当前位置:首页>文档>第12讲圆锥曲线中的轨迹方程(教师版)_2025年新高考资料_一轮复习_备战2025年高考数学一轮复习考点帮_备战2025年高考数学一轮复习考点帮(新高考通用)(完结)_第二部分专项讲义

第12讲圆锥曲线中的轨迹方程(教师版)_2025年新高考资料_一轮复习_备战2025年高考数学一轮复习考点帮_备战2025年高考数学一轮复习考点帮(新高考通用)(完结)_第二部分专项讲义

  • 2026-04-17 16:30:34 2026-04-17 15:57:34

文档预览

第12讲圆锥曲线中的轨迹方程(教师版)_2025年新高考资料_一轮复习_备战2025年高考数学一轮复习考点帮_备战2025年高考数学一轮复习考点帮(新高考通用)(完结)_第二部分专项讲义
第12讲圆锥曲线中的轨迹方程(教师版)_2025年新高考资料_一轮复习_备战2025年高考数学一轮复习考点帮_备战2025年高考数学一轮复习考点帮(新高考通用)(完结)_第二部分专项讲义
第12讲圆锥曲线中的轨迹方程(教师版)_2025年新高考资料_一轮复习_备战2025年高考数学一轮复习考点帮_备战2025年高考数学一轮复习考点帮(新高考通用)(完结)_第二部分专项讲义
第12讲圆锥曲线中的轨迹方程(教师版)_2025年新高考资料_一轮复习_备战2025年高考数学一轮复习考点帮_备战2025年高考数学一轮复习考点帮(新高考通用)(完结)_第二部分专项讲义
第12讲圆锥曲线中的轨迹方程(教师版)_2025年新高考资料_一轮复习_备战2025年高考数学一轮复习考点帮_备战2025年高考数学一轮复习考点帮(新高考通用)(完结)_第二部分专项讲义
第12讲圆锥曲线中的轨迹方程(教师版)_2025年新高考资料_一轮复习_备战2025年高考数学一轮复习考点帮_备战2025年高考数学一轮复习考点帮(新高考通用)(完结)_第二部分专项讲义
第12讲圆锥曲线中的轨迹方程(教师版)_2025年新高考资料_一轮复习_备战2025年高考数学一轮复习考点帮_备战2025年高考数学一轮复习考点帮(新高考通用)(完结)_第二部分专项讲义
第12讲圆锥曲线中的轨迹方程(教师版)_2025年新高考资料_一轮复习_备战2025年高考数学一轮复习考点帮_备战2025年高考数学一轮复习考点帮(新高考通用)(完结)_第二部分专项讲义
第12讲圆锥曲线中的轨迹方程(教师版)_2025年新高考资料_一轮复习_备战2025年高考数学一轮复习考点帮_备战2025年高考数学一轮复习考点帮(新高考通用)(完结)_第二部分专项讲义
第12讲圆锥曲线中的轨迹方程(教师版)_2025年新高考资料_一轮复习_备战2025年高考数学一轮复习考点帮_备战2025年高考数学一轮复习考点帮(新高考通用)(完结)_第二部分专项讲义
第12讲圆锥曲线中的轨迹方程(教师版)_2025年新高考资料_一轮复习_备战2025年高考数学一轮复习考点帮_备战2025年高考数学一轮复习考点帮(新高考通用)(完结)_第二部分专项讲义
第12讲圆锥曲线中的轨迹方程(教师版)_2025年新高考资料_一轮复习_备战2025年高考数学一轮复习考点帮_备战2025年高考数学一轮复习考点帮(新高考通用)(完结)_第二部分专项讲义
第12讲圆锥曲线中的轨迹方程(教师版)_2025年新高考资料_一轮复习_备战2025年高考数学一轮复习考点帮_备战2025年高考数学一轮复习考点帮(新高考通用)(完结)_第二部分专项讲义
第12讲圆锥曲线中的轨迹方程(教师版)_2025年新高考资料_一轮复习_备战2025年高考数学一轮复习考点帮_备战2025年高考数学一轮复习考点帮(新高考通用)(完结)_第二部分专项讲义
第12讲圆锥曲线中的轨迹方程(教师版)_2025年新高考资料_一轮复习_备战2025年高考数学一轮复习考点帮_备战2025年高考数学一轮复习考点帮(新高考通用)(完结)_第二部分专项讲义
第12讲圆锥曲线中的轨迹方程(教师版)_2025年新高考资料_一轮复习_备战2025年高考数学一轮复习考点帮_备战2025年高考数学一轮复习考点帮(新高考通用)(完结)_第二部分专项讲义
第12讲圆锥曲线中的轨迹方程(教师版)_2025年新高考资料_一轮复习_备战2025年高考数学一轮复习考点帮_备战2025年高考数学一轮复习考点帮(新高考通用)(完结)_第二部分专项讲义
第12讲圆锥曲线中的轨迹方程(教师版)_2025年新高考资料_一轮复习_备战2025年高考数学一轮复习考点帮_备战2025年高考数学一轮复习考点帮(新高考通用)(完结)_第二部分专项讲义
第12讲圆锥曲线中的轨迹方程(教师版)_2025年新高考资料_一轮复习_备战2025年高考数学一轮复习考点帮_备战2025年高考数学一轮复习考点帮(新高考通用)(完结)_第二部分专项讲义
第12讲圆锥曲线中的轨迹方程(教师版)_2025年新高考资料_一轮复习_备战2025年高考数学一轮复习考点帮_备战2025年高考数学一轮复习考点帮(新高考通用)(完结)_第二部分专项讲义
第12讲圆锥曲线中的轨迹方程(教师版)_2025年新高考资料_一轮复习_备战2025年高考数学一轮复习考点帮_备战2025年高考数学一轮复习考点帮(新高考通用)(完结)_第二部分专项讲义
第12讲圆锥曲线中的轨迹方程(教师版)_2025年新高考资料_一轮复习_备战2025年高考数学一轮复习考点帮_备战2025年高考数学一轮复习考点帮(新高考通用)(完结)_第二部分专项讲义
第12讲圆锥曲线中的轨迹方程(教师版)_2025年新高考资料_一轮复习_备战2025年高考数学一轮复习考点帮_备战2025年高考数学一轮复习考点帮(新高考通用)(完结)_第二部分专项讲义
第12讲圆锥曲线中的轨迹方程(教师版)_2025年新高考资料_一轮复习_备战2025年高考数学一轮复习考点帮_备战2025年高考数学一轮复习考点帮(新高考通用)(完结)_第二部分专项讲义
第12讲圆锥曲线中的轨迹方程(教师版)_2025年新高考资料_一轮复习_备战2025年高考数学一轮复习考点帮_备战2025年高考数学一轮复习考点帮(新高考通用)(完结)_第二部分专项讲义
第12讲圆锥曲线中的轨迹方程(教师版)_2025年新高考资料_一轮复习_备战2025年高考数学一轮复习考点帮_备战2025年高考数学一轮复习考点帮(新高考通用)(完结)_第二部分专项讲义
第12讲圆锥曲线中的轨迹方程(教师版)_2025年新高考资料_一轮复习_备战2025年高考数学一轮复习考点帮_备战2025年高考数学一轮复习考点帮(新高考通用)(完结)_第二部分专项讲义
第12讲圆锥曲线中的轨迹方程(教师版)_2025年新高考资料_一轮复习_备战2025年高考数学一轮复习考点帮_备战2025年高考数学一轮复习考点帮(新高考通用)(完结)_第二部分专项讲义
第12讲圆锥曲线中的轨迹方程(教师版)_2025年新高考资料_一轮复习_备战2025年高考数学一轮复习考点帮_备战2025年高考数学一轮复习考点帮(新高考通用)(完结)_第二部分专项讲义
第12讲圆锥曲线中的轨迹方程(教师版)_2025年新高考资料_一轮复习_备战2025年高考数学一轮复习考点帮_备战2025年高考数学一轮复习考点帮(新高考通用)(完结)_第二部分专项讲义
第12讲圆锥曲线中的轨迹方程(教师版)_2025年新高考资料_一轮复习_备战2025年高考数学一轮复习考点帮_备战2025年高考数学一轮复习考点帮(新高考通用)(完结)_第二部分专项讲义
第12讲圆锥曲线中的轨迹方程(教师版)_2025年新高考资料_一轮复习_备战2025年高考数学一轮复习考点帮_备战2025年高考数学一轮复习考点帮(新高考通用)(完结)_第二部分专项讲义
第12讲圆锥曲线中的轨迹方程(教师版)_2025年新高考资料_一轮复习_备战2025年高考数学一轮复习考点帮_备战2025年高考数学一轮复习考点帮(新高考通用)(完结)_第二部分专项讲义
第12讲圆锥曲线中的轨迹方程(教师版)_2025年新高考资料_一轮复习_备战2025年高考数学一轮复习考点帮_备战2025年高考数学一轮复习考点帮(新高考通用)(完结)_第二部分专项讲义
第12讲圆锥曲线中的轨迹方程(教师版)_2025年新高考资料_一轮复习_备战2025年高考数学一轮复习考点帮_备战2025年高考数学一轮复习考点帮(新高考通用)(完结)_第二部分专项讲义
第12讲圆锥曲线中的轨迹方程(教师版)_2025年新高考资料_一轮复习_备战2025年高考数学一轮复习考点帮_备战2025年高考数学一轮复习考点帮(新高考通用)(完结)_第二部分专项讲义
第12讲圆锥曲线中的轨迹方程(教师版)_2025年新高考资料_一轮复习_备战2025年高考数学一轮复习考点帮_备战2025年高考数学一轮复习考点帮(新高考通用)(完结)_第二部分专项讲义
第12讲圆锥曲线中的轨迹方程(教师版)_2025年新高考资料_一轮复习_备战2025年高考数学一轮复习考点帮_备战2025年高考数学一轮复习考点帮(新高考通用)(完结)_第二部分专项讲义
第12讲圆锥曲线中的轨迹方程(教师版)_2025年新高考资料_一轮复习_备战2025年高考数学一轮复习考点帮_备战2025年高考数学一轮复习考点帮(新高考通用)(完结)_第二部分专项讲义
第12讲圆锥曲线中的轨迹方程(教师版)_2025年新高考资料_一轮复习_备战2025年高考数学一轮复习考点帮_备战2025年高考数学一轮复习考点帮(新高考通用)(完结)_第二部分专项讲义
第12讲圆锥曲线中的轨迹方程(教师版)_2025年新高考资料_一轮复习_备战2025年高考数学一轮复习考点帮_备战2025年高考数学一轮复习考点帮(新高考通用)(完结)_第二部分专项讲义
第12讲圆锥曲线中的轨迹方程(教师版)_2025年新高考资料_一轮复习_备战2025年高考数学一轮复习考点帮_备战2025年高考数学一轮复习考点帮(新高考通用)(完结)_第二部分专项讲义
