当前位置:首页>文档>周测培优卷12_小学1-6年级全部试卷_数学_五年级_3-10-4、小学五年级数学下册_3-10-4-2、练习题、作业、试题、试卷_冀教版_周测培优卷

周测培优卷12_小学1-6年级全部试卷_数学_五年级_3-10-4、小学五年级数学下册_3-10-4-2、练习题、作业、试题、试卷_冀教版_周测培优卷

  • 2026-04-16 11:30:42 2026-02-20 00:22:41

文档预览

周测培优卷12_小学1-6年级全部试卷_数学_五年级_3-10-4、小学五年级数学下册_3-10-4-2、练习题、作业、试题、试卷_冀教版_周测培优卷
周测培优卷12_小学1-6年级全部试卷_数学_五年级_3-10-4、小学五年级数学下册_3-10-4-2、练习题、作业、试题、试卷_冀教版_周测培优卷
周测培优卷12_小学1-6年级全部试卷_数学_五年级_3-10-4、小学五年级数学下册_3-10-4-2、练习题、作业、试题、试卷_冀教版_周测培优卷
周测培优卷12_小学1-6年级全部试卷_数学_五年级_3-10-4、小学五年级数学下册_3-10-4-2、练习题、作业、试题、试卷_冀教版_周测培优卷
周测培优卷12_小学1-6年级全部试卷_数学_五年级_3-10-4、小学五年级数学下册_3-10-4-2、练习题、作业、试题、试卷_冀教版_周测培优卷
周测培优卷12_小学1-6年级全部试卷_数学_五年级_3-10-4、小学五年级数学下册_3-10-4-2、练习题、作业、试题、试卷_冀教版_周测培优卷
周测培优卷12_小学1-6年级全部试卷_数学_五年级_3-10-4、小学五年级数学下册_3-10-4-2、练习题、作业、试题、试卷_冀教版_周测培优卷
周测培优卷12_小学1-6年级全部试卷_数学_五年级_3-10-4、小学五年级数学下册_3-10-4-2、练习题、作业、试题、试卷_冀教版_周测培优卷
周测培优卷12_小学1-6年级全部试卷_数学_五年级_3-10-4、小学五年级数学下册_3-10-4-2、练习题、作业、试题、试卷_冀教版_周测培优卷
周测培优卷12_小学1-6年级全部试卷_数学_五年级_3-10-4、小学五年级数学下册_3-10-4-2、练习题、作业、试题、试卷_冀教版_周测培优卷

