当前位置:首页>文档>高考仿真重难点训练06解三角形(解析版)_2025年新高考资料_一轮复习_2025年高考数学一轮复习《重难点题型与知识梳理•高分突破》(新高考专用)

高考仿真重难点训练06解三角形(解析版)_2025年新高考资料_一轮复习_2025年高考数学一轮复习《重难点题型与知识梳理•高分突破》(新高考专用)

  • 2026-04-21 13:17:29 2026-04-21 13:17:29

文档预览

高考仿真重难点训练06解三角形(解析版)_2025年新高考资料_一轮复习_2025年高考数学一轮复习《重难点题型与知识梳理•高分突破》(新高考专用)
高考仿真重难点训练06解三角形(解析版)_2025年新高考资料_一轮复习_2025年高考数学一轮复习《重难点题型与知识梳理•高分突破》(新高考专用)
高考仿真重难点训练06解三角形(解析版)_2025年新高考资料_一轮复习_2025年高考数学一轮复习《重难点题型与知识梳理•高分突破》(新高考专用)
高考仿真重难点训练06解三角形(解析版)_2025年新高考资料_一轮复习_2025年高考数学一轮复习《重难点题型与知识梳理•高分突破》(新高考专用)
高考仿真重难点训练06解三角形(解析版)_2025年新高考资料_一轮复习_2025年高考数学一轮复习《重难点题型与知识梳理•高分突破》(新高考专用)
高考仿真重难点训练06解三角形(解析版)_2025年新高考资料_一轮复习_2025年高考数学一轮复习《重难点题型与知识梳理•高分突破》(新高考专用)
高考仿真重难点训练06解三角形(解析版)_2025年新高考资料_一轮复习_2025年高考数学一轮复习《重难点题型与知识梳理•高分突破》(新高考专用)
高考仿真重难点训练06解三角形(解析版)_2025年新高考资料_一轮复习_2025年高考数学一轮复习《重难点题型与知识梳理•高分突破》(新高考专用)
高考仿真重难点训练06解三角形(解析版)_2025年新高考资料_一轮复习_2025年高考数学一轮复习《重难点题型与知识梳理•高分突破》(新高考专用)
高考仿真重难点训练06解三角形(解析版)_2025年新高考资料_一轮复习_2025年高考数学一轮复习《重难点题型与知识梳理•高分突破》(新高考专用)
高考仿真重难点训练06解三角形(解析版)_2025年新高考资料_一轮复习_2025年高考数学一轮复习《重难点题型与知识梳理•高分突破》(新高考专用)
高考仿真重难点训练06解三角形(解析版)_2025年新高考资料_一轮复习_2025年高考数学一轮复习《重难点题型与知识梳理•高分突破》(新高考专用)
高考仿真重难点训练06解三角形(解析版)_2025年新高考资料_一轮复习_2025年高考数学一轮复习《重难点题型与知识梳理•高分突破》(新高考专用)
高考仿真重难点训练06解三角形(解析版)_2025年新高考资料_一轮复习_2025年高考数学一轮复习《重难点题型与知识梳理•高分突破》(新高考专用)
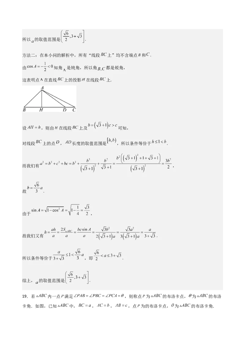
高考仿真重难点训练06解三角形(解析版)_2025年新高考资料_一轮复习_2025年高考数学一轮复习《重难点题型与知识梳理•高分突破》(新高考专用)
高考仿真重难点训练06解三角形(解析版)_2025年新高考资料_一轮复习_2025年高考数学一轮复习《重难点题型与知识梳理•高分突破》(新高考专用)
高考仿真重难点训练06解三角形(解析版)_2025年新高考资料_一轮复习_2025年高考数学一轮复习《重难点题型与知识梳理•高分突破》(新高考专用)
高考仿真重难点训练06解三角形(解析版)_2025年新高考资料_一轮复习_2025年高考数学一轮复习《重难点题型与知识梳理•高分突破》(新高考专用)
