当前位置:首页>文档>2015年高考数学试卷(文)(陕西)(解析卷)_历年高考真题合集_数学历年高考真题_新·PDF版2008-2025·高考数学真题_数学(按试卷类型分类)2008-2025_自主命题卷·数学(2008-2025)

2015年高考数学试卷(文)(陕西)(解析卷)_历年高考真题合集_数学历年高考真题_新·PDF版2008-2025·高考数学真题_数学(按试卷类型分类)2008-2025_自主命题卷·数学(2008-2025)

  • 2026-04-16 15:39:23 2026-01-27 01:15:19

文档预览

2015年高考数学试卷(文)(陕西)(解析卷)_历年高考真题合集_数学历年高考真题_新·PDF版2008-2025·高考数学真题_数学(按试卷类型分类)2008-2025_自主命题卷·数学(2008-2025)
2015年高考数学试卷(文)(陕西)(解析卷)_历年高考真题合集_数学历年高考真题_新·PDF版2008-2025·高考数学真题_数学(按试卷类型分类)2008-2025_自主命题卷·数学(2008-2025)
2015年高考数学试卷(文)(陕西)(解析卷)_历年高考真题合集_数学历年高考真题_新·PDF版2008-2025·高考数学真题_数学(按试卷类型分类)2008-2025_自主命题卷·数学(2008-2025)
2015年高考数学试卷(文)(陕西)(解析卷)_历年高考真题合集_数学历年高考真题_新·PDF版2008-2025·高考数学真题_数学(按试卷类型分类)2008-2025_自主命题卷·数学(2008-2025)
2015年高考数学试卷(文)(陕西)(解析卷)_历年高考真题合集_数学历年高考真题_新·PDF版2008-2025·高考数学真题_数学(按试卷类型分类)2008-2025_自主命题卷·数学(2008-2025)
2015年高考数学试卷(文)(陕西)(解析卷)_历年高考真题合集_数学历年高考真题_新·PDF版2008-2025·高考数学真题_数学(按试卷类型分类)2008-2025_自主命题卷·数学(2008-2025)
2015年高考数学试卷(文)(陕西)(解析卷)_历年高考真题合集_数学历年高考真题_新·PDF版2008-2025·高考数学真题_数学(按试卷类型分类)2008-2025_自主命题卷·数学(2008-2025)
2015年高考数学试卷(文)(陕西)(解析卷)_历年高考真题合集_数学历年高考真题_新·PDF版2008-2025·高考数学真题_数学(按试卷类型分类)2008-2025_自主命题卷·数学(2008-2025)
2015年高考数学试卷(文)(陕西)(解析卷)_历年高考真题合集_数学历年高考真题_新·PDF版2008-2025·高考数学真题_数学(按试卷类型分类)2008-2025_自主命题卷·数学(2008-2025)
2015年高考数学试卷(文)(陕西)(解析卷)_历年高考真题合集_数学历年高考真题_新·PDF版2008-2025·高考数学真题_数学(按试卷类型分类)2008-2025_自主命题卷·数学(2008-2025)
2015年高考数学试卷(文)(陕西)(解析卷)_历年高考真题合集_数学历年高考真题_新·PDF版2008-2025·高考数学真题_数学(按试卷类型分类)2008-2025_自主命题卷·数学(2008-2025)
2015年高考数学试卷(文)(陕西)(解析卷)_历年高考真题合集_数学历年高考真题_新·PDF版2008-2025·高考数学真题_数学(按试卷类型分类)2008-2025_自主命题卷·数学(2008-2025)
2015年高考数学试卷(文)(陕西)(解析卷)_历年高考真题合集_数学历年高考真题_新·PDF版2008-2025·高考数学真题_数学(按试卷类型分类)2008-2025_自主命题卷·数学(2008-2025)
