当前位置:首页>文档>函数与导数——2025届高考数学二轮复习易错重难提升新高考版(含解析)_2025年新高考资料_二轮复习_新高考版2025届高考数学二轮复习易错重难提升训练(含解析)

函数与导数——2025届高考数学二轮复习易错重难提升新高考版(含解析)_2025年新高考资料_二轮复习_新高考版2025届高考数学二轮复习易错重难提升训练(含解析)

  • 2026-04-15 01:33:52 2026-04-15 01:18:30

文档预览

函数与导数——2025届高考数学二轮复习易错重难提升新高考版(含解析)_2025年新高考资料_二轮复习_新高考版2025届高考数学二轮复习易错重难提升训练(含解析)
函数与导数——2025届高考数学二轮复习易错重难提升新高考版(含解析)_2025年新高考资料_二轮复习_新高考版2025届高考数学二轮复习易错重难提升训练(含解析)
函数与导数——2025届高考数学二轮复习易错重难提升新高考版(含解析)_2025年新高考资料_二轮复习_新高考版2025届高考数学二轮复习易错重难提升训练(含解析)
函数与导数——2025届高考数学二轮复习易错重难提升新高考版(含解析)_2025年新高考资料_二轮复习_新高考版2025届高考数学二轮复习易错重难提升训练(含解析)
函数与导数——2025届高考数学二轮复习易错重难提升新高考版(含解析)_2025年新高考资料_二轮复习_新高考版2025届高考数学二轮复习易错重难提升训练(含解析)
函数与导数——2025届高考数学二轮复习易错重难提升新高考版(含解析)_2025年新高考资料_二轮复习_新高考版2025届高考数学二轮复习易错重难提升训练(含解析)
函数与导数——2025届高考数学二轮复习易错重难提升新高考版(含解析)_2025年新高考资料_二轮复习_新高考版2025届高考数学二轮复习易错重难提升训练(含解析)
函数与导数——2025届高考数学二轮复习易错重难提升新高考版(含解析)_2025年新高考资料_二轮复习_新高考版2025届高考数学二轮复习易错重难提升训练(含解析)
函数与导数——2025届高考数学二轮复习易错重难提升新高考版(含解析)_2025年新高考资料_二轮复习_新高考版2025届高考数学二轮复习易错重难提升训练(含解析)
函数与导数——2025届高考数学二轮复习易错重难提升新高考版(含解析)_2025年新高考资料_二轮复习_新高考版2025届高考数学二轮复习易错重难提升训练(含解析)
函数与导数——2025届高考数学二轮复习易错重难提升新高考版(含解析)_2025年新高考资料_二轮复习_新高考版2025届高考数学二轮复习易错重难提升训练(含解析)
函数与导数——2025届高考数学二轮复习易错重难提升新高考版(含解析)_2025年新高考资料_二轮复习_新高考版2025届高考数学二轮复习易错重难提升训练(含解析)
函数与导数——2025届高考数学二轮复习易错重难提升新高考版(含解析)_2025年新高考资料_二轮复习_新高考版2025届高考数学二轮复习易错重难提升训练(含解析)
