当前位置:首页>文档>三角函数与解三角形——2025届高考数学二轮复习易错重难提升新高考版(含解析)_02高考数学_2025年新高考资料_二轮复习

三角函数与解三角形——2025届高考数学二轮复习易错重难提升新高考版(含解析)_02高考数学_2025年新高考资料_二轮复习

  • 2026-04-07 07:05:42 2026-04-07 06:39:39

文档预览

三角函数与解三角形——2025届高考数学二轮复习易错重难提升新高考版(含解析)_02高考数学_2025年新高考资料_二轮复习
三角函数与解三角形——2025届高考数学二轮复习易错重难提升新高考版(含解析)_02高考数学_2025年新高考资料_二轮复习
三角函数与解三角形——2025届高考数学二轮复习易错重难提升新高考版(含解析)_02高考数学_2025年新高考资料_二轮复习
三角函数与解三角形——2025届高考数学二轮复习易错重难提升新高考版(含解析)_02高考数学_2025年新高考资料_二轮复习
三角函数与解三角形——2025届高考数学二轮复习易错重难提升新高考版(含解析)_02高考数学_2025年新高考资料_二轮复习
三角函数与解三角形——2025届高考数学二轮复习易错重难提升新高考版(含解析)_02高考数学_2025年新高考资料_二轮复习
三角函数与解三角形——2025届高考数学二轮复习易错重难提升新高考版(含解析)_02高考数学_2025年新高考资料_二轮复习
三角函数与解三角形——2025届高考数学二轮复习易错重难提升新高考版(含解析)_02高考数学_2025年新高考资料_二轮复习
三角函数与解三角形——2025届高考数学二轮复习易错重难提升新高考版(含解析)_02高考数学_2025年新高考资料_二轮复习
三角函数与解三角形——2025届高考数学二轮复习易错重难提升新高考版(含解析)_02高考数学_2025年新高考资料_二轮复习
三角函数与解三角形——2025届高考数学二轮复习易错重难提升新高考版(含解析)_02高考数学_2025年新高考资料_二轮复习
三角函数与解三角形——2025届高考数学二轮复习易错重难提升新高考版(含解析)_02高考数学_2025年新高考资料_二轮复习
三角函数与解三角形——2025届高考数学二轮复习易错重难提升新高考版(含解析)_02高考数学_2025年新高考资料_二轮复习
三角函数与解三角形——2025届高考数学二轮复习易错重难提升新高考版(含解析)_02高考数学_2025年新高考资料_二轮复习
三角函数与解三角形——2025届高考数学二轮复习易错重难提升新高考版(含解析)_02高考数学_2025年新高考资料_二轮复习
三角函数与解三角形——2025届高考数学二轮复习易错重难提升新高考版(含解析)_02高考数学_2025年新高考资料_二轮复习
三角函数与解三角形——2025届高考数学二轮复习易错重难提升新高考版(含解析)_02高考数学_2025年新高考资料_二轮复习
三角函数与解三角形——2025届高考数学二轮复习易错重难提升新高考版(含解析)_02高考数学_2025年新高考资料_二轮复习
三角函数与解三角形——2025届高考数学二轮复习易错重难提升新高考版(含解析)_02高考数学_2025年新高考资料_二轮复习
三角函数与解三角形——2025届高考数学二轮复习易错重难提升新高考版(含解析)_02高考数学_2025年新高考资料_二轮复习
三角函数与解三角形——2025届高考数学二轮复习易错重难提升新高考版(含解析)_02高考数学_2025年新高考资料_二轮复习