2015年高考数学试卷(文)(陕西)(解析卷)_历年高考真题合集_数学历年高考真题_新·PDF版2008-2025·高考数学真题_数学(按试卷类型分类)2008-2025_自主命题卷·数学(2008-2025)
2015年高考数学试卷(文)(陕西)(解析卷)_历年高考真题合集_数学历年高考真题_新·PDF版2008-2025·高考数学真题_数学(按试卷类型分类)2008-2025_自主命题卷·数学(2008-2025)
2015年高考数学试卷(文)(陕西)(解析卷)_历年高考真题合集_数学历年高考真题_新·PDF版2008-2025·高考数学真题_数学(按试卷类型分类)2008-2025_自主命题卷·数学(2008-2025)
2015年高考数学试卷(文)(陕西)(解析卷)_历年高考真题合集_数学历年高考真题_新·PDF版2008-2025·高考数学真题_数学(按试卷类型分类)2008-2025_自主命题卷·数学(2008-2025)
2015年高考数学试卷(文)(陕西)(解析卷)_历年高考真题合集_数学历年高考真题_新·PDF版2008-2025·高考数学真题_数学(按试卷类型分类)2008-2025_自主命题卷·数学(2008-2025)
2015年高考数学试卷(文)(陕西)(解析卷)_历年高考真题合集_数学历年高考真题_新·PDF版2008-2025·高考数学真题_数学(按试卷类型分类)2008-2025_自主命题卷·数学(2008-2025)
2015年高考数学试卷(文)(陕西)(解析卷)_历年高考真题合集_数学历年高考真题_新·PDF版2008-2025·高考数学真题_数学(按试卷类型分类)2008-2025_自主命题卷·数学(2008-2025)
2015年高考数学试卷(文)(陕西)(解析卷)_历年高考真题合集_数学历年高考真题_新·PDF版2008-2025·高考数学真题_数学(按试卷类型分类)2008-2025_自主命题卷·数学(2008-2025)
2015年高考数学试卷(文)(陕西)(解析卷)_历年高考真题合集_数学历年高考真题_新·PDF版2008-2025·高考数学真题_数学(按试卷类型分类)2008-2025_自主命题卷·数学(2008-2025)
2015年高考数学试卷(文)(陕西)(解析卷)_历年高考真题合集_数学历年高考真题_新·PDF版2008-2025·高考数学真题_数学(按试卷类型分类)2008-2025_自主命题卷·数学(2008-2025)
2015年高考数学试卷(文)(陕西)(解析卷)_历年高考真题合集_数学历年高考真题_新·PDF版2008-2025·高考数学真题_数学(按试卷类型分类)2008-2025_自主命题卷·数学(2008-2025)

文档信息

文档格式
pdf
文档大小
1.384 MB
文档页数
20 页
上传时间
2026-01-27 01:15:19

文档内容

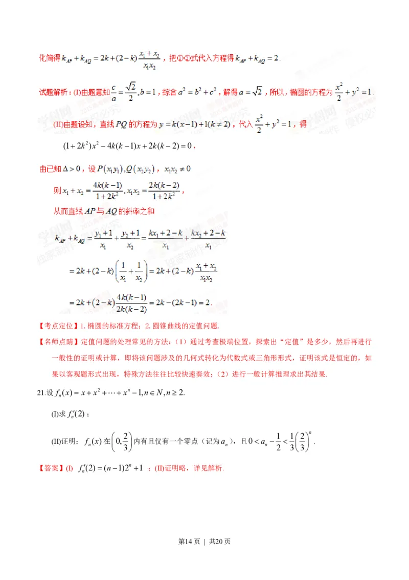
一.选择题:在每小题给出的四个选项中,只有一项是符合题目要求的.(本大题共10小题,每小题5分, 共50分). 1. 设集合M ={x|x2 = x},N ={x|lgx£0},则M N =( ) U A.[0,1] B.(0,1] C.[0,1) D.(-¥,1] 【答案】A 【考点定位】集合间的运算. 【名师点睛】1.本题考查以不等式为基础的集合间的运算,解不等式时注意原式意义的范围.2.本题属于基础 题,高考常考题型,注意运算的准确性. 2. 某中学初中部共有110名教师,高中部共有150名教师,其性别比例如图所示,则该校女教师的人数为 ( ) A.93 B.123 C.137 D.167 【答案】C 【考点定位】概率与统计. 【名师点睛】1.扇形统计图是用整个圆表示总数,用圆内各个扇形的大小表各部分数量占总数的百分数.2.通 过扇形图可以很清晰地表示各部分数量同总数之间的关系. 第1页 | 共20页3.