函数与导数——2025届高考数学二轮复习易错重难提升新高考版(含解析)_2025年新高考资料_二轮复习_新高考版2025届高考数学二轮复习易错重难提升训练(含解析)
函数与导数——2025届高考数学二轮复习易错重难提升新高考版(含解析)_2025年新高考资料_二轮复习_新高考版2025届高考数学二轮复习易错重难提升训练(含解析)
函数与导数——2025届高考数学二轮复习易错重难提升新高考版(含解析)_2025年新高考资料_二轮复习_新高考版2025届高考数学二轮复习易错重难提升训练(含解析)
函数与导数——2025届高考数学二轮复习易错重难提升新高考版(含解析)_2025年新高考资料_二轮复习_新高考版2025届高考数学二轮复习易错重难提升训练(含解析)
函数与导数——2025届高考数学二轮复习易错重难提升新高考版(含解析)_2025年新高考资料_二轮复习_新高考版2025届高考数学二轮复习易错重难提升训练(含解析)
函数与导数——2025届高考数学二轮复习易错重难提升新高考版(含解析)_2025年新高考资料_二轮复习_新高考版2025届高考数学二轮复习易错重难提升训练(含解析)
函数与导数——2025届高考数学二轮复习易错重难提升新高考版(含解析)_2025年新高考资料_二轮复习_新高考版2025届高考数学二轮复习易错重难提升训练(含解析)
函数与导数——2025届高考数学二轮复习易错重难提升新高考版(含解析)_2025年新高考资料_二轮复习_新高考版2025届高考数学二轮复习易错重难提升训练(含解析)
函数与导数——2025届高考数学二轮复习易错重难提升新高考版(含解析)_2025年新高考资料_二轮复习_新高考版2025届高考数学二轮复习易错重难提升训练(含解析)

文档信息

文档格式
docx
文档大小
1.108 MB
文档页数
18 页
上传时间
2026-04-15 01:18:30

文档内容

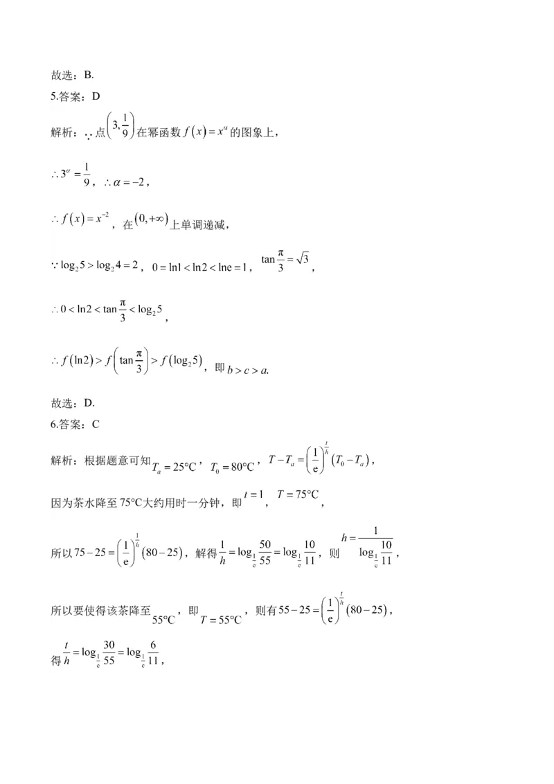
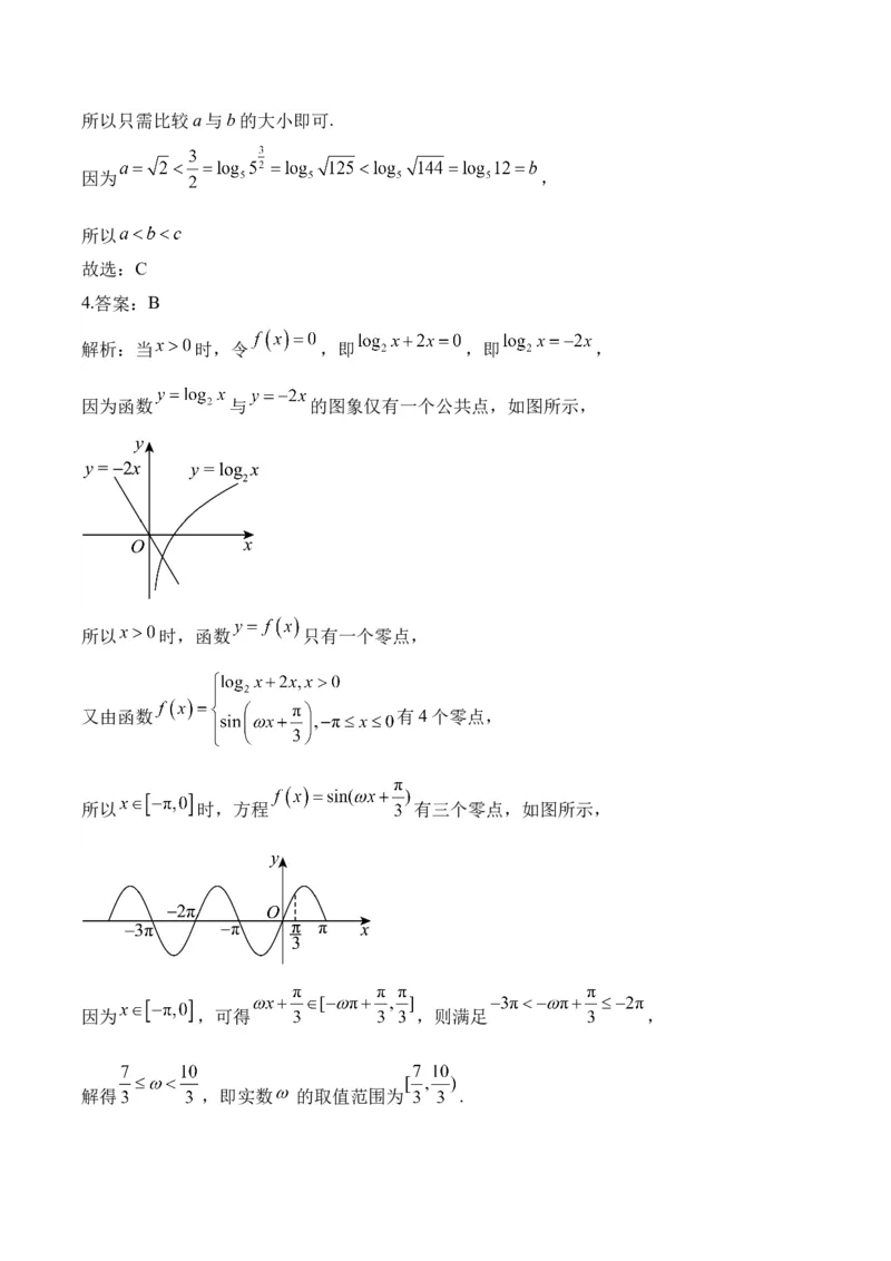
(2)函数与导数 ——2025 届高考数学二轮复习易错重难提升【新高考版】 易混重难知识 1.函数的奇偶性 (1)奇函数的图象关于原点对称,偶函数的图象关于y轴对称. (2)确定函数的奇偶性,务必先判断函数的定义域是否关于原点对称. (3)对于偶函数而言,有 . 2.幂函数的性质 幂函数 定义域 R R R 值域 R R 在 上 在 上 单调递增, 单调递增, 单调性 增 增 增 在 上 在 上 单调递减 单调递减 奇偶性 奇 偶 奇 非奇非偶 奇 公共点 都经过点 3.指数函数的图象和性质 图象 定义域 R 值域 性 质 过定点 ,即 时, 单调性 减函数 增函数 奇偶性 非奇非偶4.对数函数的图象和性质 图象 定义域 值域 R 单调性 减函数 增函数 过定点 过定点 ,即 时, 5.