当前位置:首页>文档>高考仿真重难点训练01一元二次函数、方程和不等式(解析版)_2025年新高考资料_一轮复习_2025年高考数学一轮复习《重难点题型与知识梳理•高分突破》(新高考专用)

高考仿真重难点训练01一元二次函数、方程和不等式(解析版)_2025年新高考资料_一轮复习_2025年高考数学一轮复习《重难点题型与知识梳理•高分突破》(新高考专用)

  • 2026-04-21 12:08:14 2026-04-21 12:08:14

文档预览

高考仿真重难点训练01一元二次函数、方程和不等式(解析版)_2025年新高考资料_一轮复习_2025年高考数学一轮复习《重难点题型与知识梳理•高分突破》(新高考专用)
高考仿真重难点训练01一元二次函数、方程和不等式(解析版)_2025年新高考资料_一轮复习_2025年高考数学一轮复习《重难点题型与知识梳理•高分突破》(新高考专用)
高考仿真重难点训练01一元二次函数、方程和不等式(解析版)_2025年新高考资料_一轮复习_2025年高考数学一轮复习《重难点题型与知识梳理•高分突破》(新高考专用)
高考仿真重难点训练01一元二次函数、方程和不等式(解析版)_2025年新高考资料_一轮复习_2025年高考数学一轮复习《重难点题型与知识梳理•高分突破》(新高考专用)
高考仿真重难点训练01一元二次函数、方程和不等式(解析版)_2025年新高考资料_一轮复习_2025年高考数学一轮复习《重难点题型与知识梳理•高分突破》(新高考专用)
高考仿真重难点训练01一元二次函数、方程和不等式(解析版)_2025年新高考资料_一轮复习_2025年高考数学一轮复习《重难点题型与知识梳理•高分突破》(新高考专用)
高考仿真重难点训练01一元二次函数、方程和不等式(解析版)_2025年新高考资料_一轮复习_2025年高考数学一轮复习《重难点题型与知识梳理•高分突破》(新高考专用)
高考仿真重难点训练01一元二次函数、方程和不等式(解析版)_2025年新高考资料_一轮复习_2025年高考数学一轮复习《重难点题型与知识梳理•高分突破》(新高考专用)
高考仿真重难点训练01一元二次函数、方程和不等式(解析版)_2025年新高考资料_一轮复习_2025年高考数学一轮复习《重难点题型与知识梳理•高分突破》(新高考专用)
高考仿真重难点训练01一元二次函数、方程和不等式(解析版)_2025年新高考资料_一轮复习_2025年高考数学一轮复习《重难点题型与知识梳理•高分突破》(新高考专用)
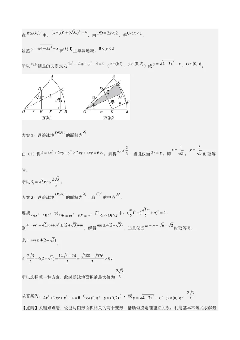
高考仿真重难点训练01一元二次函数、方程和不等式(解析版)_2025年新高考资料_一轮复习_2025年高考数学一轮复习《重难点题型与知识梳理•高分突破》(新高考专用)
高考仿真重难点训练01一元二次函数、方程和不等式(解析版)_2025年新高考资料_一轮复习_2025年高考数学一轮复习《重难点题型与知识梳理•高分突破》(新高考专用)
高考仿真重难点训练01一元二次函数、方程和不等式(解析版)_2025年新高考资料_一轮复习_2025年高考数学一轮复习《重难点题型与知识梳理•高分突破》(新高考专用)
高考仿真重难点训练01一元二次函数、方程和不等式(解析版)_2025年新高考资料_一轮复习_2025年高考数学一轮复习《重难点题型与知识梳理•高分突破》(新高考专用)
高考仿真重难点训练01一元二次函数、方程和不等式(解析版)_2025年新高考资料_一轮复习_2025年高考数学一轮复习《重难点题型与知识梳理•高分突破》(新高考专用)
高考仿真重难点训练01一元二次函数、方程和不等式(解析版)_2025年新高考资料_一轮复习_2025年高考数学一轮复习《重难点题型与知识梳理•高分突破》(新高考专用)
高考仿真重难点训练01一元二次函数、方程和不等式(解析版)_2025年新高考资料_一轮复习_2025年高考数学一轮复习《重难点题型与知识梳理•高分突破》(新高考专用)
高考仿真重难点训练01一元二次函数、方程和不等式(解析版)_2025年新高考资料_一轮复习_2025年高考数学一轮复习《重难点题型与知识梳理•高分突破》(新高考专用)
高考仿真重难点训练01一元二次函数、方程和不等式(解析版)_2025年新高考资料_一轮复习_2025年高考数学一轮复习《重难点题型与知识梳理•高分突破》(新高考专用)