第12讲圆锥曲线中的轨迹方程(教师版)_2025年新高考资料_一轮复习_备战2025年高考数学一轮复习考点帮_备战2025年高考数学一轮复习考点帮(新高考通用)(完结)_第二部分专项讲义
第12讲圆锥曲线中的轨迹方程(教师版)_2025年新高考资料_一轮复习_备战2025年高考数学一轮复习考点帮_备战2025年高考数学一轮复习考点帮(新高考通用)(完结)_第二部分专项讲义
第12讲圆锥曲线中的轨迹方程(教师版)_2025年新高考资料_一轮复习_备战2025年高考数学一轮复习考点帮_备战2025年高考数学一轮复习考点帮(新高考通用)(完结)_第二部分专项讲义
第12讲圆锥曲线中的轨迹方程(教师版)_2025年新高考资料_一轮复习_备战2025年高考数学一轮复习考点帮_备战2025年高考数学一轮复习考点帮(新高考通用)(完结)_第二部分专项讲义
第12讲圆锥曲线中的轨迹方程(教师版)_2025年新高考资料_一轮复习_备战2025年高考数学一轮复习考点帮_备战2025年高考数学一轮复习考点帮(新高考通用)(完结)_第二部分专项讲义
第12讲圆锥曲线中的轨迹方程(教师版)_2025年新高考资料_一轮复习_备战2025年高考数学一轮复习考点帮_备战2025年高考数学一轮复习考点帮(新高考通用)(完结)_第二部分专项讲义
第12讲圆锥曲线中的轨迹方程(教师版)_2025年新高考资料_一轮复习_备战2025年高考数学一轮复习考点帮_备战2025年高考数学一轮复习考点帮(新高考通用)(完结)_第二部分专项讲义
第12讲圆锥曲线中的轨迹方程(教师版)_2025年新高考资料_一轮复习_备战2025年高考数学一轮复习考点帮_备战2025年高考数学一轮复习考点帮(新高考通用)(完结)_第二部分专项讲义
第12讲圆锥曲线中的轨迹方程(教师版)_2025年新高考资料_一轮复习_备战2025年高考数学一轮复习考点帮_备战2025年高考数学一轮复习考点帮(新高考通用)(完结)_第二部分专项讲义
第12讲圆锥曲线中的轨迹方程(教师版)_2025年新高考资料_一轮复习_备战2025年高考数学一轮复习考点帮_备战2025年高考数学一轮复习考点帮(新高考通用)(完结)_第二部分专项讲义
第12讲圆锥曲线中的轨迹方程(教师版)_2025年新高考资料_一轮复习_备战2025年高考数学一轮复习考点帮_备战2025年高考数学一轮复习考点帮(新高考通用)(完结)_第二部分专项讲义
第12讲圆锥曲线中的轨迹方程(教师版)_2025年新高考资料_一轮复习_备战2025年高考数学一轮复习考点帮_备战2025年高考数学一轮复习考点帮(新高考通用)(完结)_第二部分专项讲义
第12讲圆锥曲线中的轨迹方程(教师版)_2025年新高考资料_一轮复习_备战2025年高考数学一轮复习考点帮_备战2025年高考数学一轮复习考点帮(新高考通用)(完结)_第二部分专项讲义
第12讲圆锥曲线中的轨迹方程(教师版)_2025年新高考资料_一轮复习_备战2025年高考数学一轮复习考点帮_备战2025年高考数学一轮复习考点帮(新高考通用)(完结)_第二部分专项讲义
第12讲圆锥曲线中的轨迹方程(教师版)_2025年新高考资料_一轮复习_备战2025年高考数学一轮复习考点帮_备战2025年高考数学一轮复习考点帮(新高考通用)(完结)_第二部分专项讲义
第12讲圆锥曲线中的轨迹方程(教师版)_2025年新高考资料_一轮复习_备战2025年高考数学一轮复习考点帮_备战2025年高考数学一轮复习考点帮(新高考通用)(完结)_第二部分专项讲义
第12讲圆锥曲线中的轨迹方程(教师版)_2025年新高考资料_一轮复习_备战2025年高考数学一轮复习考点帮_备战2025年高考数学一轮复习考点帮(新高考通用)(完结)_第二部分专项讲义
第12讲圆锥曲线中的轨迹方程(教师版)_2025年新高考资料_一轮复习_备战2025年高考数学一轮复习考点帮_备战2025年高考数学一轮复习考点帮(新高考通用)(完结)_第二部分专项讲义
第12讲圆锥曲线中的轨迹方程(教师版)_2025年新高考资料_一轮复习_备战2025年高考数学一轮复习考点帮_备战2025年高考数学一轮复习考点帮(新高考通用)(完结)_第二部分专项讲义
第12讲圆锥曲线中的轨迹方程(教师版)_2025年新高考资料_一轮复习_备战2025年高考数学一轮复习考点帮_备战2025年高考数学一轮复习考点帮(新高考通用)(完结)_第二部分专项讲义
第12讲圆锥曲线中的轨迹方程(教师版)_2025年新高考资料_一轮复习_备战2025年高考数学一轮复习考点帮_备战2025年高考数学一轮复习考点帮(新高考通用)(完结)_第二部分专项讲义
第12讲圆锥曲线中的轨迹方程(教师版)_2025年新高考资料_一轮复习_备战2025年高考数学一轮复习考点帮_备战2025年高考数学一轮复习考点帮(新高考通用)(完结)_第二部分专项讲义
第12讲圆锥曲线中的轨迹方程(教师版)_2025年新高考资料_一轮复习_备战2025年高考数学一轮复习考点帮_备战2025年高考数学一轮复习考点帮(新高考通用)(完结)_第二部分专项讲义
第12讲圆锥曲线中的轨迹方程(教师版)_2025年新高考资料_一轮复习_备战2025年高考数学一轮复习考点帮_备战2025年高考数学一轮复习考点帮(新高考通用)(完结)_第二部分专项讲义
第12讲圆锥曲线中的轨迹方程(教师版)_2025年新高考资料_一轮复习_备战2025年高考数学一轮复习考点帮_备战2025年高考数学一轮复习考点帮(新高考通用)(完结)_第二部分专项讲义
第12讲圆锥曲线中的轨迹方程(教师版)_2025年新高考资料_一轮复习_备战2025年高考数学一轮复习考点帮_备战2025年高考数学一轮复习考点帮(新高考通用)(完结)_第二部分专项讲义
第12讲圆锥曲线中的轨迹方程(教师版)_2025年新高考资料_一轮复习_备战2025年高考数学一轮复习考点帮_备战2025年高考数学一轮复习考点帮(新高考通用)(完结)_第二部分专项讲义
第12讲圆锥曲线中的轨迹方程(教师版)_2025年新高考资料_一轮复习_备战2025年高考数学一轮复习考点帮_备战2025年高考数学一轮复习考点帮(新高考通用)(完结)_第二部分专项讲义
第12讲圆锥曲线中的轨迹方程(教师版)_2025年新高考资料_一轮复习_备战2025年高考数学一轮复习考点帮_备战2025年高考数学一轮复习考点帮(新高考通用)(完结)_第二部分专项讲义

文档信息

文档格式
docx
文档大小
4.136 MB
文档页数
67 页
上传时间
2026-04-17 15:57:34

文档内容

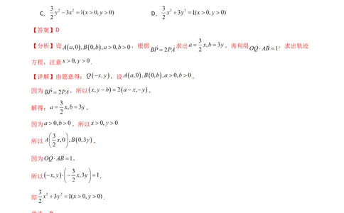
第12讲 圆锥曲线中的轨迹方程 (5 类核心考点精讲精练) 1. 5年真题考点分布 5年考情 考题示例 考点分析 关联考点 2024年新I卷,第11题,6分 求平面轨迹方程 由方程研究曲线的性质 2024年新Ⅱ卷,第5题,5分 求平面轨迹方程 无 由导数求函数的最值 (不含参) 2023年新I卷,第22题,12分 求平面轨迹方程 基本(均值)不等式的应用 求直线与抛物线相交所得弦的弦长 2021年新I卷,第21题,12分 求双曲线的轨迹方程 双曲线中的定值问题 2. 命题规律及备考策略 【命题规律】本节内容是新高考卷的常考内容,设题不定,难度中等或偏难,分值为5-17分 【备考策略】1.理解、掌握圆锥曲线的定义 2.会用方法求解轨迹方程的相关计算 【命题预测】本节内容是新高考卷的常考内容,小题和大题都会作为载体命题,同学们要会结合公式运算, 需强化训练复习 知识讲解求轨迹方程的5种常用方法 1 直接法: 直接将条件翻译成等式,整理化简后即得动点的轨迹方程,这种求轨迹方程的方法通常叫做直 接法。 2 定义法: 如果能够确定动点的轨迹满足某种已知曲线的定义,则可利用曲线的定义写出方程,这种求轨 迹方程的方法叫做定义法。 3 相关点法: 用动点 M 的坐标 x,y 表示相关点 P 的坐标 (x 、y ) ,然后代入点 P的坐标 0 0 (x 、y ) 所满足的曲线方程,整理化简便得到动点 Q 轨迹方程,这种求轨迹方程的方法叫做相关点 0 0 法。(用未知表示已知,带入已知求未知) 4 参数法: 当动点坐标 x、y 之间的直接关系难以找到时,往往先寻找 x、y 与某一变数 t 的关系, 再消去参变数 t ,得到方程,即为动点的轨迹方程,这种求轨迹方程的方法叫做参数法。 5 交轨法: 将两动曲线方程中的参数消去,得到不含参数的方程,即为两动曲线交点的轨迹方程,这种求 轨迹方程的方法叫做交轨法。 考点一、 直接法求轨迹方程 1.(2023·全国·统考高考真题)在直角坐标系 中,点 到 轴的距离等于点 到点 的距离,记 动点 的轨迹为 . (1)求 的方程; 【答案】(1) 【分析】(1)设 ,根据题意列出方程 ,化简即可; 【详解】(1)设 ,则 ,两边同平方化简得 , 故 . 2.(辽宁·高考真题)已知点 、 ,动点 满足 ,则点 的轨迹是( ) A.圆 B.椭圆 C.双曲线 D.抛物线 【答案】D 【分析】向量坐标化代入等式即可. 【详解】∵动点 满足 , ∴ ,∴ ,解得 , ∴点 的轨迹是抛物线. 故选: D 【点睛】直译法求轨迹方程:把等式中相关量坐标化(代数化),然后整理化简. 3.(湖北·高考真题)设过点 的直线分别与x轴的正半轴和y轴的正半轴交于A,B两点,点Q与 点P关于y轴对称,O为坐标原点,若 且 ,则点P的轨迹方程是( ) A. B. C. D. 【答案】D 【分析】设 ,根据 求出 ,再利用 ,求出轨迹 方程,注意 . 【详解】由题意得: ,设 , 因为 ,所以 , 解得: , 因为 ,所以 所以 , 因为 , 所以 , 即 . 故选:D 4.