当前位置:首页>文档>押广东卷选择题10近代物理(原卷版)_4.2025物理总复习_2024年新高考资料_5.2024三轮冲刺_备战2024年高考物理临考题号押题(广东专用)324210116

押广东卷选择题10近代物理(原卷版)_4.2025物理总复习_2024年新高考资料_5.2024三轮冲刺_备战2024年高考物理临考题号押题(广东专用)324210116

  • 2026-03-10 07:34:49 2026-03-10 07:34:49

文档预览

押广东卷选择题10近代物理(原卷版)_4.2025物理总复习_2024年新高考资料_5.2024三轮冲刺_备战2024年高考物理临考题号押题(广东专用)324210116
押广东卷选择题10近代物理(原卷版)_4.2025物理总复习_2024年新高考资料_5.2024三轮冲刺_备战2024年高考物理临考题号押题(广东专用)324210116
押广东卷选择题10近代物理(原卷版)_4.2025物理总复习_2024年新高考资料_5.2024三轮冲刺_备战2024年高考物理临考题号押题(广东专用)324210116
押广东卷选择题10近代物理(原卷版)_4.2025物理总复习_2024年新高考资料_5.2024三轮冲刺_备战2024年高考物理临考题号押题(广东专用)324210116
押广东卷选择题10近代物理(原卷版)_4.2025物理总复习_2024年新高考资料_5.2024三轮冲刺_备战2024年高考物理临考题号押题(广东专用)324210116
押广东卷选择题10近代物理(原卷版)_4.2025物理总复习_2024年新高考资料_5.2024三轮冲刺_备战2024年高考物理临考题号押题(广东专用)324210116
押广东卷选择题10近代物理(原卷版)_4.2025物理总复习_2024年新高考资料_5.2024三轮冲刺_备战2024年高考物理临考题号押题(广东专用)324210116
押广东卷选择题10近代物理(原卷版)_4.2025物理总复习_2024年新高考资料_5.2024三轮冲刺_备战2024年高考物理临考题号押题(广东专用)324210116
押广东卷选择题10近代物理(原卷版)_4.2025物理总复习_2024年新高考资料_5.2024三轮冲刺_备战2024年高考物理临考题号押题(广东专用)324210116
押广东卷选择题10近代物理(原卷版)_4.2025物理总复习_2024年新高考资料_5.2024三轮冲刺_备战2024年高考物理临考题号押题(广东专用)324210116
押广东卷选择题10近代物理(原卷版)_4.2025物理总复习_2024年新高考资料_5.2024三轮冲刺_备战2024年高考物理临考题号押题(广东专用)324210116
押广东卷选择题10近代物理(原卷版)_4.2025物理总复习_2024年新高考资料_5.2024三轮冲刺_备战2024年高考物理临考题号押题(广东专用)324210116
押广东卷选择题10近代物理(原卷版)_4.2025物理总复习_2024年新高考资料_5.2024三轮冲刺_备战2024年高考物理临考题号押题(广东专用)324210116
押广东卷选择题10近代物理(原卷版)_4.2025物理总复习_2024年新高考资料_5.2024三轮冲刺_备战2024年高考物理临考题号押题(广东专用)324210116

文档信息

文档格式
docx
文档大小
1.460 MB
文档页数
14 页
上传时间
2026-03-10 07:34:49

文档内容

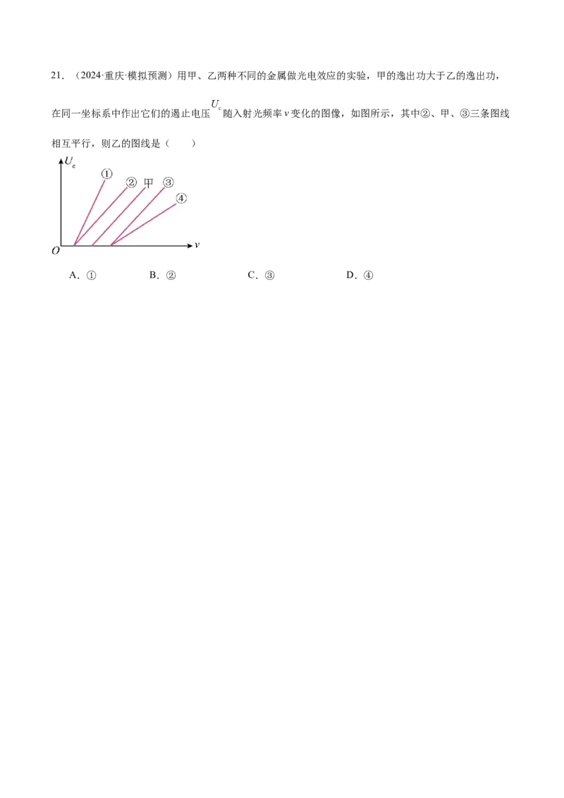
押广东卷选择题 10 近代物理 高考对于这部分知识点主要以具体事例和科技的最新成果为背景进行命题,主要考查的知识点有:① 光电效应方程和图像;②氢原子光谱和玻尔的原子模型;③原子核的衰变;④核反应和核能的计算等。 常考考点 真题举例 α衰变的特点及其方程的写法 三种射线的性质 2023·广东·高考真题 基态、激发态、跃迁和电离 2022·广东·高考真题 半衰期的相关计算 2021·广东·高考真题 考点 1:近代物理 1、普朗克黑体辐射理论 相关的概念如下表: 黑体 某种物体能够完全吸收入射的各种波长的电磁波而不发生反射,这种物体 就是绝对黑体,简称黑体。(黑体是一个理想化的物理模型,看上去不一 定是黑的) 黑体辐射 黑体虽然不反射电磁波,却可以向外辐射电磁波。 黑体辐射规律 黑体辐射电磁波的强度按波长的分布只与黑体的温度有关,温度一定时, 黑体辐射强度随波长的分布有一个极大值,随着温度的升高各种波长的辐 射强度都有增加且辐射强度的极大值向波长较短的方向移动(如下图所 示)。 能量子 振动着的带电微粒的能量只能是某一最小能量值ε的整数倍,例如可能是ε或2ε、3ε……当带电微粒辐射或吸收能量时,也是以这个最 小能量值为单位一份一份地辐射或吸收的.这个不可再分的最小能量值 ε叫做能量子。 能量子表达式 ε=hν,ν是带电微粒的振动频率,h是普朗克常量,其值为h= 6.626 070 15×10-34 J·s。 能量的量子化 在微观世界中能量不能连续变化,只能取分立值,这种现象叫做能量的 量子化。 2、光电效应 一些相关概念如下表所示: 概念 解析 光子 光子指光在空间传播时的每一份能量,光子不带电。 光电子 光电子是金属表面受到光照射时发射出来的电子,其本质是电 子。 光电子的动能和光 只有金属表面的电子飞出原子核需要克服原子核的引力做功 电子的最大初动能 时,才具有最大初动能。 光电流 金属板飞出的光电子到达阳极,回路中便产生光电流。 饱和光电流 两端的正向电压的增大,光电流趋于一个饱和值,这个饱和值 是饱和光电流,在一定的光照条件下,饱和光电流与所加电压 大小无关。 入射光强度 指单位时间内照射到金属表面单位面积上的总能量。 光子能量 光子的能量与电磁辐射频率成正比。光子频率越高,能量越 高。 光的强度 频率相同的光照射金属产生光电效应,入射光越强,饱和光电 流越大,但不是简单的正比关系。 饱和光电流 光电效应的实质及发生条件: 光电效应的实质是金属中的电子获得能量后逸出金属表面,从而使金属带上正电。 条件:能否发生光电效应,不取决于光的强度,而是取决于光的频率(只要照射光的频率大于该金属 的极限频率,无论照射光强弱,均能发生光电效应)。 爱因斯坦光电效应方程: E =hν-W ,hν为光子的能量,W 逸出功,即从金属表面直接飞出的光电子克服原子核引力所做的 k 0 0为 功,E 为光电子的最大初动能。 k 光电效应中的图像分析如下: 图像名称 图线形状 考点 ①极限频率:图线与ν轴交点的横坐 标ν c E-ν的关系图线 k ②逸出功:图线与E 轴交点的纵坐 k 标的值W=|-E|=E 0③普朗克常量:图线的斜率k=h 颜色相同、强度不同 ①遏止电压U:图线与横轴的交点 c 的光,光电流与电压 ②饱和光电流I :电流的最大值 m 的关系 ③最大初动能:E =eU km c ①遏止电压U 、U c1 c2 颜色不同时,光电流 ②饱和光电流 与电压的关系 ③最大初动能E =eU ,E =eU k1 c1 k2 c2 ①截止频率ν:图线与横轴的交点 c ②遏止电压U:随入射光频率的增 c 遏止电压U-ν的关系 大而增大 c 图线 ③普朗克常量h:等于图线的斜率与 电子电量的乘积,即h=ke.(注:此 时两极之间接反向电压) 3、波粒二象性 光既有波动性,又有粒子性,两者不是孤立的,而是有机的统一体,其表现规律为: 数量上——个别光子的作用效果往往表现为粒子性,大量光子的作用效果往往表现为波动性,光的干 涉、衍射、偏振现象说明光具有波动性。 频率上——频率越低波动性越显著,越容易看到光的干涉和衍射现象;频率越高粒子性越显著,贯穿 本领越强,越不容易看到光的干涉和衍射现象。 传播与作用上——光在传播过程中往往表现出波动性;在与物质发生作用时往往表现为粒子性。 波动性与粒子性的统一—由光子的能量E=hν、光子的动量表达式p=也可以看出,光的波动性和粒 子性并不矛盾,粒子性的能量和动量的计算式中都含有表示波的特征的物理量——频率ν和波长λ。 