当前位置:首页>文档>湖北省武汉市2019年中考数学真题试题(含解析)_中考真题_2.数学中考真题2015-2024年_2019年全国中考数学206份

湖北省武汉市2019年中考数学真题试题(含解析)_中考真题_2.数学中考真题2015-2024年_2019年全国中考数学206份

  • 2026-04-13 13:44:36 2026-02-23 04:43:06

文档预览

湖北省武汉市2019年中考数学真题试题(含解析)_中考真题_2.数学中考真题2015-2024年_2019年全国中考数学206份
湖北省武汉市2019年中考数学真题试题(含解析)_中考真题_2.数学中考真题2015-2024年_2019年全国中考数学206份
湖北省武汉市2019年中考数学真题试题(含解析)_中考真题_2.数学中考真题2015-2024年_2019年全国中考数学206份
湖北省武汉市2019年中考数学真题试题(含解析)_中考真题_2.数学中考真题2015-2024年_2019年全国中考数学206份
湖北省武汉市2019年中考数学真题试题(含解析)_中考真题_2.数学中考真题2015-2024年_2019年全国中考数学206份
湖北省武汉市2019年中考数学真题试题(含解析)_中考真题_2.数学中考真题2015-2024年_2019年全国中考数学206份
湖北省武汉市2019年中考数学真题试题(含解析)_中考真题_2.数学中考真题2015-2024年_2019年全国中考数学206份
湖北省武汉市2019年中考数学真题试题(含解析)_中考真题_2.数学中考真题2015-2024年_2019年全国中考数学206份
湖北省武汉市2019年中考数学真题试题(含解析)_中考真题_2.数学中考真题2015-2024年_2019年全国中考数学206份
湖北省武汉市2019年中考数学真题试题(含解析)_中考真题_2.数学中考真题2015-2024年_2019年全国中考数学206份
湖北省武汉市2019年中考数学真题试题(含解析)_中考真题_2.数学中考真题2015-2024年_2019年全国中考数学206份
湖北省武汉市2019年中考数学真题试题(含解析)_中考真题_2.数学中考真题2015-2024年_2019年全国中考数学206份
湖北省武汉市2019年中考数学真题试题(含解析)_中考真题_2.数学中考真题2015-2024年_2019年全国中考数学206份
湖北省武汉市2019年中考数学真题试题(含解析)_中考真题_2.数学中考真题2015-2024年_2019年全国中考数学206份
湖北省武汉市2019年中考数学真题试题(含解析)_中考真题_2.数学中考真题2015-2024年_2019年全国中考数学206份
湖北省武汉市2019年中考数学真题试题(含解析)_中考真题_2.数学中考真题2015-2024年_2019年全国中考数学206份
湖北省武汉市2019年中考数学真题试题(含解析)_中考真题_2.数学中考真题2015-2024年_2019年全国中考数学206份
湖北省武汉市2019年中考数学真题试题(含解析)_中考真题_2.数学中考真题2015-2024年_2019年全国中考数学206份
湖北省武汉市2019年中考数学真题试题(含解析)_中考真题_2.数学中考真题2015-2024年_2019年全国中考数学206份
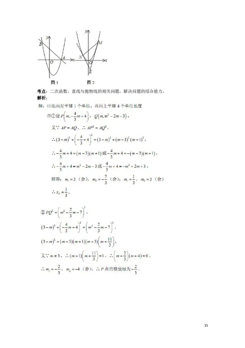
湖北省武汉市2019年中考数学真题试题(含解析)_中考真题_2.数学中考真题2015-2024年_2019年全国中考数学206份
湖北省武汉市2019年中考数学真题试题(含解析)_中考真题_2.数学中考真题2015-2024年_2019年全国中考数学206份
湖北省武汉市2019年中考数学真题试题(含解析)_中考真题_2.数学中考真题2015-2024年_2019年全国中考数学206份

