当前位置:首页>文档>2022年辽宁省营口市中考化学真题(空白卷)_中考真题_5.化学中考真题2015-2024年_地区卷_辽宁化学_辽宁化学_营口化学15-22

2022年辽宁省营口市中考化学真题(空白卷)_中考真题_5.化学中考真题2015-2024年_地区卷_辽宁化学_辽宁化学_营口化学15-22

  • 2026-04-08 09:52:11 2026-02-22 05:15:21

文档预览

2022年辽宁省营口市中考化学真题(空白卷)_中考真题_5.化学中考真题2015-2024年_地区卷_辽宁化学_辽宁化学_营口化学15-22
2022年辽宁省营口市中考化学真题(空白卷)_中考真题_5.化学中考真题2015-2024年_地区卷_辽宁化学_辽宁化学_营口化学15-22
2022年辽宁省营口市中考化学真题(空白卷)_中考真题_5.化学中考真题2015-2024年_地区卷_辽宁化学_辽宁化学_营口化学15-22
2022年辽宁省营口市中考化学真题(空白卷)_中考真题_5.化学中考真题2015-2024年_地区卷_辽宁化学_辽宁化学_营口化学15-22
2022年辽宁省营口市中考化学真题(空白卷)_中考真题_5.化学中考真题2015-2024年_地区卷_辽宁化学_辽宁化学_营口化学15-22
2022年辽宁省营口市中考化学真题(空白卷)_中考真题_5.化学中考真题2015-2024年_地区卷_辽宁化学_辽宁化学_营口化学15-22
2022年辽宁省营口市中考化学真题(空白卷)_中考真题_5.化学中考真题2015-2024年_地区卷_辽宁化学_辽宁化学_营口化学15-22
2022年辽宁省营口市中考化学真题(空白卷)_中考真题_5.化学中考真题2015-2024年_地区卷_辽宁化学_辽宁化学_营口化学15-22
2022年辽宁省营口市中考化学真题(空白卷)_中考真题_5.化学中考真题2015-2024年_地区卷_辽宁化学_辽宁化学_营口化学15-22