已知抛物线y2 =2px(p>0)的准线经过点(-1,1),则抛物线焦点坐标为( ) A.(-1,0) B.(1,0) C.(0,-1) D.(0,1) 【答案】B 【考点定位】抛物线方程和性质. 【名师点睛】1.本题考查抛物线方程和性质,采用待定系数法求出 p的值.本题属于基础题,注意运算的准 确性.2.给出抛物线方程要求我们能够找出焦点坐标和直线方程,往往这个是解题的关键. ìï1- x,x³0 4.设 f(x)=í ,则 f(f(-2))=( ) ïî 2x,x<0 1 1 3 A.-1 B. C. D. 4 2 2 【答案】C 【考点定位】1.分段函数;2.复合函数求值. 【名师点睛】1.本题考查分段函数和复合函数求值,此题需要先求 f(-2)的值,继而去求 f(f(-2))的值; 2.若求函数 f[f(a)]的值,需要先求 f(a)的值,再去求 f[f(a)]的值;若是解方程 f[f(x)]=a的根, 则需先令 f(x)=t ,即 f(t)=a,再解方程 f(t)=a求出t的值,最后在解方程 f(x)=t ;3.本题属于 基础题,注意运算的准确性. 5. 一个几何体的三视图如图所示,则该几何体的表面积为( ) A.3p B.4p C.2p+4 D.3p+4 第2页 | 共20页【答案】D [来源:Zxxk.Com] 【考点定位】1.空间几何体的三视图;2.空间几何体的表面积. 【名师点睛】1.本题考查空间几何体的三视图及几何体的表面积,意在考查考生的识图能力、空间想象能力 以及技术能力;2.先根据三视图判断几何体的结构特征,再计算出几何体各个面的面积即可;3.本题属 于基础题,是高考常考题型. 6. “sina=cosa”是“cos2a=0”的( ) A充分不必要条件 B必要不充分条件 C充分必要条件 D既不充分也不必要 【答案】A 【考点定位】1.恒等变换;2.命题的充分必要性. 【名师点睛】1.本题考查三角恒等变换和命题的充分必要性,采用二倍角公式展开cos2a=0,求出 sina=cosa或sina=-cosa.2.本题属于基础题,高考常考题型. 7.根据右边框图,当输入x为6时,输出的y =( ) A.1 B.2 C.5 D.10 第3页 | 共20页【答案】D 【考点定位】程序框图的识别. 【名师点睛】1.本题考查程序框图的识别,解题的关键是判断什么时候退出循环.2.考查逻辑思维能力、计算 能力.本题属于基础题,常考题型. r r 8.对任意向量a,b,下列关系式中不恒成立的是( ) r r r r r r r r r r r r r r r r r2 r2 A.|a·b|£|a||b| B.|a-b|£||a|-|b|| C.(a+b)2 =|a+b|2 D.(a+b)(a-b)=a -b 【答案】B 【考点定位】1.向量的模;2.数量积. 【名师点睛】1.本题考查向量模的运算,采用向量数量积公式.2.向量的平方就是模的平方进行化解求解. 本题属于基础题,注意运算的准确性. 9. 设 f(x)= x-sinx,则 f(x)=( ) 第4页 | 共20页A.既是奇函数又是减函数 B.既是奇函数又是增函数 C.是有零点的减函数 D.是没有零点的奇函数 【答案】B 【考点定位】函数的性质. 【名师点睛】1.本题考查函数的性质,判断函数的奇偶性时,应先判断函数定义域是否关于原点对称,然后 再判断 f(x)和 f(-x)的关系,函数的单调性可以通过导函数判断.2.本题属于基础题,注意运算的准确 性. a+b 1 10. 设 f(x)=lnx,0 p C. p =r q 【答案】C 【考点定位】函数单调性的应用. a+b 【名师点睛】1.本题考查函数单调性,因为函数 f(x)=lnx是个递增函数,所以只需判断 和 ab 的 2 大小关系即可;2.本题属于中档题,注意运算的准确性. 11.