当前位置:首页>文档>北师大五年级下册数学-周测培优卷3展开、折叠、露出的空间想象能力检测卷_小学1-6年级全部试卷_数学_五年级_3-10-4、小学五年级数学下册_3-10-4-2、练习题、作业、试题、试卷_北师大版

北师大五年级下册数学-周测培优卷3展开、折叠、露出的空间想象能力检测卷_小学1-6年级全部试卷_数学_五年级_3-10-4、小学五年级数学下册_3-10-4-2、练习题、作业、试题、试卷_北师大版

  • 2026-03-23 00:34:56 2026-02-19 21:06:40

文档预览

北师大五年级下册数学-周测培优卷3展开、折叠、露出的空间想象能力检测卷_小学1-6年级全部试卷_数学_五年级_3-10-4、小学五年级数学下册_3-10-4-2、练习题、作业、试题、试卷_北师大版
北师大五年级下册数学-周测培优卷3展开、折叠、露出的空间想象能力检测卷_小学1-6年级全部试卷_数学_五年级_3-10-4、小学五年级数学下册_3-10-4-2、练习题、作业、试题、试卷_北师大版
北师大五年级下册数学-周测培优卷3展开、折叠、露出的空间想象能力检测卷_小学1-6年级全部试卷_数学_五年级_3-10-4、小学五年级数学下册_3-10-4-2、练习题、作业、试题、试卷_北师大版
北师大五年级下册数学-周测培优卷3展开、折叠、露出的空间想象能力检测卷_小学1-6年级全部试卷_数学_五年级_3-10-4、小学五年级数学下册_3-10-4-2、练习题、作业、试题、试卷_北师大版
北师大五年级下册数学-周测培优卷3展开、折叠、露出的空间想象能力检测卷_小学1-6年级全部试卷_数学_五年级_3-10-4、小学五年级数学下册_3-10-4-2、练习题、作业、试题、试卷_北师大版
北师大五年级下册数学-周测培优卷3展开、折叠、露出的空间想象能力检测卷_小学1-6年级全部试卷_数学_五年级_3-10-4、小学五年级数学下册_3-10-4-2、练习题、作业、试题、试卷_北师大版

文档信息

文档格式
docx
文档大小
0.090 MB
文档页数
6 页
上传时间
2026-02-19 21:06:40

文档内容

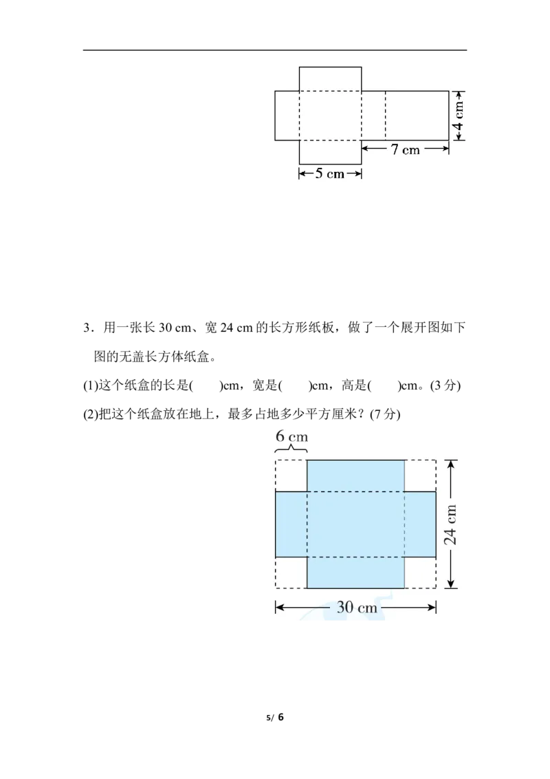
周测培优卷 3 展开、折叠、露出的空间想象能力检测卷 一、我会填。(每空2分,共34分) 1.下面的图形(单位:cm)可以折成一个长方体,这个长方体的长是 ( )cm,宽是( )cm,高是( )cm。折成的长方体有( ) 个面是正方形,每个正方形的面积是( )cm2,有( )个面是长 方形,每个长方形面积的大小( )。 2.把一个长方体纸盒相邻的两个面 沿棱剪下来,展开后如右图(单位: cm),这个纸盒的前面面积比左面 面积大( )cm2。 3.右下图是一个正方体的展开图,各面中( ) 和( )相对,( )和( )相对,( )和( )相对。 4.李叔叔和张叔叔各搬了7个棱长为60 cm 的正方体纸箱放在墙角。 1/ 6(1)李叔叔摆放的纸箱(如图 1)有( )个面露在外面。露在外面的面 积是( )cm2。 (2)张叔叔摆放的纸箱(如图2)露在外面的面的个数比李叔叔摆放的纸 箱(如图1)露在外面的面的个数( )。 二、我会选。(把正确答案的序号填在括号里。每题3分,共9分) 1.下面图形中,沿虚线折叠后能围成长方体的是( )。 2.用 5 个相同的小正方体搭成不同的立体图形,( )露在外面的 面最少。 3.在一个棱长是 5 dm 的正方体的一角切去一个长方体 (如右图), 2/ 6剩下的图形的表面积和原正方体相比,( )。 A.增加了 B.减少了 C.不变 D.无法确定 三、我会求它们的表面积。(单位:cm)(每题4分,共8分) 四、我能想象。(12分) 下面哪些图形沿虚线折叠后能围成正方体或长方体?能围成的画 “√”,不能围成的画“×”。 五、发现总结,最强大脑。(7分) 3/ 6小正方体个数 2 4 6 8 10 … 露在外面的面/个… 六、我会应用。(共30分) 1.4个棱长为30 cm的正方体纸箱放在墙角(如图)。 (1)有几个面露在外面?(5分) (2)露在外面的面积是多少平方厘米?(5分) 2.下面是一个长方体的展开图,求这个长方体的表面积。(10分) 4/ 63.用一张长 30 cm、宽 24 cm 的长方形纸板,做了一个展开图如下 图的无盖长方体纸盒。 (1)这个纸盒的长是( )cm,宽是( )cm,高是( )cm。(3分) (2)把这个纸盒放在地上,最多占地多少平方厘米?(7分) 5/ 6答案 一、1.8 2 2 2 4 4 相等 2.18 3.2 4 3 5 1 6 4.(1)13 46800 (2)少一个 二、1.D 2.B 3.C 三、6×6×6=216(cm2) (10×5+10×3+5×3)×2=190(cm2) 四、√ √ × √ × √ 五、 小正方体个数 2 4 6 8 10 … 露在外面的面/个 9 14 19 24 29 … 每增加2个小正方体,露在外面的面就增加5个 六、1.(1)4+2+2=8(个) 答:有8个面露在外面。 (2)30×30×8=7200(cm2) 答:露在外面的面积是7200 cm2。 2.7-5=2(cm) (5×4+5×2+4×2)×2=76(cm2) 答:这个长方体的表面积是76 cm2。 3.(1)18 12 6 (2)18×12=216(cm2) 答:最多占地216 cm2。 6/ 6