高考仿真重难点训练06解三角形(解析版)_2025年新高考资料_一轮复习_2025年高考数学一轮复习《重难点题型与知识梳理•高分突破》(新高考专用)
高考仿真重难点训练06解三角形(解析版)_2025年新高考资料_一轮复习_2025年高考数学一轮复习《重难点题型与知识梳理•高分突破》(新高考专用)
高考仿真重难点训练06解三角形(解析版)_2025年新高考资料_一轮复习_2025年高考数学一轮复习《重难点题型与知识梳理•高分突破》(新高考专用)
高考仿真重难点训练06解三角形(解析版)_2025年新高考资料_一轮复习_2025年高考数学一轮复习《重难点题型与知识梳理•高分突破》(新高考专用)
高考仿真重难点训练06解三角形(解析版)_2025年新高考资料_一轮复习_2025年高考数学一轮复习《重难点题型与知识梳理•高分突破》(新高考专用)
高考仿真重难点训练06解三角形(解析版)_2025年新高考资料_一轮复习_2025年高考数学一轮复习《重难点题型与知识梳理•高分突破》(新高考专用)
高考仿真重难点训练06解三角形(解析版)_2025年新高考资料_一轮复习_2025年高考数学一轮复习《重难点题型与知识梳理•高分突破》(新高考专用)
高考仿真重难点训练06解三角形(解析版)_2025年新高考资料_一轮复习_2025年高考数学一轮复习《重难点题型与知识梳理•高分突破》(新高考专用)
高考仿真重难点训练06解三角形(解析版)_2025年新高考资料_一轮复习_2025年高考数学一轮复习《重难点题型与知识梳理•高分突破》(新高考专用)

文档信息

文档格式
docx
文档大小
1.347 MB
文档页数
23 页
上传时间
2026-04-21 13:17:29

文档内容

高考仿真重难点训练06 解三角形 一、选择题 1.若 的外接圆的半径 , ,则 ( ) A.1 B. C.2 D. 【答案】C 【分析】根据正弦定理求解即可. 【解析】由正弦定理可得: , 所以 . 故选:C 2.设 中角A,B,C所对的边分别为a,b,c,若 , , ,则 的面积为 ( ). A. B. C.12 D. 【答案】B 【分析】利用同角三角函数的基本关系计算出 的值,然后利用三角形的面积公式可求得 的面积. 【解析】∵ ,∴ , 由三角形的面积公式可知, 的面积为 . 故选:B 3.在 中, 分别为角 的对边,若 , , ,则 ( ) A.2 B.3 C. D. 【答案】B 【分析】根据同角三角函数关系求得 , ,利用两角和的正弦公式求得 ,利用正弦定理求得b,c,进而求出a的值. 【解析】由 ,可得 ,根据 进而求出 , , 由 可得 , , 则 , 由正弦定理可知 , 又因为 ,解得 , , 由正弦定理可得 . 故选:B. 4.在 中,a,b,c分别为内角A,B,C的对边,且 .若 ,则 ( ) A.1 B.2 C.3 D.4 【答案】D 【分析】将已知等式利用余弦定理统一成边的形式,化简变形可求得结果. 【解析】 , , , . ,即 . , ,即 . 故选:D 5.释迦塔俗称应县木塔,建于公元1056年,是世界上现存最古老最高大之木塔,与意大利比萨斜塔、巴黎埃菲尔铁塔并称“世界三大奇塔”.2016年、释迦塔被吉尼斯世界纪录认定为世界最高的木塔.小张为测 量木塔 的高度,设计了如下方案:在木塔所在地面上取一点 ,并垂直竖立一高度为 的标杆 , 从点 处测得木塔顶端 的仰角为60°,再沿 方向前进 到达 点,并垂直竖立一高度为 的标 杆 ,再沿 方向前进 到达点 处,此时恰好发现点 , 在一条直线上.若小张眼睛到地面的距离 ,则小张用此法测得的释迦塔的高度 约为(参考数据: )( ) A. B. C. D. 【答案】B 【分析】过点 作 于点 ,过点 作 于点 ,交 于点 ,利用特殊角的三角函数值以及 三角形相似即可得到答案. 