文档信息

文档格式
docx
文档大小
0.767 MB
文档页数
15 页
上传时间
2026-04-21 12:08:14

文档内容

高考仿真重难点训练01 一元二次函数、方程和不等式 一、选择题 1.已知 为实数,则下列命题成立的是( ) A.若 ,则 B.若 ,则 C.若 ,则 D.若 ,则 【答案】C 【分析】根据不等式性质对选项逐一判断即可得出结论. 【解析】对于A,若 ,当 时,不满足 ,即A错误; 对于B,若 ,则 ,所以B错误; 对于C,若 ,可知 ,不等式两边同时除以 ,即 ,可得 ,即C正确; 对于D,若 ,不妨取 ,则 ,可得D错误; 故选:C 2.如果 ,那么下列不等式正确的是( ) A. B. C. D. 【答案】B 【分析】根据已知条件利用基本不等式直接得出 ,再结合 可得出结果. 【解析】由已知 ,利用基本不等式得出 , 因为 ,则 , , 所以 , ,∴ . 故选:B 3.一元二次不等式 的解为 ,那么 的解集为( ) A. B. C. D. 【答案】D 【分析】根据题意得出a、b、c的关系,代入新的一元二次不等式求解即可. 【解析】一元二次不等式 的解为 , 所以 的解为 ,且 , 由韦达定理得 ,代入得 , 故选:D. 4.若 , ,则 的元素个数为( ) A.0 B.1 C.2 D.3 【答案】C 【分析】分别确定集合 ,再求交集. 【解析】根据题意,可得集合 或 , , 则 ,所以 的元素个数为2个. 故选:C5.若 ,则 的最小值是( ) A.1 B.4 C. D. 【答案】D 【分析】根据基本不等式及“1”的妙用计算即可. 【解析】因为 ,所以 , 则 , 当且仅当 ,即 时,等号成立,取得最小值 , 故选:D. 6.已知 ,若 ,则m的取值范围是( ) A. B. C. 或 D. 或 【答案】A 【分析】将 代入 ,然后转化为一元二次不等式求解可得. 【解析】因为 ,所以 ,等价于 , 解得 . 故选:A 7.已知某商品近期价格起伏较大,假设第一周和第二周的该商品的单价分别为m元和n元 ,甲、 乙两人购买该商品的方式不同,甲每周购买100元的该商品,乙每周购买20件该商品,若甲、乙两次购买 平均单价分别为 ,则( ) A. B. C. D. 的大小无法确定 【答案】B【分析】由题意求出 的表达式,利用基本不等式,比较大小,即得答案. 【解析】由题意得 , , 因为 ,故 , , 即 , 故选:B 8.已知正实数a,b,则“ ”是“ ”的( )条件 A.充分不必要 B.必要不充分 C.充分必要 D.既不充分也不必要 【答案】B 【分析】由充分条件和必要条件的定义结合基本不等式求解即可. 【解析】取 ,满足 ,但 , 故“ ”推不出“ ”, 因为 ,当且仅当“ ”时取等, 当 时, , 所以 ,即 ,因为 , 所以 ,所以 能推出 . 故“ ”是“ ”的必要不充分条件. 故选:B. 二、多选题 9.已知命题 :关于 的不等式 的解集为R,那么命题 的一个必要不充分条件是( ) A. B. C. D.【答案】CD 【分析】求出命题p成立时a的取值范围,再根据必要不充分条件的定义判断即可. 【解析】命题p:关于x的不等式 的解集为R, 则 ,解得 又  ,  , 故选:CD. 10.已知正实数 满足 ,则( ) A. 的最小值为6 B. 的最小值为3 C. 的最小值为 D. 的最小值为8 【答案】AC 【分析】利用基本不等式,结合一元二次不等式解法判断AB;由 的范围结合单调性判断C;变形给定等 式,利用基本不等式求解判断D. 