当前位置:首页>文档>第02讲幂函数与二次函数(教师版)_2025年新高考资料_一轮复习_备战2025年高考数学一轮复习考点帮_备战2025年高考数学一轮复习考点帮(新高考通用)(完结)_第二部分专项讲义

第02讲幂函数与二次函数(教师版)_2025年新高考资料_一轮复习_备战2025年高考数学一轮复习考点帮_备战2025年高考数学一轮复习考点帮(新高考通用)(完结)_第二部分专项讲义

  • 2026-04-16 05:55:20 2026-04-16 05:12:21

文档预览

第02讲幂函数与二次函数(教师版)_2025年新高考资料_一轮复习_备战2025年高考数学一轮复习考点帮_备战2025年高考数学一轮复习考点帮(新高考通用)(完结)_第二部分专项讲义
第02讲幂函数与二次函数(教师版)_2025年新高考资料_一轮复习_备战2025年高考数学一轮复习考点帮_备战2025年高考数学一轮复习考点帮(新高考通用)(完结)_第二部分专项讲义
第02讲幂函数与二次函数(教师版)_2025年新高考资料_一轮复习_备战2025年高考数学一轮复习考点帮_备战2025年高考数学一轮复习考点帮(新高考通用)(完结)_第二部分专项讲义
第02讲幂函数与二次函数(教师版)_2025年新高考资料_一轮复习_备战2025年高考数学一轮复习考点帮_备战2025年高考数学一轮复习考点帮(新高考通用)(完结)_第二部分专项讲义
第02讲幂函数与二次函数(教师版)_2025年新高考资料_一轮复习_备战2025年高考数学一轮复习考点帮_备战2025年高考数学一轮复习考点帮(新高考通用)(完结)_第二部分专项讲义
第02讲幂函数与二次函数(教师版)_2025年新高考资料_一轮复习_备战2025年高考数学一轮复习考点帮_备战2025年高考数学一轮复习考点帮(新高考通用)(完结)_第二部分专项讲义
第02讲幂函数与二次函数(教师版)_2025年新高考资料_一轮复习_备战2025年高考数学一轮复习考点帮_备战2025年高考数学一轮复习考点帮(新高考通用)(完结)_第二部分专项讲义
第02讲幂函数与二次函数(教师版)_2025年新高考资料_一轮复习_备战2025年高考数学一轮复习考点帮_备战2025年高考数学一轮复习考点帮(新高考通用)(完结)_第二部分专项讲义
第02讲幂函数与二次函数(教师版)_2025年新高考资料_一轮复习_备战2025年高考数学一轮复习考点帮_备战2025年高考数学一轮复习考点帮(新高考通用)(完结)_第二部分专项讲义
第02讲幂函数与二次函数(教师版)_2025年新高考资料_一轮复习_备战2025年高考数学一轮复习考点帮_备战2025年高考数学一轮复习考点帮(新高考通用)(完结)_第二部分专项讲义
第02讲幂函数与二次函数(教师版)_2025年新高考资料_一轮复习_备战2025年高考数学一轮复习考点帮_备战2025年高考数学一轮复习考点帮(新高考通用)(完结)_第二部分专项讲义
第02讲幂函数与二次函数(教师版)_2025年新高考资料_一轮复习_备战2025年高考数学一轮复习考点帮_备战2025年高考数学一轮复习考点帮(新高考通用)(完结)_第二部分专项讲义
第02讲幂函数与二次函数(教师版)_2025年新高考资料_一轮复习_备战2025年高考数学一轮复习考点帮_备战2025年高考数学一轮复习考点帮(新高考通用)(完结)_第二部分专项讲义
第02讲幂函数与二次函数(教师版)_2025年新高考资料_一轮复习_备战2025年高考数学一轮复习考点帮_备战2025年高考数学一轮复习考点帮(新高考通用)(完结)_第二部分专项讲义
第02讲幂函数与二次函数(教师版)_2025年新高考资料_一轮复习_备战2025年高考数学一轮复习考点帮_备战2025年高考数学一轮复习考点帮(新高考通用)(完结)_第二部分专项讲义
第02讲幂函数与二次函数(教师版)_2025年新高考资料_一轮复习_备战2025年高考数学一轮复习考点帮_备战2025年高考数学一轮复习考点帮(新高考通用)(完结)_第二部分专项讲义
第02讲幂函数与二次函数(教师版)_2025年新高考资料_一轮复习_备战2025年高考数学一轮复习考点帮_备战2025年高考数学一轮复习考点帮(新高考通用)(完结)_第二部分专项讲义
第02讲幂函数与二次函数(教师版)_2025年新高考资料_一轮复习_备战2025年高考数学一轮复习考点帮_备战2025年高考数学一轮复习考点帮(新高考通用)(完结)_第二部分专项讲义
第02讲幂函数与二次函数(教师版)_2025年新高考资料_一轮复习_备战2025年高考数学一轮复习考点帮_备战2025年高考数学一轮复习考点帮(新高考通用)(完结)_第二部分专项讲义