【解析】如图,过点 作 于点 ,过点 作 于点 ,交 于点 , 则四边形 , , 都是矩形,所以 , 所以 .在Rt 中, , 所以 , 由已知得 ,所以 , 即 ,解得 . 故选:B. 6.在锐角 中,内角 , , 的对边分别为 , , ,且 , ,则 周长的最大值为( ) A. B. C. D. 【答案】B 【分析】先将已知条件中的切分离开来且切化弦,再结合三角恒等变换公式进行整理得出角A,接着利用 正弦定理进行边化角利用三角函数有界性即可探究周长取值范围,从而得出周长最大值. 【解析】由题意得 , 整理得 , ,又 ,故角 为 , 所以由正弦定理得 , 所以 , , 所以 的周长为: ,因为 是锐角三角形,所以 , , , ,所以 ,则 , 所以 , 故 周长的最大值为 . 故选:B. 7.若 的内角 的对边分别为 ,则下列说法正确的是( ) A.若 ,则 为锐角三角形 B.若 ,则此三角形为等腰三角形 C.若 ,则解此三角形必有两解 D.若 是锐角三角形,则 【答案】D 【分析】由余弦定理可判断A;由余弦定理化简即可判断B;由正弦定理即可判断C;由正弦函数的单调性 结合诱导公式即可判断D. 【解析】对于A,若 ,则 , 因为 为三角形内角,只能说明 为锐角,不能说明 为锐角三角形,故A错误; 对于B,若 ,由余弦定理可得 , 整理可得 ,所以 或 , 所以 为等腰三角形或直角三角形,故B错误; 对于C,若 ,由正弦定理可得 , 因为 ,则 ,即三角形只有一解,故C错误;对于D,若 是锐角三角形,则 ,所以 , 即 ,所以 ,即 , 同理可得 ,所以 ,故D正确; 故选:D. 8.在锐角 中,角 的对边分别为 , 为 的面积,且 ,则 的取值范围为( ) A. B. C. D. 【答案】C 【分析】由三角形面积公式及余弦定理得到 ,结合同角三角函数关系得到 , ,由正弦定理得到 ,且 根据三角形为锐角三角形,得到 ,求出 ,利用对勾函数得到 的最值,求出 的取值范围. 【解析】由三角形面积公式可得: ,故 , ,故 , 因为 ,所以 , 解得: 或0, 因为 为锐角三角形,所以 舍去, 故 , ,由正弦定理得: , 其中 , 因为 为锐角三角形 所以 ,故 ,所以 , , , , 令 ,则 为对勾函数,在 上单调递减,在 上单调递增, 则 , 又 , 因为 ,所以 , 则 . 故选:C 【点睛】解三角形中求解取值范围问题,通常有两种思路,一是利用正弦定理将角转化为边,利用基本不 等式进行求解,二是利用正弦定理将边转化为角,结合三角函数的图象,求出答案. 二、多选题 9.若 的三个内角 的正弦值为 ,则( ) A. 一定能构成三角形的三条边 B. 一定能构成三角形的三条边 C. 一定能构成三角形的三条边D. 一定能构成三角形的三条边 【答案】AD 【分析】根据正弦定理边角化,结合三角形三边满足的关系即可根据选项逐一求解. 【解析】对于A,由正弦定理得 , 所以 , , 作为三条线段的长一定能构成三角形,A正确, 对于B,由正弦定理得 , 例如 ,则 , 由于 , ,故不能构成三角形的三条边长,故B错误, 对于C, 由正弦定理得 , 例如: 、 、 ,则 、 、 , 则 , , , 作为三条线段的长不能构成三角形,C不正确; 对于D,由正弦定理可得 ,不妨设 ,则 ,故 ,且 , 所以 ,故D正确, 故选:AD 10.如图,在锐角 中,内角A,B,C的对边分别为a,b,c,若 ,且 ,D是 外一点且B、D在直线AC异侧, , ,则下列说法 正确的是( ) A. 是等边三角形B.若 ,则A,B,C,D四点共圆 C.四边形ABCD面积的最小值为 D.四边形ABCD面积的最大值为 【答案】ABD 【分析】由正弦定理的边角互化即可得到 ,从而判断A,由余弦定理即可得到 ,从而判断 B,由三角形的面积公式代入计算,即可判断CD. 