(江苏·高考真题)如图所示,圆 与圆 的半径都是1, ,过动点 分别作圆 、圆 的 切线 ( 为切点),使得 ,试建立适当的坐标系,并求动点 的轨迹方程. 【答案】 (或 ).【分析】建立直角坐标系,设P点坐标,根据几何关系列方程,化简即可得到结果. 【详解】以 的中点 为原点, 所在的直线为 轴,建立如图所示的平面直角坐标系,则 ,设点 . 由已知 ,得 . 因为两圆的半径均为1,所以 , 则 ,即 , 所以点 的轨迹方程为 (或 ). 【点睛】本题主要考查了与圆相关的动点轨迹方程,考查学生计算能力和转化能力,熟练运用数形结合的 思想是本题的关键. 5.(2021·浙江·统考高考真题)已知 ,函数 .若 成 等比数列,则平面上点 的轨迹是( ) A.直线和圆 B.直线和椭圆 C.直线和双曲线 D.直线和抛物线 【答案】C 【分析】首先利用等比数列得到等式,然后对所得的等式进行恒等变形即可确定其轨迹方程. 【详解】由题意得 ,即 , 对其进行整理变形: , , , , 所以 或 , 其中 为双曲线, 为直线. 故选:C. 【点睛】关键点点睛:本题考查轨迹方程,关键之处在于由题意对所得的等式进行恒等变形,提现了核心素养中的逻辑推理素养和数学运算素养,属于中等题. 1.(2020·全国·高考真题)在平面内,A,B是两个定点,C是动点,若 ,则点C的轨迹为( ) A.圆 B.椭圆 C.抛物线 D.直线 【答案】A 【分析】首先建立平面直角坐标系,然后结合数量积的定义求解其轨迹方程即可. 【详解】设 ,以AB中点为坐标原点建立如图所示的平面直角坐标系, 则: ,设 ,可得: , 从而: , 结合题意可得: , 整理可得: , 即点C的轨迹是以AB中点为圆心, 为半径的圆. 故选:A. 【点睛】本题主要考查平面向量及其数量积的坐标运算,轨迹方程的求解等知识,意在考查学生的转化能 力和计算求解能力. 2.(24-25高二上·上海·随堂练习)在平面直角坐标系xOy中,动点P关于x轴对称的点为Q,且 ,则点P的轨迹方程为 . 【答案】 【分析】先设点的坐标,再根据已知等式化简得出轨迹方程. 【详解】设 ,则 , 又因为 可得 . 则点 的轨迹方程为 . 故答案为: . 3.(23-24高二上·陕西宝鸡·期中)已知点 , ,若动点 满足 ,则动点的轨迹方程为 . 【答案】 【分析】设 ,根据斜率得到 ,化简即可. 【详解】设 ,由题意可知 , , 整理可得动点 的轨迹方程为 . 故答案为: . 4.(24-25高三上·广西南宁·开学考试)已知 , ,在x轴上方的动点M满足直线AM的斜率 与直线BM的斜率之积为2,则动点M的轨迹方程为( ) A. B. C. D. 【答案】B 【分析】根据两点求斜率,即可列等量关系化简求解即可. 【详解】设动点 , 由于 , ,根据直线 与 的斜率之积为 . 整理得 ,化简得: . 故选:B 5.(2024·浙江温州·一模)动点 到定点 的距离与 到定直线 : 的距离的比等于 ,则动点 的轨迹方程是( ) A. B. C. D. 【答案】A 【分析】根据距离公式即可化简求解.【详解】根据题意可得 ,平方化简可得 , 进而得 , 故选:A 考点二、 定义法求轨迹方程 1.(重庆·高考真题)如图,M(-2,0)和N(2,0)是平面上的两点,动点P满足: (Ⅰ)求点P的轨迹方程; (Ⅱ)设d为点P到直线l: 的距离,若 ,求 的值. 【答案】(I) ;(II) . 【分析】(I)由双曲线的定义知点 轨迹是以 为焦点,实轴长 的双曲线,由此易得其标准方 程; (II)先求出 (注意其取值范围),根据双曲线的第二定义,建立 与 的关系,从而 ,再由 可得结论. 【详解】(I)由双曲线的定义知点 轨迹是以 为焦点,实轴长 的双曲线,因此半焦距 , 实半轴长 ,从而虚半轴长 , 双曲线方程为 . (II)由(I)及图,易知 ,因 ,① 知|PM|>|PN|,故P为双曲线右支上的点,所以|PM|=|PN|+2. ②将②代入①,得2||PN|2-|PN|-2=0,解得|PN|= ,所以 |PN|= . 因为双曲线的离心率e= =2,直线l:x= 是双曲线的右准线,故 =e=2, 所以d= |PN|,因此 . 【点睛】本小题主要考查双曲线的第一定义、第二定义及转化与化归的数学思想,同时考查了学生的运算 能力. 2.(重庆·高考真题)如图, 和 是平面上的两点,动点P满足: . (1)求点P的轨迹方程; (2)若 ,求点P的坐标. 【答案】(1) (2) , , , 【分析】由已知,可根据椭圆的定义,判断点P的轨迹为椭圆,设出椭圆方程,利用待定系数法,分别求 解出 即可; 由已知,由 可得: ,将这个式子代入到 中,利用余弦定理得到 中,可得: ,从而判断点P的轨迹满足双曲线,求解出双曲线的方程,令椭圆和双曲线方程联立, 即可求解坐标. 【详解】(1)由已知, 和 是平面上的两点,动点P满足: , 所以由椭圆的定义可知,点P的轨迹是以 和 为焦点,长轴为 的椭圆, 设椭圆方程为: , 由已知可得:半焦距 ,长半轴 ,所以 , 所以点P的轨迹方程为: . (2)由 ,得 ,① 又因为 ,所以点P不为椭圆长轴的顶点, 故点P、点M、点N三点组成三角形, 在 中, , , 由余弦定理可知: ,② 将①代入②得: , 所以 ,即 , 故点P的轨迹是以 和 为焦点,实轴为 的双曲线, 设双曲线方程为: , 由已知可得: , , 所以点P的轨迹方程为: . 又因为点P又满足椭圆方程: , 所以由方程组: 解得: , 所以点P的坐标为: , , , . 3.(江西·高考真题)设动点P到两定点 和 的距离分别为 和 , ,且存在常 数 ,使得 .(1)证明:动点P的轨迹C为双曲线,并求出C的方程; (2)如图,过点 的直线与双曲线C的右支交于 两点.问:是否存在 ,使 是以点B为直角顶 点的等腰直角三角形?若存在,求出 的值;若不存在,说明理由. 【答案】(1)证明见解析; . (2)存在; . 【分析】(1)在 中,利用余弦定理得出 是一个常数,从而动点P的轨迹C是以 为焦 点的双曲线,最后求出双曲线的方程即可; (2)在 中,设 ,对于存在性问题,可先假设存在,即假设 为等腰直角三角形,再利用方程组,求出 的值,若出现矛盾,则说明假设不成立,即不存在;否 则存在. 【详解】(1)证明:在 中, , 因为存在常数 ,使得 ,故 , ∴ (小于2的常数), 故动点P的轨迹C是以 为焦点,实轴长 的双曲线, , 双曲线方程为 . (2)在 中,设 ,假设 为等腰直角三角形,则 , 由②与③得 ,则 , 由⑤得 ,即 ,又 , , 故 ,故存在 满足题设条件. 【点睛】关键点点睛:本题考查了轨迹方程的求解,考查了双曲线定义的应用以及双曲线中的探索性问题, 解答的关键是利用双曲线的性质结合图形的几何性质得到相应等量关系,进而化简求值,解答时等量关系式 较多,要注意化简顺序和技巧,可使得计算简化,本题综合性较强,计算量较大. 1.(2023高三·全国·专题练习)已知动点 的坐标满足方程 ,则动点M的 轨迹是( ) A.椭圆 B.双曲线 C.抛物线 D.以上都不对 【答案】C 【分析】等价变形给定等式,再利用式子表示的几何意义,结合抛物线定义即可得解. 【详解】等式 变形成 , 因此该等式表示动点 到原点 的距离等于到它直线 的距离, 而直线 不过原点 ,所以动点M的轨迹是抛物线. 故选:C 2.(23-24高二上·四川凉山·期末)已知点 , ,动点 满足条件 ,则动点 的轨迹方程为( ) A. B. C. D. 【答案】D【分析】根据双曲线的定义可判断动点 的轨迹形状,利用待定系数法即可求得轨迹方程. 【详解】因为 , ,所以 ,动点 满足 , 由双曲线的定义可知,动点 的轨迹是以 , 为焦点的双曲线的左支, 设双曲线方程为 ,则有 , , , 所以动点 的轨迹方程为 . 故选:D. 3.(2024高三·全国·专题练习)若动点P(x,y)满足方程 ,则动点P的轨 迹方程为( ) A. B. C. D. 【答案】A 【分析】根据双曲线定义得到点P的轨迹方程是以A(−2,0)与 为焦点的双曲线,得到答案. 【详解】由题意得点P(x,y)到点A(−2,0)与点 的距离之差的绝对值为3,且 , 故动点P的轨迹方程是以A(−2,0)与 为焦点的双曲线, 故 , 所以 , 所以双曲线的方程为 . 故选:A. 4.(2023·湖北·一模)如图,已知椭圆C的中心为原点O,F(-5,0)为C的左焦点,P为C上一点,满足| OP|=|OF|且|PF|=6,则椭圆C的方程为( ) A. B.C. D. 【答案】C 【分析】设右焦点为F′,连接PF′,根据已知可推得PF⊥PF′,根据勾股定理可求得 ,根据椭圆的定 义可求得 ,从而可得答案. 【详解】由题意可得c=5,设右焦点为F′,连接PF′, 由|OP|=|OF|=|OF′|知,∠PFF′=∠FPO,∠OF′P=∠OPF′, ∴∠PFF′+∠OF′P=∠FPO+∠OPF′,∴∠FPO+∠OPF′=90°,即PF⊥PF′, 在Rt△PFF′中,由勾股定理,得|PF′|= = =8, 由椭圆的定义,得|PF|+|PF′|=2a=6+8=14,从而a=7,a2=49, 于是b2=a2-c2=49-52=24,∴椭圆C的方程为 , 故选:C. 【点睛】本题考查了椭圆的定义,考查了由 求椭圆的标准方程.属于基础题. 5.(20-21高二上·安徽宿州·期末)在 中,已知 , 且 的周长为16,则顶点 的轨迹方程是( ) A. B. C. D. 【答案】C 【解析】由周长得到 ,利用椭圆定义写出点 的轨迹方程. 【详解】由条件可知 , , , 点 是以 为焦点的椭圆,除去左右顶点,并且 , , 顶点 的轨迹方程是 .故选:C 6.(22-23高二·全国·课堂例题)若点 满足方程 ,则动点M的轨 迹方程为( ) A. B. C. D. 