当前位置:首页>文档>冲刺2024年高考——专题一数列多选题专练六十题(解析版)_02高考数学_2024年新高考资料_3.2024专项复习_满分冲刺2024年高考数学多选题分类必刷题(新高考专用)

冲刺2024年高考——专题一数列多选题专练六十题(解析版)_02高考数学_2024年新高考资料_3.2024专项复习_满分冲刺2024年高考数学多选题分类必刷题(新高考专用)

  • 2026-05-01 01:20:12 2026-04-15 01:30:09

文档预览

冲刺2024年高考——专题一数列多选题专练六十题(解析版)_02高考数学_2024年新高考资料_3.2024专项复习_满分冲刺2024年高考数学多选题分类必刷题(新高考专用)
冲刺2024年高考——专题一数列多选题专练六十题(解析版)_02高考数学_2024年新高考资料_3.2024专项复习_满分冲刺2024年高考数学多选题分类必刷题(新高考专用)
冲刺2024年高考——专题一数列多选题专练六十题(解析版)_02高考数学_2024年新高考资料_3.2024专项复习_满分冲刺2024年高考数学多选题分类必刷题(新高考专用)
冲刺2024年高考——专题一数列多选题专练六十题(解析版)_02高考数学_2024年新高考资料_3.2024专项复习_满分冲刺2024年高考数学多选题分类必刷题(新高考专用)
冲刺2024年高考——专题一数列多选题专练六十题(解析版)_02高考数学_2024年新高考资料_3.2024专项复习_满分冲刺2024年高考数学多选题分类必刷题(新高考专用)
冲刺2024年高考——专题一数列多选题专练六十题(解析版)_02高考数学_2024年新高考资料_3.2024专项复习_满分冲刺2024年高考数学多选题分类必刷题(新高考专用)
冲刺2024年高考——专题一数列多选题专练六十题(解析版)_02高考数学_2024年新高考资料_3.2024专项复习_满分冲刺2024年高考数学多选题分类必刷题(新高考专用)
冲刺2024年高考——专题一数列多选题专练六十题(解析版)_02高考数学_2024年新高考资料_3.2024专项复习_满分冲刺2024年高考数学多选题分类必刷题(新高考专用)
冲刺2024年高考——专题一数列多选题专练六十题(解析版)_02高考数学_2024年新高考资料_3.2024专项复习_满分冲刺2024年高考数学多选题分类必刷题(新高考专用)
冲刺2024年高考——专题一数列多选题专练六十题(解析版)_02高考数学_2024年新高考资料_3.2024专项复习_满分冲刺2024年高考数学多选题分类必刷题(新高考专用)
冲刺2024年高考——专题一数列多选题专练六十题(解析版)_02高考数学_2024年新高考资料_3.2024专项复习_满分冲刺2024年高考数学多选题分类必刷题(新高考专用)
冲刺2024年高考——专题一数列多选题专练六十题(解析版)_02高考数学_2024年新高考资料_3.2024专项复习_满分冲刺2024年高考数学多选题分类必刷题(新高考专用)
冲刺2024年高考——专题一数列多选题专练六十题(解析版)_02高考数学_2024年新高考资料_3.2024专项复习_满分冲刺2024年高考数学多选题分类必刷题(新高考专用)
冲刺2024年高考——专题一数列多选题专练六十题(解析版)_02高考数学_2024年新高考资料_3.2024专项复习_满分冲刺2024年高考数学多选题分类必刷题(新高考专用)
冲刺2024年高考——专题一数列多选题专练六十题(解析版)_02高考数学_2024年新高考资料_3.2024专项复习_满分冲刺2024年高考数学多选题分类必刷题(新高考专用)
冲刺2024年高考——专题一数列多选题专练六十题(解析版)_02高考数学_2024年新高考资料_3.2024专项复习_满分冲刺2024年高考数学多选题分类必刷题(新高考专用)
冲刺2024年高考——专题一数列多选题专练六十题(解析版)_02高考数学_2024年新高考资料_3.2024专项复习_满分冲刺2024年高考数学多选题分类必刷题(新高考专用)
冲刺2024年高考——专题一数列多选题专练六十题(解析版)_02高考数学_2024年新高考资料_3.2024专项复习_满分冲刺2024年高考数学多选题分类必刷题(新高考专用)
冲刺2024年高考——专题一数列多选题专练六十题(解析版)_02高考数学_2024年新高考资料_3.2024专项复习_满分冲刺2024年高考数学多选题分类必刷题(新高考专用)
冲刺2024年高考——专题一数列多选题专练六十题(解析版)_02高考数学_2024年新高考资料_3.2024专项复习_满分冲刺2024年高考数学多选题分类必刷题(新高考专用)
冲刺2024年高考——专题一数列多选题专练六十题(解析版)_02高考数学_2024年新高考资料_3.2024专项复习_满分冲刺2024年高考数学多选题分类必刷题(新高考专用)
冲刺2024年高考——专题一数列多选题专练六十题(解析版)_02高考数学_2024年新高考资料_3.2024专项复习_满分冲刺2024年高考数学多选题分类必刷题(新高考专用)
冲刺2024年高考——专题一数列多选题专练六十题(解析版)_02高考数学_2024年新高考资料_3.2024专项复习_满分冲刺2024年高考数学多选题分类必刷题(新高考专用)
冲刺2024年高考——专题一数列多选题专练六十题(解析版)_02高考数学_2024年新高考资料_3.2024专项复习_满分冲刺2024年高考数学多选题分类必刷题(新高考专用)
冲刺2024年高考——专题一数列多选题专练六十题(解析版)_02高考数学_2024年新高考资料_3.2024专项复习_满分冲刺2024年高考数学多选题分类必刷题(新高考专用)
冲刺2024年高考——专题一数列多选题专练六十题(解析版)_02高考数学_2024年新高考资料_3.2024专项复习_满分冲刺2024年高考数学多选题分类必刷题(新高考专用)
冲刺2024年高考——专题一数列多选题专练六十题(解析版)_02高考数学_2024年新高考资料_3.2024专项复习_满分冲刺2024年高考数学多选题分类必刷题(新高考专用)
冲刺2024年高考——专题一数列多选题专练六十题(解析版)_02高考数学_2024年新高考资料_3.2024专项复习_满分冲刺2024年高考数学多选题分类必刷题(新高考专用)
冲刺2024年高考——专题一数列多选题专练六十题(解析版)_02高考数学_2024年新高考资料_3.2024专项复习_满分冲刺2024年高考数学多选题分类必刷题(新高考专用)
冲刺2024年高考——专题一数列多选题专练六十题(解析版)_02高考数学_2024年新高考资料_3.2024专项复习_满分冲刺2024年高考数学多选题分类必刷题(新高考专用)
冲刺2024年高考——专题一数列多选题专练六十题(解析版)_02高考数学_2024年新高考资料_3.2024专项复习_满分冲刺2024年高考数学多选题分类必刷题(新高考专用)
冲刺2024年高考——专题一数列多选题专练六十题(解析版)_02高考数学_2024年新高考资料_3.2024专项复习_满分冲刺2024年高考数学多选题分类必刷题(新高考专用)
冲刺2024年高考——专题一数列多选题专练六十题(解析版)_02高考数学_2024年新高考资料_3.2024专项复习_满分冲刺2024年高考数学多选题分类必刷题(新高考专用)
冲刺2024年高考——专题一数列多选题专练六十题(解析版)_02高考数学_2024年新高考资料_3.2024专项复习_满分冲刺2024年高考数学多选题分类必刷题(新高考专用)
冲刺2024年高考——专题一数列多选题专练六十题(解析版)_02高考数学_2024年新高考资料_3.2024专项复习_满分冲刺2024年高考数学多选题分类必刷题(新高考专用)
冲刺2024年高考——专题一数列多选题专练六十题(解析版)_02高考数学_2024年新高考资料_3.2024专项复习_满分冲刺2024年高考数学多选题分类必刷题(新高考专用)
冲刺2024年高考——专题一数列多选题专练六十题(解析版)_02高考数学_2024年新高考资料_3.2024专项复习_满分冲刺2024年高考数学多选题分类必刷题(新高考专用)
冲刺2024年高考——专题一数列多选题专练六十题(解析版)_02高考数学_2024年新高考资料_3.2024专项复习_满分冲刺2024年高考数学多选题分类必刷题(新高考专用)
冲刺2024年高考——专题一数列多选题专练六十题(解析版)_02高考数学_2024年新高考资料_3.2024专项复习_满分冲刺2024年高考数学多选题分类必刷题(新高考专用)
冲刺2024年高考——专题一数列多选题专练六十题(解析版)_02高考数学_2024年新高考资料_3.2024专项复习_满分冲刺2024年高考数学多选题分类必刷题(新高考专用)
冲刺2024年高考——专题一数列多选题专练六十题(解析版)_02高考数学_2024年新高考资料_3.2024专项复习_满分冲刺2024年高考数学多选题分类必刷题(新高考专用)
冲刺2024年高考——专题一数列多选题专练六十题(解析版)_02高考数学_2024年新高考资料_3.2024专项复习_满分冲刺2024年高考数学多选题分类必刷题(新高考专用)
冲刺2024年高考——专题一数列多选题专练六十题(解析版)_02高考数学_2024年新高考资料_3.2024专项复习_满分冲刺2024年高考数学多选题分类必刷题(新高考专用)
冲刺2024年高考——专题一数列多选题专练六十题(解析版)_02高考数学_2024年新高考资料_3.2024专项复习_满分冲刺2024年高考数学多选题分类必刷题(新高考专用)