理解光的波粒二象性时不可把光当成宏观概念中的波,也不可把光当成宏观概念中的粒子。 4、氢原子光谱和波尔理论 α粒子散射实验:实验装置如下图所示;实验结果为α粒子穿过金箔后,绝大多数沿原方向前进,少 数发生较大角度偏转,极少数偏转角度大于90°,甚至被弹回。 核式结构模型:原子中心有一个很小的核,叫做原子核,原子的全部正电荷和几乎全部质量都集中在 原子核里,带负电的电子在核外空间绕核旋转。 玻尔的三条假设定态假设 原子只能处于一系列不连续的能量状态中,在这些能量状态中原子 是稳定的,电子虽然绕核运动,但并不向外辐射能量。 跃迁假设 原子从一种定态跃迁到另一种定态时,它辐射或吸收一定频率的光 子,光子的能量由这两个定态的能量差决定,即 hν=Em-En。(h 是普朗克常量,h=6.63×10-34 J·s)。 轨道假设 原子的不同能量状态跟电子在不同的圆周轨道绕核运动相对应。原 子的定态是不连续的,因此电子的可能轨道也是不连续的。 能级:在玻尔理论中,原子各个状态的能量值;基态:原子能量最低的状态;激发态:在原子能量状 态中除基态之外的其他能量较高的状态;量子数:原子的状态是不连续的,用于表示原子状态的正整数. 氢原子的能级,如下图所示: 氢原子的能级和轨道半径为:能级公式:E =E (n=1,2,3,…),其中E 为基态能量,其数值 n 1 1 为E =-13.6 eV;轨道半径公式:r =n2r (n=1,2,3,…),其中r 为基态半径,又称玻尔半径,其 1 n 1 1 数值为r=0.53×10-10 m。 1 注意(解答氢原子能级图与原子跃迁问题):一群氢原子跃迁发出可能的光谱线条数的两种求解方法, 分别为N=C=和在氢原子能级图中将氢原子跃迁的各种可能情况画出并相加;能级之间发生跃迁时放出 (吸收)光子的频率由hν=E -E 决定,波长可由公式c=λν求得;一个氢原子跃迁发出可能的光谱线条数 m n 最多为n-1。 电离能:指原子从基态或某一激发态跃迁到电离态所需要吸收的最小能量(电离态:n=∞,E= 0)。 以氢原子为例,有:基态→电离态:E =0-(-13.6 eV)=13.6 eV,即为基态的电离能;n=2→电离态: 吸 E =0-E=3.4 eV,即为n=2激发态的电离能。如果吸收能量足够大,克服电离能后,电离出的自由电 吸 2 子还具有动能。 5、核反应与核能 核反应类型: 类型 可控性 核反应方程典例 衰变 α衰变 自发 U→ Th+He 92 90 β衰变 自发 2Th→2Pa+e 1 2U+n→1Ba+Kr+3n 核裂变 人工控制 2U+n→1Xe+Sr+10n 核聚变 现阶段很难控制 H+H→He+n 人工转变 人工控制 1N+He→1O+H;He+Be→1C+n;Al+He→P+n;P→Si+e 1 γ射线经常是伴随着α衰变或β衰变同时产生的.其实质是放射性原子核在发生α衰变或β衰变 的过程中,产生的新核由于具有过多的能量(核处于激发态)而辐射出光子。 衰变次数的确定方法:因为β衰变对质量数无影响,先由质量数的改变确定α衰变的次数,然后再根 据衰变规律确定β衰变的次数。 半衰期的计算公式:N =N 0.5 ,m =m 0.5 ,影响因素为放射性元素衰变的快慢是由原子核内 余 原 余 原 部自身因素决定的,跟原子所处的物理状态(如温度、压强)或化学状态(如单质、化合物)无关。 质量亏损:爱因斯坦质能方程E=mc2,原子核的质量必然比组成它的核子的质量和小Δm,这就是质 量亏损。由质量亏损可求出释放的核能为ΔE=Δmc2。 质量亏损的计算方法:先写出核反应方程,然后计算质量亏损,最后根据质能方程算出核能。ΔE= Δmc2中,若Δm的单位用“kg”,c的单位用“m/s”,则ΔE的单位为“J”;若Δm的单位用“u”,则可 直接利用ΔE=Δm×931.5 MeV/u计算,此时ΔE的单位为“MeV”,即1 u=1.660 6×10-27 kg,相当于 931.5 MeV,这个结论可在计算中直接应用。还可以利用比结合能计算核能:原子核的结合能(原子核的 结合能与核子数之比,也叫平均结合能。)=核子的比结合能×核子数。核反应前系统内所有原子核的总结合 能与反应后所有原子核的总结合能之差,就是该核反应所释放(或吸收)的能量。 核反应方程的解答技巧:一些常见基本粒子的符号要牢记,比如质子(H)、中子(n)、α粒子(He)、β粒 子(e)、氘核(H)、氚核(H)等。核反应方程的书写满足两个守恒:质量数守恒和电荷数守恒。核反应过程是 1 不可逆的,核反应方程只能用箭头连接并表示反应方向,不能用等号连接。 1.(2023·广东·高考真题)(2023·广东·高考真题)理论认为,大质量恒星塌缩成黑洞的过程,受核反应 的影响。下列说法正确的是( ) A.Y是 粒子, 射线穿透能力比 射线强 B.Y是 粒子, 射线电离能力比 射线强 C.Y是 粒子, 射线穿透能力比 射线强 D.Y是 粒子, 射线电离能力比 射线强 2.(2022·广东·高考真题)目前科学家已经能够制备出能量量子数n较大的氢原子。氢原子第n能级的能量为 ,其中 。图是按能量排列的电磁波谱,要使 的氢原子吸收一个光子后,恰 好失去一个电子变成氢离子,被吸收的光子是( ) A.红外线波段的光子 B.可见光波段的光子 C.紫外线波段的光子 D.X射线波段的光子 3.(2021·广东·高考真题)科学家发现银河系中存在大量的放射性同位素铝26,铝26的半衰期为72万年, 其衰变方程为 ,下列说法正确的是( ) A.Y是氦核 B.Y是质子 C.再经过72万年,现有的铝26衰变一半 D.再经过144万年,现有的铝26全部衰变 单选题 1.(2024·广东深圳·二模)某防盗报警器工作原理如图所示。用紫外线照射光敏材料制成的阴极时,逸出 的光电子在电路中产生电流,电流经放大后使电磁铁吸住铁条。当光源与阴极间有障碍物时,警报器响起。 下列说法正确的是( ) A.若用红外光源代替紫外光源,该报警器一定能正常工作 B.逸出光电子的最大初动能与照射光频率成正比 C.若用更强的同一频率紫外线照射阴极,光电流变大 D.若用更强的同一频率紫外线照射阴极,所有光电子的初动能均增大 2.(2024·广东·二模)核污染水中含有一些放射性元素,有人提出处理核污染水的三个措施,其中可以减缓放射线元素衰变的是( ) A.使核污染水蒸发到天空 B.将核污染水密封于大型特制容器中 C.将核污染水放到大海进行稀释 D.上述措施均无法减缓放射性元素衰变 3.(2024·广东揭阳·二模)2023年4月12日,中国“人造太阳”一全超导托卡马克核聚变实验装置 (EAST)成功实现稳态高约束模式等离子体运行403秒,创造了新的世界纪录,其内部发生的核反应方程 为 ,则( ) A.该反应为β衰变 B.X为中子 C.X为质子 D. He的结合能比 H的结合能小 4.(2024·广东广州·二模)如图,光电管接入电路,用紫外线照射光电管阴极时,发生了光电效应,回路 中形成电流。下列说法正确的是( ) A.电流方向为a→R→b B.电流方向为b→R→a C.光照时间越长,光电子的最大初动能越大 D.入射光光强增大,光电子的最大初动能增大 5.(2024·广东湛江·二模)光伏发电是提供清洁能源的方式之一,光伏发电的原理是光电效应。演示光电 效应的实验装置如图甲所示,a、b、c三种光照射光电管得到的三条电流表与电压表示数之间的关系曲线 如图乙所示,下列说法正确的是( )A.若b光为绿光,则a光可能是紫光 B.a光照射光电管发出光电子的最大初动能一定小于b光照射光电管发出光电子的最大初动能 C.单位时间内a光照射光电管发出的光电子比c光照射光电管发出的光电子少 D.若用强度相同的a、b光照射该光电管,则单位时间内逸出的光电子数相等 6.(2024·广东佛山·二模)正电子发射计算机断层扫描是核医学领域较先进的临床检查影像技术,使用 作为原料产生正电子,其反应方程式为 。真空中存在垂直于纸面的匀强磁场,某个静止 的 原子核在其中发生衰变,生成的硼核及正电子运动轨迹及方向如图所示,则( ) A.正电子动量大于硼核动量 B.空间中磁场方向垂直纸面向外 C.半径较大的轨迹是正电子轨迹 D.正电子运动周期大于硼核周期 7.