文档信息

文档格式
docx
文档大小
0.918 MB
文档页数
17 页
上传时间
2026-04-07 06:39:39

文档内容

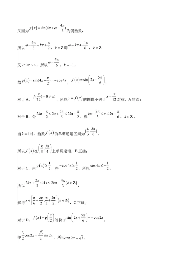
(3)三角函数与解三角形 ——2025 届高考数学二轮复习易错重难提升【新高考版】 易混重难知识 1.同角三角函数的基本关系式 (1)平方关系: . (2)商数关系: . 2.两角和与差的正弦、余弦、正切公式 (1) ; (2) ; (3) . 3.二倍角的正弦、余弦、正切公式 (1) ; (2) ; (3) . 4.辅助角公式 ,其中 . 5.三角函数的单调性 (1)求函数的单调区间应遵循简单化原则,将解析式进行化简,并注意复合函数单调性规律 “同增异减”. (2)求形如 或 (其中 )的单调区间时,要视“ ”为一个整体,通过解不等式求解.但如果 ,那么一定先借助诱导公式将 化为 正数.(3)已知三角函数的单调区间求参数,先求出函数的单调区间,然后利用集合间的关系求解. 6.三角函数的奇偶性 对于 ,若为奇函数,则 ;若为偶函数,则 .对于 ,若为奇函数,则 ;若为偶函数,则 .对于 ,若为奇函数,则 . 7.三角函数的周期性 求三角函数的最小正周期,一般先通过恒等变换化为 或 或 ( 为常数, )的形式,再应用公式 (正弦、余弦 型)或 (正切型)求解. 8.三角函数的对称性 函数 ( 为常数, )图象的对称轴一定经过图象的最高 点或最低点,对称中心的横坐标一定是函数的零点,因此在判断直线 或点 是不是 函数图象的对称轴或对称中心时,可通过检验 的值进行. 9.正弦定理:在 中,角 的对边分别为 ,则 . 10.正弦定理的常见变形:(1) (边角互化). (2) .其中, 为 外接圆的半径. (3) (边化角). (4) (角化边). 11.余弦定理:在 中,角 的对边分别为 ,则 , , . 12.余弦定理的推论: , , . 13.三角形的面积公式 ( 为 外接圆的半径). 易错试题提升 1.已知 ,则 的值为( ) A. B. C. D. 2.在 中,内角A,B,C的对边分别是a,b,c,若 ,且 ,则 ( )A. B. C. D. 3.扇面书画在中国传统绘画中由来已久.最早关于扇面书画的文献记载,是《王羲之书六角 扇》.扇面书画发展到明清时期,折扇开始逐渐的成为主流如图,该折扇扇面画的外弧长为 24,内弧长为10,且该扇面所在扇形的圆心角约为 ,则该扇面画的面积约为( )( ) A.185 B.180 C.119 D.120 4.将函数 的图象向左平移 个单位长度后得到函数 的图象,若 在 上单调递增,则 的最大值为( ) A. B. C. D.1 5.如图,A是轮子外边沿上的一点,轮子半径为 .若轮子从图中位置向右无滑动滚动,则 当滚动的水平距离为 时,下列描述正确的是(参考数据: )( ) A.点A在轮子的左下位置,距离地面约为B.点A在轮子的右下位置,距离地面约为 C.点A在轮子的左下位置,距离地面约为 D.点A在轮子的右下位置,距离地面约为 6.已知函数 的部分图象如图所示,将 的图象向 右平移 个单位长度,纵坐标不变,横坐标缩短为原来的 倍,得到函数 的图 象,若 在 上恰有3个零点,则a的取值范围是( ) A. B. C. D. 7.已知函数 ,若任意 , 在 上有零点,则 的取值 范围为( ) A. B. C. D. 8.已知函数 ,其中 .若 在区间 上单调递增,则 的 取值范围是( )A. B. C. D. 9.(多选) 的内角A,B,C的对边分别为a,b,c,且 , ,若边BC的中线 ,则下列结论正确的有( ) A. B. C. D. 的面积为 10.(多选)已知函数 ( , ),将 的图像上所有点 向右平移 个单位长度,然后横坐标缩短为原来的 倍,纵坐标不变,得到函数 的 图像.若 为偶函数,且最小正周期为 ,则下列说法正确的是( ) A. 的图像关于 对称 B. 在 上单调递增 C. 的解集为 D.方程 在 上有3个解 11.已知 ,则 _____________.12.位于河北省承德避暑山庄西南十公里处 的双塔山,因1300多年以前,契丹人在双塔峰顶建 造的两座古塔增添了诸多神秘色彩.双塔山无法攀登,现准备测量两峰峰顶处的两塔塔尖的距 离.如图,在与两座山峰,山脚同一水平面处选一点A,从A处看塔尖C的仰角是 ,看塔 尖B的仰角是 ,又测量得 ,若塔尖B到山脚底部D的距离为 米,塔尖 C到山脚底部E的距离为 米,则两塔塔尖之间的距离为________米. 13.