函数零点存在定理:如果函数 在区间 上的图象是一条连续不断的曲线,且有 ,那么,函数 在区间 内至少有一个零点,即存在 ,使得 ,这个 也就是方程 的解. 6.用导数求函数的单调区间的方法: (1)当不等式 或 可解时,确定函数的定义域,解不等式 或 求出单调区间. (2)当方程 可解时,确定函数的定义域,解方程 ,求出实数根,把函数 的间断点(即 的无定义点)的横坐标和实根按从小到大的顺序排列起来,把定义域 分成若干个小区间,确定 在各个区间内的符号,从而确定单调区间.(3)不等式 或 及方程 均不可解时求导数并化简,根据 的结 构特征,选择相应基本初等函数,利用其图象与性质确定 的符号,得单调区间. 7.已知函数单调性,求参数范围的方法: (1)利用集合间的包含关系处理: 在 上单调,则区间 是相应单调区间的 子集. (2)转化为不等式的恒成立问题来求解:即“若函数单调递增,则 ;若函数单调递 减,则 ”. (3)可导函数在区间 上存在单调区间,实际上就是 (或 )在该区间 上存在解集,从而转化为不等式问题,求出参数的取值范围. 8.已知函数求极值:求 求方程 的根,列表检验 在 的根的附近 两侧的符号,下结论. 9.求函数 在 上的最大值和最小值的步骤: (1)若所给的闭区间 不含参数, ①求函数在 内的极值; ②求函数在区间端点的函数值 , ; ③将函数 的极值与 , 比较,其中最大的一个为最大值,最小的一个为最小值. (2)若所给的闭区间 含有参数,则需对函数 求导,通过对参数分类讨论,判断函 数的单调性,从而得到函数 的最值.易错试题提升 1.定义在R上的函数 为奇函数,且 为偶函数,当 时, ,则 ( ) A.-1 B.0 C.1 D.2 2.函数 的图象大致为( ) A. B. C. D. 3.若 , , ,则( ) A. B. C. D. 4.若函数 有4个零点,则正数 的取值范围是( ) A. B. C. D. 5.已知点 在幂函数 的图象上,设 , , , 则a,b,c的大小关系为( ) A. B. C. D.6.牛顿冷却定律描述一个物体在常温环境下的温度变化:如果物体初始温度为 ,则经过一 定时间t(单位:分钟)后的温度 满足 ,其中 是环境温度,h为常数, 现有一杯80℃的热水用来泡茶,研究表明,此茶的最佳饮用口感会出现在55℃.经测量室温 为25℃,茶水降至75℃大约用时一分钟,那么为了获得最佳饮用口感,从泡茶开始大约需要 等待(参考数据: , , , .)( ) A.4分钟 B.5分钟 C.6分钟 D.7分钟 7.若存在正实数x,使得不等式 成立(e是自然对数的底数),则实数a 的最大值为( ) A. B. C. D. 8.设函数 的导函数为 ,若 在其定义域内存在 ,使得 ,则称 为“有源”函数.已知 是“有源”函数,则a的取值范围是( ) A. B. C. D. 9.(多选)奇函数 与偶函数 的定义域均为R,且满足 ,则下列判 断正确的是( ) A. B. C. 在R上单调递增 D. 