(2024·广东佛山·二模)中国科学家2023年2月26日在国际上刊文宣布,通过我国高海拔宇宙线观测 站“拉索”,在人类历史上首次找到能量高于1亿亿电子伏特的宇宙线起源天体。已知普朗克常量 ,电子的电荷量 ,人眼能看见的最高能量的可见光为频率 的紫光,该紫光光子能量为( ) A. B. C. D.8.(2024·广东惠州·一模)硅光电池是利用光电效应原理制成的器件,下列表述正确的是( ) A.硅光电池是把电能转化为光能的一种装置 B.硅光电池中吸收了光子能量的电子都能逸出 C.逸出的光电子的最大初动能与入射光的频率有关 D.光电效应现象说明光具有波动性 9.(2024·广东茂名·二模)我国第一台空间莱曼阿尔法太阳望远镜可探测波长为121.6nm的氢原子谱线, 该谱线对应的光子能量为10.2eV。根据如图所示的氢原子能级图,可知此谱线来源于太阳中氢原子( ) A. 和 能级之间的跃迁 B. 和 能级之间的跃迁 C. 和 能级之间的跃迁 D. 和 能级之间的跃迁 10.(2024·广东·二模)钙钛矿是新型太阳能电池的重点研发方向之一,我国科研团队刷新大面积全钙钛 矿光伏组件光电转化效率世界纪录。面积为 的太阳能电池板总保持与太阳光线垂直,在电池板处太 阳光的强度为 ,假设太阳辐射波长为 的单色光,而且所有辐射到电池板上的光子均被板 吸收,已知 , ,则电池板每秒钟吸收的光子数目约为( ) A. 个 B. 个 C. 个 D. 个 11.(2024·广东·一模)中国科学家在核聚变技术领域取得了巨大突破,“EAST超导托卡马克装置”成功 实现了连续运行403秒,创造了世界纪录。其中一种核聚变反应是由一个氘核和一个氚核结合成一个氦核 同时放出一个中子,下列说法正确的是( ) A.反应前后的质量数守恒,电荷数不守恒 B.反应前后的电荷数守恒,质量数不守恒 C.该核反应中氘核和氚核的总质量大于氦核和中子的总质量 D.该核反应过程违背了质量守恒定律 12.(2024·广东韶关·二模)2023年9月15日,三星堆遗址考古入选世界重大田野考古发现。三星堆古遗 址距今已有5000至3000年历史,昭示长江流域与黄河流域一样同属中华文明的母体。应用碳14测定年代 是考古中的重要方法,在高空大气中,来自宇宙射线的中子轰击氮14,不断以一定的速率产生碳14,接着碳14就发生放射性衰变,其半衰期为5730年,反应方程分别为: 。以 下说法中正确的是( ) A.核反应方程要遵循电荷数守恒和质量守恒 B.碳14发生的放射性衰变是β衰变 C.埋入地下的植物中,其碳14的半衰期将变长 D.4个碳14原子核在经过一个半衰期后,一定还剩2个 13.(2024·广东·模拟预测)如图所示是氢原子的能级图,一群氢原子处于量子数 的激发态,这些氢 原子能够自发地跃迁到较低的能量状态,并向外辐射多种频率的光,用辐射出的光照射图乙光电管的阴极 K,已知阴极K的逸出功为 ,则( ) A.波长最短的光是原子从 激发态跃迁产生的 B.波长最长的光是原子从 激发态跃迁到基态时产生的 C.阴极 逸出光电子的最大初动能为 D.阴极K逸出光电子的最大初动能与阴极K的逸出功相等 单选题 14.(2024·湖南长沙·二模)在物理学发展的进程中,人们通过对某些重要物理实验的深入观察和研究, 获得正确的理论认识。下列图示的实验规律对应的说法正确的是( )A.图甲是用多种频率的光进行光电效应实验,所得到的光电流与所加电压的关系,a光的频率最大 B.图乙是卢瑟福进行α粒子散射图景,卢瑟福通过实验分析数据后提出核式结构模型 C.图丙是黑体反射电磁波的强度与波长的关系,温度升高,所有反射的电磁波的强度都随温度升高 而增大 D.图丁是衰变过程 随时间的变化规律,说明每个半衰期发生衰变的原子核数量相同 15.(2024·陕西铜川·三模)在医学上,放射性同位素锶90( )制成表面敷贴器,可贴于体表治疗神 经性皮炎等疾病。锶90( )会发生β衰变,其衰变产物中有钇(Y)的同位素,半衰期为28.8年。下 列说法正确的是( ) A.该衰变过程质量守恒 B. 的比结合能比衰变产物中钇(Y)的同位素的比结合能大 C.β衰变所释放的电子是原子核内的中子转变为质子时所产生的 D.0.4mol的 原子核经过57.6年后还剩余0.3mol 16.(2024·四川宜宾·三模)某科技小组用如图所示的电路研究“光电效应”现象,现用频率为v的红光 照射光电管,有光电子从K极逸出。下列说法正确的是( )A.使用蓝光照射比红光照射需要克服的逸出功更大 B.仅增大入射光的强度,从K极逃逸出的电子的最大初动能可能增大 C.当滑动变阻器的滑片从左向右滑动时,电流表示数可能先增大后保持不变 D.将电源正负极反接后当滑动变阻器的滑片从左向右滑动时,电流表示数不变 17.(2024·河北·二模)2023年4月12日21时,中国有“人造太阳”之称的全超导托卡马克核聚变实验 装置(EAST)创造了新的世界纪录,成功实现稳态高约束模式等离子体运行403秒。其运行原理就是在装 置的真空室内加入少量氢的同位素氘或氚,通过某种方法产生等离子体,等离子体满足一定条件就会发生 聚变反应,反应过程中会产生巨大的能量。关于氢的同位素氘或氚的核聚变,其核反应方程为 ,光速 ,则下列说法正确的是( ) A. 的比结合能大于 的比结合能 B.粒子 具有较强的电离能力 C.一个氘核和一个氚核发生核聚变,亏损的质量约为 D.提升等离子体的密度,在常温常压下也能发生聚变反应 18.(2024·广西·二模)现代考古通过测量生物化石中放射性同位素碳14的量来确定生物的年代,质量为 的碳14( )发生β衰变,经过时间t后剩余碳14的质量为m,其 图线如图所示。下列说法正 确的是( )A.碳14放出的β粒子来自核外电子 B.碳14的半衰期为11460年 C.碳14的衰变方程为 D.碳14原子发生化学反应后半衰期发生改变 19.(2024·浙江湖州·二模)用各种频率的光照射两种金属材料得到遏止电压U 随光的频率ν变化的两条 c 图线1、2,图线上有P和Q两点。下列说法正确的是( ) A.图线1、2一定平行 B.图线1对应金属材料的逸出功大 C.照射同一金属材料,用Q对应的光比P对应的光产生的饱和电流大 D.照射同一金属材料,用P对应的光比Q对应的光溢出的电子初动能大 20.(2024·重庆·二模)已知氢原子处于基态的能量为 ,第n能级的能量 。大量处于某同一激发 态的氢原子向低能级跃迁时,辐射的光子中能量最大为 ,h为普朗克常量。则这些氢原子向低能级跃 迁时,辐射的光子中频率最小为( ) A. B. C. D.21.(2024·重庆·模拟预测)用甲、乙两种不同的金属做光电效应的实验,甲的逸出功大于乙的逸出功, 在同一坐标系中作出它们的遏止电压 随入射光频率v变化的图像,如图所示,其中②、甲、③三条图线 相互平行,则乙的图线是( ) A.① B.② C.③ D.④
基本 文件 流程 错误 SQL 调试
  1. 请求信息 : 2026-03-10 07:39:18 HTTP/1.1 GET : https://www.yeyulingfeng.com/wendang/371470.html
  2. 运行时间 : 0.234286s [ 吞吐率:4.27req/s ] 内存消耗:5,639.85kb 文件加载:144
  3. 缓存信息 : 0 reads,0 writes
  4. 会话信息 : SESSION_ID=77ca00788156f943b8f7c2def2e83106
  1. /yingpanguazai/ssd/ssd1/www/wwww.yeyulingfeng.com/public/index.php ( 0.79 KB )
  2. /yingpanguazai/ssd/ssd1/www/wwww.yeyulingfeng.com/vendor/autoload.php ( 0.17 KB )
  3. /yingpanguazai/ssd/ssd1/www/wwww.yeyulingfeng.com/vendor/composer/autoload_real.php ( 2.49 KB )