文档信息

文档格式
doc
文档大小
1.642 MB
文档页数
22 页
上传时间
2026-02-23 04:43:06

文档内容

2019年武汉市初中毕业生考试数学试卷 一、选择题(共10小题,每小题3分,共30分) 1.实数2019的相反数是() 1 1  A.2019 B.-2019 C.2019 D. 2019 答案:B 考点:相反数。 解析:2019的相反数为-2019,选B。 x1 2.式子 在实数范围内有意义,则x的取值范围是() A.x>0 B.x≥-1 C.x≥1 D.x≤1 答案:C 考点:二次根式。 解析:由二次根式的定义可知,x-1≥0, 所以,x≥1,选C。 3.不透明的袋子中只有4个黑球和2个白球,这些球除颜色外无其他差别,随机从袋子中 一次摸出3个球,下列事件是不可能事件的是() A.3个球都是黑球 B.3个球都是白球 C.三个球中有黑球 D.3个球中有白球 答案:B 考点:事件的判断。 解析:因为袋中只有2个白球,所以,从袋子中一次摸出3个都是白球是不可能的,选B。 4.现实世界中,对称现象无处不在,中国的方块字中有些也具有对称性,下列美术字是轴 对称图形的是() A.诚 B.信 C.友 D.善 答案:D 考点:轴对称图形。 解析:平面内,一个图形沿一条直线折叠,直线两旁的部分能够完全重合的图形就是轴对 称图形, 1如图,只有D才是轴对称图形。 5.如图是由5个相同的小正方体组成的几何体,该几何题的左视图是() 答案:A 考点:三视图。 解析:左面看,左边有上下2个正方形,右边只有1个正方形,所以,A符合。 6.“漏壶”是一种这个古代计时器,在它内部盛一定量的水,不考虑水量变化对压力的影 响, 水从壶底小孔均匀漏出,壶内壁有刻度.人们根据壶中水面的位置计算时间,用 t表示漏 水时间,y表示壶底到水面的高度,下列图象适合表示y与x的对应关系的是() 答案:A 考点:函数图象。 解析:因为壶是一个圆柱,水从壶底小孔均匀漏出,水面的高度y是均匀的减少, 所以,只有A符合。 7.从1、2、3、4四个数中随机选取两个不同的数,分别记为a、c,则关于x的一元二次 方程ax2+4x+c=0有实数解的概率为() 21 1 1 2 A.4 B.3 C.2 D.3 答案:C 考点:概率,一元二次方程。 解析:由一元二次方程ax2+4x+c=0有实数解,得: △=16-4ac=4(4-ac)≥0, 即满足:4-ac≥0, 随机选取两个不同的数a、c,记为(a,c),所有可能为: 1 2 3 4 1 (1,2) (1,3) (1,4) 2 (2,1) (2,3) (2,4) 3 (3,1) (3,2) (3,4) 4 (4,1) (4,2) (4,3) 共有12种, 满足:4-ac≥0有6种, 6 1 = 所以,所求的概率为:12 2 ,选C。 k y 8.已知反比例函数 x 的图象分别位于第二、第四象限,A(x,y)、B(x,y)两点在该 1 1 2 2 图象上,下列命题: ①过点A作AC⊥x轴,C为垂足,连接OA.若△ACO的面积为3,则k=-6; ②若x<0<x,则y>y; 1 2 1 2 ③若x+x=0,则y+y=0。 1 2 1 2 其中真命题个数是() A.0 B.1 C.2 D.3 答案:D 考点:反比例函数的图象。 k y 解析:反比例函数 x 的图象分别位于第二、第四象限, 所以,k〈0,设A(x,y), 1 |xy|3 则△ACO的面积为:S=2 , 3xy=k 又因为点A在函数图象上,所以,有: , 1 |k|3 所以,2 ,解得:k=-6,①正确。 对于②,若x<0<x,则y>0,y〈0,所以,y>y成立,正确; 1 2 1 2 1 2 对于③,由反比例函数的图象关于原点对称,所以,若x+x=0,则y+y=0成立,正 1 2 1 2 确, 选D。 9.如图,AB是⊙O的直径,M、N是弧AB(异于A、B)上两点,C是弧MN上一动点, ∠ACB的角平分线交⊙O于点D,∠BAC的平分线交CD于点E.当点C从点M运动到点N时, 则C、E两点的运动路径长的比是()  A. 2 B. 2 3 5 C.2 D. 2 答案:A 考点:轨迹问题,弧长的计算。 