冲刺2024年高考——专题一数列多选题专练六十题(解析版)_02高考数学_2024年新高考资料_3.2024专项复习_满分冲刺2024年高考数学多选题分类必刷题(新高考专用)
冲刺2024年高考——专题一数列多选题专练六十题(解析版)_02高考数学_2024年新高考资料_3.2024专项复习_满分冲刺2024年高考数学多选题分类必刷题(新高考专用)
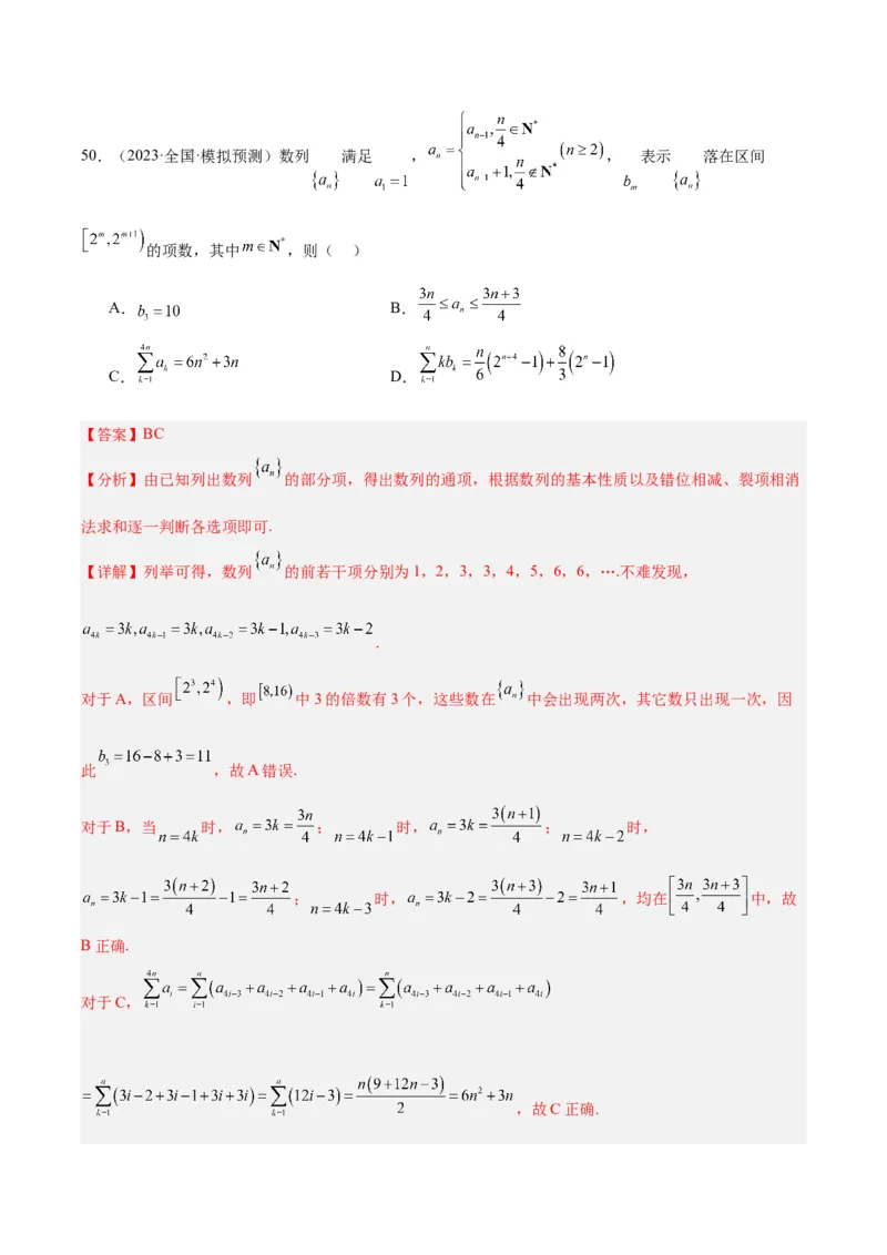
冲刺2024年高考——专题一数列多选题专练六十题(解析版)_02高考数学_2024年新高考资料_3.2024专项复习_满分冲刺2024年高考数学多选题分类必刷题(新高考专用)
冲刺2024年高考——专题一数列多选题专练六十题(解析版)_02高考数学_2024年新高考资料_3.2024专项复习_满分冲刺2024年高考数学多选题分类必刷题(新高考专用)
冲刺2024年高考——专题一数列多选题专练六十题(解析版)_02高考数学_2024年新高考资料_3.2024专项复习_满分冲刺2024年高考数学多选题分类必刷题(新高考专用)
冲刺2024年高考——专题一数列多选题专练六十题(解析版)_02高考数学_2024年新高考资料_3.2024专项复习_满分冲刺2024年高考数学多选题分类必刷题(新高考专用)
冲刺2024年高考——专题一数列多选题专练六十题(解析版)_02高考数学_2024年新高考资料_3.2024专项复习_满分冲刺2024年高考数学多选题分类必刷题(新高考专用)
冲刺2024年高考——专题一数列多选题专练六十题(解析版)_02高考数学_2024年新高考资料_3.2024专项复习_满分冲刺2024年高考数学多选题分类必刷题(新高考专用)
冲刺2024年高考——专题一数列多选题专练六十题(解析版)_02高考数学_2024年新高考资料_3.2024专项复习_满分冲刺2024年高考数学多选题分类必刷题(新高考专用)
冲刺2024年高考——专题一数列多选题专练六十题(解析版)_02高考数学_2024年新高考资料_3.2024专项复习_满分冲刺2024年高考数学多选题分类必刷题(新高考专用)
冲刺2024年高考——专题一数列多选题专练六十题(解析版)_02高考数学_2024年新高考资料_3.2024专项复习_满分冲刺2024年高考数学多选题分类必刷题(新高考专用)
冲刺2024年高考——专题一数列多选题专练六十题(解析版)_02高考数学_2024年新高考资料_3.2024专项复习_满分冲刺2024年高考数学多选题分类必刷题(新高考专用)
冲刺2024年高考——专题一数列多选题专练六十题(解析版)_02高考数学_2024年新高考资料_3.2024专项复习_满分冲刺2024年高考数学多选题分类必刷题(新高考专用)
冲刺2024年高考——专题一数列多选题专练六十题(解析版)_02高考数学_2024年新高考资料_3.2024专项复习_满分冲刺2024年高考数学多选题分类必刷题(新高考专用)
冲刺2024年高考——专题一数列多选题专练六十题(解析版)_02高考数学_2024年新高考资料_3.2024专项复习_满分冲刺2024年高考数学多选题分类必刷题(新高考专用)
冲刺2024年高考——专题一数列多选题专练六十题(解析版)_02高考数学_2024年新高考资料_3.2024专项复习_满分冲刺2024年高考数学多选题分类必刷题(新高考专用)
冲刺2024年高考——专题一数列多选题专练六十题(解析版)_02高考数学_2024年新高考资料_3.2024专项复习_满分冲刺2024年高考数学多选题分类必刷题(新高考专用)
冲刺2024年高考——专题一数列多选题专练六十题(解析版)_02高考数学_2024年新高考资料_3.2024专项复习_满分冲刺2024年高考数学多选题分类必刷题(新高考专用)
冲刺2024年高考——专题一数列多选题专练六十题(解析版)_02高考数学_2024年新高考资料_3.2024专项复习_满分冲刺2024年高考数学多选题分类必刷题(新高考专用)
冲刺2024年高考——专题一数列多选题专练六十题(解析版)_02高考数学_2024年新高考资料_3.2024专项复习_满分冲刺2024年高考数学多选题分类必刷题(新高考专用)
冲刺2024年高考——专题一数列多选题专练六十题(解析版)_02高考数学_2024年新高考资料_3.2024专项复习_满分冲刺2024年高考数学多选题分类必刷题(新高考专用)
冲刺2024年高考——专题一数列多选题专练六十题(解析版)_02高考数学_2024年新高考资料_3.2024专项复习_满分冲刺2024年高考数学多选题分类必刷题(新高考专用)
冲刺2024年高考——专题一数列多选题专练六十题(解析版)_02高考数学_2024年新高考资料_3.2024专项复习_满分冲刺2024年高考数学多选题分类必刷题(新高考专用)
冲刺2024年高考——专题一数列多选题专练六十题(解析版)_02高考数学_2024年新高考资料_3.2024专项复习_满分冲刺2024年高考数学多选题分类必刷题(新高考专用)
冲刺2024年高考——专题一数列多选题专练六十题(解析版)_02高考数学_2024年新高考资料_3.2024专项复习_满分冲刺2024年高考数学多选题分类必刷题(新高考专用)
冲刺2024年高考——专题一数列多选题专练六十题(解析版)_02高考数学_2024年新高考资料_3.2024专项复习_满分冲刺2024年高考数学多选题分类必刷题(新高考专用)
冲刺2024年高考——专题一数列多选题专练六十题(解析版)_02高考数学_2024年新高考资料_3.2024专项复习_满分冲刺2024年高考数学多选题分类必刷题(新高考专用)
冲刺2024年高考——专题一数列多选题专练六十题(解析版)_02高考数学_2024年新高考资料_3.2024专项复习_满分冲刺2024年高考数学多选题分类必刷题(新高考专用)
冲刺2024年高考——专题一数列多选题专练六十题(解析版)_02高考数学_2024年新高考资料_3.2024专项复习_满分冲刺2024年高考数学多选题分类必刷题(新高考专用)
冲刺2024年高考——专题一数列多选题专练六十题(解析版)_02高考数学_2024年新高考资料_3.2024专项复习_满分冲刺2024年高考数学多选题分类必刷题(新高考专用)
冲刺2024年高考——专题一数列多选题专练六十题(解析版)_02高考数学_2024年新高考资料_3.2024专项复习_满分冲刺2024年高考数学多选题分类必刷题(新高考专用)
冲刺2024年高考——专题一数列多选题专练六十题(解析版)_02高考数学_2024年新高考资料_3.2024专项复习_满分冲刺2024年高考数学多选题分类必刷题(新高考专用)
冲刺2024年高考——专题一数列多选题专练六十题(解析版)_02高考数学_2024年新高考资料_3.2024专项复习_满分冲刺2024年高考数学多选题分类必刷题(新高考专用)
冲刺2024年高考——专题一数列多选题专练六十题(解析版)_02高考数学_2024年新高考资料_3.2024专项复习_满分冲刺2024年高考数学多选题分类必刷题(新高考专用)
冲刺2024年高考——专题一数列多选题专练六十题(解析版)_02高考数学_2024年新高考资料_3.2024专项复习_满分冲刺2024年高考数学多选题分类必刷题(新高考专用)
冲刺2024年高考——专题一数列多选题专练六十题(解析版)_02高考数学_2024年新高考资料_3.2024专项复习_满分冲刺2024年高考数学多选题分类必刷题(新高考专用)
冲刺2024年高考——专题一数列多选题专练六十题(解析版)_02高考数学_2024年新高考资料_3.2024专项复习_满分冲刺2024年高考数学多选题分类必刷题(新高考专用)
冲刺2024年高考——专题一数列多选题专练六十题(解析版)_02高考数学_2024年新高考资料_3.2024专项复习_满分冲刺2024年高考数学多选题分类必刷题(新高考专用)
冲刺2024年高考——专题一数列多选题专练六十题(解析版)_02高考数学_2024年新高考资料_3.2024专项复习_满分冲刺2024年高考数学多选题分类必刷题(新高考专用)
冲刺2024年高考——专题一数列多选题专练六十题(解析版)_02高考数学_2024年新高考资料_3.2024专项复习_满分冲刺2024年高考数学多选题分类必刷题(新高考专用)
冲刺2024年高考——专题一数列多选题专练六十题(解析版)_02高考数学_2024年新高考资料_3.2024专项复习_满分冲刺2024年高考数学多选题分类必刷题(新高考专用)
冲刺2024年高考——专题一数列多选题专练六十题(解析版)_02高考数学_2024年新高考资料_3.2024专项复习_满分冲刺2024年高考数学多选题分类必刷题(新高考专用)
冲刺2024年高考——专题一数列多选题专练六十题(解析版)_02高考数学_2024年新高考资料_3.2024专项复习_满分冲刺2024年高考数学多选题分类必刷题(新高考专用)

文档信息

文档格式
docx
文档大小
3.934 MB
文档页数
83 页
上传时间
2026-04-15 01:30:09

文档内容