  4. /yingpanguazai/ssd/ssd1/www/wwww.yeyulingfeng.com/vendor/composer/platform_check.php ( 0.90 KB )
  5. /yingpanguazai/ssd/ssd1/www/wwww.yeyulingfeng.com/vendor/composer/ClassLoader.php ( 14.03 KB )
  6. /yingpanguazai/ssd/ssd1/www/wwww.yeyulingfeng.com/vendor/composer/autoload_static.php ( 6.05 KB )
  7. /yingpanguazai/ssd/ssd1/www/wwww.yeyulingfeng.com/vendor/topthink/think-helper/src/helper.php ( 8.34 KB )
  8. /yingpanguazai/ssd/ssd1/www/wwww.yeyulingfeng.com/vendor/topthink/think-validate/src/helper.php ( 2.19 KB )
  9. /yingpanguazai/ssd/ssd1/www/wwww.yeyulingfeng.com/vendor/ralouphie/getallheaders/src/getallheaders.php ( 1.60 KB )
  10. /yingpanguazai/ssd/ssd1/www/wwww.yeyulingfeng.com/vendor/topthink/think-orm/src/helper.php ( 1.47 KB )
  11. /yingpanguazai/ssd/ssd1/www/wwww.yeyulingfeng.com/vendor/topthink/think-orm/stubs/load_stubs.php ( 0.16 KB )
  12. /yingpanguazai/ssd/ssd1/www/wwww.yeyulingfeng.com/vendor/topthink/framework/src/think/Exception.php ( 1.69 KB )
  13. /yingpanguazai/ssd/ssd1/www/wwww.yeyulingfeng.com/vendor/topthink/think-container/src/Facade.php ( 2.71 KB )
  14. /yingpanguazai/ssd/ssd1/www/wwww.yeyulingfeng.com/vendor/symfony/deprecation-contracts/function.php ( 0.99 KB )
  15. /yingpanguazai/ssd/ssd1/www/wwww.yeyulingfeng.com/vendor/symfony/polyfill-mbstring/bootstrap.php ( 8.26 KB )
  16. /yingpanguazai/ssd/ssd1/www/wwww.yeyulingfeng.com/vendor/symfony/polyfill-mbstring/bootstrap80.php ( 9.78 KB )
  17. /yingpanguazai/ssd/ssd1/www/wwww.yeyulingfeng.com/vendor/symfony/var-dumper/Resources/functions/dump.php ( 1.49 KB )
  18. /yingpanguazai/ssd/ssd1/www/wwww.yeyulingfeng.com/vendor/topthink/think-dumper/src/helper.php ( 0.18 KB )
  19. /yingpanguazai/ssd/ssd1/www/wwww.yeyulingfeng.com/vendor/symfony/var-dumper/VarDumper.php ( 4.30 KB )
  20. /yingpanguazai/ssd/ssd1/www/wwww.yeyulingfeng.com/vendor/guzzlehttp/guzzle/src/functions_include.php ( 0.16 KB )
  21. /yingpanguazai/ssd/ssd1/www/wwww.yeyulingfeng.com/vendor/guzzlehttp/guzzle/src/functions.php ( 5.54 KB )
  22. /yingpanguazai/ssd/ssd1/www/wwww.yeyulingfeng.com/vendor/topthink/framework/src/think/App.php ( 15.30 KB )
  23. /yingpanguazai/ssd/ssd1/www/wwww.yeyulingfeng.com/vendor/topthink/think-container/src/Container.php ( 15.76 KB )
  24. /yingpanguazai/ssd/ssd1/www/wwww.yeyulingfeng.com/vendor/psr/container/src/ContainerInterface.php ( 1.02 KB )
  25. /yingpanguazai/ssd/ssd1/www/wwww.yeyulingfeng.com/app/provider.php ( 0.19 KB )
  26. /yingpanguazai/ssd/ssd1/www/wwww.yeyulingfeng.com/vendor/topthink/framework/src/think/Http.php ( 6.04 KB )
  27. /yingpanguazai/ssd/ssd1/www/wwww.yeyulingfeng.com/vendor/topthink/think-helper/src/helper/Str.php ( 7.29 KB )
  28. /yingpanguazai/ssd/ssd1/www/wwww.yeyulingfeng.com/vendor/topthink/framework/src/think/Env.php ( 4.68 KB )
  29. /yingpanguazai/ssd/ssd1/www/wwww.yeyulingfeng.com/app/common.php ( 0.03 KB )
  30. /yingpanguazai/ssd/ssd1/www/wwww.yeyulingfeng.com/vendor/topthink/framework/src/helper.php ( 18.78 KB )
  31. /yingpanguazai/ssd/ssd1/www/wwww.yeyulingfeng.com/vendor/topthink/framework/src/think/Config.php ( 5.54 KB )
  32. /yingpanguazai/ssd/ssd1/www/wwww.yeyulingfeng.com/config/alipay.php ( 3.59 KB )
  33. /yingpanguazai/ssd/ssd1/www/wwww.yeyulingfeng.com/vendor/topthink/framework/src/think/facade/Env.php ( 1.67 KB )
  34. /yingpanguazai/ssd/ssd1/www/wwww.yeyulingfeng.com/config/app.php ( 0.95 KB )
  35. /yingpanguazai/ssd/ssd1/www/wwww.yeyulingfeng.com/config/cache.php ( 0.78 KB )