解析:连结BE, 因为点E是∠ACB与∠CAB的交点, 4所以,点E是三角形ABC的内心, 所以,BE平分∠ABC, 因为AB为直径,所以,∠ACB=90°, 1 所以,∠AEB=180°-2 (∠CAB+∠CBA)=135°,为定值, 所以,点E的轨迹是弓形AB上的圆弧,圆弧所以圆的圆心一定在弦AB的中垂线上, 如下图,过圆心O作直径CD⊥AB, ∠BDO=∠ADO=45°, 在CD的延长线上,作DF=DA, 则∠AFB=45°, 即∠AFB+∠AEB=180°, A、E、B、F四点共圆, 所以,∠DAE=∠DEA=67.5°, 所以,DE=DA=DF, 所以,点D为弓形AB所在圆的圆心, 设圆O的半径为R, R 则点C的运动路径长为: , 2 DA= R, 90 2R 2  R 点E的运动路径为弧AEB,弧长为: 180 2 , R  2 2 R C、E两点的运动路径长比为: 2 ,选A。 510.观察等式:2+22=23-2;2+22+23=24-2;2+22+23+24=25-2…已知按一定规律 排列的一组数:250、251、252、…、299、2100.若250=a,用含a的式子表示这组数的和是 () A.2a2-2a B.2a2-2a-2 C.2a2-a D.2a2+a 答案:C 考点:找规律,应用新知识解决问题。 解析:250+251+252+…+299+2100 =a+2a+22a+…+250a =a+(2+22+…+250)a =a+(251-2)a =a+(2a-2)a =2a2-a 二、填空题(本大题共6个小题,每小题3分,共18分) 11.计算 16 的结果是___________ 答案:4 考点:算术平方根。 解析: 16 的意义是求16的算术平方根,所以 16 =4 612.武汉市某气象观测点记录了5天的平均气温(单位:℃),分别是25、20、18、23、 27,这组数据的中位数是___________ 答案:23 考点:中位数。 解析:数据由小到大排列为: 18、20、23、25、27, 所以,中位数为23. 2a 1  13.计算a216 a4的结果是___________ 1 答案:a4 考点:分式的运算。 2a a4 2a 1   解析:a216 a4= (a4)(a4) (a4)(a4) a4 (a4)(a4) = 1 =a4 14.如图,在□ABCD中,E、F是对角线AC上两点,AE=EF=CD,∠ADF=90°,∠BCD= 63°,则∠ADE的大小为___________ 答案:21° 考点:等边对等角,三角形的内角和定理,直角形斜边上的中线定理。 解析:因为AE=EF,∠ADF=90°, 所以,DE=AE=EF, 又AE=EF=CD, 所以,DC=DE, 7设∠ADE=x,则∠DAE=x, 则∠DCE=∠DEC=2x, 又AD∥BC, 所以,∠ACB=∠DAE=x, 由∠ACB+∠ACD=63°, 得:x+2x=63°, 解得:x=21°,所以,∠ADE的大小为21° 15.抛物线y=ax2+bx+c经过点A(-3,0)、B(4,0)两点,则 关于x的一元二次方程a(x-1)2+c=b-bx的解是___________ 答案:x=-2或5 考点:抛物线,一元二次方程。 9a3bc0  16a4bc0 解析:依题意,得: , ba  c12a 解得: , 所以,关于x的一元二次方程a(x-1)2+c=b-bx为: a(x1)2 12a aax (x1)2 121x 即: , x2 3x100 化为: , 解得:x=-2或5 16.问题背景:如图1,将△ABC绕点A逆时针旋转60°得到△ADE, DE与BC交于点P,可推出结论:PA+PC=PE 问题解决:如图2,在△MNG中,MN=6,∠M=75°,MG=4 2 .点O是△MNG内一点,则 点O到△MNG三个顶点的距离和的最小值是___________ 8图1 图2 29 答案:2 考点:应用新知识解决问题的能力。 解析:如下图,将△MOG绕点M逆时针旋转60°,得到△MPQ, 显然△MOP为等边三角形, 所以,OM+OG=OP+PQ, 所以,点O到三顶点的距离为:ON+OM+OG=ON+OP+PQ=NQ, 所以,当点N、O、P、Q在同一条直线上时,有ON+OM+OG最小。 