【解析】正实数 满足 , 对于A, ,则 ,即 , 解得 ,当且仅当 时取等号,所以 的最小值为6,A正确; 对于B, ,则 ,解得 ,即 , 当且仅当 时取等号,所以 的最小值为9,B错误; 对于C,由选项B知, , , 所以当 时, 取得最小值 ,C正确; 对于D,由 ,得 ,而 ,则 , ,当且仅当 时取等号,由 ,解得 ,所以当 时, 取得最小值 ,D错误. 故选:AC 【点睛】方法点睛:在运用基本不等式时,要特别注意“拆”、“拼”、“凑”等技巧,使用其满足基本 不等式的“一正”、“二定”、“三相等”的条件. 11.已知正实数 , , ,且 , , , 为自然数,则满足 恒成立的 , , 可以是( ) A. , , B. , , C. , , D. , , 【答案】BC 【分析】利用基本不等式“1”的妙用得到 ,进而得到只需 即可, 再依次判断四个选项即可. 【解析】要满足 ,只需满足 , 其中正实数 , , ,且 , , , 为正数, ,当且仅当 ,即 时,等号成立, 观察各选项,故只需 ,故只需 即可, A选项, , , 时, ,A错误; B选项, , , 时, ,B正确; C选项, , , 时, ,C正确; D选项, , , 时, ,D错误. 故选:BC. 三、填空题 12.已知集合 ,若 且 ,则实数 的取值范围是 . 【答案】 【分析】根据已知条件,利用分式不等式求解集合 ,结合集合交集、并集的定义,即可求解. 【解析】由 得: , 所以 , 因为 且 , 所以 . 故答案为: . 13.已知函数 的值域为 ,若关于 的不等式 的解集为 ,则实数 的值为 .【答案】 【解析】由题意得 ,由 得 ,因此 14.某希望小学的操场空地的形状是一个扇形 ,计划在空地上挖一个内接于扇形的矩形沙坑(如图所 示),有如下两个方案可供选择.经测量, , .在方案1中,若设 , ,则 , 满足的关系式为 ,比较两种方案,沙坑面积最大值为 . 【答案】 (其中 , ),或 , / 【分析】(1)连接 ,在 中应用勾股定理找到关系式,注意取值范围; (2)由(1)及基本不等式求得 ,结合三角形面积公式求方案一的最大值;再连接 , ,设 , ,在 中应用勾股定理得 ,结合基本不等式、三角形面积公式 求方案二最大值,比较大小即可. 【解析】连接 ,由 , , , ,得 ,在 中, ,由 ,得 , 显然 在 上单调递减, 所以 满足的关系式为 ( , )或 , ; 方案1:设游泳池 的面积为 , 由(1)得 ,解得 ,当且仅当 ,即 , 时取等 号, 所以 ; 方案2:设游泳池 的面积为 ,取 的中点 , 连接 , ,设 , ,在 中, , 则 ,解得 ,当且仅当 时取等号, , 而 , 所以选择第一种方案,此时游泳池面积的最大值为 . 故答案为: ( , ),或 , ; 【点睛】关键点点睛:设出与图形面积相关的两个变形,借助勾股定理建立关系,利用基本不等式求解最值是解决问题的关键. 四、解答题 15.已知集合 ,集合 . (1)当 时,求 ; (2)若“ ”是“ ”的充分条件,求正实数 的取值范围. 【答案】(1) (2) 【分析】(1)先解一元二次不等式,求出集合 ,再将 代入求出集合 ,求 即可; (2)由“ ”是“ ”的充分条件,可得集合 是集合 的子集,即可求得 的取值范围 【解析】(1)解一元二次不等式得: 当 时,集合 , 所以 , (2)由已知“ ”是“ ”的充分条件,可得集合 是集合 的子集, , , 而 ,且集合 是集合 的子集, 所以 ,解得 ; 综上 . 16.已知关于 不等式 的解集为 或 . (1)求 值; (2)当 ,且满足 时,求 的最小值.