当前位置:首页>文档>集合与常用逻辑用语——2025届高考数学二轮复习易错重难提升新高考版(含解析)_2025年新高考资料_二轮复习_新高考版2025届高考数学二轮复习易错重难提升训练(含解析)

集合与常用逻辑用语——2025届高考数学二轮复习易错重难提升新高考版(含解析)_2025年新高考资料_二轮复习_新高考版2025届高考数学二轮复习易错重难提升训练(含解析)

  • 2026-04-21 11:44:32 2026-04-21 11:44:32

文档预览

集合与常用逻辑用语——2025届高考数学二轮复习易错重难提升新高考版(含解析)_2025年新高考资料_二轮复习_新高考版2025届高考数学二轮复习易错重难提升训练(含解析)
集合与常用逻辑用语——2025届高考数学二轮复习易错重难提升新高考版(含解析)_2025年新高考资料_二轮复习_新高考版2025届高考数学二轮复习易错重难提升训练(含解析)
集合与常用逻辑用语——2025届高考数学二轮复习易错重难提升新高考版(含解析)_2025年新高考资料_二轮复习_新高考版2025届高考数学二轮复习易错重难提升训练(含解析)
集合与常用逻辑用语——2025届高考数学二轮复习易错重难提升新高考版(含解析)_2025年新高考资料_二轮复习_新高考版2025届高考数学二轮复习易错重难提升训练(含解析)
集合与常用逻辑用语——2025届高考数学二轮复习易错重难提升新高考版(含解析)_2025年新高考资料_二轮复习_新高考版2025届高考数学二轮复习易错重难提升训练(含解析)
集合与常用逻辑用语——2025届高考数学二轮复习易错重难提升新高考版(含解析)_2025年新高考资料_二轮复习_新高考版2025届高考数学二轮复习易错重难提升训练(含解析)
集合与常用逻辑用语——2025届高考数学二轮复习易错重难提升新高考版(含解析)_2025年新高考资料_二轮复习_新高考版2025届高考数学二轮复习易错重难提升训练(含解析)
集合与常用逻辑用语——2025届高考数学二轮复习易错重难提升新高考版(含解析)_2025年新高考资料_二轮复习_新高考版2025届高考数学二轮复习易错重难提升训练(含解析)
集合与常用逻辑用语——2025届高考数学二轮复习易错重难提升新高考版(含解析)_2025年新高考资料_二轮复习_新高考版2025届高考数学二轮复习易错重难提升训练(含解析)
集合与常用逻辑用语——2025届高考数学二轮复习易错重难提升新高考版(含解析)_2025年新高考资料_二轮复习_新高考版2025届高考数学二轮复习易错重难提升训练(含解析)
集合与常用逻辑用语——2025届高考数学二轮复习易错重难提升新高考版(含解析)_2025年新高考资料_二轮复习_新高考版2025届高考数学二轮复习易错重难提升训练(含解析)
集合与常用逻辑用语——2025届高考数学二轮复习易错重难提升新高考版(含解析)_2025年新高考资料_二轮复习_新高考版2025届高考数学二轮复习易错重难提升训练(含解析)