此时,∠NMQ=75°+60°=135°, 过Q作QA⊥NM交NM的延长线于A, 2 则∠AMQ=45°,MQ=MG=4 , 所以,AQ=AM=4, AN2  AQ2  (46)2 42 2 29 NQ= 三、解答题(共8题,共72分) 17.(本题8分)计算:(2x2)3-x2·x4 考点:整式的运算。 解析: 18.(本题8分)如图,点A、B、C、D在一条直线上,CE与BF交于点G,∠A=∠1, CE∥DF,求证:∠E=∠F 考点:两直线平行的性质与判定。 9解析: 19.(本题8分)为弘扬中华传统文化,某校开展“双剧进课堂”的活动,该校童威随机 抽取部分学生,按四个类别:A表示“很喜欢”,B表示“喜欢”,C表示“一般”,D表 示“不喜欢”,调查他们对汉剧的喜爱情况,将结果绘制成如下两幅不完整的统计图,根 据图中提供的信息,解决下列问题: (1)这次共抽取_________名学生进行统计调查,扇形统计图中,D类所对应的扇形圆心角 的大小为__________ (2)将条形统计图补充完整 (3)该校共有1500名学生,估计该校表示“喜欢”的B类的学生大约有多少人? 各类学生人数条形统计图各类学生人数扇形统计图 考点:统计图。 解析: 20.(本题8分)如图是由边长为1的小正方形构成的网格,每个小正方形的顶点叫做格 点.四边形ABCD的顶点在格点上,点E是边DC与网格线的交点.请选择适当的格点,用 无刻度的直尺在网格中完成下列画图,保留连线的痕迹,不要求说明理由 (1)如图1,过点A画线段AF,使AF∥DC,且AF=DC (2)如图1,在边AB上画一点G,使∠AGD=∠BGC (3)如图2,过点E画线段EM,使EM∥AB,且EM=AB 10考点:两直线平行,两个角相等的作图方法。 解析: 21.(本题8分)已知AB是⊙O的直径,AM和BN是⊙O的两条切线,DC与⊙O相切于点 E,分别交AM、BN于D、C两点 (1)如图1,求证:AB2=4AD·BC (2)如图2,连接OE并延长交AM于点F,连接CF.若∠ADE=2∠OFC,AD=1,求图中阴影 部分的面积 11考点:圆的切线的性质,三角形相似,三角形的全等。 解析: 22.(本题10分)某商店销售一种商品,童威经市场调查发现:该商品的周销售量y (件)是售价x(元/件)的一次函数,其售价、周销售量、周销售利润w(元)的三组对 应值如下表: 售价x(元/件) 50 60 80 周销售量y(件) 100 80 40 周销售利润w(元) 1000 1600 1600 注:周销售利润=周销售量×(售价-进价) 12(1)①求y关于x的函数解析式(不要求写出自变量的取值范围) ②该商品进价是_________元/件;当售价是________元/件时,周销售利润最大,最大利润 是 __________元 (2)由于某种原因,该商品进价提高了m元/件(m>0),物价部门规定该商品售价不得超 过65元/件,该商店在今后的销售中,周销售量与售价仍然满足(1)中的函数关系.若周销 售最大利润是1400元,求m的值 考点:应用题,二次函数。 解析: AB n 23.(本题10分)在△ABC中,∠ABC=90°, BC ,M是BC上一点,连接AM (1)如图1,若n=1,N是AB延长线上一点,CN与AM垂直,求证:BM=BN (2)过点B作BP⊥AM,P为垂足,连接CP并延长交AB于点Q CP BM  PQ BQ ①如图2,若n=1,求证: ②如图3,若M是BC的中点,直接写出tan∠BPQ的值(用含n的式子表示) 考点:三角形的全等,两直线平行的性质。 解析: 1324.(本题12分)已知抛物线C:y=(x-1)2-4和C:y=x2 1 2 (1)如何将抛物线C平移得到抛物线C? 1 2 4 y xb (2)如图1,抛物线C与x轴正半轴交于点A,直线 3 经过点A,交抛物线C于另 1 1 一点B.请你在线段AB上取点P,过点P作直线PQ∥y轴交抛物线C于点Q,连接AQ 1 ①若AP=AQ,求点P的横坐标 ②若PA=PQ,直接写出点P的横坐标 (3)如图2,△MNE的顶点M、N在抛物线C上,点M在点N右边,两条直线ME、NE与抛物 2 线C均有唯一公共点,ME、NE均与y轴不平行.若△MNE的面积为2,设M、N两点的横坐 2 标分别为m、n,求m与n的数量关系 14考点:二次函数,直线与抛物线的相关问题,解决问题的综合能力。 解析: 1516171819202122