【答案】C 【分析】利用两点距离公式的几何意义,结合椭圆的定义即可得解. 【详解】因为动点 满足关系式 , 所以该等式表示点 到两个定点 , 的距离的和为12, 而 ,即动点M的轨迹是以 , 为焦点的椭圆, 且 ,即 ,又 , , 所以动点M的轨迹方程为 . 故选:C. 7.(2024·湖南长沙·二模)已知圆N: ,直线 ,圆M与圆N外切,且与直线 相切,则点M的轨迹方程为 . 【答案】 【分析】设动圆的半径为r,则点M到l': 与点M到点N的距离相等,都是 ,再利用抛物线 的定义求解. 【详解】由题意得,直线l: ,且圆N: , 设圆M半径为r,则点M到l': 与点M到点N的距离相等,都是 , 故点M的轨迹是以N为焦点,以l'为准线的抛物线,故方程为 . 故答案为: 8.(2024·河南濮阳·模拟预测)在平面直角坐标系 中,点F的坐标为 ,以线段FP为直径的圆与圆 相切,则动点P的轨迹方程为( ) A. B. C. D. 【答案】B 【分析】分两圆外切和内切两种情况,根据两圆位置关系结合双曲线的定义分析求解. 【详解】由题意可知:圆 的圆心为O(0,0),半径 , 设 ,以线段FP为直径的圆的圆心为M,半径为 , 若圆 与圆 外切,则 , , 可得 ; 若圆 与圆 内切,则 , , 可得 ; 综上所述: , 可知动点P的轨迹是以 为焦点的双曲线,且 ,则 , 所以动点P的轨迹方程为 . 故选:B. 9.(2024·陕西西安·模拟预测)在直角坐标系 中,点 到点 距离与点 到直线 距离的差 为-1,记动点 的轨迹为 . (1)求 的方程; (2)设点 的横坐标为 . (i)求 在点 处的切线的斜率(用 表示);(ii)直线 与 分别交于点 .若 ,且 时,求直线 的斜率的取值范围(用 表示). 【答案】(1) (2)(i) ,(ii) 【分析】(1)设点P的坐标为 ,利用距离公式列式化简求解即可; (2)(i)利用导数的几何意义求得切线斜率; (ii)分析直线l斜率存在设为 ,与抛物线方程联立,韦达定理,表示出线段AB中点M的坐标, 利用斜率关系得 ,从而 ,根据 ,得 ,分类讨论解不等式即可. 【详解】(1)设点P的坐标为 ,由题意得 , 即 ,整理得 或 故W的方程为 . (2)(i)因为W为 ,所以 . 所以W在点P处的切线的斜率为: ; (ii)设直线l为 ,点M为线段AB的中点, 当 时,不合题意,所以 ; 因为点A,B满足 所以 满足 , 从而 因为直线PM的方程为 ,所以 ,即 , 从而 . 因为 ,所以 , 即 , 等价于 (其中 ). ①当 时,有 ,此时 , ②当 时,有 ,此时 , 综上,当 时, ; 【点睛】关键点睛:本题第二问的关键点在于分析直线l斜率存在设为 ,与抛物线方程联立,韦 达定理,表示出线段AB中点M的坐标,利用斜率关系得 ,从而 ,根据 ,得 ,分类讨论解不等式即可. 10.(22-23高二上·浙江金华·期中)已知椭圆C: =1( )的右焦点F的坐标为 ,且 椭圆上任意一点到两点的距离之和为4. (1)求椭圆C的标准方程 (2)过右焦点F的直线l与椭圆C相交于P,Q两点,点Q关于x轴的对称点为 ,试问 的面积是否 存在最大值?若存在求出这个最大值;若不存在,请说明理由. 【答案】(1) (2)存在最大值,最大值为 【分析】(1)由题意直接得到 , ,然后计算出 即可得到椭圆的标准方程; (2)设直线 的方程为: ,联立椭圆的方程,设 , ,则 ,利用韦达 定理得到两根之和与两根之积,求出直线 的方程,令 ,求出 ,即直线 与 轴交于一个定点,记为 ,然后计算 即可. 【详解】(1)由题意可知: ,椭圆上任意一点到两焦点的距离之和为4, 所以 ,即 , ,所以椭圆的标准方程为: . (2)由题意可知直线 的斜率不为 ,且斜率不可能不存在(否则 重合),所以设直线 的方程为: , 与椭圆的方程联立,得 , 消去 ,得 , 所以 , 设 , ,则 , 由根与系数的关系,得 , 直线 的斜率为: , 所以直线 的方程为 , 令 ,得 , 即直线 与 轴交于一个定点,记为 , 则 ,等号成立当且仅当 . 【点睛】关键点点睛:第二问的关键在于得出直线 与 轴交于一个定点,记为 ,且得到,由此即可顺利得解 考点三、 相关点法求轨迹方程 1.(2024·全国·高考真题)已知曲线C: ( ),从C上任意一点P向x轴作垂线段PP', 为垂足,则线段PP'的中点M的轨迹方程为( ) A. ( ) B. ( ) C. ( ) D. ( ) 【答案】A 【分析】设点 ,由题意,根据中点的坐标表示可得 ,代入圆的方程即可求解. 【详解】设点 ,则 , 因为 为 的中点,所以 ,即 , 又 在圆 上, 所以 ,即 , 即点 的轨迹方程为 . 故选:A 2.(上海·高考真题)点 与圆 上任一点连线的中点的轨迹方程是 A. B. C. D. 【答案】A 【详解】试题分析:设圆上任一点为 , 中点为 ,根据中点坐标公式得, , 因为 在圆 上,所以 ,即 ,化为 , 故选A.考点:1、圆的标准方程;2、“逆代法”求轨迹方程. 【方法点晴】本题主要考查圆的标准方程、“逆代法”求轨迹方程,属于难题.求轨迹方程的常见方法 有:①直接法,设出动点的坐标 ,根据题意列出关于 的等式即可;②定义法,根据题意动点符合 已知曲线的定义,直接求出方程;③参数法,把 分别用第三个变量表示,消去参数即可;④逆代法, 将 代入 .本题就是利用方法④求 的轨迹方程的. 3.(全国·高考真题)设P为双曲线 上一动点,O为坐标原点,M为线段 的中点,则点M的 轨迹方程为 . 【答案】 【分析】设 , ,用 的坐标表示 的坐标,再代入双曲线方程即可得答案. 【详解】设 , , 则 ,即 , 又 ,则 , 整理得 , 即点M的轨迹方程为 . 故答案为: 4.(陕西·高考真题)如图,设P是圆 上的动点,点D是P在x轴上投影,M为 上一点, 且 . (1)当P在圆上运动时,求点M的轨迹C的方程; (2)求过点 且斜率为 的直线被C所截线段的长度.【答案】(1) (2) 【分析】(1)用相关点法求解轨迹方程,设出 ,得到 ,代入 中,得到轨迹 方程; (2)求出过点 且斜率为 的直线方程,联立第一问所求的曲线方程,得到两根之和,两根之积,由 弦长公式求出答案. 【详解】(1)设 ,则 , , 因为 ,所以 ,即 ,故 , 所以 , 因为P是圆 上的点,所以 ,即 ; (2)过点 且斜率为 的直线方程为 , 与 联立得: ,易得 , 设直线 与 的两交点坐标分别为 , 则 , , 故 被C所截线段的长度为 . 1.(23-24高三下·重庆·期中)长为2的线段 的两个端点 和 分别在 轴和 轴上滑动,则点 关于 点 的对称点 的轨迹方程为( ) A. B. C. D. 【答案】D 【分析】设出 、 、 点坐标,由题意可得 、 两点坐标间的关系,用 点的横纵坐标替换 、 点坐标代入计算即可得.【详解】设 、 , , 则有 , ,即 , , 由题意可得 ,即 ,即 . 故选:D. 2.(23-24高三下·江西·开学考试)已知面积为 的正方形 的顶点 、 分别在 轴和 轴上滑动, 为坐标原点, ,则动点 的轨迹方程是( ) A. B. C. D. 【答案】C 【分析】设点 、 、 ,由平面向量的坐标运算可得出 ,由正方形的面积 公式可得出 ,将 代入等式 整理可得出点 的轨迹方程. 【详解】设点 、 、 , 由 , 所以, ,可得 , 因为正方形 的面积为 ,即 ,即 , 整理可得 ,因此,动点 的轨迹方程为 . 故选:C. 3.(2023高三·全国·专题练习)已知点P为椭圆 上的任意一点,O为原点,M满足 , 则点M的轨迹方程为 . 【答案】 .【分析】先设点 ,再由 应用相关点法求轨迹方程即可. 【详解】设点 , 由 得点 ,而点P为椭圆 上的任意一点, 于是得 ,整理得: , 所以点M的轨迹方程是 . 故答案为: 4.(2022高三·全国·专题练习)已知 , ,当 时,线段 的中点 轨迹方程为 . 【答案】 【分析】根据中点坐标公式可得 中点坐标,设点 为线段 的中点轨迹上任一点的坐标,即得 ,消去参数,可得答案. 【详解】因为 , , 所以 中点坐标为 , 即 , 设点 为线段 的中点轨迹上任一点的坐标, , , , 即当 时,线段 的中点轨迹方程为 , 故答案为: 5.(2023·吉林长春·模拟预测)已知斜率为 的动直线与椭圆 交于 两点,线段 的中点 为 ,则 的轨迹长度为 .【答案】 / 【分析】设斜率为 直线方程为 ,联立方程组,写出韦达定理,然后求出线段 的中点为 的参数方程,消参后得到 的轨迹方程,然后利用数形结合方法分析即可. 【详解】设斜率为 直线方程为: , 代入椭圆 中,消元整理得: , 线段 的中点为 ,设 , 则 , 所以 , , 所以 ,消去 得: , 所以线段 的中点为 的轨迹方程为: , 如图所示: 的轨迹即为线段 ,由 或 , 所以 , 所以 的轨迹长度为: , 故答案为: . 考点 四 、 参数法求轨迹方程 1.(全国·高考真题)在平面直角坐标系xOy中,已知圆P在x轴上截得线段长为2 ,在y轴上截得线段长 为2 . (1)求圆心P的轨迹方程; (2)若P点到直线y=x的距离为 ,求圆P的方程. 【答案】(Ⅰ) (Ⅱ) 或 【详解】试题分析:(1)设 ,圆 的半径为 ,则 ,可得圆心 的轨迹方程; (2)设 ,则 ,又根据点到直线距离公式得 ,解出 ,进而可得圆 的半径,求得圆 的方程. 试题解析:(1)设 ,圆 的半径为 ,由题设 ,从而 ,故 的轨迹方程为 . (2)设 ,由已知得 ,又 点在双曲线 上,从而得 .由 ,得 ,此时,圆 的半径 , 由 ,得 ,此时,圆 的半径 ,故圆 的方程为 或 .考点:1.勾股定理及点到直线的距离公式;2.轨迹方程及待定系数法求圆的方程. 