文档信息

文档格式
doc
文档大小
0.404 MB
文档页数
10 页
上传时间
2026-02-20 00:22:41

文档内容

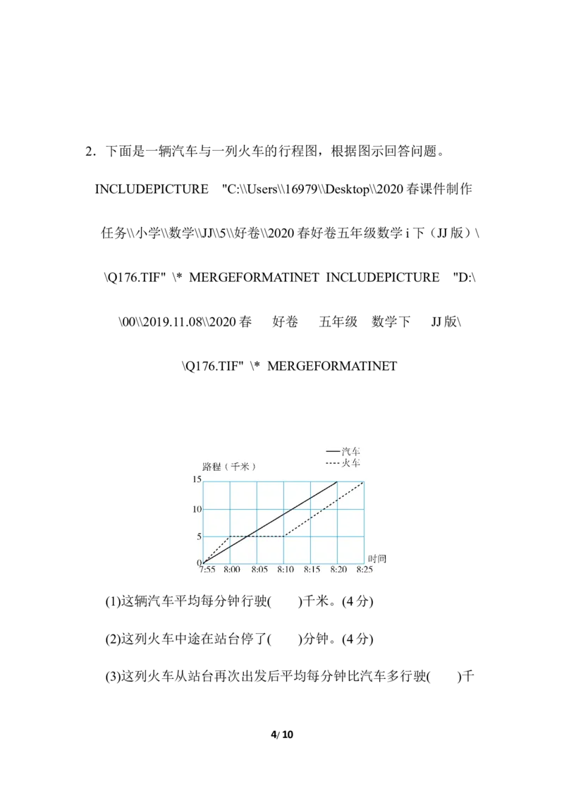
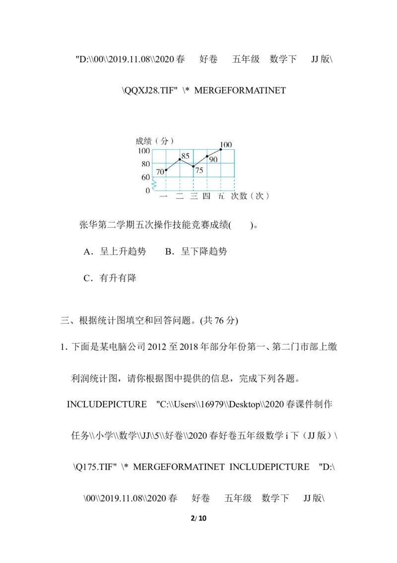
周测培优卷 12 折线统计图 一、填空。(每空3分,共9分) 1.我们学过的统计图有( )统计图和( )统计图。 2.( )统计图可以清楚地反映数据的变化情况。 二、选择。(将正确答案的字母填在括号里。每题5分,共15分) 1.气象台要表示一天中气温变化的情况,采用( )最合适。 A.统计表 B.条形统计图 C.折线统计图 2.下列信息中适合用折线统计图表示的是( )。 A.小红家六月份的开支情况 B.某支股票的涨跌情况 C.小组内各位同学的身高情况 3.下图是张华同学第二学期五次操作技能竞赛成绩统计图。 INCLUDEPICTURE "C:\\Users\\16979\\Desktop\\2020春课件制作 任务\\小学\\数学\\JJ\\5\\好卷\\2020春好卷五年级数学i下(JJ版)\ \QQXJ28.TIF" \* MERGEFORMATINET INCLUDEPICTURE 1/ 10"D:\\00\\2019.11.08\\2020春 好卷 五年级 数学下 JJ版\ \QQXJ28.TIF" \* MERGEFORMATINET 张华第二学期五次操作技能竞赛成绩( )。 A.呈上升趋势 B.呈下降趋势 C.有升有降 三、根据统计图填空和回答问题。(共76分) 1.下面是某电脑公司2012至2018年部分年份第一、第二门市部上缴 利润统计图,请你根据图中提供的信息,完成下列各题。 INCLUDEPICTURE "C:\\Users\\16979\\Desktop\\2020春课件制作 任务\\小学\\数学\\JJ\\5\\好卷\\2020春好卷五年级数学i下(JJ版)\ \Q175.TIF" \* MERGEFORMATINET INCLUDEPICTURE "D:\ \00\\2019.11.08\\2020春 好卷 五年级 数学下 JJ版\ 2/ 10\Q175.TIF" \* MERGEFORMATINET (1)第( )门市部上缴利润的数量增长得最快。(3分) (2)2018年两个门市部上缴利润的和为( )万元。(3分) (3)( )年两个门市部上缴利润的数量相差最大。(3分) (4)从图中还能获得其他信息吗?(请写出两条)(10分) 3/ 102.下面是一辆汽车与一列火车的行程图,根据图示回答问题。 INCLUDEPICTURE "C:\\Users\\16979\\Desktop\\2020春课件制作 任务\\小学\\数学\\JJ\\5\\好卷\\2020春好卷五年级数学i下(JJ版)\ \Q176.TIF" \* MERGEFORMATINET INCLUDEPICTURE "D:\ \00\\2019.11.08\\2020春 好卷 五年级 数学下 JJ版\ \Q176.TIF" \* MERGEFORMATINET (1)这辆汽车平均每分钟行驶( )千米。(4分) (2)这列火车中途在站台停了( )分钟。(4分) (3)这列火车从站台再次出发后平均每分钟比汽车多行驶( )千 4/ 10米。(4分) (4)这辆汽车比这列火车早( )分钟到达目的地。(4分) 3.下面是甲、乙两市去年上半年降水量情况统计图。 INCLUDEPICTURE "C:\\Users\\16979\\Desktop\\2020春课件制作 任务\\小学\\数学\\JJ\\5\\好卷\\2020春好卷五年级数学i下(JJ版)\ \Q177.TIF" \* MERGEFORMATINET INCLUDEPICTURE "D:\ \00\\2019.11.08\\2020春 好卷 五年级 数学下 JJ版\ \Q177.TIF" \* MERGEFORMATINET 5/ 10(1)表示甲市去年上半年降水量的是哪一条折线?请你用红色笔 描出。(4分) (2)甲、乙两个城市哪个月的降水量最接近?哪个月的降水量相差 最大?(8分) (3)去年上半年甲、乙两个城市哪个城市降水总量多?多多少?(8 分) 4.下面是某商场2019年各季度电视机、空调销售情况统计表,根据表 中提供的信息,完成下列各题。 某商场2019年各季度电视机、空调销售情况统计表 某商场2019年各季度电视机、空调销售情况统计图 INCLUDEPICTURE "C:\\Users\\16979\\Desktop\\2020春课件制作 6/ 10任务\\小学\\数学\\JJ\\5\\好卷\\2020春好卷五年级数学i下(JJ版)\ \Q179.TIF" \* MERGEFORMATINET INCLUDEPICTURE "D:\ \00\\2019.11.08\\2020春 好卷 五年级 数学下 JJ版\ \Q179.TIF" \* MERGEFORMATINET (1)该商场2019年全年销售电视机( )台,销售空调( )台。(6 分) (2)该商场2019年( )季度销售电视机最多,( )季 度销售空调最少。(6分) (3)请你根据统计表中的数据完成统计图。根据电视机、空调的销 7/ 10售情况,下一年应该如何安排进货量?(9分) 8/ 10答案 一、1.条形 折线 2.折线 二、1.C 2.B 3.C 三、1.(1)二 (2)220 (3)2014 (4)①2012年两个门市部上缴利润的和为60万元。 ②2018年第二门市部比第一门市部上缴利润多20万元。 (答案不唯一) 2.(1)0.6 (2)10 (3) (4)5 3.(1)图略 (2)甲、乙两个城市3月的降水量最接近;4月的降水量相差 最大。 (3)甲市:15+36+25+70+68+170 =384(毫米) 乙市:52+10+10+5+90+150 =317(毫米) 9/ 10384>317 384-317=67(毫米) 答:去年上半年甲市降水总量多,多67毫米。 4.(1)2200 1850 (2)第一 第四 (3)图略 下一年第一季度应该多进电视机,第三季度应该 多进空调。 10/ 10