文档信息

文档格式
docx
文档大小
0.363 MB
文档页数
9 页
上传时间
2026-02-22 05:15:21

文档内容

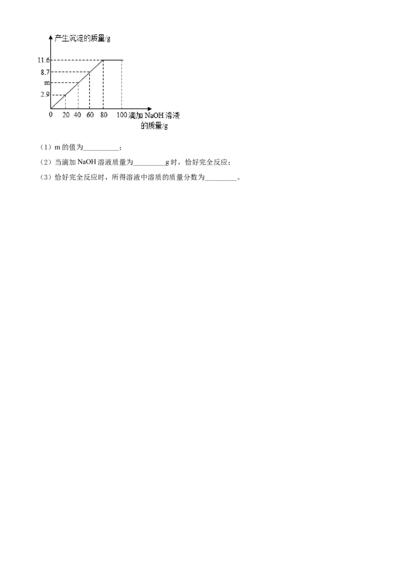
2022 年初中毕业生毕业升学考试 化学试卷 相对原子质量:C-12 H-1 O-16 N-14 Na-23 Mg-24 S-32 第一部分 选择题 (本部分共15道小题,每小题只有一个正确选项:其中1~10小题每小题1分,11~15小题每 小题2分,共20分) 1. 中华文化,博大精深。下列成语的本意涉及化学变化的是 A. 火上浇油 B. 绳锯木断 C. 刻舟求剑 D. 披荆斩棘 2. 小丽同学用紫甘蓝叶片自制酸碱指示剂,并用于检验白醋的酸碱性,部分操作如下,其中错误的是 A. 研磨叶片 B. 浸取色素 C. 过滤汁液 D. 滴加滤液 3. 人体内一些液体的正常pH范围如下,其中一定呈酸性的是 A. 唾液6.6-7.1 B. 胃液0.9-1.5 C. 乳汁6.6-7.6 D. 胆汁7.1-7.3 4. 存放下列物质的试剂瓶打开瓶塞后,会观察到瓶口有白雾现象的是 A. 氢氧化钠 B. 浓盐酸 C. 生石灰 D. 浓硫酸 5. 下列有关溶液的说法,正确的是 A. 溶质一定为固体 B. 饱和溶液不能再溶解任何物质 C. 溶液是均一、稳定的混合物 D. 稀溶液一定是不饱和溶液 6. 下列属于化学性质的是 A. 紫红色 B. 导热性 C. 延展性 D. 易锈蚀 7. 为确保安全,面粉加工厂、加油站等处通常要在明显位置张贴的标识是A. B. C. D. 8. 宏观辩识与微观探析是化学学科的核心素养之一。对下列事实的微观解释错误的是 A. 气体受热体积变大——分子体积变大 B. 金刚石和石墨的物理性质差异大——碳原子的排列方式不同 C. 电解水实验生成氢气和氧气——分子种类发生改变 D. 氯化钠溶液能导电——溶液中存在可自由移动的离子 9. 青少年正处于身体发育阶段,应关注营养与健康。下列说法错误的是 . A 常喝牛奶可以补充钙元素 B. 霉变大来洗净、煮熟后可以食用 C. 合理摄入油脂有益身体健康 D. 人体日常所需维生素多来自蔬菜、水果 10. 疫情防控期间,人们日常消毒杀菌常用免洗手消毒凝胶。某品牌消毒凝胶的成分中含有正丙醇 (C HO)。下列有关正丙醇的说法正确的是 3 8 A. 属于氧化物 B. 碳、氢、氧元素的质量比为3:8:1 C. 相对分子质量为60g D. 每个分子含12个原子 11. 化学学科与人类生活和社会发展关系密切。下列说法正确的是 A. 化学与安全:为了方便学习,可将实验室剩余的药品带回家做实验 B. 化学与社会发展:使用乙醇汽油可以节药石油资源 C. 化学与材料:合金属于合成材料 . D 化学与环境:将废弃塑料集中焚烧,以减少“白色污染” 12. 下列物质中氮元素的化合价最高的是 A. HNO B. NO C. NaNO D. N 3 2 2 2 13. 模型认知是建立宏观与微观联系的思维方法。下图是某反应的微观示意图,有关说法正确的是 A. 该反应的化学方程式为: B. 该反应属于置换反应 C. 参加反应的甲、乙的质量比为17:32D. 生成的丙、丁的分子个数比为2:3 14. 下列各组离子,能在碱性溶液中大量共存,且形成无色溶液的一组是 A. K+、Fe3+、 B. H+、 、 C. Na+、Ba2+、Cl- D. 、K+、 15. 下列选项中对实验方案的评价及分析正确的是 选 实验目的 实验方案 评价及分析 项 除去CuO粉末中 加足量的稀HSO 过 正确:CuO和HSO 反应生成溶于水的 A 2 4 2 4 的C粉 滤 CuSO ,而C不溶于水,可过滤除去 4 蒸发NaCl溶液 一直加热至溶液完全 B 错误:完全蒸干溶液会造成固体溅出 获得NaCl固体 蒸干 除去KCl溶液中 加适量的Ba(NO ) 容 正确:因为KSO 和Ba(NO ) 反应生成 C 3 2 2 4 3 2 的KSO 液,过滤 BaSO 不溶于水,可过滤除去 2 4 4 除去CO 气体中 将气体通过足量的 正确:HCl气体溶于水形成盐酸,可与 D 2 的HCl气体 NaOH溶液,干燥 NaOH反应被除去 A. A B. B C. C D. D 第二部分 非选择题 (本部分共11道小题,除化学方程式的书写2分外,其余每空1分,共60分) 16. 请用化学用语回答: (1)两个氢原子________; (2)改良酸性土壤的碱________; (3)硝酸银溶液中的金属阳离子________; (4)体温计中的金属________。 17. 下图1为元素周期表的一部分,图2为几种粒子结构示意图,据图回答问题(1)图1中氩的相对原子质量是__________,硫元素的原子序数为__________; (2)X元素名称__________; (3)图2中与硫元素化学性质相似的是__________(填字母序号,下同); 的 (4)图2所示粒子共表示__________种元素,其中具有相对稳定结构 原子是__________。 的 18. 请利用所学化学知识回答下列生活、生产中 问题: (1)铁制品广泛应用于生活、生产中,用于炼铁的磁铁矿的主要成分是__________; (2)人类为了维持生命和健康,必须摄取食物。牛肉、蛋清中富含的营养素是__________; (3)燃气使用后,一定要关闭燃气总阀门。从灭火原理的角度分析,这样做的目的是__________; (4)医疗上常常需要用到纯氧。工业上大量制取氧气可用 的方法是__________; (5)每年3月22日为“世界水日”。我们必须爱护水资源,一方面要节约用水,另一方面要防治 __________。 19. 利用溶解度曲线,可以获得许多有关物质溶解度的信息。