【解析】 , 根据正弦定理得 , 即 , ,显然 ,则 ,根据题意,有 , 又 ,可得 , , 为等边三角形,故A正确; , ,在 中, , 当 时, , ,即 , A,B,C,D共圆,B正确. 又 , 四边形ABCD面积, , , ,则 , 所以四边形ABCD的面积没有最小值,C错误.当 ,即 时,四边形ABCD面积取最大值 ,故D正确. 故选:ABD. 11.球面三角学是研究球面三角形的边、角关系的一门学科.如图,球 的半径为R,A,B, 为球面上 三点,劣弧BC的弧长记为 ,设 表示以 为圆心,且过B,C的圆,同理,圆 的劣弧 的 弧长分别记为 ,曲面 (阴影部分)叫做曲面三角形, ,则称其为曲面等边三角形,线段 OA,OB,OC与曲面 围成的封闭几何体叫做球面三棱锥,记为球面 .设 ,则下列结论正确的是( ) A.若平面 是面积为 的等边三角形,则 B.若 ,则 C.若 ,则球面 的体积 D.若平面 为直角三角形,且 ,则 【答案】BC 【分析】对于B,利用 代入易得;对于C,先求得三棱锥 的体积 ,由球面 的体积 即得;对于A,由条件知 三边为 ,推得排除A,对于D,由余弦定理和题设可得 ,取特殊值即可排除D. 【解析】对于A,因等边三角形 的面积为 ,则 , 又 ,故 则 ,故A错误; 对于B,由 可得 ,故 ,即B正确; 对于C,由 可得, 故 . 由正弦定理, 的外接圆半径为 ,点 到平面ABC的距离 , 则三棱锥 的体积 , 而球面 的体积 ,故C正确; 对于D,由余弦定理可知 由 可得, , 即 ,化简得, . 取 ,则 ,则 ,故D错误. 故选:BC 三、填空题 12.在 中, , .则 . 【答案】 【分析】根据正弦定理及余弦定理可得 ,再由诱导公式及二倍角正弦公式求解.【解析】由正弦定理, , 所以由 可得 , 所以 ,所以 , 所以 . 故答案为: 13.在锐角三角形 中, , ,则 的最小值为 . 【答案】 【分析】利用 为锐角三角形,求出角B的范围,再利用正弦定理求出 的范围即可得解. 【解析】因 为锐角三角形,则 ,解得 , 由正弦定理得 , , 在 上递增, , ,则 , 依题意 ,即 ,则 , 所以 的最小值为为 . 故答案为: 【点睛】关键点睛:给定三角形角的关系,处理三角形中边的关系时,利用正弦定理化边为角,再借助三角函数变换作答是解决问题的关键. 14.剪纸又叫刻纸,是一种镂空艺术,是中华汉族最古老的民间艺术之一,如图,一圆形纸片沿直径AB 对折,使圆上两点C、 重合,D,E为直径AB上两点,且 ,对折后沿直线DC,EC级剪, 展开得到四边形 ,若 ,则当四边形 的面积最小时, . 【答案】 / 【分析】根据正弦定理,结合三角形面积公式,辅助角公式、二倍角的正弦公式进行求解即可. 【解析】设圆的半径为r, ,∵ ,∴ , 在 中由正弦定理可得 ,∴ , 在 中由正弦定理可得 ,∴ , ,当 时四边形 的面积取得最小值 ,此时 ,∴ . 【点睛】关键点睛:本题的关键是利用三角形面积公式、正弦定理得到面积的表达式,利用辅助角公式进 行求解. 四、解答题 15.在 中, , , . (1)求 的面积; (2)求c及 的值. 【答案】(1) (2) , 【分析】(1)利用平方关系求得 ,应用三角形面积公式求 的面积; (2)余弦公式求c,再应用正弦定理求 . 【解析】(1)由 且 ,则 , 所以 . (2)由 ,则 ,而 ,则 . 16.在 中, 分别为内角 所对的边,若 , . (1)求 的面积; (2)求 的最小值. 【答案】(1) (2) 【分析】(1)利用余弦定理结合题干条件可推出 ,然后由三角形的面积公式求解; (2)结合(1)中推出的条件和基本不等式进行求解. 