冲刺 2024 年高考—多选题专练六十题 专题一 数列(解析版) 第一部——高考真题练 1.(2021·全国·统考高考真题)设正整数 ,其中 ,记 .则( ) A. B. C. D. 【答案】ACD 【分析】利用 的定义可判断ACD选项的正误,利用特殊值法可判断B选项的正误. 【详解】对于A选项, , , 所以, ,A选项正确; 对于B选项,取 , , , 而 ,则 ,即 ,B选项错误; 对于C选项, , 所以, , , 所以, ,因此, ,C选项正确;对于D选项, ,故 ,D选项正确. 故选:ACD. 第二部——基础模拟题 2.(2023·河北张家口·统考三模)已知 是数列 的前 项和, ,则下列递推关系中能使 存在 最大值的有( ) A. B. C. D. 【答案】BC 【分析】对于A,根据等比数列求和公式求出 ,可得A不正确;对于B,根据等差数列的通项公式可得 B正确;对于C,计算出数列的前四项,结合单调性可得C正确;对于D,推出数列为周期函数,可得D 不正确. 【详解】对于A,由 , ,可得 , , 当 为正奇数且趋近于无穷大时, 也趋近于正无穷大,故 不存在最大值,故A不正确; 对于B,由 ,得 ,又 ,所以 , 当 时, ,当 时, ,当 时, , 所以当 或 时, 取得最大值,故B正确; 对于C,由 , ,得 , , , ,又 , 递减,所以当 时, 取最大值,故C正确; 对于D,由 , ,得 , , , ,所以数列 的周期为 ,故 不存在最大值,故D不正确. 故选:BC 3.(2023·浙江·校联考模拟预测)意大利著名数学家莱昂纳多.斐波那契( Leonardo Fibonacci)在研究 兔子繁殖问题时,发现有这样一列数:1,1,2,3,5,8,13,21,34,…,该数列的特点是:前两个数 都是1,从第三个数起,每一个数都等于它的前面两个数的和,人们把这样的一列数称为“斐波那契数 列”.同时,随着 趋于无穷大,其前一项与后一项的比值越来越逼近黄金分割 ,因此又称 “黄金分割数列”,记斐波那契数列为 ,则下列结论正确的有( ) A. B. C. D. 【答案】ACD 【分析】根据数列消项求和判断A,B,C选项,化简合并判断D选项. 【详解】因为 ,所以 ,所以 故A正确; 因为 ,所以 ,即 , 所以 ,而 ,故B错误; ,所以 故C正确;,故D正确 答案:ACD. 4.(2023·江苏南京·南京市第一中学校考模拟预测)在一次《数列》的公开课时,有位教师引导学生构造 新数列:在数列的每相邻两项之间插入此两项的和,形成新的数列,再把所得数列按照此方法不断构造出 新的数列.下面我们将数列1,2进行构造,第1次得到数列 ;第2次得到数列 ;第 次得 到数列 记 ,数列 的前 项为 ,则( ) A. B. C. D. 【答案】AC 【分析】根据数列的构造方法先写出前面几次数列的结果,寻找规律,再进行推理运算即可. 【详解】由题意可知,第1次得到数列1,3,2,此时 第2次得到数列1,4,3,5,2,此时 第3次得到数列1, 5,4,7,3,8,5,7,2,此时 第4次得到数列1,6,5,9,4,11,7,10,3,11,8,13,5,12,7,9,2,此时 第 次得到数列1, ,2 此时 ,故A项正确; 结合A项中列出的数列可得: 用等比数列求和可得 则又 所以 ,则 ,故B项错误; 由B项分析可知 ,故C项正确. ,故D项错误. 故选:AC. 5.(2023·广东佛山·校考模拟预测)已知数列 ,下列结论正确的有( ) A.若 , ,则 B.若 , ,则 C.若 ,则数列 是等比数列 D.若 为等差数列 的前 项和,则数列 为等差数列 【答案】ABD 【分析】直接利用累加法可判断选项A项;构造 为等比数列可判断B项;利用 与 的关系可求得 通项公式即可判断C项;利用等差数列的前n项和公式及定义法判断等差数列即可判断D项. 【详解】对于选项A,由 ,得 , 则 , 故A项正确;对于选项B,由 得 , 所以 为等比数列,首项为 ,公比为2, 所以 ,所以 ,故B项正确; 对于选项C,因为 , 当 时, , 当 时, , 将 代入 ,得 , 所以 ,所以数列 不是等比数列,故C项错误. 对于选项D,设等差数列的公差为d, 由等差数列前 项和公式可得 , 所以 与n无关, 所以数列 为等差数列,故D项正确. 故选:ABD. 6.(2023·安徽亳州·蒙城第一中学校联考模拟预测)如图,杨辉三角形中的对角线之和1,1,2,3,5, 8,13,21,…构成的斐波那契数列经常在自然中神奇地出现,例如向日葵花序中央的管状花和种子从圆 心向外,每一圈的数字就组成这个数列,等等.在量子力学中,粒子纠缠态、量子临界点研究也离不开这个 数列.斐波那契数列 的第一项和第二项都是1,第三项起每一项都等于它前两项的和,则( )A. B. C. D. 【答案】BCD 【分析】由已知 且 ,利用 及累加法判断A;利用 及累加 法判断B;利用 及累加法判断C;利用 及累加法判断D. 【详解】由题设 且 , 由 , , ,..., , 所以 , 则 ,A错误; 由 , , ,..., , 所以 ,则 ,B正确; 由 ,则 ,所以 ,C正确; 由 , 所以 ,D正确. 故选:BCD. 7.(2023·湖北武汉·武汉二中校联考模拟预测)在公差不为零的等差数列 中,已知其前 项和为 ,且 等比数列,则下列结论正确的是( ) A. B. C. D.设数列 的前 项和为 ,则 【答案】BC 【分析】设等差数列 的公差为 ,利用 , 等比数列求出 、 ,可判断A;求出 可判断B,利用等差数列求和公式求出 可判断C;求出 ,再利用 错位相减求和可判断D. 【详解】对于A,设等差数列 的公差为 ,由 得 ,①由 等比数列得 , ,② 由①②解得 , ,所以 ,故A错误; 对于B, ,故B正确; 对于C, ,故C正确; 对于D, ,所以 所以 ,① ,② ① ②得, , 则 ,故D错误. 故选:BC. 8.(2023·江苏无锡·辅仁高中校考模拟预测)南宋数学家杨辉在《详解九章算法》和《算法通变本末》中 提出了一些新的垛积公式,所讨论的高阶等差数列与一般等差数列不同,前后两项之差并不相等,但是逐 项差数之差或者高次差成等差数列.如数列1,3,6,10,它的前后两项之差组成新数列2,3,4,新数列 2,3,4为等差数列,则数列1,3,6,10被称为二阶等差数列,现有高阶等差数列 、其前7项分别为 5,9,17,27,37,45,49,设通项公式 .则下列结论中正确的是( ) (参考公式: ) A.数列 为二阶等差数列B.数列 的前11项和最大 C. D. 【答案】AC 【分析】根据题中定义,结合累加法、等差数列前 项和公式、题中所给的公式逐一判断即可. 【详解】设 , 所以数列 前6项分别为 , 设 , 所以数列 前5项分别为 ,显然数列 是以 为首项, 为公差的等差数列,由题中定 义可知数列 为二阶等差数列,因此选项A正确; , 于是有 , 因此有 , 因为 ,所以数列 的前11项和最大不正确,因此选项B不正确; 因此选项C正确; ,因此选项D不正确; 故选:AC 【点睛】关键点睛:利用累加法,结合题中定义、所给的公式是解题的关键. 9.(2023·辽宁沈阳·东北育才学校校考模拟预测)已知数列 的前n项和为 ,且满足 , ,则下列说法正确的是( ) A.数列 的前n项和为 B.数列 的通项公式为 C.数列 不是递增数列 D.数列 为递增数列 【答案】CD 【分析】确定 得到 是首项为 ,公差为 的等差数列,得到 即 的通项公式,再依次判断每个选项得到答案. 【详解】 ,则 ,即 , 故 是首项为 ,公差为 的等差数列,故 ,即 , , .对选项A: ,错误; 对选项B: ,错误; 对选项C: , ,故数列 不是递增数列,正确; 对选项D: ,故数列 为递增数列,正确; 故选:CD. 10.(2023·湖北武汉·湖北省武昌实验中学校考模拟预测)已知数列 的前 项和为 ,且 , ( , 为常数),则下列结论正确的有( ) A. 一定是等比数列 B.当 时, C.当 时, D. 【答案】ABC 【分析】对于A,利用数列的递推关系得 和当 时, ,再利用 ,结合等比数列的 概念对A进行判断;对于B,利用A的结论,结合等比数列的通项公式得 ,当 时,利用 等比数列的求和,计算出 ;对于C,当 时,利用指数幂的运算,对C进行判断;对于D,利用 ,计算得 ,对D进行判断.【详解】对于A,在数列 中,因为 , 为非零常数 , 所以当 时, ,解得 , 当 时, , 由 得 ,即 ,又因为 , 所以数列 是首项为 ,公比为 的等比数列,故A正确; 对于B,由 得 ,因此当 时, , 所以 ,故B正确; 对于C,由 得 ,因此当 时, , 所以 ,故C正确; 对于D,由 得 , 因此 , , 所以 ,故D错误. 故选:ABC. 11.(2023·湖北省直辖县级单位·统考模拟预测)在平面直角坐标系 中, ,B为坐标原点,点P在圆 上,若对于 ,存在数列 , ,使得 ,则下列说法 正确的是( ) A. 为公差为2的等差数列 B. 为公比为 的等比数列 C. D. 前n项和 【答案】CD 【分析】由圆的方程写出P的参数坐标,由两点距离公式判断 ,由等比中项性质判断 为 等比数列,即可依次求得 的通项公式,即可逐个判断,其中 由错位相减法求和. 【详解】对AB,由点P在圆 上,则由参数方程得 , 则 ,∴ . 对于 ,存在数列 , ,使得 ,即 ①, ②, ② ①得 , 令 ,则 ,则 是以 为首项, 公比为 的等比数列. 则 ,AB错; 对C, ,C对;对D, , , 两式相减得, . ∴ ,D对. 故选:CD. 12.(2023·全国·模拟预测)已知数列 满足 为 的前 项和.则下列说 法正确的是( ) A. 取最大值时, B.当 取最小值时, C.当 取最大值时, D. 的最大值为 【答案】AD 【分析】由题意知 ,即可得到 的取值范围,从而得到 令 ,即可得到 ,从而得到 ,即可判断A、B,再利用基本不等式求出 ,即可判断C、D. 【详解】由题意知 ,则 ,因为 ,所以 , 令 ,所以 ,所以 ,所以 , 即 或 ,又 ,故 . 