某企业生产甲乙两种产品均需用A,B两种原料,已知生产1吨每种产品需原料及每天原料的可用限额 表所示,如果生产1吨甲乙产品可获利润分别为3万元.4万元,则该企业每天可获得最大利润为( ) 甲 乙 原料限额 A(吨) 3 2 12 B(吨) 1 2 8 [来源:学,科,网Z,X,X,K] A.12万元 B.16万元 C.17万元 D.18万元 【答案】D 第5页 | 共20页【考点定位】线性规划. 【名师点睛】1.本题考查线性规划在实际问题中的应用,在解决线性规划的应用题时,可依据以下几个步骤: ①分析题目中相关量的关系,列出不等式组,即约束条件和目标函数;②由约束条件画出可行域;③ 分析目标函数z与直线截距之间的关系;④使用平移直线法求出最优解;⑤还原到现实问题中.2.本题 属于中档题,注意运算的准确性. 12. 设复数z =(x-1)+ yi (x,yÎR),若|z|£1,则y³ x的概率( ) 3 1 1 1 1 1 1 1 A. + B. + C. - D. - 4 2p 2 p 4 2p 2 p 【答案】C 第6页 | 共20页【考点定位】1.复数的模长;2.几何概型. 【名师点睛】1.本题考查复数的模长和几何概型,利用z =a+bi Þ|z|= a2 +b2 把此题转化成几何概型, 采用分母实数化和利用共轭复数的概念进行化解求解.2.求几何概型,一般先要求出实验的基本事件构 成的区域长度(面积或体积),再求出事件A构成区域长度(面积或体积),最后再代入几何概型的概 率公式求解;求几何概型概率时,一定要分清“试验”和“事件”,这样才能找准基本事件构成的区域 长度(面积或体积).3.本题属于题,注意运算的准确性. 二、填空题:把答案填写在答题卡相应题号后的横线上(本大题共5小题,每小题5分,共25分). 13.中位数为1010的一组数构成等差数列,其末项为2015,则该数列的首项为________ 【答案】5 【考点定位】等差数列的性质. 【名师点睛】1.本题考查等差数列的性质,这组数字有可能是偶数个,也有可能是奇数个.然后利用等差数 列性质m+n= p+qÞa +a =a +a .2.本题属于基础题,注意运算的准确性. m n p q p 14.如图,某港口一天6时到18时的谁深变化曲线近似满足函数y=3sin( x+Φ)+k,据此函数可知,这段 6 时间水深(单位:m)的最大值为____________. 【答案】8 第7页 | 共20页【考点定位】三角函数的图像和性质. 【名师点睛】1.本题考查三角函数的图像和性质,在三角函数的求最值中,我们经常使用的是整理法,从图 p p 像中知此题sin( x+F)=-1时,y取得最小值,继而求得k的值,当sin( x+F)=1时,y取得最 6 6 大值.2.本题属于中档题,注意运算的准确性. 15.函数y = xex 在其极值点处的切线方程为____________. 1 【答案】y =- e 【考点定位】:导数的几何意义. 【名师点睛】1.本题考查导数的几何意义,利用导数研究曲线上某点处切线方程等基础知识,考查运算求解 能力.2.解决导数几何意义的问题时要注意抓住切点的三重作用:○1切点在曲线上;○2切点在切线上;○3切 点处导函数值等于切线斜率. 16.观察下列等式: [来源:Z§xx§k.Com] 1 1 1- = 2 2 1 1 1 1 1 1- + - = + 2 3 4 3 4 1 1 1 1 1 1 1 1 1- + - + - = + + 2 3 4 5 6 4 5 6 ………… 据此规律,第n个等式可为______________________. 1 1 1 1 1 1 1 1 【答案】1- + - +×××+ - = + +×××+ 2 3 4 2n-1 2n n+1 n+2 2n 【考点定位】归纳推理. 第8页 | 共20页【名师点睛】本题考查的是归纳推理,解题关键点在于发现其中的规律,要注意从运算的过程中去寻找. 本题属于基础题,注意运算的准确性. 三.解答题:解答应写出文字说明.