第02讲幂函数与二次函数(教师版)_2025年新高考资料_一轮复习_备战2025年高考数学一轮复习考点帮_备战2025年高考数学一轮复习考点帮(新高考通用)(完结)_第二部分专项讲义
第02讲幂函数与二次函数(教师版)_2025年新高考资料_一轮复习_备战2025年高考数学一轮复习考点帮_备战2025年高考数学一轮复习考点帮(新高考通用)(完结)_第二部分专项讲义
第02讲幂函数与二次函数(教师版)_2025年新高考资料_一轮复习_备战2025年高考数学一轮复习考点帮_备战2025年高考数学一轮复习考点帮(新高考通用)(完结)_第二部分专项讲义
第02讲幂函数与二次函数(教师版)_2025年新高考资料_一轮复习_备战2025年高考数学一轮复习考点帮_备战2025年高考数学一轮复习考点帮(新高考通用)(完结)_第二部分专项讲义
第02讲幂函数与二次函数(教师版)_2025年新高考资料_一轮复习_备战2025年高考数学一轮复习考点帮_备战2025年高考数学一轮复习考点帮(新高考通用)(完结)_第二部分专项讲义
第02讲幂函数与二次函数(教师版)_2025年新高考资料_一轮复习_备战2025年高考数学一轮复习考点帮_备战2025年高考数学一轮复习考点帮(新高考通用)(完结)_第二部分专项讲义
第02讲幂函数与二次函数(教师版)_2025年新高考资料_一轮复习_备战2025年高考数学一轮复习考点帮_备战2025年高考数学一轮复习考点帮(新高考通用)(完结)_第二部分专项讲义
第02讲幂函数与二次函数(教师版)_2025年新高考资料_一轮复习_备战2025年高考数学一轮复习考点帮_备战2025年高考数学一轮复习考点帮(新高考通用)(完结)_第二部分专项讲义
第02讲幂函数与二次函数(教师版)_2025年新高考资料_一轮复习_备战2025年高考数学一轮复习考点帮_备战2025年高考数学一轮复习考点帮(新高考通用)(完结)_第二部分专项讲义
第02讲幂函数与二次函数(教师版)_2025年新高考资料_一轮复习_备战2025年高考数学一轮复习考点帮_备战2025年高考数学一轮复习考点帮(新高考通用)(完结)_第二部分专项讲义
第02讲幂函数与二次函数(教师版)_2025年新高考资料_一轮复习_备战2025年高考数学一轮复习考点帮_备战2025年高考数学一轮复习考点帮(新高考通用)(完结)_第二部分专项讲义
第02讲幂函数与二次函数(教师版)_2025年新高考资料_一轮复习_备战2025年高考数学一轮复习考点帮_备战2025年高考数学一轮复习考点帮(新高考通用)(完结)_第二部分专项讲义
第02讲幂函数与二次函数(教师版)_2025年新高考资料_一轮复习_备战2025年高考数学一轮复习考点帮_备战2025年高考数学一轮复习考点帮(新高考通用)(完结)_第二部分专项讲义
第02讲幂函数与二次函数(教师版)_2025年新高考资料_一轮复习_备战2025年高考数学一轮复习考点帮_备战2025年高考数学一轮复习考点帮(新高考通用)(完结)_第二部分专项讲义
第02讲幂函数与二次函数(教师版)_2025年新高考资料_一轮复习_备战2025年高考数学一轮复习考点帮_备战2025年高考数学一轮复习考点帮(新高考通用)(完结)_第二部分专项讲义
第02讲幂函数与二次函数(教师版)_2025年新高考资料_一轮复习_备战2025年高考数学一轮复习考点帮_备战2025年高考数学一轮复习考点帮(新高考通用)(完结)_第二部分专项讲义
第02讲幂函数与二次函数(教师版)_2025年新高考资料_一轮复习_备战2025年高考数学一轮复习考点帮_备战2025年高考数学一轮复习考点帮(新高考通用)(完结)_第二部分专项讲义
第02讲幂函数与二次函数(教师版)_2025年新高考资料_一轮复习_备战2025年高考数学一轮复习考点帮_备战2025年高考数学一轮复习考点帮(新高考通用)(完结)_第二部分专项讲义
第02讲幂函数与二次函数(教师版)_2025年新高考资料_一轮复习_备战2025年高考数学一轮复习考点帮_备战2025年高考数学一轮复习考点帮(新高考通用)(完结)_第二部分专项讲义
第02讲幂函数与二次函数(教师版)_2025年新高考资料_一轮复习_备战2025年高考数学一轮复习考点帮_备战2025年高考数学一轮复习考点帮(新高考通用)(完结)_第二部分专项讲义

文档信息

文档格式
docx
文档大小
2.076 MB
文档页数
35 页
上传时间
2026-04-16 05:12:21

文档内容

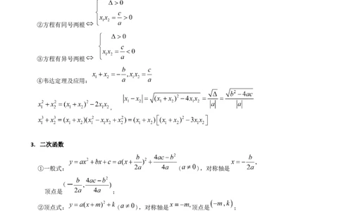