当 取最大值时, ,此时 ,则 , , 故 ,故A正确; 当 取最小值时, ,此时 ,则 , , 故 ,故B不正确; 由 ,知 , 即 ,当且仅当 时取等号, 故当 取最大值时, , 此时 ,故C不正确,D正确. 故选:AD 13.(2023·浙江宁波·镇海中学校考模拟预测)定义:若数列 满足,存在实数M,对任意 ,都 有 ,则称M是数列 的一个上界.现已知 为正项递增数列, ,下列说法正确 的是( ) A.若 有上界,则 一定存在最小的上界 B.若 有上界,则 可能不存在最小的上界C.若 无上界,则对于任意的 ,均存在 ,使得 D.若 无上界,则存在 ,当 时,恒有 【答案】ACD 【分析】AB选项,由 有上界判断;C.根据 无上界,且为正项递增数列,可得 判断;D. 用反证法判断. 【详解】A.若 有上界,则 一定存在最小的上界,故正确; B.若 有上界,则 一定存在最小的上界,故错误; C.若 无上界,又 为正项递增数列,则 时, , , 则 ,所以 ,故正确; D.假设对任意 时,恒有 , 不妨设 ,则 , 取 ,当 时, , 与假设矛盾,故假设不成立, 所以若 无上界,则存在 ,当 时,恒有 ,故正确; 故选:ACD 14.(2023·广东佛山·校考模拟预测)所有的有理数都可以写成两个整数的比,例如 如 何表示成两个整数的比值呢? 代表了等比数列 的无限项求和,可通过计算该 数列的前 项的和,再令 获得答案.此时 ,当 时, ,即可得 . 则下列说法正确的是( )A. B. 为无限循环小数 C. 为有限小数 D.数列 的无限项求和是有限小数 【答案】AD 【分析】按照题中所给方法求解可判断A;取 验证可判断BC;利用等比数列求和公式求和,然后可 得 的无限项求和,可判断D. 【详解】对于选项A, , 代表了等比数列 的无限项求和,该 数列的前 项的和为 , , ,所以 ,故选项A成立; 对于选项B:令 与条件矛盾,故选项B不成立; 对于选项C:令 与条件矛盾,故选项C不成立; 对于选项D:数列 的前 项和为 时, ,所以数列 的无限项求和为 ,是有限小数,故选项D成立. 故选:AD 15.(2023·山东·山东省实验中学校考二模)平面螺旋是以一个固定点开始,向外圈逐渐旋绕而形成的图 案,如图(1).它的画法是这样的:正方形ABCD的边长为4,取正方形ABCD各边的四等分点E,F, G,H作第二个正方形,然后再取正方形EFGH各边的四等分点M,N,P,Q作第三个正方形,以此方法 一直循环下去,就可得到阴影部分图案,设正方形ABCD边长为 ,后续各正方形边长依次为 , ,…, ,…;如图(2)阴影部分,设直角三角形AEH面积为 ,后续各直角三角形面积依次为 , ,…,,….则( ) A.数列 是以4为首项, 为公比的等比数列 B.从正方形 开始,连续 个正方形的面积之和为32 C.使得不等式 成立的 的最大值为3 D.数列 的前 项和 【答案】ACD 【分析】根据题意, , 都是等比数列,从而可求 , 的通项公式,再对选项逐个判断即可 得到答案. 【详解】对于A选项,由题意知, 且 , 所以 ,又因为 , 所以数列 是以 为首项, 为公比的等比数列,故A正确; 对于B选项,由上知, , , , , 所以 ,故B错误;对于C选项, , 易知 是单调递减数列,且 , , 故使得不等式 成立的的最大值为 ,故C正确; 对于D选项,因为 ,且 , 所以 ,所以 ,故D正确; 故选:ACD. 16.(2023·重庆沙坪坝·重庆八中校考二模)在数列 中, ( , 为非零常数), 则称 为“等方差数列”, 称为“公方差”,下列对“等方差数列”的判断正确的是( ) A. 是等方差数列 B.若正项等方差数列 的首项 ,且 是等比数列,则 C.等比数列不可能为等方差数列 D.存在数列 既是等差数列,又是等方差数列 【答案】BC 【分析】根据等方差数列定义判断A,由等方差数列定义及等比数列求 判断B,根据等方差数列定义及 等比数列的通项公式判断C,由等差数列及等方差数列定义,利用反证法判断D. 【详解】设 ,则 不为非零常数,所以 不是等方差数列,故A错误; 由题意 ,则 ,由 是等比数列,得 ,解得 或 (舍去), 当 时, 满足题意,故B正确; 设数列 为等比数列,不妨设 ,则 ,所以 , 若 为常数,则 ,但此时 ,不满足题意,故C正确; 若数列 既是等差数列,又是等方差数列, 不妨设 ,( 为非零数), , 所以 ,即 ,所以 ,即 , 所以 为常数列,这与 矛盾,故D错误. 故选:BC. 17.(2023·湖南郴州·校联考模拟预测)已知数列 的前 项和为 ,若数列 和 均为等差数列, 且 ,则( ) A. B. C. D. 【答案】BD 【分析】先依据题给条件求得等差数列 的公差,进而求得 , 的解析式,代入求得 , , , 的值即可判断各个选项的正误情况. 【详解】数列 为等差数列,设其首项为 ,公差为d, 则 , , 由数列 为等差数列,可得则 , 两边平方整理得, , 两边平方整理得, ,解之得 , 则 , , 选项A: .判断错误; 选项B: .判断正确; 选项C: .判断错误; 选项D: .判断正确. 故选:BD 18.(2022·全国·模拟预测)已知等比数列 满足 ,公比 ,且 , , 则( ) A. B.当 时, 最小 C.当 时, 最小 D.存在 ,使得 【答案】AC 【分析】由等比数列的性质、数列的单调性及不等式的性质可对每个选项进行判断即可得出. 【详解】对于A,∵ , ,∴ ,又 , , ∴ ,故A正确; 对于B,C,等比数列 满足 ,公比 , , , , , 为递增数列, 由等比数列的性质, ,又 , , , , ∵ , , ,∴ , ∵ , , ,∴ , , ,即 , 为递增数列,故当 时, 最小,故B错误,C正确; 对于D,当 时, , 为递增数列, , 故D错误. 故选:AC 19.(2023·安徽合肥·合肥市第六中学校考模拟预测)已知数列 的前n项和为 , , ,且 ,则( ) A. ,使得 B. ,使得 C. ,使得 D.若 ,则 【答案】ABC 【分析】由题意可证得 是以 为首项, 为公比的等差数列,求出 的通项公式,取 可判 断A,B;取 ,可判断C;由 可得 ,求出 ,可得 可判断D. 【详解】因为 ,且 ,则 ,,两边同时除以 可得: , 所以 是以 为首项, 为公差的等差数列, 则 ,所以 , 对于A,取 ,则 ,则 ,故A正确; 对于B,取 ,则 ,则 , , 故 ,故B正确; 对于C,取 , , 当 时, 恒成立, 恒成立, 所以 恒成立,即 , 当 , , , 所以 ,故 ,使得 ,故C正确; 对于D,因为 ,若 , 则 ,得 ,即 , 则 时, , 因为 , , 所以 ,故 ,故D不正确.故选:ABC. 20.(2023·江苏扬州·扬州中学校考模拟预测)设等比数列 的公比为 ,其前 项和为 ,前 项积为 ,并且满足条件 ,则下列结论正确的是( ) A. B. C. 的最大值为 D. 的最大值为 【答案】BD 【分析】根据给定的条件分析公比q的符号和大小,再逐项分析. 【详解】由题意, 同号,即 与 同号, , 又 有 …①或 …②; 若为①,则有 ,即 ; 若为②,则有 , 则不可能大于1,即②不成立; ,并且 , ,即 是递减的正数列, A错误; 所以 ,B正确; ,即 对任意的n都成立,C错误; 当 时, ,当 时, , 是 的最大值,D正确; 故选:BD. 21.(2023·湖北武汉·华中师大一附中校考模拟预测)已知集合 , ,集合 ,将集合C中所有元素从小到大依次排列为一个数列 , 为数列 的前n项和,则( ) A. B. 或2 C. D.若存在 使 ,则n的最小值为26 【答案】ABC 【分析】由集合A和集合B中元素的特征,判断集合C中元素特征和顺序,验证各选项中结论. 【详解】对于选项A,由题意 的前8项为1,2,3,4,5,7,8,9, ,故A正确; 对于选项B,集合A为奇数集,集合B中的元素都是偶数,按照从小到大排列, 若连续的两个数是奇数,则 , 若连续的两个数是一个奇数,一个偶数,则 ,故B正确; 对于选项C,令 ,∵ 比 小1, ∴ 的前k项中,来自集合A的有 个,来自集合B的有n个, ∴ , 即 ,故C正确; 对于选项D, 的前26项包括A集合的1,3,5,…,41共21个,B集合的2,4,8,16,32共5个, ∴ , ∵ , , ,不符合条件,故D错误. 故选:ABC.22.(2023·浙江·校联考模拟预测)已知函数 的定义域均为 .若 时 ,且 时 , 则( ) A. B.函数 的图像关于点 对称 C. D. 【答案】AD 【分析】根据条件先求出 ,再根据 求值判断A,结合已知 , 然后利用对称中心的概念判断B,根据数列知识及函数性质求出函数值的和即可判断C、D. 【详解】因为 时 , 所以 , 又 时 ,所以 , , , , 所以 , 故选项A正确; 由 得 , 由 知 是奇函数,所以 , 上面两个式子相加得 ,所以 关于 对称,所以 错误; ,故选项 错误; 由 得, 所以 正确. 故选:AD 23.(2023·全国·模拟预测)已知数列1,1,2,3,5,8,…被称为“斐波那契数列”该数列是以兔子繁 殖为例子引入的,故又称为“兔子数列”,斐波那契数列 满足 , , 则下列说法正确的是( ) A. B. C. D. 【答案】ABC 【分析】根据数列的递推关系逐项验证即可判断. 【详解】A选项:由题意知: , , , , , , 所以 ,所以A正确; B选项:由 得,当 时, , 即 ,于是 , 故B正确; C选项: ,所以C正确; D选项:当 时, ,而 ,则 ,故D不正确. 故选:ABC. 24.