【方法点晴】本题主要考查直接法求轨迹方程、点到直线的距离公式及三角形面积公式,属于难题.求轨迹 方程的常见方法有:①直接法,设出动点的坐标 ,根据题意列出关于 的等式即可;②定义法,根 据题意动点符合已知曲线的定义,直接求出方程;③参数法,把 分别用第三个变量表示,消去参数即 可;④逆代法,将 代入 .本题(1)就是利用方法①求 的轨迹方程的. 2.(·辽宁·高考真题)设椭圆方程为 ,过点 的直线l交椭圆于点A,B,O是坐标原点, 点P满足 ,点N的坐标为 ,当l绕点M旋转时,求: (1)动点P的轨迹方程; (2) 的最小值与最大值. 【答案】(1) ;(2)当 时,最小值为 ;当 时,最大值为 . 【分析】(1)设出直线 的方程 和点A、B的坐标,联立直线与椭圆的方程,即可求出 ,然后根据 求出点P的坐标,消去参数,即可得到动点P的轨迹方程,再 检验当k不存在时,是否也满足方程即可; (2)根据点P的轨迹方程求得 的取值范围,再根据两点间的距离公式求出 ,消元,由二次函数的 性质即可求出 的最小值与最大值. 【详解】(1)直线l过点 ,设其斜率为k,则l的方程为 . 设 , ,由题设可得点A、B的坐标是方程组 的解. 将①代入②并化简得 ,所以 于是, , 设点P的坐标为 , 则 消去参数k得 ,③当k不存在时,A、B中点为坐标原点 ,也满足方程③, 所以点P的轨迹方程为 . (2)点P的轨迹方变形为 , 知 ,即 . 所以 , 故当 时, 取得最小值,最小值为 . 当 时, 取得最大值,最大值为 . 【点睛】本题主要考查直线与椭圆的位置关系的应用,平面向量的坐标运算,两点间的距离公式的应用, 利用参数法求轨迹,以及二次函数的性质应用,意在考查学生的数学运算能力,综合性较强,属于中档题. 1.(23-24高三上·重庆·阶段练习)已知圆 与圆 内切,且圆 与直线 相切,则圆 的圆心的轨迹方程为 . 【答案】 【分析】根据题意可得:点 到直线 的距离 ,根据两圆的位置关系列式求解即可. 【详解】设 ,点 到直线 的距离为d, 如图, 只能在直线 的左侧,则 , 因为圆 的圆心为 ,半径为1, 依题意可得 ,即 ,化简可得 ,故圆 的圆心的轨迹方程为 . 故答案为: . 2.(21-22高二上·黑龙江哈尔滨·期末)已知圆 : 和圆 : ,动圆M同时 与圆 及圆 外切,则动圆的圆心M的轨迹方程为 . 【答案】 【分析】根据动圆 同时与圆 及圆 外切,即可得到几何关系,再结合双曲线的定义可得动点的轨迹 方程. 【详解】由题,设动圆 的半径为 ,圆 的半径为 ,圆 的半径为 , 当动圆 与圆 ,圆 外切时, , , 所以 , 因为圆心 , ,即 ,又 根据双曲线的定义,得动点 的轨迹为双曲线的上支,其中 , , 所以 ,则动圆圆心 的轨迹方程是 ; 故答案为: 3.(2023·河南·模拟预测)已知抛物线 的焦点 到准线的距离为2,直线 与抛物线 交于 两点,过点 作抛物线 的切线 ,若 交于点 ,则点 的轨迹方程为 . 【答案】 或 【分析】由题可得抛物线方程,利用切线几何意义可得切线斜率,即可表示出切线方程求出交点坐标,再 将抛物线 与直线 联立,结合韦达定理可得轨迹方程. 【详解】由焦点 到准线的距离为2,可得抛物线 . 由 可得 ,故 , 故在 处的切线方程为 ,即 , 同理在点 处的切线方程为 ,联立 ,即 . 联立直线与抛物线方程: ,消去 得 , 由题 或 . 由韦达定理, , 得 ,其中 或 ,故点 的轨迹方程为: 或 . 故答案为: 或 考点 五 、 交轨法求轨迹方程 1.(全国·高考真题)在平面直角坐标系中,O为坐标原点,已知两点 ,若点C满足 ,其中 , ,且 ,则点C的轨迹方程为 A. B. C. D. 【答案】D 【分析】向量坐标化得 结合 即可得点C的轨迹方程. 【详解】设 .由已知可知 ,又 , 又 , 可得点C的轨迹 方程为 . 故选D. 【点睛】本题考查向量坐标运算,消元法求轨迹方程,是基础题 2.(湖南·高考真题)已知双曲线 的左、右焦点分别为 , ,过点 的动直线与双曲线相交 于 两点. (1)若动点 满足 (其中 为坐标原点),求点 的轨迹方程; (2)在 轴上是否存在定点 ,使 · 为常数?若存在,求出点 的坐标;若不存在,请说明理由. 【答案】(1) ;(2)【分析】(1)设 ,则 , , , ,讨论直线 的斜率存在和不存在的两种情况,当 不与 轴垂直时,利用 的中点坐标和 的坐标表示直线 的斜率,从而得到 的方程,结合点差法消去 的坐标可求得结果,当 与 轴垂直时,也满足; (2)假设在 轴上存在定点 ,使 为常数.当 不与 轴垂直时,设直线 的方程是 ,联立双曲线方程,利用韦达定理化简整理得到 的表达式 , 从而得到 ,当 与 轴垂直时,也满足. 【详解】(1)由条件知 , ,设 , . 设 ,则 , , , ,由 得 即 ,于是 的中点坐标为 . 当 不与 轴垂直时, ,即 . 又因为 两点在双曲线上,所以 , ,两式相减得 ,即 . 将 代入上式,化简得 . 当 与 轴垂直时, ,求得 ,也满足上述方程. 所以点 的轨迹方程是 . (2)假设在 轴上存在定点 ,使 为常数. 当 不与 轴垂直时,设直线 的方程是 . 代入 有 . 则 是上述方程的两个实根,所以 , , 于是 .因为 是与 无关的常数,所以 ,即 ,此时 . 当 与 轴垂直时,点 的坐标可分别设为 , , 此时 . 故在 轴上存在定点 ,使 为常数. 【点睛】本题考查求轨迹方程的方法和直线与双曲线的位置关系,根据条件设而不求,最后再消去交点坐 标是解题的方向,属难题. 3.(福建·高考真题)如图,P是抛物线 上一点,直线l过点P且与抛物线C交于另一点Q. (1)若直线l与过点P的切线垂直,求线段PQ中点M的轨迹方程; (2)若直线l不过原点且与x轴交于点S,与y轴交于点T,试求 的取值范围. 【答案】(1) (x≠0);(2)(2,+∞). 【分析】(1)设P(x ,y ),Q(x ,y ),M(x ,y ),欲求点M的轨迹方程,即寻找其坐标的关系,可通过另外 1 1 2 2 0 0 两点P,Q与中点M的关系结合中点坐标公式求解; (2)欲求 的取值范围,可转化为将其表示成某变量的表达式,设直线l:y=kx+b,依题意k≠0, b≠0,分别过P、Q作PP′⊥x轴,QQ′⊥x轴,垂足分别为P′、Q′,则 ,然 后再利用韦达定理及均值不等式求此表达式的最值问题. 【详解】(1)设P(x ,y ),Q(x ,y ),M(x ,y ),依题意x ≠0,y >0,y >0. 1 1 2 2 0 0 1 1 2 由 ,得y′=x. ∴过点P的切线的斜率k=x , 1 ∴直线l的斜率 ,∴直线l的方程为 ,② 联立①②消去y,得 . ∵M是PQ的中点,∴ , 消去x ,得 , 1 ∴PQ中点M的轨迹方程为 (x≠0). (2)设直线l:y=kx+b,依题意k≠0,b≠0,则T(0,b). 分别过P、Q作PP′⊥x轴,QQ′⊥x轴,垂足分别为P′、Q′, 则 . 由 ,y=kx+b消去x,得y2−2(k2+b)y+b2=0.③ 则y +y =2(k2+b),y y =b2. 1 2 1 2 ∴ . ∵y 、y 可取一切不相等的正数, 1 2 ∴ 的取值范围是(2,+∞). 【点睛】本题考查轨迹方程,中点坐标公式,直线与圆锥曲线的综合问题,解题的关键是将问题的转化再 结合韦达定理即可,属于难题.1.(江西·高考真题)设点 在直线 上,过点P作双曲线 的两条切线 ,切点为A、B,定点 . (1)过点A作直线 的垂线,垂足为N,试求 的重心G所在的曲线方程; (2)求证A、M、B三点共线. 【答案】(1) (2)证明见解析 【分析】(1)联立垂线 与直线 的方程求出 ,根据重心公式求出 点坐标,代 入双曲线得解 (2)将切线方程与双曲线联立,根据判别式为0求出 、 的方程, 根据 在 上,得点 都在直线 上 又 也在直线 上,得证. 【详解】(1)设 ,垂线 的方程为: , 由 得垂足 , 设重心 所以 解得 , 由 可得 即 为重心 所在曲线方程.(2)设 ,由已知得到 ,且 , , 设切线 的方程为: 由 得 从而 ,解得 因此 的方程为: 同理 的方程为: 又 在 上,所以 , 即点 都在直线 上 又 也在直线 上,所以三点 共线 2.(全国·高考真题)已知点 到两个定点 、 距离的比为 ,点 到直线 的距离为 . 求直线 的方程. 【答案】 或 . 【详解】试题分析:先根据直接法求轨迹的方法求点 轨迹方程,再根据三角形PMN确定 ,进而 根据图像确定直线 的斜率,利用点斜式写直线 的方程,与圆联立解得点P坐标,最后根据两点式 写直线 的方程. 试题解析:解:设点 的坐标为 ,由题设有 , 即 , 整理得 ①, 因为点 到 的距离为 , , 所以 ,直线 的斜率为 , 直线 的方程为 ② 将②式代入①式整理得 , 解得 , , 代入②式得点 的坐标为 或 ; 或 , 直线 的方程为 或 .点睛:求动点轨迹方程,一般方法有直接法、转移法、参数法.本题关于动点P的条件为两线段的比值,所 以利用直接法求动点轨迹. 3.(2023高三·全国·专题练习)已知 是椭圆 中垂直于长轴的动弦, 是椭圆长 轴的两个端点,则直线 和 的交点 的轨迹方程为 . 【答案】 ( ). 【分析】设 ,直线 和 的交点为 ,根据 三点共线及 三点共线, 可得两个式子,两式相乘,再结合 在椭圆上即可得出答案. 【详解】设 , 因为椭圆 的长轴端点为 , 设直线 和 的交点为 , 因为 三点共线,所以 , , 因为 三点共线,所以 , 两式相乘得 ,( ), 因为 ,所以 ,即 , 所以 ,整理得 ( ), 所以直线 和 的交点 的轨迹方程 ( ). 故答案为: ( ). 一、单选题 1.