的值域为 f(x)(x1)ex 10.(多选)给定函数 .下列说法正确的是( )f(x) (,2) A.函数 在区间 上单调递减,在区间 上单调递增 B.函数 的图象与x轴有两个交点 C.当 时,方程 有两个不同的根 D.若方程 只有一个根,则a0 11.已知函数 则 的值为__________. 12.由于我国与以美国为首的西方国家在科技领域内的竞争日益激烈,美国加大了对我国一些 高科技公司的打压,为突破西方的技术封锁和打压,我国的一些科技企业积极实施了独立自 主、自力更生的策略,在一些领域取得了骄人的成绩.我国某科技公司为突破“芯片卡脖子” 问题,实现芯片制造的国产化,加大了对相关产业的研发投入.若该公司2020年全年投入芯 片制造方面的研发资金为120亿元,在此基础上,计划以后每年投入的研发资金比上一年增 长9%,则该公司全年投入芯片制造方面的研发资金开始超过200亿元的年份是_______年.参 考数据: . 13.对任意 ,函数 恒成立,求a的取值范围 ______________. 14.已知函数 . f(x)0 (1)若 ,求a的取值范围; x x x 1 (2)证明:若 有两个零点 1, ,则 1 2 . 15.已知函数 ,其中实数 . (1)当 时,求函数 的单调性;(2)若函数 有唯一零点,求实数a的值.答案以及解析 1.答案:A 解析:因为 为奇函数,所以 , 因为 为偶函数,所以 ,即 , 从而 ,得 , 所以 以4为周期的周期函数, , , 所以 . 故选:A. 2.答案:B 解析: ,则 的定义域为R, 又 , 所以 为奇函数,图象关于原点对称,故排除CD, 当 时, ,故排除A. 故选:B. 3.答案:C 解析:因为 , ,所以只需比较a与b的大小即可. 因为 , 所以 故选:C 4.答案:B 解析:当 时,令 ,即 ,即 , 因为函数 与 的图象仅有一个公共点,如图所示, 所以 时,函数 只有一个零点, 又由函数 有4个零点, 所以 时,方程 有三个零点,如图所示, 因为 ,可得 ,则满足 , 解得 ,即实数 的取值范围为 .故选:B. 5.答案:D 解析: 点 在幂函数 的图象上, , , ,在 上单调递减, , , , , ,即 故选:D. 6.答案:C 解析:根据题意可知 , , , 因为茶水降至75℃大约用时一分钟,即 , , 所以 ,解得 ,则 , 所以要使得该茶降至 ,即 ,则有 , 得 ,故 , 所以大约需要等待6分钟. 故选:C. 7.答案:C 解析:当 时, . 设 ,则 对 恒成立, 则 在 上单调递增,则 . 设 ,则 ,当 时, ,当 时, ,所以 在 上单调递增,在 上单调递减,则当 时, 取得最大值 ,故 ,因此实数a的最大值为 .故选C. 8.答案:A 解析: , , 由是“有源”函数定义知,存在 ,使得 ,即 有解,记 ,所以a的取值范围是就是函数 的值域, 则 , 当 时, ,此时 单调递增, 当 时, ,此时 单调递减, 所以 ,所以 , 即a的取值范围是 . 