(2023·重庆·统考模拟预测)已知数列 满足 , , ,记数列的前 项和为 ,若存在正整数 , ,使得 ,则 的值是( ) A.1 B.2 C.3 D.4 【答案】AB 【分析】根据数列的递推公式确定数列的通项公式,即可求得 的表达式,进而判断 的可能 取值,分类讨论,求得m的值,即得答案. 【详解】由题意数列 满足 , , , 可得数列的奇数项构成以1为首项,2为公差的等差数列, 偶数项构成以2为首项,3为公比的等比数列, 故 , 所以 , 故 , , 故 , 由 可知 都大于3, 所以 只能是 其中之一, 若 ,即 ,即 ,无解;若 ,即 , 若 ,即 , 故选:AB 25.(2023·江苏镇江·江苏省镇江第一中学校考模拟预测)已知等差数列 的前 项和为 ,若 , ,则( ) A. B.若 ,则 的最小值为 C. 取最小值时 D.设 ,则 【答案】AC 【分析】对于A:根据题意列式求解 ,即可得结果;对于B:根据等差数列性质可得 ,再结 合基本不等式分析运算;对于C:根据等差数列通项的正负性分析判断;对于D:利用错位相减法分析运 算. 【详解】对于选项A:设等差数列 的公差为 , 由题意可得: ,解得 , 所以 ,故A正确; 对于选项B:若 ,则 ,即 , 可得 ,当且仅当 ,即 时,等号成立, 但 ,所以 的最小值不为 ,故B错误; 对于选项C:令 ,解得 , 又因为 ,可得 的最后一个负项为第5项,且无零项, 所以 取最小值时 ,故C正确; 对于选项D:因为 , 则 , 可得 , 两式相减得: , 所以 ,故D错误; 故选:AC. 26.(2023·安徽滁州·安徽省定远中学校考模拟预测)已知首项为 ,公比为 的等比数列 ,其前 项 和为 , ,且 , , 成等差数列,记 , ,则( ) A.公比 B.若 是递减数列,则 C.若 不单调,则 的最大项为D.若 不单调,则 的最小项为 【答案】BC 【分析】由等差中项的性质即可判断A,由等比数列前 项和 即可判断B,由 以及 与 的关系即可 判断CD. 【详解】由 , , 成等差数列, 得 ,即 , ,得 ,故A错误; 当 时,数列 不单调,当 时,数列 单调递减, 若 是递减数列,则 ,故B正确; 若 不单调,则 ,则 , ,是关于 的增函数,当 时, 有最大值为 ,则 的最大项为 ,故C正确; 当 时, 有最小值为 ,则 的最小项为 ,故D错误. 故选:BC. 27.(2023·安徽滁州·安徽省定远中学校考模拟预测)历史上著名的伯努利错排问题指的是:一个人有 封不同的信,投入 个对应的不同的信箱,他把每封信都投错了信箱,投错的方法数为 例如两 封信都投错有 种方法,三封信都投错有 种方法,通过推理可得: .高等 数学给出了泰勒公式: ,则下列说法正确的是( )A. B. 为等比数列 C. D.信封均被投错的概率大于 【答案】ABC 【分析】根据分类加法原理求 ,由此判断A,根据等比数列定义判断B,利用累加法求 ,判断C,由 泰勒定理求 ,结合比差法判断D. 【详解】设 封信分别为 , , , ,当 在第二个信箱时, 有 , , 共 种错投方式, 同理可得 在第 与第 个信箱时,也分别有 种错投方式, 故共有 种错投方式, 所以 ,故A正确; 因为 , 所以 , 又 , 所以 为等比数列,首项为 ,公比为 ,故B正确; 所以 , 所以 , 因为 , 所以 时, ,故C正确;装错信封的概率为 , , 则 , 当 为奇数时, , 当 为偶数时, , 综上所述:当 为奇数时, , 当 为偶数时, ,故D错误. 故选:ABC. 28.(2023·全国·模拟预测)设 是数列 的前 项和.下面几个条件中,能推出 是等差数列的为 ( ) A.当 时, B.当 时, C.当 时, D.当 时, 【答案】ABD 【分析】由 与 的关系得出 与 的关系式即可判断ABD,通过举反例即可判断出C. 【详解】对于A,当 时, 且 , 两式相减可得 ,即 . 所以 是恒为0的数列,即 是公差为0的等差数列,故A正确; 对于B,当 时, 且 ,两式相减可得 ,即 , 所以 ,即 是常数列,是公差为0的等差数列,故B正确; 对于C,如果 ,令 可得 , 当 时, 且 , 两式相减可得 , 如果 ,则 ,这并不能推出 是等差数列, 例如:考虑如下定义的数列 :1,1,2,2,3,3, ,则其通项公式可写成 , . 则 , . 即数列1,1,2,2,3,3, 满足 对任意正整数 成立,但它并不是等差数列,故C错误; 对于D,当 时, 且 , 两式相减可得 , 所以 ,即 , 故 ,即 是公差为 的等差数列,故D正确; 故选:ABD. 29.(2023·山东威海·统考二模)已知数列 的首项 ,前n项和为 .设 与k是常数,若对任意 ,均有 成立,则称此数列为“ ”数列.若数列 是“ ”数列,且 ,则( )A. B. 为等比数列 C. 的前n项和为 D. 为等差数列 【答案】AC 【分析】首先理解题意得 ,再变形得到数列 和 的通项公式,即 可判断ABCD. 【详解】由条件可知, , , 则 ,两边平方后,整理为 ,即 , 得 或 , 若 ,则 ,则 ,这与 矛盾,所以不成立, 若 ,则 , ,所以数列 是首项为1,公比为9的等比数列,即 , 故A正确; 由 可得 ( ),两式相减得, ,并且 时, ,即 ,得 , 那么 ,所以 不是等比数列,故B错误; , 当 时, , 当 时,设数列 的前 项和为 ,则 , 当 时, 成立,故 ,故C正确; , , , ,所以数列 不是等差数列,故D错误. 故选:AC 30.(2023·山西阳泉·统考三模)设无穷数列 为正项等差数列且其前n项和为 ,若 ,则 下列判断正确的是( ) A. B. C. D. 【答案】ABD 【分析】根据数列 为正项等差数列,且 ,利用等差数列的性质求得 ,再利用项与 项,前n项和与通项的关系逐项判断. 【详解】解:因为数列 为正项等差数列, 所以 , 所以 , 因为数列 为正项等差数列, 所以 , 所以 , ,, 故选:ABD 31.(2023·湖南岳阳·统考三模)设数列 的前n项和为 ,且 ,若 ,则下列结论正确的有( ) A. B.数列 单调递减 C.当 时, 取得最小值 D. 时,n的最小值为7 【答案】AC 【分析】根据已知条件及累加法求数列 的前n项和为 ,利用 与 的关系求出数列 的通项公 式,再结合已知条件逐项判断即可求解. 【详解】由 ,得 , , 解得 , 当 时, 满足上式,所以 当 时, 所以 ,故A正确; 当 时, 单调递增,又 所以数列 单调递增,且 , 所以当 时, 单调递减,当 时, 单调递增,且 , 所以当 时, 取得最小值,故B错误,C正确; 又 故D错误.故选:AC. 32.(2023·湖南长沙·周南中学校考三模)已知数列 的前n项和是 ,则下列说法正确的是( ) A.若 ,则 是等差数列 B.若 , ,则 是等比数列 C.若 是等差数列,则 , , 成等差数列 D.若 是等比数列,则 , , 成等比数列 【答案】ABC 【分析】求出通项公式判断AB;利用数列前n项和的意义、结合等差数列推理判断C;举例说明判断D 作答. 【详解】对于A, , 时, ,解得 ,因此 , , 是 等差数列,A正确; 对于B, , ,则 ,而 , 是等比数列,B正确; 对于C,设等差数列 的公差为 ,首项是 , , , 因此 ,则 , 成等差数列,C正确; 对于D,若等比数列 的公比 ,则 不成等比数列,D错误. 故选:ABC 33.(2023·吉林长春·统考模拟预测)已知正项数列 的前n项和为 ,且有 ,则下列 结论正确的是( ).A. B.数列 为等差数列 C. D. 【答案】CD 【分析】根据题意和 ( )可得 ,结合等差数列的定义可证明 是以1为首 项,公差为1的等差数列,进而 、 ,结合选项依次判断即可. 【详解】A: ,当 时, ,由 解得 ,故A错误; B: ,当 时, ,则 , 整理得 ,又 、 解得 , 得 ,有 ,符合上式, 所以 是以1为首项,公差为1的等差数列,故B错误; C:由选项B的分析可知 ,由 解得 , 所以 ,故C正确; 所以 , D:由选项C的分析可知 ,则 , 所以 , , ,得 ,故D正确. 故选:CD. 34.(2023·江苏淮安·江苏省盱眙中学校考模拟预测)设a, ,数列 满足 , ,,则下列说法不正确的是( ) A.当 时, B.当 时, C.当 时, D.当 时, 【答案】BCD 【分析】A选项,由 , 结合基本不等式可得 , ,即可判断选项正误; BCD选项,注意到 ,当 时,方程 有解,则当 为方程 的根时,则 ,即可判断选项正误. 【详解】A选项,当 时,因为 , 所以 ,又 ,当且仅当 取等号. 故 , .故A正确. B选项,当 时, 故 时, 为常数列,且 ,所以 不成立.故B错误; C选项,当 时, 故 或 时, 为常数列,且 或 ,所以 不成立.故C错误; D选项,当 时, 故 或 时, 为常数列,且 或 , 所以 不成立.故D错误;故选:BCD 35.(2023·云南昆明·统考模拟预测)已知a,b,c为非零实数,则下列说法一定正确的是( ) A.若a,b,c成等比数列,则 , , 成等比数列 B.若a,b,c成等差数列,则 , , 成等差数列 C.若a2,b2,c2成等比数列,则a,b,c成等比数列 D.若a,b,c成等差数列,则 , , 成等比数列 【答案】AD 【分析】根据等差数列和等比数列的中项公式,即可判断. 【详解】A.若a,b,c成等比数列,则 ,则 ,所以 , , 成等比数列,故A正确; B.数列1,2,3是等差数列,但数列 , , 不是等差数列,故B错误; C.若a2,b2,c2成等比数列,则 , 或 ,若 ,则a,b,c不成等比数列,故 C错误; D.若a,b,c成等差数列,则 ,则 成立,所以 , , 成等比数列, 故D正确. 