证明过程或演算步骤(本大题共6小题,共75分) ur r 17.DABC 的内角A,B,C 所对的边分别为a,b,c,向量m =(a, 3b)与n =(cosA,sinB)平行. (I)求A; (II)若a = 7,b=2求DABC 的面积. p 3 3 【答案】(I) A= ;(II) . 3 2 第9页 | 共20页【考点定位】1.正弦定理和余弦定理;2.三角形的面积. 【名师点睛】1.本题考查解三角形和三角形的面积,利用正弦定理进行边角互化,继而求出A的值;可利用 余弦定理求出c的值,代入到三角形面积公式求解计算.2.高考中经常将三角变换与解三角形知识综合起 来命题,其中关键是三角变换,而三角变换中主要是“变角、变函数名和变运算形式”,其中的核心是 “变角”,即注意角之间的结构差异,弥补这种结构差异的依据就是三角公式. p 1 18.如图1,在直角梯形ABCD中,AD// BC,ÐBAD= ,AB= BC = AD=a,E是AD的中点,O 2 2 是OC 与BE 的交点,将DABE沿BE 折起到图2中DABE的位置,得到四棱锥A -BCDE. 1 1 (I)证明:CD ^平面AOC ; 1 第10页 | 共20页(II)当平面ABE ^平面BCDE时,四棱锥A -BCDE的体积为36 2 ,求a的值. 1 1 【答案】(I) 证明略,详见解析;(II) a =6. 第11页 | 共20页【考点定位】1.线面垂直的判定;2.面面垂直的性质定理;3.空间几何体的体积. 【名师点睛】1.在处理有关空间中的线面平行、线面垂直等问题时,常常借助于相关的判定定理来解题,同 时注意恰当的将问题进行转化;2.求几何体的体积的方法主要有公式法、割补法、等价转化法等,本题 是求四棱锥的体积,可以接使用公式法. 19.随机抽取一个年份,对西安市该年4月份的天气情况进行统计,结果如下: 日期 1 2 3 4 5 6 7 8 9 10 11 12 13 14 15 天气 晴 雨 阴 阴 阴 雨 阴 晴 晴 晴 阴 晴 晴 晴 晴 日期 16 17 18 19 20 21 22 23 24 25 26 27 28 29 30 天气 晴 阴 雨 阴 阴 晴 阴 晴 晴 晴 阴 晴 晴 晴 雨 (I)在4月份任取一天,估计西安市在该天不下雨的概率; (II)西安市某学校拟从4月份的一个晴天开始举行连续两天的运动会,估计运动会期间不下雨的概率. 13 7 【答案】(I) ; (II) . 15 8 第12页 | 共20页【考点定位】概率与统计. 【名师点睛】(1)利用古典概型概率公式求概率时,求试验的基本事件和事件A的基本事件的个数,必须利 用树状图.表格.集合等形式把事件列举出来,格式要规范;(2)列举基本事件时,要注意找规律,要不 重不漏.本题属于基础题,注意运算的准确性. x2 y2 2 20.如图,椭圆E: + =1(a >b>0)经过点A(0,-1),且离心率为 . a2 b2 2 (I)求椭圆E的方程; (II)经过点(1,1),且斜率为k的直线与椭圆E交于不同两点P,Q(均异于点A),证明:直线AP与AQ 的斜率之和为2. x2 【答案】(I) + y2 =1; (II)证明略,详见解析. 2 第13页 | 共20页(1+2k2)x2 -4k(k -1)x+2k(k -2)=0, 【考点定位】1.椭圆的标准方程;2.圆锥曲线的定值问题. 【名师点睛】定值问题的处理常见的方法:(1)通过考查极端位置,探索出“定值”是多少,然后再进行 一般性的证明或计算,即将该问题涉及的几何式转化为代数式或三角形形式,证明该式是恒定的,如 果以客观题形式出现,特殊方法往往比较快速奏效;(2)进行一般计算推理求出其结果. 21.设 f (x)= x+ x2 + + xn -1,nÎN,n³2. n L (I)求 f¢(2); n n æ 2ö 1 1æ2ö (II)证明: f (x)在ç 0, ÷内有且仅有一个零点(记为a ),且0