文档信息

文档格式
docx
文档大小
0.351 MB
文档页数
8 页
上传时间
2026-04-21 11:44:32

文档内容

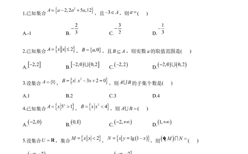
(1)集合与常用逻辑用语 ——2025 届高考数学二轮复习易错重难提升【新高考版】 易混重难知识 1.集合的运算性质及重要结论 (1)集合元素的特性:确定性、互异性、无序性. (2)集合与集合之间的关系: , . (3)空集是任何集合的子集. (4)含有n个元素的集合的子集有 个,真子集有 个,非空真子集有 个. (5)a. , , ; b. , , ; c. , ; d. , . 2.集合运算中的常用方法 (1)数轴法:若已知的集合是不等式的解集,用数轴法求解. (2)图象法:若已知的集合是点集,用图象法求解. (3)Venn图法:若已知的集合是抽象集合,用Venn图法求解. 3.全(特)称命题及其否定 (1)全称命题p: .它的否定 : ; (2)特称命题p: .它的否定 : ; 4.充分与必要条件的判断 若p、q中所涉及的问题与变量有关,p、q中相应变量的取值集合分别记为A,B, 那么有以下结论: p与q的关系 集合关系 结论p是q的充分不必要条件 p是q的必要不充分条件 p是q的充要条件 p是q的既不充分也不必要条件 易错试题提升 1.已知集合 ,且 ,则 ( ) A.-1 B. C. D.   A x x 2 Ba,0 2.已知集合 , ,且B A,则实数a的取值范围是( ) 2,2 2,0 0,2 2,2 A. B.  C. D. 3.设集合 , ,则 的子集个数是( ) A.1 B.2 C.3 D.4 4.已知集合 , ,则 ( ) A. B. C. D. 5.设集合 ,集合 , ,则 ( ) A. B. C. D. 6.“ ,使得 ”的否定是( ) A. ,使得B. ,使得 C. , D. , 7.下列选项中是“ , ”成立的一个必要不充分条件的是( ) A. B. C. D. 8.已知集合 , ,则 ( ) A. B. C. D. 9.(多选)已知集合 , ,则B是A的真子集的充分不必 要条件可以是( ) A. B. C. D. 10.(多选)已知集合M,N的关系如图所示,则下列结论正确的是( ) A. B. C. D. 11.已知全集 ,集合 , 或 ,则 __________.12.已知集合 , .若 ,则实数m的取值范 围是_________. 13.若命题“ , ”为假命题,则实数a的取值范围是___________. 14.已知 , ,若 是 的必要而不充分条件,则实数m的取 值范围是___________. 15.已知集合 , ,且 ,若 是 的必要 不充分条件,则m的取值范围为_____________.答案以及解析 1.答案:C 解析:因为 ,所以 或 ,得 或 .当 时, ,与互异性矛盾,舍去;当 时,集合 ,满足条件. 故选C. 2.答案:B 解析:集合 , , 2,0 0,2 由于 ,则实数a的取值范围是  故选:B. 3.答案:D 解析:令 ,解得 或 , 故 , 则 的子集个数是 个. 故选:D 4.答案:C 解析: , , . 故选:C. 5.答案:B 解析:集合 , 或又 故选:B. 6.答案:C 解析:“ ,使得 ”的否定是“ , ”.故选C. 7.答案:A 解析: , ,即 , , 即 ,则“ ”的必要不充分条件为“ ”. 8.答案:B 解析:由 ,得 ,或 ,所以 或 . 所以 ,由 ,得 , 所以 . 故选:B. 9.答案:AD 解析:因为集合 , 若集合B是集合A的真子集, 当 时,即集合 ,显然成立; 当 时,则 或 ,所以 或 , 所以若集合B是集合A的真子集,则 ; 1 m0,  所以B是A的真子集的充分不必要条件可以是 或  3 .故选:AD. 10.答案:BD M {x∣x0} � M {x∣x0} 解析:由题图得 .设 , ,则 R , ,所以 ,故A错误; ,故C错误;由 知, ,故B正确;因为 ,所以 ,故D正确.故选BD. 11.答案: 解析: 或 , ,所以 . 12.答案: 解析:因为 ,所以 .当 时, ,即 ,符合题意;当 时, 解得 .综上,实数m的取值范围为 . 13.答案: 解析: .因为“ , ”为假命题,所以 , 即 . 14.答案: 解析:由题知 或 , 或 .若 是 的必要而不充分条件,则 或 解得 . 15.答案: 解析:因为 ,所以 ,即 , 因为若 是 的必要不充分条件,所以B是A的真子集, 所以 ,求得: , 结合 ,可得:m的取值范围为 .