故选:AD 36.(2023·山东·山东省实验中学校考一模)已知 为等差数列,前n项和为 , ,公差 , 则( ). A. B. C.当 或6时, 取得最大值为30 D.数列 与数列 共有671项互为相反数 【答案】ABC【分析】根据给定的等差数列,求出通项公式判断A;利用性质计算判断B;由单调性结合正负数项计算 判断C;求出两个数列的互为相反数的项数 判断D作答. 【详解】数列 为等差数列,前n项和为 , ,公差 , 则有 ,A正确; 因为 ,所以 ,B正确; 因为 ,即数列 为递减等差数列,且当 时, , 因此数列 的前5项均为正,第6项为0,从第7项起为负, 所以当 或6时, 取得最大值 ,C正确; 令数列 的第n项 与数列 的第m项互为相反数,即 , 于是 ,而 ,则 为偶数,令 ,有 , 因此数列 与数列 成互为相反数的项构成等差数列 ,且 , 显然 ,即 ,又 ,则 , 所以数列 与数列 共有670项互为相反数,D错误. 故选:ABC 37.(2023·江苏南通·江苏省如皋中学校考模拟预测)意大利著名数学家斐波那契在研究兔子的繁殖问题 时,发现有这样的一列数:1,1,2,3,5,8,13,21,….该数列的特点如下:前两个数均为1,从第 三个数起,每一个数都等于它前面两个数的和.人们把这样的一列数组成的数列 称为斐波那契数列, 现将 中的各项除以2所得的余数按原来的顺序构成的数列记为 ,数列 的前n项和为 ,数列 的前n项和为 ,下列说法正确的是( )A. B. C.若 ,则 D. 【答案】ABD 【分析】根据数列特征得到 为 , , , , , , ,周期为 的数列,从而得到 ,A正确, ,B正确,根据数列 的周期求和得到 或 ,所以C错误,根据提公因式和斐波那契数列的特征得到D正确. 【详解】根据斐波那契数列的特征可以看出, 数列为依次连续两个奇数和一个偶数, 所以数列 为 , , , , , , , 则数列 为周期数列,且周期为 , 所以 ,故A正确; 因为 ,故B正确; 因为 , ,且 , , , 所以 或 ,故C错误; ,故D正确. 故选:ABD38.(2023·浙江·统考二模)“冰雹猜想”也称为“角谷猜想”,是指对于任意一个正整数 ,如果 是奇 数㩆乘以3再加1,如果 是偶数就除以2,这样经过若干次操作后的结果必为1,犹如冰雹掉落的过程.参 照“冰雹猜想”,提出了如下问题:设 ,各项均为正整数的数列 满足 , 则( ) A.当 时, B.当 时, C.当 为奇数时, D.当 为偶数时, 是递增数列 【答案】ACD 【分析】当 时,结合条件求出 可判断A,求出 可判断B;由数学归纳法可证明C;据 与零的关系,判断数列 单调递增可判断D. 【详解】对于A,当 时, , , , , , ,故A正确; 对于B,当 时,由A选项知: ,故B不正确; 对于C,因为 ,当 为奇数时, 且 为偶数, .假设 为奇数时, ; 为偶数时, . 当 为奇数时, ,且 为偶数; 当 为偶数时, . 所以若 为奇数,则 ;若 为偶数,则 . 因此对 都有 ,故C正确; 对于D,当 为偶数时,若 为奇数,则 为奇数. 因为 为奇数,所以归纳可得,对 , 均为奇数,则 , 所以 , 所以数列 单调递增,故D正确. 故选:ACD. 39.(2023·海南·统考模拟预测)已知数列 满足 ,且 ,等差数列 的前n 项和为 ,且 , ,若 恒成立,则实数λ的值可以为( ) A.-36 B.-54 C.-81 D.-108 【答案】CD 【分析】由 变形为 ,得出 为等比数列并求出通项,再根据 累加法求出 ;根据等差数列的通项公式及前n项和公式求出 ,再求解 的最小值得出结果. 【详解】由 ,得 , 由 ,得 ,即 , 又 ,所以 为等比数列,公比 .所以 . 由累加法得 , 当 时, 相符, 所以 . 已知等差数列 的前n项和为 , 则 ,且 , 解得 ,则 . 已知 恒成立,又 , 则 ,设 因为当 时, 因为当 时, , 又 , , , , 故 的最小值为 , 所以 , 故选:CD. 40.(2023·安徽淮北·统考二模)已知棋盘上标有第0,1,2,...,100站,棋子开始时位于第0站,棋手 抛掷均匀硬币走跳棋游戏,若掷出正面,棋子向前跳一站;若掷出反面,棋子向前跳两站,直到跳到第99 站(胜利大本营)或第100站(欢乐大本营)时,游戏结束.设棋子跳到第n站的概率为 , ( )A. B. C. D. 【答案】AC 【分析】根据题意直接判断选项A和B;然后根据题意求出递推公式即可判断选项C,根据递推公式判断 数列 是首项为 ,公比为 的等比数列,等比数列求和进而判断选 项D. 【详解】根据题意,棋子跳到第1站则掷出正面,所以 ,故选项A正确; 棋子跳到第3站有以下三种途径:连续三次掷出正面,其概率在 ; 第一次掷出反面,第二次掷出正面,其概率为 ; 第一次掷出正面,第二次掷出反面,其概率为 ,因此 ,故选项B错误; 由题意易知棋子先跳到第 站,再掷出反面,其概率为 ;棋子先跳到第 站,再掷出正面,其 概率为 ,因此有 , 则 ,故选项C正确; 因为 ,则有 , 即 . 所以数列 是首项为 ,公比为 的等比数列. 因此有 .由此得到 , 所以 ,故选项D错误, 故选:AC. 第三部分 能力提升模拟题 41.(2023·江苏扬州·统考模拟预测)定义:在数列的每相邻两项之间插入此两项的积,形成新的数列, 这样的操作叫作该数列的一次“美好成长”.将数列 、 进行“美好成长”,第一次得到数列 、 、 ; 第二次得到数列 、 、 、 、 ; ;设第 次“美好成长”后得到的数列为 、 、 、 、 、 , 并记 ,则( ) A. B. C. D.数列 的前 项和为 【答案】ACD 【分析】对A:由题意直接运算判断;对B:根据题意分析可得: ,利用构造法结合等比 数列分析运算;对C:根据第 次“美好成长”与第 次“美好成长”的关系分析运算;对D:由 ,利用构造法结合等比数列可得 ,利用裂项相消结合分组求和运算求解. 【详解】对于A选项, ,A对; 对于B选项,设第 次“美好成长”后共插入 项,即 ,共有 个间隔,且 , 则第 次“美好成长”后再插入 项,则 ,可得 ,且 , 故数列 是以首项为 ,公比为 的等比数列, 则 ,故 ,B错; 对于C选项,由题意可知: ,C对; 对于D选项,因为 ,且 , 所以, ,且 , 所以数列 是首项为 ,公比为 的等比数列, 所以, ,故 , 所以, , 所以,数列 的前 项和为 ,D对. 故选:ACD. 【点睛】方法点睛:已知数列的递推关系求通项公式的典型方法: (1)当出现 时,构造等差数列; (2)当出现 时,构造等比数列; (3)当出现 时,用累加法求解;(4)当出现 时,用累乘法求解. 42.(2023·福建福州·福建省福州第一中学校考二模)定义在 上的函数 ,其导函数分别为 ,若 , ,则( ) A. 是奇函数 B. 关于 对称 C. 周期为4 D. 【答案】ABD 【分析】对于选项A,利用已知条件 ,即得结果.对于选项B,由题意可推导出 为偶函 数, 为奇函数,所以 ,即 即可证明;对于选项 C,由 关于 对称和 关于 对称,即得结果.对于选项D,通过赋值,利用C中推导的结 论 和已知条件 ,由等差数列的前 项和即得结果. 【详解】因为 可得为 偶函数,所以 ,则 为奇函数,故A正确; 因为 , 偶函数, 时偶函数, 所以 为偶函数,所以 关于 对称, 因为 , 为奇函数, 为奇函数, 所以 为奇函数, 关于 对称,, 则 其中 为常数,又 故 ,有 关于 对称,B正确; 令 等价于 , ,所以 , 因为 关于 对称,所以 , 所以令 等价于 ,所以 ,所以 , 故可看成数列 , 而因为 关于 对称,所以 , , 故 是以 为首项, 为公差的等差数列, 是以 为首项, 为公差的等差数列, 所以 没有周期性,故C不正确; , 所以 ,故D正确. 故选:ABD. 【点睛】结论点睛:本题考查利用抽象函数关系式求解函数周期性、对称性、奇偶性的问题;对于与导数 有关的函数性质,有如下结论: ①若 连续且可导,那么若 为奇函数,则 为偶函数;若 为偶函数,则 为奇函数; ②若 连续且可导,那么若 关于 对称,则 关于点 对称;若 关于 对 称,则 关于 对称.43.(2023·湖南·铅山县第一中学校联考二模)已知数列 ,如果存在常数 ,对于任意给定的正数 (无论多小),总存在正整数 ,使得 时,恒有 成立,就称数列 收敛于 (极限为 ),即数列 为收敛数列.下列结论正确的是( ) A.数列 是一个收敛数列 B.若数列 为收敛数列,则 ,使得 ,都有 C.若数列 和 为收敛数列,而数列 一定为收敛数列 D.若数列 和 为收敛数列,则数列 不一定为收敛数列 【答案】ABC 【分析】根据新定义证明 是一个收敛数列,A正确,取 得到B正确,证明 、 一定为收敛数列,得到C错误D正确,得到答案. 【详解】对选项A:存在 ,取 , ,当 时, , 则 是收敛数列,A正确; 对选项B:当 时, ,则 , 当 时, 中最大的项为 ,取 ,则 ,B正确; 对选项C:对任意的 ,取 ,当 时,恒有 , 当 时, ,故当 时, 则 ,故数列 一定为收敛数列, C正确; 对选项D:对任意的 ,令 ,取 , 当 时,恒有 ,当 时,恒有 , 故当 时,则 , 故数列 一定为收敛数列,D错误. 故选:ABC 【点睛】关键点睛:本题考查了数列的新定义问题,意在考查学生的计算能力,转化能力和综合应用能力, 其中利用数列的新定义,构造类似 的关系,是解题的关键. 44.(2024·安徽黄山·屯溪一中校考模拟预测)已知 是数列 的前 项和, ,则( ) A. B.当 时, C.当 时, 为等差数列 D.