第 02 讲 幂函数与二次函数 (6 类核心考点精讲精练) 1. 5年真题考点分布 5年考情 考题示例 考点分析 关联考点 2024年新I卷,第1题,5分 解三次不等式 交集的概念及计算 2023年新I卷,第1题,5分 二次函数图象解不等式 集合间的基本运算 二次函数单调区间求参数值 函数的单调性求参数值 2023年新I卷,第4题,5分 或范围 判断指数型复合函数的单调性 2. 命题规律及备考策略 【命题规律】本节内容是新高考卷的命题载体内容,通常会结合其他知识点考查,需要掌握幂函数的基本 性质,难度中等偏下 【备考策略】1.掌握幂函数的定义及一般形式,掌握 的图 象和性质 2.理解并掌握二次函数的图象与性质(单调性、对称性、顶点、最值等) 3.理解并掌握幂函数 的单调性和奇偶性 4.会解一元二次不等式、分式不等式、单绝对值不等式和高次不等式 【命题预测】本节内容会结合其他函数内容综合考查,需综合性学习备考知识讲解 1. 幂函数 (1)幂函数的定义及一般形式 形如 的函数称为幂函数,其中 是自变量, 为常数 (2)幂函数的图象和性质 ①幂函数的单调性 ②幂函数的奇偶性2. 一元二次方程: ①方程有两个实数根 ②方程有同号两根 ③方程有异号两根 ④韦达定理及应用: , 3. 二次函数 ①一般式: ( ),对称轴是 顶点是 ; ②顶点式: ( ),对称轴是 顶点是 ; ③交点式: ( ),其中( ),( )是抛物线与x轴的交点 4. 二次函数的性质 ①函数 的图象关于直线 对称。 ② 时,在对称轴 ( )左侧, 值随 值的增大而减少;在对称轴( )右侧; 的值随 值的增大而增大。当 时, 取得最小值③ 时,在对称轴 ( )左侧, 值随 值的增大而增大;在对称轴( )右侧; 的值随 值的增大而减少。当 时, 取得最大值 5. 解一元二次不等式 “三个二次”:一元二次不等式与一元二次方程及二次函数的联系 判别式 一元二次方程 有两个不等实根 有两个相等实根 , (设 无实数根 的根 ) 二次函数 的图象 的解集 ∅ ∅ 的解集 6. 解分式不等式 ① ② ③ ④ 7. 解单绝对值不等式 或 , 考点一、 幂函数的图象 1.(23-24高三·阶段练习)已知幂函数 的图象过点 ,则函数 的图象是( ) A. B.C. D. 【答案】C 【分析】 根据幂函数经过的点得表达式,进而根据幂函数的性质即可结合选项求解. 【详解】 设幂函数的解析式为 由幂函数 的图象过点 ,解得 ,其定义域为 ,且是增函数, 当 时,其图象在直线 的上方,故 C满足题意. 故选:C 2.(2023高三·山西运城·学业考试)如图的曲线是幂函数 在第一象限内的图象.已知 分别取 四个值,与曲线 相应的 依次为( ) A. B. C. D. 【答案】A 【分析】作直线 分别与曲线 相交,结合函数 的单调性即可判断. 【详解】因为函数 为增函数,所以 , 所以作直线 分别与曲线 相交,交点由上到下分别对应的n值为 ,由图可知,曲线 相应n值为 . 故选:A 3.(23-24高三·阶段练习)函数 与 在同一直角坐标系中的图象不可能为 ( ) A. B. C. D. 【答案】B 【分析】利用二次函数的图象得出 的正负,结合幂函数特点可得答案. 【详解】对于A,二次函数开口向下,所以 ,此时 与图中符合; 对于B,二次函数开口向上,所以 ,此时 在 为增函数,不符合; 对于C,二次函数开口向上,所以 ,此时 在 为增函数,符合; 对于D,二次函数开口向上,所以 ,此时 在 为增函数,符合; 故选:B. 1.(23-24高三·阶段练习)已知幂函数的图象经过点 ,则该幂函数的大致图象是( )A. B. C. D. 【答案】C 【分析】设幂函数为 ,然后将 坐标代入可求出函数解析式,从而可得函数图象. 【详解】设幂函数为 ,则 , ,得 ,得 , 所以 ,定义域为 ,所以排除AD, 因为 ,所以函数为偶函数,所以排除B, 故选:C 2.(23-24高三·阶段练习)(多选)现有4个幂函数的部分图象如图所示,则下列选项可能成立的是( ) A. , , , B. , , , C. , , , D. , , , 【答案】AB 【分析】根据幂函数的图象和性质结合已知图象分析判断即可. 【详解】对于幂函数 ,若函数在 上单调递增,则 ,若函数在 上单调递减,则,所以 ,D选项错误; 当 时,若 的图象在 的上方,则 ,若 的图象在 的下方,则 , 所以 ,C选项错误; 因为当 时,指数越大,图象越高,所以 , 综上, ,AB选项正确. 故选:AB 3.(22-23高三·全国·对口高考)给定一组函数解析式: ① ;② ;③ ;④ ;⑤ ;⑥ ;⑦ . 如图所示一组函数图象.图象对应的解析式号码顺序正确的是( ) A.⑥③④②⑦①⑤ B.⑥④②③⑦①⑤ C.⑥④③②⑦①⑤ D.⑥④③②⑦⑤① 【答案】C 【分析】根据幂函数的图象的性质判断各图象对应解析式的形式,即可得答案. 