  36. /yingpanguazai/ssd/ssd1/www/wwww.yeyulingfeng.com/config/console.php ( 0.23 KB )
  37. /yingpanguazai/ssd/ssd1/www/wwww.yeyulingfeng.com/config/cookie.php ( 0.56 KB )
  38. /yingpanguazai/ssd/ssd1/www/wwww.yeyulingfeng.com/config/database.php ( 2.48 KB )
  39. /yingpanguazai/ssd/ssd1/www/wwww.yeyulingfeng.com/config/filesystem.php ( 0.61 KB )
  40. /yingpanguazai/ssd/ssd1/www/wwww.yeyulingfeng.com/config/lang.php ( 0.91 KB )
  41. /yingpanguazai/ssd/ssd1/www/wwww.yeyulingfeng.com/config/log.php ( 1.35 KB )
  42. /yingpanguazai/ssd/ssd1/www/wwww.yeyulingfeng.com/config/middleware.php ( 0.19 KB )
  43. /yingpanguazai/ssd/ssd1/www/wwww.yeyulingfeng.com/config/route.php ( 1.89 KB )
  44. /yingpanguazai/ssd/ssd1/www/wwww.yeyulingfeng.com/config/session.php ( 0.57 KB )
  45. /yingpanguazai/ssd/ssd1/www/wwww.yeyulingfeng.com/config/trace.php ( 0.34 KB )
  46. /yingpanguazai/ssd/ssd1/www/wwww.yeyulingfeng.com/config/view.php ( 0.82 KB )
  47. /yingpanguazai/ssd/ssd1/www/wwww.yeyulingfeng.com/app/event.php ( 0.25 KB )
  48. /yingpanguazai/ssd/ssd1/www/wwww.yeyulingfeng.com/vendor/topthink/framework/src/think/Event.php ( 7.67 KB )
  49. /yingpanguazai/ssd/ssd1/www/wwww.yeyulingfeng.com/app/service.php ( 0.13 KB )
  50. /yingpanguazai/ssd/ssd1/www/wwww.yeyulingfeng.com/app/AppService.php ( 0.26 KB )
  51. /yingpanguazai/ssd/ssd1/www/wwww.yeyulingfeng.com/vendor/topthink/framework/src/think/Service.php ( 1.64 KB )
  52. /yingpanguazai/ssd/ssd1/www/wwww.yeyulingfeng.com/vendor/topthink/framework/src/think/Lang.php ( 7.35 KB )
  53. /yingpanguazai/ssd/ssd1/www/wwww.yeyulingfeng.com/vendor/topthink/framework/src/lang/zh-cn.php ( 13.70 KB )
  54. /yingpanguazai/ssd/ssd1/www/wwww.yeyulingfeng.com/vendor/topthink/framework/src/think/initializer/Error.php ( 3.31 KB )
  55. /yingpanguazai/ssd/ssd1/www/wwww.yeyulingfeng.com/vendor/topthink/framework/src/think/initializer/RegisterService.php ( 1.33 KB )
  56. /yingpanguazai/ssd/ssd1/www/wwww.yeyulingfeng.com/vendor/services.php ( 0.14 KB )
  57. /yingpanguazai/ssd/ssd1/www/wwww.yeyulingfeng.com/vendor/topthink/framework/src/think/service/PaginatorService.php ( 1.52 KB )
  58. /yingpanguazai/ssd/ssd1/www/wwww.yeyulingfeng.com/vendor/topthink/framework/src/think/service/ValidateService.php ( 0.99 KB )
  59. /yingpanguazai/ssd/ssd1/www/wwww.yeyulingfeng.com/vendor/topthink/framework/src/think/service/ModelService.php ( 2.04 KB )
  60. /yingpanguazai/ssd/ssd1/www/wwww.yeyulingfeng.com/vendor/topthink/think-trace/src/Service.php ( 0.77 KB )
  61. /yingpanguazai/ssd/ssd1/www/wwww.yeyulingfeng.com/vendor/topthink/framework/src/think/Middleware.php ( 6.72 KB )
  62. /yingpanguazai/ssd/ssd1/www/wwww.yeyulingfeng.com/vendor/topthink/framework/src/think/initializer/BootService.php ( 0.77 KB )
  63. /yingpanguazai/ssd/ssd1/www/wwww.yeyulingfeng.com/vendor/topthink/think-orm/src/Paginator.php ( 11.86 KB )
  64. /yingpanguazai/ssd/ssd1/www/wwww.yeyulingfeng.com/vendor/topthink/think-validate/src/Validate.php ( 63.20 KB )
  65. /yingpanguazai/ssd/ssd1/www/wwww.yeyulingfeng.com/vendor/topthink/think-orm/src/Model.php ( 23.55 KB )
  66. /yingpanguazai/ssd/ssd1/www/wwww.yeyulingfeng.com/vendor/topthink/think-orm/src/model/concern/Attribute.php ( 21.05 KB )
  67. /yingpanguazai/ssd/ssd1/www/wwww.yeyulingfeng.com/vendor/topthink/think-orm/src/model/concern/AutoWriteData.php ( 4.21 KB )
  68. /yingpanguazai/ssd/ssd1/www/wwww.yeyulingfeng.com/vendor/topthink/think-orm/src/model/concern/Conversion.php ( 6.44 KB )