当数列 单调递增时, 的取值范围是 【答案】BD 【分析】对于A,由 ,多写一项,两式相减得到 ,注意检验 时是 否成立即可;对于B,先根据题意求得 ,从而得到 奇数项是以 为首项,2为公差的等差数列,偶数 项是以 为首项,2为公差的等差数列,再根据等差数列得前 项和公式即可求解; 对于C,结合B选项求得 , ,得到数列 为 ,进而判断即可; 对于D,先结合选项C求得 , ,再根据数列 单调递增,则必有 ,且 ,求解即可得出 的取值范围. 【详解】对于A,因为 ,当 , , 两式相减得 , 但当 时, ,即 ,得 ,不符合,故A错误; 对于B,结合A选项有 ,所以 , 两式相减得 , 又 , 令 ,则 , ,得 ,又 ,所以 , 令 ,则 , ,得 ,所以 , 则 ,所以 , 所以 奇数项是以 为首项,2为公差的等差数列,偶数项是以 为首项,2为公差的等差数列, 则 ,所以B正确; 对于C,结合B选项有 , , ,又 , 则 , , 即数列 的偶数项和奇数项都是等差数列,但数列 为 , 所以数列 不是等差数列,故C错误; 对于D,结合选项C有 , , 又数列 单调递增,则必有 ,且 , 所以 ,且 ,解得 , 所以 的取值范围是 ,所以D正确. 故选:BD. 【点睛】关键点点睛:数列单调性问题或不等式问题,要充分挖掘题干条件,通常由递推公式求通项公式, 或研究出数列的性质,结合等差数列或等比数列的性质进行求解. 45.(2023·黑龙江哈尔滨·哈尔滨三中校考模拟预测)定义在 的函数 满足 ,且 , 都有 ,若方程 的解构成单调递增 数列 ,则下列说法中正确的是( ) A. B.若数列 为等差数列,则公差为6 C.若 ,则D.若 ,则 【答案】ABD 【分析】对于A:根据题意结合周期性运算求解;对于B:根据题意结合图象分析判断;对于B:整理可 得 ,结合图象分析判断;对于D:根据图象结合对称性分析可得数列 是 以首项为7,公差为12的等差数列,进而利用等差数列知识运算求解. 【详解】因为 都有 ,即 令 ,则 ,即 , 可知 在 内的图象关于点 对称, 根据题意作出 在 内的图象,如图所示: 对于选项A:因为定义在 的函数 满足 , 则 ,故A正确; 对于选项B:由图象可知:若数列 为等差数列,则 , 此时 与 在 内有且仅有一个交点,因为 ,则 , 所以公差为6,故B正确; 对于选项C:若 ,则 , 可得 , 则 ,即 与 在 内有且仅有2个交点, 结合图象可得 ,故C错误; 对于选项D:若 ,则 与 在 内有且仅有3个交点,且 , 因为 ,则 , 所以数列 是以首项为7,公差为12的等差数列, 可得 , 所以 ,故D正确; 故选:ABD. 【点睛】方法点睛:应用函数思想确定方程解的个数的两种方法 (1)转化为两熟悉的函数图象的交点个数问题、数形结合、构建不等式(方程)求解; (2)分离参数、转化为求函数的值域问题求解. 46.(2023·山东日照·三模)设函数 的定义域为 ,满足 ,且当 时, ,则( ) A. B.若对任意 ,都有 ,则 的取值范围是C.若方程 恰有三个实数根,则 的取值范围是 D.函数 在区间 上的最大值为 ,若存在 ,使得 成立,则 【答案】ABD 【分析】由 , 可判断A,解出不等式 可判断B,当 时 的图像有3个交点,即可判断C,根据条件可得当 时 ,然后可得 ,然后可得 ,判断出数列 的单调性可判断D. 【详解】函数 的定义域为 ,满足 ,即 ,且当 时, , 当 时, ,即 , 当 时, ,即 , 依次,当 时,即 作出函数图象对于A, 代入 ,故正确; 对于B,对任意 ,都有 , , ,解得 ,对任意 , 都有 ,则 的取值范围是 ,正确; 对于C,当 时, 的图像有3个交点,故错误; 对于D. 最大值 存在 ,使得 成立, 的最大值, ,则 增, 减, ,即 ,正确. 故选:ABD 47.(2023·湖北黄冈·浠水县第一中学校考三模)若 为函数 的导函数,数列 满足 ,则称 为“牛顿数列”.已知函数 ,数列 为“牛顿数列”,其中 ,则( ) A. B.数列 是单调递减数列 C. D.关于 的不等式 的解有无限个 【答案】BCD 【分析】对函数求导,得出数列递推关系,构造等比数列,求出通项,根据数列的函数性质及不等式证明 逐一判断各选项. 【详解】对于A,由 得 ,所以 ,故A错误; 对于B,由 得 , ,所 以 ,数列 是单调递减数列,故B正确; 对于C, , ,由 ,得 ,所以 ,所以 , 令 ,则 , 所以数列 是公比为2的等比数列,又 , , 所以 ,即 , 所以 , ,即 . 对于C,, 下面用数学归纳法证明: . 当 时, ,命题成立; 假设当 时,命题成立,即 ; 当 时,即 , ,命题成立; 所以 命题成立; 综上 成立. 对于D, ,因为 , 所以 ,即 , ,所以不等式的解有无限个,故D正确. 故选:BCD. 【点睛】关键点点睛:本题关键是由 和 ,构造等比数列 ,考查了运算求解能力和逻辑推理能力,属于偏难题目. 48.(2023·浙江·校联考二模)已知递增数列 的各项均为正整数,且其前 项和为 ,则( ) A.存在公差为1的等差数列 ,使得 B.存在公比为2的等比数列 ,使得 C.若 ,则 D.若 ,则 【答案】ABC 【分析】运用公式法计算A,B选项,根据数列的性质推导C,D选项. 【详解】对于A,设数列的首项为 ,则 ,解得 , 即当等差数列的首项为138,公差为1时, ,正确; 对于B,设首项为 ,则 ,正确; 对于C,欲使得 尽可能地大,不妨令 ,则有 , 又 ,即 , , 即 ,正确; 对于D, , ,即 , 比如, , 则 ,D错误;故选:ABC. 【点睛】思路点睛:数列中与整数有关的不等式或方程问题,注意利用整数的性质来处理. 49.(2023·江苏苏州·校联考三模)若数列 满足:对任意的 ,总存在 ,使 ,则称 是“ 数列”.则下列数列是“ 数列”的有( ) A. B. C. D. 【答案】AD 【分析】根据“ 数列”定义判断A、D;利用特殊值判断B是否满足要求;由 的个位数上奇偶性判断 C. 【详解】A:由 ,要 且 , 所以,只需 ,显然对任意的 ,总存在 ,满足“ 数列”. B:由 ,显然 ,不满足“ 数列”. C:对于任意 , ,个位数为 均为奇数,所以 必为偶数,显然 不成立,不满 足. D:由 , , 故对任意的 ,总存在 ,满足“ 数列”. 故选:AD50.(2023·全国·模拟预测)数列 满足 , , 表示 落在区间 的项数,其中 ,则( ) A. B. C. D. 【答案】BC 【分析】由已知列出数列 的部分项,得出数列的通项,根据数列的基本性质以及错位相减、裂项相消 法求和逐一判断各选项即可. 【详解】列举可得,数列 的前若干项分别为1,2,3,3,4,5,6,6,….不难发现, . 对于A,区间 ,即 中3的倍数有3个,这些数在 中会出现两次,其它数只出现一次,因 此 ,故A错误. 对于B,当 时, ; 时, ; 时, ; 时, ,均在 中,故 B正确. 对于C, ,故C正确.对于D, 取奇数时, 除以3的余数为2,而 取偶数时, 除以3的余数为1,因此 取奇数时, 取偶数时, , 所以 , .则 , 即 , 设 , , 所以 , 所以 ,即 , 所以 . . . 故D错误. 故选:BC. 【点睛】关键点点睛:关于分奇偶列项法求和,主要是对通项做好裂项变形,拆分成合适的项进行消项, 如本题中 ,灵活性比较强.本题属于难题,考察基本数列、数列的基 本性质. 51.(2023·广东广州·统考三模)设定义在R上的函数 与 的导函数分别为 和 .若 , ,且 为奇函数,则( ). A. , B. C. D.【答案】AC 【分析】由 为奇函数,结合奇函数的性质判断A,由条件证明 为周期为 的函数,利用组合 求和法求 判断C,根据条件证明 ,由此判断BD. 【详解】对A,又∵ 为奇函数, 则 图像关于 对称,且 , 所以 ,A 正确; 对于C,∵ ,则 , 则 ,又 , 所以 , 令 ,可得 ,即 . 所以 ,又 所以 , 所以 , ∴ 的周期 ,所以 , 由 可得, , , , 所以 , , ∴ ,C正确;对B, ,则 是周期 的函数, ,B错误; 对D, , ,所以 , 所以 ,D错误. 故选:AC. 【点睛】知识点点睛:本题考查导数的运算,奇函数的性质,抽象函数周期性的证明,分组求和法等知识 点,属于综合题,考查逻辑推理和首项运算的核心素养. 52.(2023·安徽阜阳·安徽省临泉第一中学校考三模)数列 , , ,该 数列为著名的裴波那契数列,它是自然界的产物揭示了花瓣的数量、树木的分叉、植物种子的排列等植物 的生长规律,则下面结论正确的是( ) A. B. C.数列 为等比数列 D.数列 为等比数列 【答案】ABD 【分析】对于A,根据累加法得出结果;对于B,根据 , ,累加得出结果; 对于C、D,先假设等比数列公比为q,再结合 进行判断. 【详解】对于A,由 , ,…, ,两边相加并代入 得 ,故A正确; 对于B,因为 ,则 , 则. 故B正确; 对于C,假设 为公比为q等比数列, 故 ,即 , 所以 , ,矛盾,故C不成立. 对于D,假设 为公比为q的等比数列, 故 ,即 , 由已知得: , ,解得 ,所以D正确. 故选:ABD. 【点睛】关键点点睛:本题的关键是灵活利用数列的递推关系,将选项进行变形转化,由 , 转化 ,再结合累加得出结果.本题是一个偏难的题目,灵活性强,学生不容易把握. 53.(2023·广东茂名·统考二模)已知数列 和 满足: , , , , ,则下列结论错误的是( ) A.数列 是公比为 的等比数列 B.仅有有限项使得 C.数列 是递增数列 D.