【详解】图象(1)关于原点对称,为奇函数,且不过原点、第一象限递减,故 满足; 图象(2)关于 轴对称,为偶函数,且不过原点、第一象限递减,故 满足; 图象(3)非奇非偶函数,且不过原点、第一象限递减,故 满足; 图象(4)关于 轴对称,为偶函数,且过原点、第一象限递增,故 满足; 图象(5)关于原点对称,为奇函数,且过原点、第一象限递增,故 满足;图象(6)非奇非偶函数,且过原点、第一象限递增,而增长率随 增大递减,故 满足; 图象(7)非奇非偶函数,且过原点、第一象限递增,而增长率随 增大递增,故 满足; 故图象对应解析式顺序为⑥④③②⑦①⑤. 故选:C 考点二、 幂函数的单调性与奇偶性 1.(上海·高考真题)下列函数中,既是偶函数,又是在区间 上单调递减的函数为( ) A. B. C. D. 【答案】A 【详解】试题分析:由偶函数定义知,仅A,C为偶函数, C. 在区间 上单调递增函数,故选 A. 考点:本题主要考查奇函数的概念、函数单调性、幂函数的性质. 点评:函数奇偶性判定问题,应首先考虑函数的定义域是否关于原点对称. 2.(2023·全国·专题练习)如图所示是函数 (m、 且互质)的图象,则( ) A.m,n是奇数且 B.m是偶数,n是奇数,且 C.m是偶数,n是奇数,且 D.m,n是偶数,且 【答案】B 【分析】 根据图象得到函数的奇偶性及 上单调递增,结合m、 且互质,从而得到答案. 【详解】由图象可看出 为偶函数,且在 上单调递增, 故 且 为偶数,又m、 且互质,故n是奇数. 故选:B3.(23-24高二下·浙江·期中)幂函数 的图象关于 轴对称,且在 上是减函数, 则 的值是( ) A.1 B.2 C.3 D.4 【答案】A 【分析】首先根据幂函数的单调性,确定 得到取值,再回代函数确定函数的奇偶性,即可求解. 【详解】因为幂函数 , 在区间 上是减函数, 所以 ,解得: , 因为 ,得 , 当 时,函数 是奇函数,不关于 轴对称,故舍去, 当 时,函数 是偶函数,关于 轴对称,故舍去, 当 时,函数 是奇函数,不关于 轴对称,故舍去, 所以 . 故选:A 1.(1993·全国·高考真题)函数y= 在[-1, 1]上是 A.增函数且是奇函数 B.增函数且是偶函数 C.减函数且是奇函数 D.减函数且是偶函数 【答案】A 【详解】 考查幂函数 . ∵ >0,根据幂函数的图象与性质 可得在[−1,1]上的单调增函数,是奇函数. 故选A.点睛:对于形如 的幂函数,研究函数性质时,可以将函数化简为 ,可知定义域及函数奇偶 性,幂函数的单调性可以只研究第一象限,再结合奇偶性即可得结论. 2.(2024·全国·模拟预测)(多选)下列函数中既是奇函数,又是定义域上的减函数的是( ) A. B. C. D. 【答案】AD 【分析】由解析式直接判断函数的奇偶性与单调性即可得解. 【详解】对于A, 是奇函数,在其定义域上单调递减,故A正确; 对于B, 是在其定义域上单调递增的指数函数,故B错误; 对于C, ,故 在其定义域上不单调递减,故C错误; 对于D, 是奇函数,在其定义域上单调递减,故D错误. 故选:AD. 3.(2024·广东广州·模拟预测)若幂函数 在 上单调递增,则实数 的值为 ( ) A.2 B.1 C. D. 【答案】A 【分析】根据条件,利用幂函数的定义和性质,即可求出结果. 【详解】因为幂函数 在 上是增函数, 所以 ,解得 . 故选:A. 考点三、 利用幂函数单调性进行大小比较 1.(安徽·高考真题)设a= ,b= ,c= ,则a,b,c的大小关系是( ) A.a>c>b B.a>b>c C.c>a>b D.b>c>a【答案】A 【详解】试题分析:∵函数 是减函数,∴ ;又函数 在 上是增函数,故 .从而 选A 考点:函数的单调性. 2.(2023·广东广州·二模)已知 , , ,则( ) A. B. C. D. 【答案】D 【分析】根据指数函数,幂函数的性质即可判断 , ,再对 , 进行取对数,结合对数函数的性 质即可判断 ,进而即可得到答案. 【详解】由 , , , 则 , , 又 , , 则 ,即 , 所以 . 故选:D. 1.(2024·福建三明·三模)若 ,则( ) A. B. C. D. 【答案】A 【分析】根据幂函数的单调性可判断 的大小,利用对数函数的单调性判断a的范围,即可得答案. 【详解】由题意得 , 由于 在 上单调递增,故 ; 而 在 上单调递减,故 , 故 ,故选:A 2.设 ,则 的大小关系是( ) A. B. C. D. 【答案】A 【解析】易得 ,再由 ,利用幂函数的单调性判断. 【详解】因为 , 且 , 在 上递增, 所以 ,即 , 综上: 故选:A 考点 四 、 幂函数的综合应用 1.(2024·吉林·模拟预测)请写出一个幂函数 满足以下条件:①定义域为 ;② 为增函数; ③对任意的 , ,都有 ,则 . 