(2022高三·全国·专题练习)已知点A(1,0),直线l:y=2x-4,点R是直线l上的一点,若 , 则点P的轨迹方程为( ) A.y=-2x B.y=2x C.y=2x-8 D.y=2x+4【答案】B 【分析】用相关点法即可求解,设P为(x,y),通过 将R点坐标表示出来,R坐标满足l方程,代入 即可得到答案﹒ 【详解】设P(x,y), ,由 知,点A是线段RP的中点, ∴ ,即 , ∵点 在直线y=2x-4上,∴ , ∴-y=2(2-x)-4,即y=2x. 故选:B﹒ 2.(2024·山东泰安·一模)在平面内, 是两个定点, 是动点,若 ,则点 的轨迹为 ( ) A.椭圆 B.抛物线 C.直线 D.圆 【答案】D 【分析】根据题意求出动点 的轨迹方程即可判断. 【详解】设点 ,点 , 则 , . 由 可得: ,即 . 所以点 的轨迹为圆. 故选:D 3.(2024·河南新乡·二模)已知N是圆 上的动点,点M满足 ,记M的轨迹为 E,则( ) A.E是与圆O相切的一条直线 B.E是半径为5的圆 C.E上的点到原点O的距离的最大值为8D.E与圆O相切 【答案】C 【分析】设 ,由向量相等可得 ,则确定E的方程,结合圆与圆的位置关系依次判 断即可. 【详解】A:设 ,则 , 由 ,得 ,解得 , 又点 在圆O上,所以 ,即点M的轨迹是以 为圆心,3为半径的圆,故A错误; B:由A的分析知,E是以 为圆心,3为半径的圆,故B错误; C:E上的点到原点O的距离最大值为 ,故C正确; D:两圆的圆心距为 ,两圆的半径之和为6, 所以 ,即两圆相交,故D错误. 故选:C 4.(2024·湖南·模拟预测)已知点 ,点 ,动点M满足直线AM,BM的斜率之积为4,则动 点M的轨迹方程为( ) A. B. C. D. 【答案】D 【分析】根据两点斜率公式即可列等量关系化简求解即可. 【详解】设动点 由于 , ,根据直线 与 的斜率之积为 . 整理得 ,化简得: . 故选:D 5.(23-24高三上·山东枣庄·期末)已知 的两个顶点 的坐标分别是 ,且 所在 直线的斜率之积等于 ,则( ) A.当 时,顶点 的轨迹是焦点在 轴上的椭圆,并除去 两点 B.当 时,顶点 的轨迹是焦点在 轴上的椭圆,并除去 两点 C.当 时,顶点 的轨迹是焦点在 轴上的双曲线,并除去 两点 D.当 时,顶点 的轨迹是焦点在 轴上的双曲线,并除去 两点 【答案】C 【分析】由题意得 ,分别令 、 即可判断. 【详解】由题意不妨设 ,则 ,即 , 当 时,顶点 的轨迹是以原点为圆心的单位圆,并除去 两点,故AB错误;当 时,顶点 的轨迹是焦点在 轴上的双曲线,并除去 两点,故C正确,D错误. 故选:C. 6.(2024·贵州贵阳·三模)过点 的直线 与圆 相交于不同的两点M,N,则线 段MN的中点 的轨迹是( ) A.一个半径为10的圆的一部分 B.一个焦距为10的椭圆的一部分 C.一条过原点的线段 D.一个半径为5的圆的一部分 【答案】D 【分析】设 , 根据垂径定理得到 ,再转化为 ,写出相关向量,代入化简即可. 【详解】设 ,根据线段 的中点为 ,则 ,即 , 所以 ,又 , 所以 ,即 , 所以点 的轨迹是以 为圆心,半径为5的圆在圆 内的一部分, 故选:D. 二、多选题 7.(2024·海南·模拟预测)在平面直角坐标系 中,已知点 是一个动点,则下列说法 正确的是( ) A.若 ,则点 的轨迹为椭圆 B.若 ,则点 的轨迹为双曲线 C.若 ,则点 的轨迹为一条直线 D.若 ,则点 的轨迹为圆 【答案】BCD 【分析】根据题意结合圆、双曲线以及直接法求轨迹方程逐项分析判断. 【详解】对于选项A: ,则点 的轨迹为线段 ,故A错误; 对于选项B: ,则点 的轨迹是双曲线,故B正确;对于选项 :设 , 由 ,可得 , 化简得 ,表示一条直线,故C正确; 对于选项D:由 ,可得 , 则点 的轨迹是以 为直径的圆,故D正确. 故选:BCD. 三、填空题 8.(2024·江苏南通·二模)已知抛物线 ,过点 的直线与抛物线交于 , 两点,则线段 中点 的轨迹方程为 . 【答案】 【分析】设出直线AB的方程,联立抛物线方程,可得根与系数关系,利用中点坐标公式可表示出线段 中点 的坐标,化简,即可得答案. 【详解】由题意知直线 的斜率不为0,设 的方程为 , 联立抛物线方程 ,得 , , 设 ,则 , 设线段 中点 ,则 , 即 ,故线段 中点 的轨迹方程为 ,即 , 故答案为: 9.(2024·湖南益阳·模拟预测)在平面直角坐标系中,已知点 ,若 为平面上的一个动点 且 ,则点 运动所形成的曲线的方程为 . 【答案】 . 【分析】设 点坐标,再根据题意列出等式,化简即可求得轨迹方程. 【详解】设 ,则由 可得 ,化简得 . 故答案为: . 四、解答题 10.(2024·黑龙江哈尔滨·模拟预测)已知A,B两点的坐标分别是 ,直线AM,BM相交于点 M,且直线AM的斜率与直线BM的斜率的差是 ,记点M的轨迹为曲线C. (1)求曲线C的方程.(2)将曲线C向上平移4个单位得到曲线E,已知斜率为3的直线l与曲线E有两个不同的交点 且满足 ,求直线l的方程. 【答案】(1) (2) 或 【分析】(1)设点M(x,y),根据斜率之差的值整理可得曲线C的方程为 ; (2)易知曲线E为 ,联立曲线E和直线l的方程并利用韦达定理以及向量数量积的坐标表 示可得结果. 【详解】(1)设点M(x,y),根据题意可知 , 直线AM的斜率为 ,直线BM的斜率 ; 即可得 , 整理可得 . (2)如下图所示: 将曲线C向上平移4个单位得到曲线E为 ; 设直线l的方程为 , ; 联立曲线E和直线l整理可得 , 所以 ; 因此 , 即 ,解得 或 ; 当 时,方程 的根为 ,符合题意; 当 时,方程 的根为 ,符合题意; 因此可知,直线l的方程为 或 .一、单选题 1.(2024·河南信阳·模拟预测)已知椭圆C: 的下顶点为A,斜率不为0的直线 与C交于B,D 两点,记线段 的中点为E,若 ,则( ) A.点E在定直线 上 B.点E在定直线 上 C.点E在定直线 上 D.点E在定直线 上 【答案】A 【分析】先设直线,然后根据韦达定理求出E点坐标,根据直线垂直列出方程求解,最后代入E点即可求出 E所在直线. 【详解】由题意知 ,设直线l的方程为 ,设 , 联立 消去 得 , 所以 , 所以 所以 的中点 , 因为 , 所以 , 即 , 整理得 , 所以E在定直线 上, 故选:A. 2.(2024·山东济南·模拟预测)在平面直角坐标系 中,已知 ,动点 满足,且 ,则下列说法正确的是( ) A.点 的轨迹为圆 B.点 到原点最短距离为2 C.点 的轨迹是一个正方形 D.点 的轨迹所围成的图形面积为24 【答案】D 【分析】设点 的坐标为 ,由已知条件 结合向量的坐标运算用 表示出 ,结 合 可得 的关系,从而可求出点 的轨迹方程,再逐个分析判断. 【详解】设点 的坐标为 ,因为 ,动点 满足 , 所以 ,得 , 因为 ,所以 , 即点 的轨迹方程为 , 当 时,方程为 , 当 时,方程为 , 当 时,方程为 , 当 时,方程为 , 所以点 对应的轨迹如图所示,且 , , 所以点 的轨迹为菱形,所以AC错误, 原点到直线的距离为 ,所以B错误, 点 的轨迹所围成的图形面积为 ,所以D正确. 故选:D 3.(2024·四川宜宾·三模)已知抛物线C: ,过动点P作两条相互垂直的直线,分别与抛物线C相 切,则点P的轨迹是( ) A.一条抛物线 B.一个圆 C.一条直线 D.一段线段【答案】C 【分析】设P(x ,y ),切点为A(x ,y ),B(x ,y ),利用导数的几何意义以及两点斜率公式可得 是 0 0 1 1 2 2 关于 的方程 的两根,结合 垂直,可得 ,结合韦达定理可得 , 对比即可得解. 【详解】 设P(x ,y ),显然抛物线C: 的切线斜率不为0, 0 0 而两条相互垂直的切线,它们的斜率不为0,且一定存在,故切点不可能是原点, 设切点为A(x ,y ),B(x ,y ), 或 , 1 1 2 2 当 时, ,当 时, , 所以无论如何都有 , 所以 ,同理 ,注意到 , 所以 是关于 的方程 的两根, , 一方面:因为 垂直,所以 , 另一方面:由韦达定理有 , 综合以上两方面,有 ,这意味着点 在定直线 上运动,此时满足 ,符合题意. 故选:C. 4.(2024·安徽·模拟预测)已知 , 为圆 : 上的动点,且动点 满足: , 记 点的轨迹为 ,则( ) A. 为一条直线 B. 为椭圆 C. 为与圆 相交的圆 D. 为与圆 相切的圆 【答案】D【分析】设P(x ,y ),由 ,得到 点坐标,设 点坐标为 ,用 点坐标表示 点坐标, 0 0 并带入圆 ,得到 点的轨迹方程 ,再利用圆心距与半径的关系判 点的轨迹 与圆 的位置关系. 【详解】设P(x ,y ),由 ,可得 , 0 0 所以 点坐标为 , 设 点坐标为 ,则 ,即 , 把 代入圆 ,则 点的轨迹 的方程为: , 即 是圆心为 ,半径为1的圆, 由于两圆的圆心距和两圆的半径和相等,因此两圆外切,即 为与圆 相切的圆. 故选:D. 二、多选题 5.(2024·福建泉州·模拟预测)在平面直角坐标系 中,已知 是动点.下列命 题正确的是( ) A.若 ,则 的轨迹的长度等于2 B.若 ,则 的轨迹方程为 C.若 ,则 的轨迹与圆 没有交点 D.若 ,则 的最大值为3 【答案】ACD 【分析】对于A,确定M点轨迹,即可判断;对于B,结合双曲线定义进行判断;对于C,求出M点轨迹 方程,联立方程或利用向量数量积判断与圆的交点情况,即可判断;对于D,求出动点M的轨迹方程,进 而求解数量积最值,即可判断. 