下图是甲、乙、丙三种固体物质的溶解度曲 线。请回答下列问题: (1)t℃时,取等质量的甲、乙、丙分别配成饱和溶液,所得溶液质量最多的是__________; 3 (2)若甲中混有少量的乙,提纯甲物质的步骤是:加水溶解、加热浓缩、_________、过滤、洗涤、 _________; (3)保持温度不变,将甲的不饱和溶液转化为饱和溶液的方法是__________; (4)将t℃时甲、乙、丙的饱和溶液升温至t℃,所得溶液的溶质质量分数大小关系是__________。 1 2 20. 根据下图所示的实验回答问题:(1)A实验________(填“能”或“不能”)用来测定空气中氧气的含量; (2)B实验现象说明:空气中的氧气含量比呼出气体中的________(“高”或“低”); (3)C实验中小灯泡发亮,说明石墨具有_________性; (4)D实验用来验证质量守恒定律,其中气球的作用是________。 21. 阅读下列短文,根据短文内容和所学知识回答问题: “人类只有一个地球!”为防止温室效应进一步增强,可多措并举,控制二氧化碳的排放,或将其转化、 再利用等。 二氧化碳经过聚合可以变成性能与聚乙烯相似的塑料,由这种塑料制成的薄膜理在土壤里几天后就会被细 菌吞噬掉。如果用这种材料制作一次性快餐盒的话,不但解决了二氧化碳造成的环境问题,也解决了白色 污染问题。 树叶是大自然的杰作,它只用二氧化碳、水和阳光就能制造出有机物和氧气。人造树叶的原理很简单,由 一块普通的硅太阳能电池将光能转化为电能,在催化剂与电流的共同作用下,像真正的树叶那样使水和二 氧化碳转化为糖类并释放出氧气。 为控制二氧化碳的排放量;科学家采取新技术,将二氧化碳和氢气在催化剂和加热条件下转化为重要的化 工原料乙烯(C H)和水。 2 4 (1)温室效应进一步增强可能带来的后果有________(任写一条即可); (2)用二氧化碳聚合成的塑料制作一次性快餐盒的优点是________; (3)人造树叶可以将二氧化碳转化为________; (4)文中将二氧化碳转化为乙烯的化学方程式是________。 22. 已知A~G为初中化学常见的七种物质。其中A、B、C、D、E属于五种不同类别的物质,A是最常用 的溶剂,B是胃酸的主要成分,E和G反应会产生蓝色沉淀。各种物质间的反应和转化关系如下图所示 (“—”表示相连的两种物质之间可以发生反应,“→”表示一种物质可以转化为另一种物质, 反应条 件、部分反应物和生成物已略去)。请分析后回答: (1)物质G的化学式是________; (2)A→E的过程中会________(“吸收”或“放出”)热量;(3)物质D所属类别是________; (4)写出F→B的化学方程式________。 23. 正确选择实验装置是实验成功的关键。下图所示装置常用于实验室制取气体,请回答下列问题: (1)仪器a的名称___________; (2)实验室用一种固体药品制取较纯净的氧气,并用于铁丝燃烧实验。请从A~E中选择制取和收集氧气 的装置__________(填字母序号) (3)实验室制取二氧化碳气体通常选择的药品是__________(填名称),反应的化学方程式为 ___________; (4)用B装置制取气体时,使用仪器a的优点是___________; (5)若要用F装置收集CO,CO 应从__________(填“b”或“c”)端通入,检验收集满CO 的方法是 2 2 2 __________(方法、现象,结论)。 24. 同学们为进一步认知酸、碱、盐的化学性质,进行了如下图所示的实验,请你来参与他们的探究活动, 并回答下列问题: (1)甲试管中发生中和反应的化学方程式为___________; (2)当观察到甲试管中溶液由__________恰好变为无色时,说明二者恰好完全反应; (3)乙试管中两种溶液不能发生反应,理由是__________; (4)实验结束后,同学们将乙、丙两支试管内的物质全部倒入同一个干净的小烧杯中,静置片刻,观察 到白色沉淀明显增多。大家对得到的上层溶液的成分产生了兴趣,于是又进行了如下的实验探究。 【提出问题】小烧杯中上层溶液的溶质成分有哪些? 【做出猜想】猜想一:NaCl、NaOH、NaCO 2 3 猜想二:NaCl、NaOH猜想三:___________ 【设计实验】 实验步骤 实验现象 实验结论 取少量溶液于试管中,滴加过量稀盐酸 ①__________ 猜想一不成立 另取少量溶液于试管中,滴加少量②___________ ③__________ 猜想三成立 【反思拓展】 (5)小烧杯中的白色沉淀成分是___________(写化学式)。 25. 某工厂产生的工业废料中主要含氧化铜和氧化铁,如果不处理,任意排放会造成环境污染,经过处理 后可回收铜和硫酸亚铁(不考虑其它杂质对流程的影响),过程①、过程③所加试剂相同。根据下图所示 流程回答问题:(已知: ) (1)写出过程①中发生反应的化学方程式___________(任写其中一个即可); (2)过程②的实验步骤是___________; (3)固体B成分是___________; (4)过程③中可观察到的现象有___________; (5)废料处理除了可以防止环境污染,还能起到___________的作用。 26. 某学习小组的同学取NaSO 和MgSO 的固体混合物40g放入烧杯中,加入113.6g水使其完全溶解,再 2 4 4 逐步滴加溶质质量分数一定的NaOH溶液,反应的化学方程式为 ,反应过程中滴加NaOH溶液的质量与生成沉淀的质量关系如 图所示。请计算:(1)m的值为__________; (2)当滴加NaOH溶液质量为_________g时,恰好完全反应; (3)恰好完全反应时,所得溶液中溶质的质量分数为_________。