【答案】 (答案不唯一) 【分析】根据幂函数的性质可写出一个符合①②的幂函数,利用作差法说明其也满足③,即可得答案. 【详解】由题意可知 的定义域为 ,且 在 上为增函数; 下面证明该函数满足③: 取任意的 , , , 则 ,当且仅当 时取等号, 即 ,即 满足③, 故答案为: 2.(2023·全国·模拟预测)已知x, ,满足 , ,则 ( ) A.-1 B.0 C.1 D.2 【答案】B 【分析】令 , ,易得 为奇函数且为增函数,再由 和 ,变形得到 , 求解. 【详解】解:令 , ,则 , ∴ 为奇函数. ∵ , ∴ . 又∵ , ∴ , ∴ , . 又∵ 在R上单调递增, ∴ ,即 . 故选:B. 1.(2024·云南曲靖·一模)如图,在第一象限内,矩形 的三个顶点 , 分别在函数 的图象上,且矩形的边分别与两坐标轴平行,若A点的纵坐标是2,则D点的 坐标是 .【答案】 【分析】根据指对幂函数的图象及解析式求出A点的横坐标、 点纵坐标,即可得D点的坐标. 【详解】由题意, 纵坐标都为2,则 点横坐标为8,即 点横坐标为8, 所以A点的横坐标为 , 点纵坐标为 , 由 为矩形及题图知:D点的坐标是 . 故答案为: 2.(2024·全国·模拟预测)写出满足下列条件①②③的一个函数: . ① 的定义域为 ;② , ;③ ,都有 . 【答案】 (答案不唯一,形如 ,p,q为奇数,且 均可) 【分析】根据题意函数需分别满足题中①②③的条件,且答案不唯一. 【详解】由③知 (不妨取 时 ), 所以函数 在 上是增函数,函数 在 上是减函数, 又由①②,函数为奇函数且定义域为 , 所以可取幂函数 . 故答案为: (答案不唯一,形如 , , 为奇数,且 均可). 考点 五 、 解一元二次不等式、分式不等式与高次不等式1.(2024·上海·高考真题)已知 则不等式 的解集为 . 【答案】 【分析】求出方程 的解后可求不等式的解集. 【详解】方程 的解为 或 , 故不等式 的解集为 , 故答案为: . 2.(全国·高考真题)不等式 的解集是( ) A. B. C. D. 【答案】C 【分析】分式不等式转化成整式不等式求解即可. 【详解】由 ,解得 或 . 故选:C 3.(2024·全国·高考真题)已知集合 ,则 ( ) A. B. C. D. 【答案】A 【分析】化简集合 ,由交集的概念即可得解. 【详解】因为 ,且注意到 , 从而 . 故选:A. 1.(2024·福建福州·一模)已知集合 , ,则 ( ) A. 或 B. C. D. 或 【答案】B 【分析】根据分式不等式和一元二次不等式得解法解出集合 ,再按照集合的并集运算即可.【详解】 ,则 ,且 ,解得 , 则集合 , 则 故选:B. 2.(2024·全国·一模)已知集合 , ,则 ( ) A. B. C. D. 【答案】A 【分析】解集合中的不等式,得到这两个集合,再由定义求交集. 【详解】不等式 ,即 ,当 时,不等式解集为 ,即 , 不等式 ,解得 或 ,即 或 , 所以 . 故选:A 3.(23-24高三上·河南南阳·阶段练习)不等式 的解集是( ) A. 或 B. 或 C. D. 【答案】C 【分析】先因式分解,然后分 和 求解即可. 【详解】 , 当 时,不等式显然不成立; 当 时, ,所以原不等式 , 解得 . 综上,原不等式的解集为 . 故选:C 考点 六 、 二次函数的综合应用 1.(2023·全国·高考真题)设函数 在区间 上单调递减,则 的取值范围是( )A. B. C. D. 【答案】D 【分析】利用指数型复合函数单调性,判断列式计算作答. 【详解】函数 在R上单调递增,而函数 在区间 上单调递减, 则有函数 在区间 上单调递减,因此 ,解得 , 所以 的取值范围是 . 故选:D 2.(2024·全国·模拟预测)若函数 在 上单调,则实数 的取值范围为 ( ) A. B. C. D. 【答案】C 【分析】由题意,根据二次函数的图象与性质建立不等式组,解之即可求解. 【详解】令 , 则 或 或 或 解得 或 , 即实数m得取值范围为 . 故选:C. 3.(2024·广东揭阳·二模)已知函数 在 上不单调,则 的取值范围为( ) A. B. C. D. 【答案】C 【分析】根据给定条件,利用二次函数的单调性列出不等式求解即得.【详解】函数 的图象对称轴为 ,依题意, ,得 , 所以 的取值范围为 . 故选:C 4.(2024·陕西渭南·二模)已知函数 是 上的增函数,则实数a的取值范围是( ) A. B. C. D. 【答案】B 【分析】根据给定条件,利用分段函数单调性,结合一次、二次函数单调性求解即得. 【详解】由 是 上的增函数,得 ,解得 , 所以实数a的取值范围是 . 