【详解】选项A:因为 ,所以 的轨迹为线段 , 从而 的轨迹的长度等于2,故A正确; 选项B:因为 ,由双曲线的定义知, 的轨迹是以 为焦点的双曲线的右支, 而结论的方程中未限制范围,故B错误;(由 ,得 的轨迹方程为 ) 选项C:解法一:由 ,得 ,化简得, ,联立 ,得 , 这与 矛盾,所以方程组无解,故 的轨迹与圆 没有交点,故C正确; 解法二:若有交点M(x,y),则 , 又 ,矛盾, 所以 的轨迹与圆 没有交点,故C正确; 选项D: 解法一:由 得, , 化简得 , 所以 的轨迹是以 为圆心,半径为 的圆, 等于 在 轴上的投影的长度, 由图知其最大值为3,故D正确; 解法二:同法一得 的轨迹是以 为圆心,半径为 的圆, ,由圆的方程知 可取到最大值3,故D正确; 解法三:由 得, , 当 在 的反向延长线上时取等号, ① ; ②当 在 的反向延长线上,且 时, 满足条件 ,此时 , 所以 的最大值为3,故D正确; 故选:ACD.三、填空题 6.(2024·福建泉州·模拟预测)已知 为坐标原点,矩形 的顶点A,C在抛物线 上,则顶点 B的轨迹方程为 . 【答案】 【分析】设A(x ,y ), ,则 ,再由 ,可得 ,进而可得答案. 1 1 【详解】如图, 设A(x ,y ), ,则 , 1 1 依题意,四边形 为矩形, 则 ,即 , 所以 ,即 , 则 , 所以顶点 的轨迹方程为 , 故答案为: . 四、解答题 7.(2024·河北石家庄·二模)已知 为平面上一个动点, 到定直线 的距离与到定点 距离的 比等于 ,记动点 的轨迹为曲线 . (1)求曲线 的方程; (2)过点 的直线 与曲线 交于 , 两点,在 轴上是否存在点 ,使得 为定值?若存在,求出 该定值;若不存在,请说明理由. 【答案】(1) (2)在 轴上存在点 ,使得 为定值,定值为 .【分析】(1)根据题意,用点到直线和点到点的距离公式列出方程,整理得出方程即可. (2)假设存在 ,先考虑斜率不为0的情况,设其方程为 ,再与曲线联立后用韦达定理,表 达出 ,若要上式为定值,则必须有 ,即 ,代入求出 . 再考虑斜率为0的时候,直接求出即可. 【详解】(1)设点 的坐标为 ,则 , 即 ,化简得: ,所以双曲线 的标准方程为 ; (2)如图 当直线 的斜率不为0时,设其方程为 . 由于直线与双曲线交点两个,则直线不能与渐近线平行,渐近线斜率为 ,则 . 代入 ,整理得, ,设 , , , , , 则 , 所以 . 若要上式为定值,则必须有 ,即 , ,故存在点 满 足 . 当直线 的斜率为0时, , ,此时点 亦满足 ,故存在点 满足 . 综上所得,在 轴上存在点 ,使得 为定值,定值为 . 8.(2024·全国·模拟预测)在平面直角坐标系 中,已知 是 轴上的动点, 是平面内的动点,线段 的垂直平分线交 轴于点 ,交 于点 ,且 恰好在 轴上,记动点 的轨迹为曲线 . (1)求曲线 的方程(2)过点 的直线 与曲线 交于 两点,直线 与直线 分别交于点 ,设线段 的 中点为 ,求证:点 在曲线 上. 【答案】(1) (2)证明见解析 【分析】(1)解法一:设 , ,则 .易知 不符合题意,当 时利用垂直直 线斜率之积为-1计算即可求解; 解法二:在射线 上另取一点 使 ,根据全等三角形的性质可得 ,结合抛物线的 定义即可求解; (2)解法一:设l方程,联立抛物线方程,设P(x ,y ),Q(x ,y ), , ,利用韦达定理 1 1 2 2 表示 ,进而对 化简计算求出G ,即可证明. 解法二:设l方程,联立抛物线方程得 ,则 , 是该方程的两根,从而 ,即可求解. 【详解】(1)解法一 设 , ,则 . 由点 在 轴上,得 ,则 , , 因为 ,若 ,则 ,点 , 重合,不合题意; 若 ,则 ,即 . 所以曲线 的方程是 . 解法二 在射线 上另取一点 ,使 ,连接 , 又 ,所以点 在直线 上, 易知 ≌ ,所以 垂直于直线 , 连接 ,则 ,显然点 不能在 轴上,即 , 故由抛物线的定义知,曲线 的方程是 . (2)解法一 设 ,与 联立,消去 , 得 ,则 ,得 , 设P(x ,y ),Q(x ,y ),则 , , 1 1 2 2 设直线 , 的方程分别为 , , , ,则 , 所以点 的纵坐标为 ,故点 的坐标为 , 显然点 的坐标 满足方程 ,故点 在曲线 上. 解法二 设 ,因为直线 过点 ,所以 , 由 ,得 . 设P(x ,y ),Q(x ,y ),直线 , 的方程分别为 , , , , 1 1 2 2 则 , 是上面关于 的方程的两根, 即直线 , 的斜率 , 是关于 的方程的两根, 所以 ,从而 , 所以点 的纵坐标为 ,故点 的坐标为 , 显然点 的坐标 满足方程 ,故点 在曲线 上. 【点睛】易错点点睛:本题考查了抛物线方程的求法以及直线和抛物线位置关系的应用,易错点在于运算 基本都是字母参数的运算,要特别注意,很容易出现计算错误. 9.(2024·广东广州·模拟预测)将 上各点的纵坐标变为原来的 倍(横坐标不变),所得曲线 为 .记 ,过点 的直线与 交于不同的两点 ,直线 , 与 分别交于点 . (1)求 的方程; (2)设直线 , 的倾斜角分别为 , ( , ),求 的值.【答案】(1) (2) 【分析】(1)设所求轨迹 上的任意点为 ,且对应的点为 ,列出关系式,代入即可求解; (2)设直线 方程:① ,联立方程组,结合韦达定理求得 和 ,再结合 三点共线,求得 ,利用斜率公式,即可求解; 【详解】(1)解:设所求轨迹 上的任意点为 ,与 对应的点为(x ,y ), 1 1 根据题意,可得 ,即 代入方程 ,可得 ,整理得 , 所以曲线 的轨迹方程为 . (2)设A(x ,y ),B(x ,y ), , , 1 1 2 2 由题知 ,所以直线 的斜率不可能为0, 设直线 的方程为 联立方程组 ,整理得 , , 由韦达定理得, , , 又因为 ,点A(x ,y )在椭圆 上, 1 1所以 , , ,同理可得 , 又因为 三点共线,可得 , 即 , 所以 , 所以 . 【点睛】易错点点睛:第(2)小题中,设直线 的方程时,很容易忽略一些特殊情况,比如:若令直线 时,需要考虑直线斜率为0时是否满足题意,若令直线为y=k(x−1),则需要考虑直线斜率不存 在的时候. 10.(2024·安徽合肥·三模)已知动点 与定点 的距离和 到定直线 的距离的比为常数 , 其中 ,且 ,记点 的轨迹为曲线 . (1)求 的方程,并说明轨迹的形状; (2)设点 ,若曲线 上两动点 均在 轴上方, ,且 与 相交于点 .当 时, (ⅰ)求证: 为定值 (ⅱ)求动点 的轨迹方程. 【答案】(1)答案见解析 (2)(i)证明见解析;(ⅱ) 【分析】(1)设P(x,y),由题意可得 ,结合椭圆、双曲线的标准方程即可求解; (2)设点 ,其中 且 , .(ⅰ)由 可知 三点共线且 ,设直线 的方程为 ,联立 的方程,利用韦达定理表示出 ,化简计算即可得证;(ⅱ)由椭圆的定义及平行线对应线段成比例性质可得 , ,化简 结合(i)可得 ,从而可得点 的轨迹方程. 【详解】(1)设点P(x,y),由题意可知 ,即 , 经化简,得 的方程为 , 当 时,曲线 是焦点在 轴上的椭圆; 当 时,曲线 是焦点在 轴上的双曲线. (2)当 时,由(1)可知 的方程为 , 设点 ,其中 且 , (i)证明:因为 ,所以 , 因此, 三点共线, 且 , 设直线 的方程为 ,联立 的方程,得 , , 则 , 由(1)可知 , 所以 (定值), (ⅱ)由椭圆定义 ,得 ,, 解得 , 同理可得 , 所以 . 所以,点 在以点 为焦点长轴长为6的椭圆上,由于点 均在 轴上方,所以动点 的轨迹方程 为 【点睛】方法点睛: 求定值问题常见的方法有两种: (1)从特殊入手,求出定值,再证明这个值与变量无关. (2)直接推理、计算,并在计算推理的过程中消去变量,从而得到定值. 11.(2024·陕西安康·模拟预测)已知抛物线 的准线方程为 ,直线l与C交于 A,B两点,且 (其中O为坐标原点),过点O作 交AB于点D. (1)求点D的轨迹E的方程; (2)过C上一点 作曲线E的两条切线分别交y轴于点M,N,求 面积的最小值. 【答案】(1) (2)8. 【分析】(1)由抛物线准线方程即可得到p,从而求得抛物线方程,然后利用两个垂直转化为向量的数量 积为0,再结合点D在直线AB上,得到等式,消元 即可求得点D轨迹方程;(2)易知 ,利用切线方程求出M,N的坐标,然后求得|MN|,最后用 表示 的面积,再利用基本不等式即可求得面积的最小值. 【详解】(1)由题意可得 ,即 ,所以抛物线方程为 设 ,则 , 因为 ,所以 , 及 ,又由题意可知 ,所以 又 ,且 所以 , 即 , 又因为点D在直线AB上,且 , 所以 ,即 , 所以 , 由①②式可得, 当 时, ,解得 ; ,此时 ; 当 时,消 可得, ,即 , 点(2,0)同样满足该方程, 显然D与O不重合,所以 , 综上,点D的轨迹E的方程为 ; (2)因为 ,结合题意可得切线斜率存在且都不为0, 设切线的斜率为 , 的斜率分别为 ,则 切线方程为 ,即 , 令 ,得 , ,又 ,消元得 因为相切,所以 , 即 易知 的斜率分别为 是方程③的两个根, 所以 , 所以 , 所以 , 所以 , 令 , ,当且仅当 ,即 时,取等号. 综上, 面积的最小值为8. 【点睛】关键点点睛:第(1)小题的关键是利用两个垂直,转化为数量积为0的等量关系,然后借助点在 直线上,利用向量共线得到另一个等量关系,消元即可求得动点的轨迹方程;第(2)小题的关键是利用 切线方程与圆的方程联立,求得一个关于斜率k的一元二次方程,把两条切线的斜率转化为一个关于k的 一元二次方程的两根,用韦达定理求出|MN|的值,最后求得面积关于 的表达式. 12.(2024·四川宜宾·三模)已知椭圆E: 的左右焦点分别为 , ,过焦点 斜率为 的直 线 与椭圆E交于A,B两点,过焦点 斜率为 的直线 与椭圆E交于C,D两点,且 .