  69. /yingpanguazai/ssd/ssd1/www/wwww.yeyulingfeng.com/vendor/topthink/think-orm/src/model/concern/DbConnect.php ( 5.16 KB )
  70. /yingpanguazai/ssd/ssd1/www/wwww.yeyulingfeng.com/vendor/topthink/think-orm/src/model/concern/ModelEvent.php ( 2.33 KB )
  71. /yingpanguazai/ssd/ssd1/www/wwww.yeyulingfeng.com/vendor/topthink/think-orm/src/model/concern/RelationShip.php ( 28.29 KB )
  72. /yingpanguazai/ssd/ssd1/www/wwww.yeyulingfeng.com/vendor/topthink/think-helper/src/contract/Arrayable.php ( 0.09 KB )
  73. /yingpanguazai/ssd/ssd1/www/wwww.yeyulingfeng.com/vendor/topthink/think-helper/src/contract/Jsonable.php ( 0.13 KB )
  74. /yingpanguazai/ssd/ssd1/www/wwww.yeyulingfeng.com/vendor/topthink/think-orm/src/model/contract/Modelable.php ( 0.09 KB )
  75. /yingpanguazai/ssd/ssd1/www/wwww.yeyulingfeng.com/vendor/topthink/framework/src/think/Db.php ( 2.88 KB )
  76. /yingpanguazai/ssd/ssd1/www/wwww.yeyulingfeng.com/vendor/topthink/think-orm/src/DbManager.php ( 8.52 KB )
  77. /yingpanguazai/ssd/ssd1/www/wwww.yeyulingfeng.com/vendor/topthink/framework/src/think/Log.php ( 6.28 KB )
  78. /yingpanguazai/ssd/ssd1/www/wwww.yeyulingfeng.com/vendor/topthink/framework/src/think/Manager.php ( 3.92 KB )
  79. /yingpanguazai/ssd/ssd1/www/wwww.yeyulingfeng.com/vendor/psr/log/src/LoggerTrait.php ( 2.69 KB )
  80. /yingpanguazai/ssd/ssd1/www/wwww.yeyulingfeng.com/vendor/psr/log/src/LoggerInterface.php ( 2.71 KB )
  81. /yingpanguazai/ssd/ssd1/www/wwww.yeyulingfeng.com/vendor/topthink/framework/src/think/Cache.php ( 4.92 KB )
  82. /yingpanguazai/ssd/ssd1/www/wwww.yeyulingfeng.com/vendor/psr/simple-cache/src/CacheInterface.php ( 4.71 KB )
  83. /yingpanguazai/ssd/ssd1/www/wwww.yeyulingfeng.com/vendor/topthink/think-helper/src/helper/Arr.php ( 16.63 KB )
  84. /yingpanguazai/ssd/ssd1/www/wwww.yeyulingfeng.com/vendor/topthink/framework/src/think/cache/driver/File.php ( 7.84 KB )
  85. /yingpanguazai/ssd/ssd1/www/wwww.yeyulingfeng.com/vendor/topthink/framework/src/think/cache/Driver.php ( 9.03 KB )
  86. /yingpanguazai/ssd/ssd1/www/wwww.yeyulingfeng.com/vendor/topthink/framework/src/think/contract/CacheHandlerInterface.php ( 1.99 KB )
  87. /yingpanguazai/ssd/ssd1/www/wwww.yeyulingfeng.com/app/Request.php ( 0.09 KB )
  88. /yingpanguazai/ssd/ssd1/www/wwww.yeyulingfeng.com/vendor/topthink/framework/src/think/Request.php ( 55.78 KB )
  89. /yingpanguazai/ssd/ssd1/www/wwww.yeyulingfeng.com/app/middleware.php ( 0.25 KB )
  90. /yingpanguazai/ssd/ssd1/www/wwww.yeyulingfeng.com/vendor/topthink/framework/src/think/Pipeline.php ( 2.61 KB )
  91. /yingpanguazai/ssd/ssd1/www/wwww.yeyulingfeng.com/vendor/topthink/think-trace/src/TraceDebug.php ( 3.40 KB )
  92. /yingpanguazai/ssd/ssd1/www/wwww.yeyulingfeng.com/vendor/topthink/framework/src/think/middleware/SessionInit.php ( 1.94 KB )
  93. /yingpanguazai/ssd/ssd1/www/wwww.yeyulingfeng.com/vendor/topthink/framework/src/think/Session.php ( 1.80 KB )
  94. /yingpanguazai/ssd/ssd1/www/wwww.yeyulingfeng.com/vendor/topthink/framework/src/think/session/driver/File.php ( 6.27 KB )
  95. /yingpanguazai/ssd/ssd1/www/wwww.yeyulingfeng.com/vendor/topthink/framework/src/think/contract/SessionHandlerInterface.php ( 0.87 KB )
  96. /yingpanguazai/ssd/ssd1/www/wwww.yeyulingfeng.com/vendor/topthink/framework/src/think/session/Store.php ( 7.12 KB )
  97. /yingpanguazai/ssd/ssd1/www/wwww.yeyulingfeng.com/vendor/topthink/framework/src/think/Route.php ( 23.73 KB )