故选:B 5.(2024·四川成都·二模)已知函数 的值域为 .若 ,则实数 的取值范围是 ( ) A. B. C. D. 【答案】B 【分析】化复合函数 为 , ,根据已知条件 ,确定 的取 值范围,再根据 的取值范围确定 的取值范围即可. 【详解】因为 ,令 ,所以 ; 令函数 的值域为 ,因为 , 所以 ,所以 必须能取到 上的所有值, ,解得 . 故选:B1.(2024·辽宁·一模)若函数 在区间 内单调递减,则 的取值范围是( ) A. B. C. D. 【答案】A 【分析】利用“同增异减”判断复合函数的单调性,从而求参数的取值范围. 【详解】设 , ,则 在 上单调递增. 因为 在区间 内单调递减,所以函数 在区间 内单调递减, 结合二次函数的图象和性质,可得: ,解得 4. 故选: 2.(2024·山东·二模)已知函数 在区间 上单调递增,则 的取值范围是 ( ). A. B. C. D. 【答案】A 【分析】根据题意,结合二次函数的性质,求得解得 ,再由 ,进而求得 的取值范 围. 【详解】由函数 的对称轴是 , 因为函数在区间 上是增函数,所以 ,解得 , 又因为 ,因此 ,所以 的取值范围是 . 故选:A. 3.(2024·河南信阳·模拟预测)若函数 在 上单调,则实数 的值可以为 ( ) A. B. C. D.3 【答案】BD 【分析】分别讨论 和 两种情况,结合二次函数的图像分析,即可得到答案. 【详解】①当 ,即 时, ,所以 的 对称轴为 ,则 的图象如下:结合图象可知,要使函数 在 上单调,则 或 ,解得: 或 ,即 或 ; ②当 ,即 或 ,令 ,则 的对称轴为 ,则 的图象如下: 结合图象可知,要使函数 在 上单调, 则 ,或 ,或 ,或 解得: ,或 , 综上: 或 ; 故选:BD 4.(23-24高三下·福建·开学考试)已知函数 的值域为 ,则实数a的取值范围 为 . 【答案】 【分析】 利用分段函数的值域是各段值域的并集,结合二次函数的单调性列不等式求解即可. 【详解】当 时, 若 ,可得 ; 若 , ,函数 的值域不可能为 ;②当 时, , 所以函数 在 , 上单调递增, 若函数 的值域为 ,只需 ,可得 . 由上知,实数a的取值范围为 . 故答案为: 5.(2024·河南·模拟预测)已知函数 在 上的最大值为 ,在 上的 最大值为 ,若 ,则实数 的取值范围是 . 【答案】 【分析】作出 的图象,分 和 两种情况讨论函数 在 上的最大值和在 上的最大值,列出关系,解不等式即可得到答案. 【详解】由函数 ,作出 的图象如下: 由题得: , 当 时,函数 在 上的最大值为 ,即 , 要使 ,则 ,令 ,解得: , , , ,由图可得,要使函数 在 上的最大值为 ,且 , 则 ,或 ,解得: . 当 时, 由图, 在 上最大值 , 在 上单调递增,最大值 , 不可能成立, 综上,实数 的取值范围是 , 故答案为: . 一、单选题 1.(2024·山东日照·二模)已知幂函数的图象过点 ,则函数的解析式为( ) A. B. C. D. 【答案】B 【分析】先用待定系数法设出函数解析式,再代入点的坐标计算出参数,即可得到答案. 【详解】设幂函数的解析式为 ,由于函数过点 ,故 ,解得 ,该幂函数的解析式为; 故选:B 2.(2024·山东日照·二模)已知 ,则“ ”是“ ”的( ) A.充分不必要条件 B.必要不充分条件 C.充要条件 D.既不充分也不必要条件 【答案】C 【分析】根据充分条件、必要条件的定义判断即可. 【详解】因为函数 在定义域 上单调递增, 所以由 推得出 ,故充分性成立; 由 推得出 ,故必要性成立, 所以“ ”是“ ”的充要条件. 故选:C 3.(2024·北京朝阳·一模)已知 ,则“ ”是“函数 在 上单调递增”的 ( ) A.充分而不必要条件 B.必要而不充分条件 C.充要条件 D.既不充分也不必要条件 【答案】A 【分析】分 , , 讨论函数 的单调性,进而根据充分性和必要性的概念确定答案. 【详解】对于函数 当 时, ,为常数函数, 当 时, ,函数 在 上单调递减, 当 时, ,函数 在 上单调递增, 所以“ ”是“函数 在 上单调递增”的充分而不必要条件. 故选:A. 4.(2024·辽宁·模拟预测)若 ,则下列说法正确的是( ) A. B. C. D. 【答案】C 【分析】利用特殊值判断A、B、D,根据幂函数的性质判断C. 【详解】对于A:当 、 ,满足 ,但是 ,故A错误; 对于B:当 、 ,满足 ,但是 ,故B错误; 对于C:因为 在定义域 上单调递增,若 ,则 ,故C正确对于D:当 、 ,满足 ,但是 ,故D错误. 故选:C 5.(2024·广西·二模)下列函数中,在 上单调递增的是( ) A. B. C. D. 