已知 ,关于该函数有下列四个说法: ① 的最小正周期为 ; ② 在 上单调递增; ③当 时, 的取值范围为 ; ④ 的图象可由 的图象向左平移 个单位长度得到. 以上四个说法中,正确的有为_________. 14.已知 的角A,B,C的对边分别为a,b,c,且 . (1)求A;(2)若 的面积为 , ,点D为边BC的中点,求AD的长. 15.如图,在平面四边形ABCD中, , , . (1)当 , 时,求 的面积; (2)当 , 时,求 .答案以及解析 1.答案:D 解析: , 故选:D. 2.答案:C 解析:由题意结合正弦定理可得 ,即 sin AcosBsinBcosAsin(AB)sin AcosBsinBcosA ,整理可得 ,由于 B(0,π) ,故 ,据此可得 , ,则 .故选C. 3.答案:C 解析:设外弧长为 ,外弧半径为 ,内弧长为 ,内弧半径为 ,该扇面所在扇形的圆心角 为 , 扇形的弧长为 , , , 扇形的面积为 , 该扇面画的面积为 ,故选:C. 4.答案:C 解析:将 的图象向左平移 个单位长度后得到 的图象. 因为 ,所以 . 因为 在 上单调递增,所以 ,得 ,所以 的最大值为 . 5.答案:A解析:已知轮子的半径 ,轮子滚动一周的水平距离为 ,又 , , ,又 (周), ,故A在轮子的左下位 置. 可得轮子距地面距离 . 点A在轮子的左下位置,距离地面约为 .故选A. 6.答案:C 解析: 的最小正周期为T,由题图可得 , ,所以 , , ,得 , ,又 ,所以 , 所以 .将 的图象向右平移 个单位长度后得到 的图 象,再将 的图象上所有点的横坐标缩短为原来的 倍,得到 的图象, 故 .当 时, , 因为 在 上恰有3个零点,所以 ,得 ,故选:C. 7.答案:C 解析:由 ,可得 ,令 ,因为任意 , 在 上有零点, 则 在 上有解, 又因为 在 内有解的最短区间长度为 , 所以 ,解得 .故选:C. 8.答案:A 解析:由题意得,函数 的增区间为 ,且 , 解得 . 由题意可知: . 于是 ,解得 . 又 ,于是 .故选:A. 9.答案:ACD 解析:根据正弦定理,由,因为 ,所以 ,因此 .因为 ,所以 ,因此选项 A正确,选项B不正确; 因为 是中线,所以 . 或 (舍去).因此 ,所以选项C正确; 的面积为 ,所以选项D正确,故选ACD. 10.答案:BCD 解析:将函数 的图像上所有点向右平移 个单位长度, 得到 , 然后横坐标缩短为原来的 倍,纵坐标不变, 得到 , 若 最小正周期为 ,则有 ,得 ,又因为 为偶函数, 所以 , 即 , 又 ,所以 , , 故 , , 对于A, ,所以 的图像不关于 对称,A错误; 对于B,令 ,得 , , 当 时,函数 的单调递增区间为 , 所以 在 上单调递增,B正确; 对于C,由 ,得 ,所以 , 所以 , 解得 ,C正确; 对于D, 等价于 , 即 ,所以 ,所以 ,即 , 又 ,故当 ,1,2时,可得 , , . 即方程 在 上有3个解,D正确. 故选:BCD. 11.答案: 解析:因为 ,所以 , 所以 .故答案为: . 12.答案: 解析:在 中, 米, ,则 米. 同理,在 中, 米, 在 中, 米, 米, , 由余弦定理,得 米. 故答案为: .13.答案:② 解析:因为 ,所以 的最小正周期为 ,故①不正确; 因为 ,令 ,而 在 上递增, 所以 在 上单调递增,故②正确; 因为 ,所以 , , 所以 ,故③不正确; 由于 , 所以 的图象可由 的图象向右平移 个单位长度得到,故④不正确. 故答案为:②. 14.答案:(1)见解析 (2)见解析 解析:(1)因为 , 所以由正弦定理可得 ,即 . 由余弦定理可得 ,又 ,所以 . (2)因为 , 所以 ,即 , 又 ,则 ,所以 ,所以 . 所以 ,所以 .在 中,由余弦定理可得 ,即 . 3 14 15.答案:(1)4 3 (2) 3 BC  2 △ABC 解析:(1)当 时,在 中,由余弦定理得 AC2  AB2 BC2 2ABBCcosABC , 3 AC2 32 2cos 5 即 4 ,解得AC  5, , 因为 ,则 ,又 , 所以 的面积是 . (2)在 中,由正弦定理得 ,即 ,在 中,由正弦定理得 ,即 , 则 ,整理得 ,而 , 为锐角, 所以 .