  98. /yingpanguazai/ssd/ssd1/www/wwww.yeyulingfeng.com/vendor/topthink/framework/src/think/route/RuleName.php ( 5.75 KB )
  99. /yingpanguazai/ssd/ssd1/www/wwww.yeyulingfeng.com/vendor/topthink/framework/src/think/route/Domain.php ( 2.53 KB )
  100. /yingpanguazai/ssd/ssd1/www/wwww.yeyulingfeng.com/vendor/topthink/framework/src/think/route/RuleGroup.php ( 22.43 KB )
  101. /yingpanguazai/ssd/ssd1/www/wwww.yeyulingfeng.com/vendor/topthink/framework/src/think/route/Rule.php ( 26.95 KB )
  102. /yingpanguazai/ssd/ssd1/www/wwww.yeyulingfeng.com/vendor/topthink/framework/src/think/route/RuleItem.php ( 9.78 KB )
  103. /yingpanguazai/ssd/ssd1/www/wwww.yeyulingfeng.com/route/app.php ( 3.82 KB )
  104. /yingpanguazai/ssd/ssd1/www/wwww.yeyulingfeng.com/vendor/topthink/framework/src/think/facade/Route.php ( 4.70 KB )
  105. /yingpanguazai/ssd/ssd1/www/wwww.yeyulingfeng.com/vendor/topthink/framework/src/think/route/dispatch/Controller.php ( 4.74 KB )
  106. /yingpanguazai/ssd/ssd1/www/wwww.yeyulingfeng.com/vendor/topthink/framework/src/think/route/Dispatch.php ( 10.44 KB )
  107. /yingpanguazai/ssd/ssd1/www/wwww.yeyulingfeng.com/app/controller/Index.php ( 9.69 KB )
  108. /yingpanguazai/ssd/ssd1/www/wwww.yeyulingfeng.com/app/BaseController.php ( 2.05 KB )
  109. /yingpanguazai/ssd/ssd1/www/wwww.yeyulingfeng.com/vendor/topthink/think-orm/src/facade/Db.php ( 0.93 KB )
  110. /yingpanguazai/ssd/ssd1/www/wwww.yeyulingfeng.com/vendor/topthink/think-orm/src/db/connector/Mysql.php ( 5.44 KB )
  111. /yingpanguazai/ssd/ssd1/www/wwww.yeyulingfeng.com/vendor/topthink/think-orm/src/db/PDOConnection.php ( 52.47 KB )
  112. /yingpanguazai/ssd/ssd1/www/wwww.yeyulingfeng.com/vendor/topthink/think-orm/src/db/Connection.php ( 8.39 KB )
  113. /yingpanguazai/ssd/ssd1/www/wwww.yeyulingfeng.com/vendor/topthink/think-orm/src/db/ConnectionInterface.php ( 4.57 KB )
  114. /yingpanguazai/ssd/ssd1/www/wwww.yeyulingfeng.com/vendor/topthink/think-orm/src/db/builder/Mysql.php ( 16.58 KB )
  115. /yingpanguazai/ssd/ssd1/www/wwww.yeyulingfeng.com/vendor/topthink/think-orm/src/db/Builder.php ( 24.06 KB )
  116. /yingpanguazai/ssd/ssd1/www/wwww.yeyulingfeng.com/vendor/topthink/think-orm/src/db/BaseBuilder.php ( 27.50 KB )
  117. /yingpanguazai/ssd/ssd1/www/wwww.yeyulingfeng.com/vendor/topthink/think-orm/src/db/Query.php ( 15.71 KB )
  118. /yingpanguazai/ssd/ssd1/www/wwww.yeyulingfeng.com/vendor/topthink/think-orm/src/db/BaseQuery.php ( 45.13 KB )
  119. /yingpanguazai/ssd/ssd1/www/wwww.yeyulingfeng.com/vendor/topthink/think-orm/src/db/concern/TimeFieldQuery.php ( 7.43 KB )
  120. /yingpanguazai/ssd/ssd1/www/wwww.yeyulingfeng.com/vendor/topthink/think-orm/src/db/concern/AggregateQuery.php ( 3.26 KB )
  121. /yingpanguazai/ssd/ssd1/www/wwww.yeyulingfeng.com/vendor/topthink/think-orm/src/db/concern/ModelRelationQuery.php ( 20.07 KB )
  122. /yingpanguazai/ssd/ssd1/www/wwww.yeyulingfeng.com/vendor/topthink/think-orm/src/db/concern/ParamsBind.php ( 3.66 KB )
  123. /yingpanguazai/ssd/ssd1/www/wwww.yeyulingfeng.com/vendor/topthink/think-orm/src/db/concern/ResultOperation.php ( 7.01 KB )
  124. /yingpanguazai/ssd/ssd1/www/wwww.yeyulingfeng.com/vendor/topthink/think-orm/src/db/concern/WhereQuery.php ( 19.37 KB )
  125. /yingpanguazai/ssd/ssd1/www/wwww.yeyulingfeng.com/vendor/topthink/think-orm/src/db/concern/JoinAndViewQuery.php ( 7.11 KB )
  126. /yingpanguazai/ssd/ssd1/www/wwww.yeyulingfeng.com/vendor/topthink/think-orm/src/db/concern/TableFieldInfo.php ( 2.63 KB )