数列 是递减数列【答案】ABD 【分析】由题意 , ,将第二个式子乘以 后与第一和式子相加可得 ,令 ,解得 ,取 ,利用等比数列的定义和 通项公式对各选项依次判断即可. 【详解】由题意可知 , 第二个式子乘以 后与第一和式子相加可得 , 令 ,解得 , 取 可得 , 因为 , ,所以 , 所以 , 所以数列 是公比为 的等比数列,选项A说法错误; 因为 , ,所以 , 所以当 为正奇数时, ,即 , 当 为正偶数时, ,即 ,选项B说法错误; 由 , , , ,可知 , ,且数列 和 均为递增数列,而 , 所以数列 是递增数列,选项C说法正确; 因为 ,所以数列 是递增数列,选项D说法错误; 故选:ABD 54.(2023·湖南长沙·长郡中学校考模拟预测)已知函数 定义域为 ,满足 ,当 时, .若函数 的图象与函数 的图象的交点为 ,(其中 表示不超过 的最大整数),则( ) A. 是偶函数 B. C. D. 【答案】BCD 【分析】举例说明判断选项A;分析函数 与 的性质,作出部分函数图象,结合图象与性质推理、 计算判断选项B、C、D作答. 【详解】对于A,函数 ,显然 ,而 ,即 ,因 此 不是偶函数,故A错误; 函对于B,数 定义域为R,满足 ,当 时, , 当 时, , , 当 时, , , 当 时, , ,当 时, , , 因此当 时,函数 在 上递减, 在 上递增,当 时, 取得最大值 , 当 时, , , 当 时, , , 当 时, , , 因此当 时,函数 , 在同一坐标平面内作出函数 的部分图象,如图, 当 时,函数 的图象有唯一公共点 , 因为 ,因此 , ,而满足 的整数有 个,即 ,故B正确; 对于C,显然 , 所以 ,故C正确; 对于D, ,数列 是首项为 ,公比为 的等比数列,所以 ,故D正确. 故选:BCD. 【点睛】关键点睛:求两个分段函数的公共点的坐标,自变量属于哪一段区间,再代入该段的解析式求值 是关键. 55.(2023·辽宁沈阳·统考三模)已知等比数列 首项 ,公比为q,前n项和为 ,前n项积为 , 函数 ,若 ,则下列结论正确的是( ) A. 为单调递增的等差数列 B. C. 为单调递增的等比数列 D.使得 成立的n的最大值为6 【答案】BCD 【分析】首先求函数的导数,根据条件判断 ,先判断B;再结合等比数列的定义和等差数列的定 义判断AC;最后数列前 项积的定义判断D. 【详解】函数 , 则 , 因为 ,所以 , 由等比数列的性质可得 , 所以 ,所以 ,由 ,可得 ,故B正确; 因为等比数列 首项 ,公比为q,所以 , 则 ,故 为单调递减的等差数列,故A错误; 设 ,则 为常数, 因为 ,所以 , 单调递减, 所以 为单调递增的等比数列,故C正确; 因为 ,且 ,所以 , , 所以使得 成立的n的最大值为6,故D正确. 故选:BCD 56.(2023·湖南长沙·长郡中学校联考模拟预测)“ ”表示不大于x的最大整数,例如: , , .下列关于 的性质的叙述中,正确的是( ) A. B.若 ,则 C.若数列 中, , ,则D. 被3除余数为0 【答案】ACD 【分析】A选项,由题意得到 ,变形得到 ;B选项,举出反例即可;C选 项,求出 ,利用等差数列求和公式求出答案;D选项,分析得到 , 被3除余数为1,分组求和后得到 其被3除余数为 1011,而 ,故D正确. 【详解】对于A,由定义“ ”表示不大于x的最大整数可知, ,故 , 用 代换x,即得 ,故A正确. 对于B,不妨设 , ,满足 ,但此时 ,B错误. 对于C,由 ,可得 ,故 , 则 ,故C正确. 对于D,对任意自然数k, 与 均不是整数,且 , 则 . 当 时, ,即 被3除余数为1. 当 时, , , 则 被3除余数为1,, 由上述分析知其被3除余数为1011,而 ,即M能被3整除,故D正确. 故选:ACD. 【点睛】函数新定义问题的方法和技巧: (1)可通过举例子的方式,将抽象的定义转化为具体的简单的应用,从而加深对信息的理解; (2)可用自己的语言转述新信息所表达的内容,如果能清晰描述,那么说明对此信息理解的较为透彻; (3)发现新信息与所学知识的联系,并从描述中体会信息的本质特征与规律; (4)如果新信息是课本知识的推广,则要关注此信息与课本中概念的不同之处,以及什么情况下可以使 用书上的概念. 57.(2023·湖南郴州·统考模拟预测)已知正项数列 满足 ,则下列结论正确的 是( ) A.数列 中的最小项为 B.当 时, C.当 时, D.对任意 且 【答案】ABD 【分析】构造函数 ,判断函数的的单调性,得到 是最小的项,且当 时, ,即可 判断A,B;令 ,利用导数可得 在区间 内单调递减,从而判断C;根据 ,利用 , , , ,可得 ,判断D.【详解】令 ,由 ,得 , 又 ,则当 时, 单调递增; 当 时, 单调递减,且 , ∴当 时, ;当 时, , ∵ , ,∴ , ∴ 是最小的项,且当 时, ,所以A,B正确; 由B正确可知,当 时, , 所以令 , 则 , 又 , 所以 在区间 内单调递减,∴ , 又因为当 时, ,所以 ,即 , ,所以C错误; 因为当 时, 且 , 在区间 内单调递减,所以 , 因为 , ,所以 , 又因为 , ,所以 , 所以 ,所以D正确. 故选:ABD. 【点睛】关键点点睛:构造函数 , ,利用导数判断两个函 数的单调性,利用单调性求解是解题关键.58.(2022·海南·校联考模拟预测)对于无穷数列 ,给出如下三个性质:① ;② , ;③ , , ,定义:同时满足性质①和②的数列 为“s数列”,同时 满足性质①和③的数列 为“t数列”,则下列说法正确的是( ) A.若 ,则 为“s数列” B.若 ,则 为“t数列” C.若 为“s数列”,则 为“t数列” D.若等比数列 为“t数列”,则 为“s数列” 【答案】ABD 【分析】根据“s数列”和“t数列”的定义逐一对各选项分析判断即可. 【详解】对于A, , ,又 , 数列 为“s数列”,故A正确. 对于B, , ,又 , ,又 , 数列 为“t数列”, 故B正确. 对于C,若 , , 又 ,所以数列 为“s数列”,但 ,故C错误. 对于D,若等比数列 为“t数列”,则 , ,即 (公比为 ). (1)若公比 ,因为 ,所以 ,所以 ,所以 , 此时 因为 , , ,所以 , 即 ,所以 为“s数列”; (2)若公比 , 由 得 ,由性质③知 , ,即 , 所以 ,但此时 与性质③不符,所以 时 不是“t数列”. 综上,若等比数列 为“t数列”,则 为“s数列”,故D正确. 故选:ABD. 【点睛】关键点睛: 本题解题的关键是牢牢抓住数列 为“s数列”和数列 为“t数列”所满足的性质对各选项逐一进行 验证. 59.(2023·黑龙江哈尔滨·哈九中校考模拟预测)已知数列 为公差为 的等差数列, 为公比为 的 正项等比数列.记 , , , ,则( ) 参考公式: A.当 时, B.当 时, C. D. 【答案】BCD 【分析】根据等差数列、等比数列的性质及求和公式一一计算即可. 【详解】对于A项,由题意易得:当 时, , ,显然 时, ,故A错误; 对于B项,由题意易得: , 即 ,故B正确; 对于C项,由已知可得: , 所以 若 为偶数,则 , 当且仅当 时取得等号; 若 为奇数,则 , 当且仅当 时取得等号; 故C正确; 对于D项,由已知得: , 故 , 故裂项可得: ,所以 ,故D正确; 故选:BCD 【点睛】本题考察数列的综合,需要较高的计算能力与逻辑思维能力,属于压轴题. C项的关键在于化简得 ,再将 用基本不等式分类讨论求最值; D项的关键在于利用条件化简得 ,再用裂项相消求和判定不等式. 60.(2023·全国·校联考模拟预测)麦克斯韦妖(Maxwell's demon),是在物理学中假想的妖,能探测 并控制单个分子的运动,于1871年由英国物理学家詹姆斯·麦克斯韦为了说明违反热力学第二定律的可能 性而设想的.当时麦克斯韦意识到自然界存在着与熵增加相拮抗的能量控制机制.但他无法清晰地说明这 种机制.他只能诙谐地假定一种“妖”,能够按照某种秩序和规则把作随机热运动的微粒分配到一定的相 格里.麦克斯韦妖是耗散结构的一个雏形.可以简单的这样描述,一个绝热容器被分成相等的两格,中间 是由“妖”控制的一扇小“门”,容器中的空气分子作无规则热运动时会向门上撞击,“门”可以选择性 的将速度较快的分子放入一格,而较慢的分子放入另一格,这样,其中的一格就会比另外一格温度高,可 以利用此温差,驱动热机做功.这是第二类永动机的一个范例.而直到信息熵的发现后才推翻了麦克斯韦 妖理论.设随机变量X所有取值为1,2,…n,且 ( ,2,…n) ,定义X的信 息熵 ,则下列说法正确的有( ) A.n=1时 B.n=2时,若 ,则 与 正相关 C.若 , , D.若n=2m,随机变量y的所有可能取值为1,2,…,m,且 (j=1,2,…,m)则 【答案】ABD【分析】求出 判断出A;分析 对于 的单调性判断B;利用数列求和求出 判断C;计算出 ,利用基本不等式和对数函数的性质判断D作答. 【详解】对于A,若 ,则 ,因此 ,A正确; 对于B,当n=2时, , , 令 ,则 , 即函数 在 上单调递增,所以 与 正相关,B正确; 对于C, , ,则 , ,而 , 于是 ,令 , 则 ,两式相减得 ,因此 , ,C 错误; 对于D,若 ,随机变量 的所有可能的取值为 ,且 ( ), , ,由于 ,即有 ,则 , 因此 ,所以 ,即 成立,D正确. 故选:ABD 【点睛】思路点睛:错位相减求和.一般地,如果数列{an}是等差数列,{bn}是等比数列,求数列{an·bn} 的前n项和时,可采用错位相减法求和,一般是和式两边同乘以等比数列{bn}的公比,然后作差求解.