【解析】(1)由余弦定理, ,结合 可得 , 整理可得 ,根据三角形的面积公式, . (2)由(1)知 ,根据基本不等式, , 当 时, 的最小值是 . 17.在 中,已知角 , , 所对的边分别为 , , , . (1)求角 的大小; (2)若 为锐角三角形,求 的取值范围. 【答案】(1) (2) 【分析】(1)由二倍角的正弦和余弦公式,结合余弦定理将角转化为边,可将式子变形为 , 再利用余弦定理即可求解;(2)利用正弦定理将边转化为角,再结合三角恒等变换可得 ,根据锐角三角形可得 的取值范围,结合三角函数的图象和性质即可求解. 【解析】(1)在 中, , 因为 , 所以 , 化简得 ,由余弦定理得 , 又 ,所以 ; (2)由正弦定理知 , 由 为锐角三角形可知 ,而 ,所以 得 , 所以 , 所以 ,即 , 则 的取值范围为 . 18.在 中,角 的对边分别为 ,已知 . (1)求 ; (2)若 ,在边 上(不含端点)存在点 ,使得 ,求 的取值范围. 【答案】(1) (2) 【分析】(1)直接用余弦定理求得 ,进而得到 ; (2)思路一:利用正弦定理三角恒等变换得 ,进一步结合正弦定理得 ,由 即可求解;思路二:设边 上的高线长为 ,则 长度的取值 范围是 ,从而条件等价于 ,最后用 表示 和 ,即可求出 的范围. 【解析】(1)由余弦定理得 ,所以. (2)方法一:因为 ,所以 , 由(1)知道 ,所以 , 所以 , 所以由 ,可得 , 从而 (因为 ), 所以 ,结合 是三角形内角可知, , 当 时,在三角形 中,设 ,则 , 由正弦定理得 ,故 , 因为 , 所以 , 在三角形 中,由正弦定理得 , 故 , 因为 , 所以 的取值范围是 ,所以 的取值范围是 . 方法二:在本小问的解析中,所有“线段 上”均不含端点 和 . 由 知角 是钝角,所以角 都是锐角, 这表明点 在直线 上的投影 在线段 上. 设 ,则由 在线段 上及 可知, 对线段 上的点 , 长度的取值范围是 ,所以条件等价于 . 而我们有 , 故 . 由于 , 故我们又有 . 所以条件等价于 ,即 . 综上, 的取值范围是 . 19.若 内一点 满足 ,则称点 为 的布洛卡点, 为 的布洛 卡角.如图,已知 中, , , ,点 为的布洛卡点, 为 的布洛卡角.(1)若 ,且满足 ,求 的大小. (2)若 为锐角三角形. (ⅰ)证明: . (ⅱ)若 平分 ,证明: . 【答案】(1) (2)(ⅰ)证明见解析;(ⅱ)证明见解析. 【分析】(1)先判断 与 相似,进而得到 ,应用余弦定理求出 的值即可; (2)(ⅰ)在 内,三次应用余弦定理以及三角形的面积公式得: ,针对 分别在 、 和 内,三次应用余弦 定理以及三角形的面积公式,且 表示出三角形的面积,由余弦定理形式相加, 再化简整理得: ,即可得证;(ⅱ)得出 与 的等量关系,再利用余弦定 理和三角形的面积公式, 平分 ,将 代入,化简整理即可得证. 【解析】(1)若 ,即 ,得 , 点 满足 ,则 , 在 和 中, , ,所以 与 相似,且 , 所以 ,即 , 由余弦定理得: ,且 , , 得 ,且 , 所以 ; (2)(ⅰ)在 内,应用余弦定理以及三角形的面积公式得: , , , 三式相加可得: ① 在 内,应用余弦定理以及三角形的面积公式得: , 在 和 内,同理: , , 三式相等: , 因为 ,由等比性质得:② 由①②式可证得: ; (ⅱ)因为 , 即 , 所以 , 在 中, 分别由余弦定理得: , , , 三式相加整理得 , , 将 代入得: 若 平分 ,则 , , 所以 ③ 又由余弦定理可得: ④ 由③-④得: 所以 , 所以 . 【点睛】关键点点睛:根据 表示出三角形得面积,在 中,由余弦定理相加,得出 与 的等量关系,是解决本题的关键.