克?(4分) 6/ 115.从甲市到乙市的高速公路大约长 480 km。一辆客车从甲市开往乙 市,已经行驶了全程的。 (1)在图上用“△”标出此时客车的大致位置。(2分) (2)此时客车大约行驶了多少千米?(3分) (3)此时客车距离乙市大约还有多少千米?(3分) 7/ 11答案 一、1. 4 4 2. 3.42 4. 5. 6.原价 7.12 54×=12 8.五 五年级学生人数的 9. 10.< > = < < < 二、1.√ 2.× 【点拨】假分数包括大于 1 和等于 1 的数,所以它的倒数可 能比1小,也可能等于1。 3.× 4.√ 5.× 【点拨】题目中没有给出两根电线的长度,所以无法比较, 只有在两根电线都是 1 m 长的情况下,剩下的部分才同样长,其 他情况剩下的部分都不相等。 三、1.C 2.A 3.C 4.A 5.C 四、1. 2 8/ 11【点拨】在运算的过程中,能约分的先约分,然后再计算,这样 能使运算简便。 五、1. (涂法不唯一) 5×= 2. (涂法不唯一) ×= 六、1.30×=25 9/ 112.×= 【点拨】也可以列式为×=。 七、1.120×=96(元) 答:妈妈买一条这样的裙子需要付96元。 2.×= 答:五(1)班少数民族的女生人数占全班人数的。 3.(1)400×=100(亿美元) 答:首期资金为100亿美元。 (2)100×=65(亿美元) 答:外汇储备支付首期资金65亿美元。 4.(1)440×=40(kg) 答:这头骆驼的驼峰里储存的胶质脂肪有40 kg。 (2)440×=385(kg) 答:这只熊猫比这头骆驼轻385 kg。 5.(1) 【点拨】可以把甲、乙两市之间的路程看成平均分成 4 份,已行 驶了3份。注意:因为从甲市出发,所以现在的位置应靠近乙市。 10/ 11(2)480×=360(km) 答:此时客车大约行驶了360 km。 (3)480-360=120(km) 答:此时客车距离乙市大约还有120 km。 11/ 11