【答案】D 【分析】根据题意,依次分析选项中函数的定义域及单调性,综合即可得答案. 【详解】对于A, ,其定义域为 ,不符合题意; 对于B, ,在 上为减函数,不符合题意; 对于C, ,在 上单调递减,不符合题意; 对于D, ,在 上单调递增,符合题意; 故选:D. 6.(2024·全国·模拟预测)已知集合 ,则 ( ) A. B. C. D. 【答案】D 【分析】先求出集合 ,再根据交集的定义即可得解. 【详解】因为 , , 所以 . 故选:D. 7.(2023·江苏徐州·模拟预测)已知函数 的单调递增区间是 ,则实数a的值是 ( ) A. B.3 C. D.1 【答案】C 【分析】求出二次函数的单调递增区间,利用相等集合列式求解即得. 【详解】函数 的单调递增区间是 , 因此 ,即 ,解得 ,所以实数a的值是 . 故选:C 8.(2024·北京西城·一模)已知函数 ,若 存在最小值,则 的最大值为 ( ) A. B. C. D. 【答案】A 【分析】运用二次函数的性质求得 的最小值,再结合幂函数的单调性,由题意列出不等式,求解 即可. 【详解】当 时, ,故当 时, 有最小值为 ; 时, 单调递减,所以 , 由题意 存在最小值,则 ,解得 ,即 的最大值为 . 故选:A 9.(2024·新疆喀什·二模)已知函数 ,满足 ,则实数 的取值范围是 ( ) A. B. C. D. 【答案】A 【分析】首先结合幂函数和对数函数的性质得到函数为单调递增函数,则得到 ,解出即可. 【详解】当 时, ,此时 单调递增, 当 时, ,此时 单调递增,且 , 则 时, 单调递增, 若有 ,则有 ,解得 , 故选:A. 二、填空题 10.(2023·广东珠海·模拟预测)已知函数 在区间 上是增函数,则实数 的取 值范围是 . 【答案】 【分析】利用二次函数的单调性可得出关于实数 的不等式,解之即可.【详解】二次函数 的图象开口向上,对称轴为直线 , 因为函数 在区间 上是增函数,则 ,解得 . 因此,实数 的取值范围是 . 故答案为: . 一、单选题 1.(2023·四川成都·模拟预测)幂函数 在区间 上单调递减,则下列说法正确 的是( ) A. B. 是减函数 C. 是奇函数 D. 是偶函数 【答案】C 【分析】根据幂函数的定义及单调性可判断AB,再由奇函数的定义判断CD. 【详解】函数 为幂函数,则 ,解得 或 . 当 时, 在区间 上单调递增,不满足条件,排除A; 当 时, 在区间 上单调递减,满足题意. 函数 在 和 上单调递减,但不是减函数,排除B; 因为函数定义域关于原点对称,且 , 所以函数 是奇函数,不是偶函数,故C正确,D错误. 故选:C. 2.(2024·广东·一模)已知集合 ,若 且互不相等,则使得指数函数 , 对数函数 ,幂函数 中至少有两个函数在 上单调递增的有序数对 的个数是 ( ) A.16 B.24 C.32 D.48 【答案】B 【分析】分类讨论单调性,结合排列数、组合数运算求解. 【详解】若 和 在 上单调递增, 在 上单调递减,则有 个; 若 和 在 上单调递增, 在 上单调递减, 则有 个; 若 和 在 上单调递增, 在 上单调递减, 则有 个; 若 、 和 在 上单调递增,则有 个; 综上所述:共有 个. 故选:B. 【点睛】方法点睛:两个计数原理的应用技巧 (1)在应用分类加法计数原理和分步乘法计数原理时,一般先分类再分步,每一步当中又可能用到分类 加法计数原理. (2)对于复杂的两个计数原理综合应用的问题,可恰当列出示意图或表格,使问题形象化、直观化. 3.(23-24高三上·广东深圳·期末)已知实数 满足 ,则 ( ) A.-1 B.1 C.-2 D.2 【答案】A 【分析】根据题意可得, ,且 ,构造函数 ,则 为单 调递增的奇函数,可得 ,从而求解. 【详解】 , ,且 , 令函数 ,因为其定义域为 ,且 ,且 在 上均单调递增, 则 为单调递增的奇函数, 且 , ,即 , 显然 . 故选:A. 二、填空题 4.(2024·北京延庆·一模)已知函数 在区间 上单调递减,则 的一个取值为 .【答案】 (不唯一) 【分析】根据幂函数的单调性奇偶性即可得解. 【详解】因为 在 上单调递增,又 在区间 上单调递减, 所以 可以为偶函数,不妨取 , 此时 ,函数定义域为 , 且 ,故 为偶函数, 满足在区间 上单调递减. 故答案为: (不唯一) 5.(2024·陕西安康·模拟预测)已知命题 :函数 在区间 上单调递增,命题 : , 若 是 的充分不必要条件,则 的取值范围是 . 【答案】 【分析】根据题意可得命题 : ,由 是 的充分不必要条件,可得 是 的真子集,即 可得到答案. 