故选:A 9.答案:BCD 解析:因为 为奇函数, 为偶函数,所以 , 因为 ①,所以 ,即 ②, 所以由①②解得 , 故B正确; ,故A错误; 在R上单调递增, 在R上单调递减,则 在R上单调递增,故C正确; 因为 ,当且仅当 时取等号, 所以 的值域为 ,所以D正确. 故选:BCD. 10.答案:AC 解析: .当 时, , 单调递淢,当 时, ,单调递增,故A正确. , , 时, ,因 此 只在 上有一个点,即 的图象与x轴只有一个交点,故B不正确.上面讨论 知,当 时, 单调递减, ,当 时, 单调递增, 作出 的大致图象和直线 (如图),知当 时,方程 有两个不同的根,故C正确. 若方程 只有一个根,则 或 ,故D不正确. 11.答案:3 解析: , , 所以 . 12.答案:2026 解析:设还需要n年,该公司全年投入芯片制造方面的研发资金开始超过200亿元,根据题意可得 , 故 ,所以 ,解得 , 所以还需要6年,即2026年该公司全年投入芯片制造方面的研发资金开始超过200亿元, 故答案为:2026 13.答案: 解析:由题意得 , 因为 ,所以 , 即 , 令 ,则 恒成立, , 令 得, , 单调递增, 令 得, , 单调递减, 且当 时, 恒成立,当 时, 恒成立, 因为 , ,所以 恒成立,故 , 当 时, ,此时满足 恒成立, 当 ,即 时,由于 在 上单调递增, 由 得 ,令 , , 则 ,当 时, , 单调递增, 当 时, , 单调递减, 故 在 处取得极大值,也是最大值, , 故 , , a的取值范围是 . 故答案为: . 14.答案:(1) (2)证明见解析 解析:(1) ,令 ,则 . 当 时, , 在 上单调递减; 当 时, , 在 上单调递增. 所以 在 处取得最小值e,故 . 于是 等价于 在 上恒成立,即 在 上恒成立.又显然 是增函数,故 . 所以实数a的取值范围为 . (2)证明:由(1)可得 有两个零点 , 等价于 在 上有一个零点 ,即 , 此时, 有两个解 , ,不妨设 ,则 , 所以 两式相除,可得 , 故 ,即 , 故 . 令 ,故 . 因为 恒大于0,故只需考虑 的正负. 记 ,故 , 故 在 上单调递增. 又当 时, ,所以 ,故 ,故 .15.答案:(1)在 上单调递减,在 上单调递增 (2) 解析:(1) , , . 令 , , 在 上单调递增,即 在 上单调递增. , 令 ,则 , 令 ,则 , 在 上单调递减,在 上单调递增. (2) , ,令 , 则 , 在 上单调递增,即 在 上单调递增. 设 ,则 , 当 时, , 在 上单调递增, 当 时, , 在 上单调递减,, ,即 , , 又 , 存在唯一的 ,使得 ,即 ①. 当 时, , 在 上单调递减; 当 时, , 在 上单调递增, . 又 函数 有唯一的零点, ,即 ②. 由①②得 ,即 . 令 , 则 . , 函数 在 上单调递减,在 上单调递增,而 ,则 . 代入①得 .综上, .