【答案】(1) (2) 【分析】(1)根据题意,得到 和 是方程 的两个实数根,结合韦达定理列出方程组,即可 求解; (2)由(1)得到 ,化简 ,结合基本不等式,即可 求解. 【解析】(1)解:因为不等式 的解集为 或 , 可得 和 是方程 的两个实数根,且 , 则 ,解得 . (2)解:由(1)知 ,可得 , 因为 ,所以 , 当且仅当 时,即 时,等号成立, 所以 的最小值为 . 17.已知二次函数 ( , 为实数) (1)若函数图象过点 ,对 , 恒成立,求实数 的取值范围; (2)若函数图象过点 ,对 , 恒成立,求实数 的取值范围; 【答案】(1)(2) 【分析】(1)由已知可得 ,由 , 恒成立列出不等式求解即得. (2)由 对 恒成立,结合一次函数的性质求出答案即可. 【解析】(1)依题意, ,即 , 由 , 恒成立,得 , 即 ,整理得 , 解得 . 所以实数 的取值范围是 . (2)由(1)知, , 由 ,得 ,即 , 依题意, 对 恒成立, 令 , 则对 , 恒成立,于是 , 解得 , 所以实数 的取值范围是 . 18.某服装厂拟在2022年举行促销活动,经调查测算,该产品的年销售量(即该厂的年产量)m万件与年促销费用x(0≤x≤10)万元满足 .已知2022年生产该产品的固定投入为8万元,每生产1万件 该产品需要再投入16万元,厂家将每件产品的促销价格定为每件产品年平均成本的2倍(产品成本包括固 定投入和再投入两部分资金,不包括促销费用). (1)将2022年该产品的利润y元表示为年促销费用x万元的函数; (2)该服装厂2022年的促销费用投入多少万元时,利润最大? 【答案】(1) ; (2)投入 万元时,利润最大. 【分析】(1)根据题意,结合已知条件,列出函数关系即可; (2)对函数解析式进行配凑,运用基本不等式,即可求得利润的最大值. 【解析】(1)由题意知:每件产品的销售价格为 , ,即 ; (2)由 , 当且仅当 ,即 时取等号. 故该服装厂 年的促销费用投入 万元时,利润最大. 19.对在直角坐标系的第一象限内的任意两点作如下定义:若 ,那么称点 是点 的“上位 点”,同时点 是点 的“下位点”. (1)试写出点 的一个“上位点”坐标和一个“下位点”坐标; (2)已知点 是点 的“上位点”,判断点 是否是点 的“下位点”,证明你的结论; (3)设正整数 满足以下条件:对集合 内的任意元素 ,总存在正整数 ,使得 点 既是点 的“下位点”,又是点 的“上位点”,求满足要求的一个正整数 的 值,并说明理由 【答案】(1)“上位点” ,“下位点” (答案不唯一) (2)“下位点”,证明见解析 (3) ,理由见解析 【分析】(1)由定义即可得所求点的坐标. (2)先由点 是点 的“上位点”得 ,作差化简得 ,结合所得结论、定义,利用 作差法即可判断出点 是否是点 的“下位点”. (3)依题意可得 ,从而得到 ,即可得解. 【解析】(1)因为 , 根据题设中的定义可得点 的一个 “上位点坐标”和一个“下位点”坐标分别为 和 , 即“上位点” ,“下位点” (答案不唯一); (2)点 是点 的“下位点”. 证明: 点 是点 的“上位点”, , 又 均大于 ,, , ,即 , 所以点 是点 的“下位点”. (3)若点 既是点 的“下位点”,又是点 的“上位点”; 即 ; 所以对任意的 都有 , , 所以当 时,对任意的 存在 , 使得点 既是点 的“下位点”,又是点 的“上位点”. 【点睛】关键点点睛:理解并运用“上位点”和“下位点”的定义是解题的关键.