【详解】因为函数 在区间 上单调递增,所以 ,解得: ,又因为 是 的充分不必要条件,则 是 的真子集,即 的取值范围是 故答案为: 6.(22-23高一上·全国·课后作业)已知幂函数 ,若 ,则a的取值范围是 . 【答案】 【分析】根据题意得到幂函数 的定义域和单调性,得到不等式 的等价不等式组, 即可求解. 【详解】由幂函数 , 可得函数 的定义域为 ,且是递减函数, 因为 ,可得 ,解得 , 即实数 的取值范围为 .故答案为: 7.(2022高三·全国·专题练习)不等式 的解集为: . 【答案】 【分析】不等式变形为 ,即 ,构造函数 ,判断出函数得单调性,再根据函数的单调性解不等式即可. 【详解】不等式变形为 , 所以 , 令 ,则有 , 因为函数 在R上单调递增, 所以 在R上单调递增, 则 ,解得 , 故不等式的解集为 . 故答案为: . 8.(23-24高一上·江苏盐城·期末)关于 的不等式 在 上有解,则实数 的取值范围是 . 【答案】 【分析】根据题意将不等式转化为 在 能成立即可,再由二次函数性质求出 即可得 的取值范围是 . 【详解】由不等式 以及 可得 , 依题意可知 即可, 令 , 又 ,由 可得 ,利用二次函数性质可知 ,即可得 ; 即实数 的取值范围是 . 故答案为: 9.(2024高三·全国·专题练习)已知函数 ,若对任意的 ,使得 ,求实数 的取值范围是 . 【答案】 【分析】利用换元法结合三点控制法求解即可. 【详解】令 ,则 , 取三点控制得 ,进而 , 化简得 ,可得 , 即 ,解得 . 故答案为: 10.(23-24高三下·江苏南京·强基计划)已知函数 ,对于 , 恒成 立,求 的最大值是 . 【答案】 【分析】根据题目得到 ,从而 ,故 ,换元后得到结合基本不等式 求出最值. 【详解】 恒成立, , , ,, 令 ,则 , 所以 , 当且仅当 ,即 , 时,等号成立. 故答案为: 一、单选题 1.(2024·天津·高考真题)设 ,则“ ”是“ ”的( ) A.充分不必要条件 B.必要不充分条件 C.充要条件 D.既不充分也不必要条件 【答案】C 【分析】说明二者与同一个命题等价,再得到二者等价,即是充分必要条件. 【详解】根据立方的性质和指数函数的性质, 和 都当且仅当 ,所以二者互为充要条件. 故选:C. 2.(2023·天津·高考真题)设 ,则 的大小关系为( ) A. B. C. D. 【答案】D 【分析】根据对应幂、指数函数的单调性判断大小关系即可. 【详解】由 在R上递增,则 , 由 在 上递增,则 . 所以 . 故选:D3.(2022·天津·高考真题)已知 , , ,则( ) A. B. C. D. 【答案】C 【分析】利用幂函数、对数函数的单调性结合中间值法可得出 、 、 的大小关系. 【详解】因为 ,故 . 故答案为:C. 4.(全国·高考真题)函数 的图象是 A. B. C. D. 【答案】B 【分析】先找出函数图象上的特殊点(1,1),(8,2), ,再判断函数的走向,结合图形,选出 正确的答案. 【详解】函数图象上的特殊点(1,1),故排除A,D; 由特殊点(8,2), ,可排除C. 故选B. 5.(山东·高考真题)关于函数 ,以下表达错误的选项是( ) A.函数的最大值是1 B.函数图象的对称轴是直线 C.函数的单调递减区间是 D.函数图象过点 【答案】C 【分析】根据二次函数的图像与性质,直接进行求解即可. 【详解】 ,最大值是1,A正确; 对称轴是直线 ,B正确;单调递减区间是 ,故C错误; 令 的 ,故 在函数图象上,故D正确, 故选:C 6.(全国·高考真题)函数 是单调函数的充要条件是( ) A. B. C. D. 【答案】A 【分析】因为函数 在 上单调递增,且在 上是单调函数,比较即可求解参数 范围. 【详解】函数 在 上单调递减,在 上单调递增, 又在区间 上是单调函数,所以 ,解得 , 故选:A 7.(全国·高考真题)若函数 与 在区间 上都是减函数,则 的取值范围 ( ) A. B. C. D. 【答案】D 【分析】分别讨论两个函数的单调性, 是二次函数,由对称轴可得, ,只要 在 上一定递减,两者结合可得. 【详解】对于 ,开口向下,对称轴为 若函数在区间 上都是减函数,则区间 在对称轴的右侧,所以可得: ; 对于 ,其相当于将 的图象向左平移1个单位,得到如下函数图像: 此时我们可以判断,当 时,则函数 在第一象限为单调递减,而 在 单调递减,故的取值范围是 . 故选:D. 【点睛】本题考查函数的单调性,掌握二次函数与反比例函数的单调性是解题关键. 二、填空题 8.(上海·高考真题)若 ,则满足 的 取值范围是 . 【答案】 【详解】根据幂函数的性质,由于 ,所以当 时 ,当 时, ,因此 的解集为 . 【考点】幂函数的性质.