  127. /yingpanguazai/ssd/ssd1/www/wwww.yeyulingfeng.com/vendor/topthink/think-orm/src/db/concern/Transaction.php ( 2.77 KB )
  128. /yingpanguazai/ssd/ssd1/www/wwww.yeyulingfeng.com/vendor/topthink/framework/src/think/log/driver/File.php ( 5.96 KB )
  129. /yingpanguazai/ssd/ssd1/www/wwww.yeyulingfeng.com/vendor/topthink/framework/src/think/contract/LogHandlerInterface.php ( 0.86 KB )
  130. /yingpanguazai/ssd/ssd1/www/wwww.yeyulingfeng.com/vendor/topthink/framework/src/think/log/Channel.php ( 3.89 KB )
  131. /yingpanguazai/ssd/ssd1/www/wwww.yeyulingfeng.com/vendor/topthink/framework/src/think/event/LogRecord.php ( 1.02 KB )
  132. /yingpanguazai/ssd/ssd1/www/wwww.yeyulingfeng.com/vendor/topthink/think-helper/src/Collection.php ( 16.47 KB )
  133. /yingpanguazai/ssd/ssd1/www/wwww.yeyulingfeng.com/vendor/topthink/framework/src/think/facade/View.php ( 1.70 KB )
  134. /yingpanguazai/ssd/ssd1/www/wwww.yeyulingfeng.com/vendor/topthink/framework/src/think/View.php ( 4.39 KB )
  135. /yingpanguazai/ssd/ssd1/www/wwww.yeyulingfeng.com/vendor/topthink/framework/src/think/Response.php ( 8.81 KB )
  136. /yingpanguazai/ssd/ssd1/www/wwww.yeyulingfeng.com/vendor/topthink/framework/src/think/response/View.php ( 3.29 KB )
  137. /yingpanguazai/ssd/ssd1/www/wwww.yeyulingfeng.com/vendor/topthink/framework/src/think/Cookie.php ( 6.06 KB )
  138. /yingpanguazai/ssd/ssd1/www/wwww.yeyulingfeng.com/vendor/topthink/think-view/src/Think.php ( 8.38 KB )
  139. /yingpanguazai/ssd/ssd1/www/wwww.yeyulingfeng.com/vendor/topthink/framework/src/think/contract/TemplateHandlerInterface.php ( 1.60 KB )
  140. /yingpanguazai/ssd/ssd1/www/wwww.yeyulingfeng.com/vendor/topthink/think-template/src/Template.php ( 46.61 KB )
  141. /yingpanguazai/ssd/ssd1/www/wwww.yeyulingfeng.com/vendor/topthink/think-template/src/template/driver/File.php ( 2.41 KB )
  142. /yingpanguazai/ssd/ssd1/www/wwww.yeyulingfeng.com/vendor/topthink/think-template/src/template/contract/DriverInterface.php ( 0.86 KB )
  143. /yingpanguazai/ssd/ssd1/www/wwww.yeyulingfeng.com/runtime/temp/10a0c909b6afa23b5a52a2e2d58c3c0f.php ( 21.72 KB )
  144. /yingpanguazai/ssd/ssd1/www/wwww.yeyulingfeng.com/vendor/topthink/think-trace/src/Html.php ( 4.42 KB )
  1. CONNECT:[ UseTime:0.000979s ] mysql:host=127.0.0.1;port=3306;dbname=wenku;charset=utf8mb4
  2. SHOW FULL COLUMNS FROM `fenlei` [ RunTime:0.001558s ]
  3. SELECT * FROM `fenlei` WHERE `fid` = 0 [ RunTime:0.000715s ]
  4. SELECT * FROM `fenlei` WHERE `fid` = 63 [ RunTime:0.000667s ]
  5. SHOW FULL COLUMNS FROM `set` [ RunTime:0.001337s ]
  6. SELECT * FROM `set` [ RunTime:0.000522s ]
  7. SHOW FULL COLUMNS FROM `wendang` [ RunTime:0.001501s ]
  8. SELECT * FROM `wendang` WHERE `id` = 371470 LIMIT 1 [ RunTime:0.001334s ]
  9. UPDATE `wendang` SET `liulancishu` = 1 WHERE `id` = 371470 [ RunTime:0.021215s ]
  10. UPDATE `wendang` SET `lasttime` = 1773099559 WHERE `id` = 371470 [ RunTime:0.001151s ]
  11. SELECT * FROM `wendang` WHERE `id` < 371470 ORDER BY `id` DESC LIMIT 1 [ RunTime:0.006104s ]
  12. SELECT * FROM `wendang` WHERE `id` > 371470 ORDER BY `id` ASC LIMIT 1 [ RunTime:0.006266s ]
  13. SELECT * FROM `wendang` WHERE `id` <> 371470 ORDER BY `id` DESC LIMIT 10 [ RunTime:0.015612s ]
  14. SELECT * FROM `wendang` WHERE `id` <> 371470 ORDER BY `id` DESC LIMIT 10,10 [ RunTime:0.009555s ]
  15. SELECT * FROM `wendang` WHERE `id` <> 371470 ORDER BY `id` DESC LIMIT 20,10 [ RunTime:0.012873s ]
0.235855s