(1)求直线 与 的交点N的轨迹M的方程; (2)若直线OA,OB,OC,OD的斜率分别为 , , , ,问在(1)的轨迹M上是否存在点P, 满足 ,若存在,求出点P坐标;若不存在,说明理由. 【答案】(1) ( 且 ) (2)存在, 或 【分析】(1)设 : , : ,直线 与 的交点是N,且 ,消去 即可得解; (2)通过 得到 ,然后求解点 的坐标. 【详解】(1)由已知 , ,则 : , : , ∴点 满足 ,即 ,∴① ② , ∴点P的轨迹方程是 ( ), 又依题意可知 , 综上可知:直线 与 的交点N的轨迹M的方程为: ( 且 ); (2)由题意知直线 : ,与椭圆方程联立 , 消元得 , , , 同理可得 , 所以 ,即 . 由(1)知 ,所以 ,令点 , ,解得 , ∴存在 或 满足题意.【点睛】关键点点睛:第二问的关键是先通过韦达定理,把 转化成 ,然后即 可求出点 的坐标. 13.(2024·全国·模拟预测)已知双曲线 : ( , )的渐近线方程为 ,过 的左焦点 且垂直于一条渐近线的直线分别交两条渐近线于点 , ( , 在 轴同侧),且 . (1)求双曲线 的标准方程; (2)探究圆 : 上是否存在点 ,使得过 作双曲线 的两条切线 , 互相垂直, 并说明理由. 【答案】(1) (2)不存在,理由见解析 【分析】(1)在 ,易得 , ,根据条件,利用正切的倍角公式求得 ,进而求得 , ,即可求出结果; (2)双曲线的两条切线分别为 , ,分别联立双曲线方程得 , , 联立两切线方程,求出交点轨迹方程 ,再判断两圆的位置关系,即可求出结果. 【详解】(1)设 为坐标原点,不妨设 ,因为双曲线 的渐近线方程为 ,即 , 又 ,在 中, , , 易知 ,所以 , 所以 ,得到 , 又双曲线 的渐近线方程为 ,所以 , 故双曲线 的标准方程为 . (2)圆 : 上不存在点 ,使得过 作双曲线 的两条切线 , 互相垂直, 若双曲线的两条切线有交点,则易知两条切线的斜率存在且不为0,设双曲线的两条切线分别为 ,, 将 代入 ,消 得 , 由 ,得 , 同理可得 . 设两条切线的交点坐标为 , 则 ,得 且 , 所以 , 是关于 的方程 的两根, 整理得 , 所以 ,化简得 , 所以两条切线的交点的轨迹为圆 , 因为圆 的圆心为O(0,0),半径为 , 圆 : ,即 ,圆心为 ,半径为 , 连接 ,则 ,又 ,所以两圆相离, 故圆 : 上不存在点 ,使得过 作双曲线 的两条切线互相垂直. 【点睛】方法点晴:椭圆 ( )的两条垂直切线的交点的轨迹是圆 ;双 曲线 ( )的两条垂直切线的交点的轨迹是圆 ( );抛物线 ( )的两条垂直切线的交点的轨迹是直线 . 14.(2024·河北沧州·模拟预测)已知圆 ,圆 .若动圆S与圆 、 圆 都内切,记动圆S的圆心的轨迹为C. (1)求轨迹C的方程; (2)已知 ,过点 的直线l与C交于P,Q两点,直线AP,AQ分别交直线 于M,N,设线段MN的中点为G,判断点G是否在轨迹C上,并说明理由. 【答案】(1) (2)在,理由见解析 【分析】(1)由题意可推出 ,根据双曲线的定义即可得出答案; (2)设直线l的方程,与双曲线的方程联立方程组,得到韦达定理式,求得线段MN的中点G 即可验证 是否在双曲线上. 【详解】(1)由题意,设动圆S的圆心为 ,半径为r, 圆 的圆心为 ,半径为1, 圆 的圆心为 ,半径为5. 而圆S与定圆 , 都内切, 所以 , , 则 . 于是,动圆S的圆心的轨迹为以 , 为焦点的双曲线的右支, 则 , , , 故轨迹C的方程为 . (2)法1:如图, 由题意知直线l一定有斜率,设其斜率为k, 则直 ,与 联立, 得 , 其中 , , 设 , ,故 从而直线AM,AN的斜率之和为 . 又 , , 所以 , 故线段MN的中点为 ,由 知,点G在轨迹C上. 法2:将双曲线C的右支及点B(2,1)按向量 平移, 使A(−2,0)→O(0,0),P→ ,Q→ 、B(2,1)→ . 设直线 的方程为 ,则 过点 ,所以 , 平移后的双曲线方程为 ,即 , 齐次化后为 , 将以上的齐次方程两边同时除以 , 整理得 , 由题意得 , 是该方程的两个实根, 由韦达定理, , 又 , ,所以 , 故线段MN的中点是 ,由 知,点G在轨迹C上. 15.(2024·广东深圳·模拟预测)在平面直角坐标系中,过直线 上任一点 作该直线的垂线 , ,线段 的中垂线与直线 交于点 . (1)当 在直线 上运动时,求点 的轨迹 的方程; (2)过 向圆 引两条切线,与轨迹 的另一个交点分别 ①判断:直线 与圆 的位置关系,并说明理由; ②求 周长的最小值. 【答案】(1) (2)①相切,理由见解析;② 【分析】(1)利用抛物线的几何定义就可以写出抛物线方程; (2)①与圆相切利用圆心到切线的距离相等来研究,所以设好相关点的坐标,可通过解析法来得到直线 的方程,然后再用点到直线的距离来判断是否相切; ②利用内切圆的半径为1,可以把周长问题转化为面积最值问题,即 ,然后构造函数利用 求导思想来求最值. 【详解】(1) 由垂直平分线的性质可知: , 所以点P的轨迹为以 为焦点,直线 为准线的抛物线, 则轨迹C的方程为 ; (2)①不妨设 , 可得直线PA的方程为 , 整理得 , 因为该直线为圆 的切线,所以 即 同理得 , 所以 是方程 的两根, 此时 , 易知直线AB的方程为 即 , 则点N到AB的距离 ,故直线AB与圆N相切; ②易知 而点 到直线AB的距离 , 所以 , 不妨设 ,记 , 可得 易知 , 当 时, , 可得 单调递增; 当 时, , 当 时, ,可得 单调递减; 当 时, ,可得 单调递增, 又 ,所以 的面积最小值为 , 当且仅当 或 ,即 或 时,等号成立, 又 故 周长的最小值为 . 【点睛】关键点点睛:1、直线与圆相切问题转化为圆心到直线的距离等于半径; 2、周长最值问题转化为面积最值问题,利用内切圆半径为1,且 . 1.(2024·全国新Ⅰ卷·高考真题)(多选)设计一条美丽的丝带,其造型 可以看作图中的曲线C的一部分. 已知C过坐标原点O.且C上的点满足:横坐标大于 ,到点 的距离与到定直线 的距离之 积为4,则( )A. B.点 在C上 C.C在第一象限的点的纵坐标的最大值为1 D.当点 在C上时, 【答案】ABD 【分析】根据题设将原点代入曲线方程后可求 ,故可判断A的正误,结合曲线方程可判断B的正误,利 用特例法可判断C的正误,将曲线方程化简后结合不等式的性质可判断D的正误. 【详解】对于A:设曲线上的动点P(x,y),则 且 , 因为曲线过坐标原点,故 ,解得 ,故A正确. 对于B:又曲线方程为 ,而 , 故 . 当 时, , 故 在曲线上,故B正确. 对于C:由曲线的方程可得 ,取 , 则 ,而 ,故此时 , 故 在第一象限内点的纵坐标的最大值大于1,故C错误. 对于D:当点 在曲线上时,由C的分析可得 , 故 ,故D正确. 故选:ABD. 【点睛】思路点睛:根据曲线方程讨论曲线的性质,一般需要将曲线方程变形化简后结合不等式的性质等 来处理. 2.(全国·统考高考真题)在平面内,A,B是两个定点,C是动点,若 ,则点C的轨迹为( )A.圆 B.椭圆 C.抛物线 D.直线 【答案】A 【分析】首先建立平面直角坐标系,然后结合数量积的定义求解其轨迹方程即可. 【详解】设 ,以AB中点为坐标原点建立如图所示的平面直角坐标系, 则: ,设 ,可得: , 从而: , 结合题意可得: , 整理可得: , 即点C的轨迹是以AB中点为圆心, 为半径的圆. 故选:A. 【点睛】本题主要考查平面向量及其数量积的坐标运算,轨迹方程的求解等知识,意在考查学生的转化能 力和计算求解能力. 3.(江苏·高考真题)已知两点M(-2,0),N(2,0),点P为坐标平面内的动点,满足 ,则动点P(x,y)的轨迹方程为( ) A. B. C. D. 【答案】A 【分析】先根据MN的坐标求出|MN|然后设点P的坐标表示出关系 0即可得到答案. 【详解】设P(x,y),x>0,y>0,M(﹣2,0),N(2,0), 则 由 , 则 , 化简整理得y2=﹣8x. 故选A. 【点睛】直接法求轨迹方程的一般步骤:(1)建立适当的坐标系;(2)设出所求曲线上点的坐标,把几 何条件或等量关系用坐标表示为代数方程;(3)化简整理这个方程,检验并说明所求方程就是曲线的方程.直接法求轨迹方程时最关键的就是把几何条件或等量关系翻译为代数方程,要注意翻译的等价性.通常 将步骤简记为“建系,设点,列式,化简”. 4.(上海·高考真题)直角坐标平面 中,若定点 与动点 满足 ,则点 的轨迹 方程是 【答案】 【分析】设点 ,则 ,由 ,所以 ,代入 ,即可求解。 【详解】设点 ,则 ,可得 , 因为 ,所以 ,即 , 所以点的轨迹方程为 。 故答案为: 。 【点睛】本题主要考查了向量的数量积的运算,以及轨迹方程的求解,其中解答中熟练应用向量的数量积 的运算公式,准确计算即可求解,着重考查了推理与运算能力,属于基础题。 5.(四川·高考真题)如图,动点 到两定点 、 构成 ,且 ,设动点 的轨迹为 . (1)求轨迹 的方程; (2)设直线 与 轴交于点 ,与轨迹 相交于点 ,且 ,求 的取值范围. 【答案】(1)3x2-y2-3=0(x>1);(2) 【详解】(1)设 的坐标为 ,显然有 ,且 , 当 时,点 的坐标为 , 当 时, ,由 , 有 ,即 ,化简可得, ,而点 也在曲线 , 综上可知,轨迹 的方程为 ;(2)由 ,消去 并整理,得 , 由题意,方程 有两根且均在 内.设f(x)=x2-4mx+m2+3, ∴ ,解得 ,且 , 设 , 的坐标分别为 , ,由 及方程 有 , , ∴ , 由 ,且 ,得 且 , 故 的取值范围是 . 考点:1.圆锥曲线轨迹;2.直线与双曲线相交综合题.