当前位置:首页>文档>专题4.11正弦定理和余弦定理-重难点题型精讲(举一反三)(新高考地区专用)(解析版)_2.2025数学总复习_2023年新高考资料_一轮复习

专题4.11正弦定理和余弦定理-重难点题型精讲(举一反三)(新高考地区专用)(解析版)_2.2025数学总复习_2023年新高考资料_一轮复习

  • 2026-04-03 05:10:14 2026-03-18 00:36:33

文档预览

专题4.11正弦定理和余弦定理-重难点题型精讲(举一反三)(新高考地区专用)(解析版)_2.2025数学总复习_2023年新高考资料_一轮复习
专题4.11正弦定理和余弦定理-重难点题型精讲(举一反三)(新高考地区专用)(解析版)_2.2025数学总复习_2023年新高考资料_一轮复习
专题4.11正弦定理和余弦定理-重难点题型精讲(举一反三)(新高考地区专用)(解析版)_2.2025数学总复习_2023年新高考资料_一轮复习
专题4.11正弦定理和余弦定理-重难点题型精讲(举一反三)(新高考地区专用)(解析版)_2.2025数学总复习_2023年新高考资料_一轮复习
专题4.11正弦定理和余弦定理-重难点题型精讲(举一反三)(新高考地区专用)(解析版)_2.2025数学总复习_2023年新高考资料_一轮复习
专题4.11正弦定理和余弦定理-重难点题型精讲(举一反三)(新高考地区专用)(解析版)_2.2025数学总复习_2023年新高考资料_一轮复习
专题4.11正弦定理和余弦定理-重难点题型精讲(举一反三)(新高考地区专用)(解析版)_2.2025数学总复习_2023年新高考资料_一轮复习
专题4.11正弦定理和余弦定理-重难点题型精讲(举一反三)(新高考地区专用)(解析版)_2.2025数学总复习_2023年新高考资料_一轮复习
专题4.11正弦定理和余弦定理-重难点题型精讲(举一反三)(新高考地区专用)(解析版)_2.2025数学总复习_2023年新高考资料_一轮复习
专题4.11正弦定理和余弦定理-重难点题型精讲(举一反三)(新高考地区专用)(解析版)_2.2025数学总复习_2023年新高考资料_一轮复习
专题4.11正弦定理和余弦定理-重难点题型精讲(举一反三)(新高考地区专用)(解析版)_2.2025数学总复习_2023年新高考资料_一轮复习
专题4.11正弦定理和余弦定理-重难点题型精讲(举一反三)(新高考地区专用)(解析版)_2.2025数学总复习_2023年新高考资料_一轮复习
专题4.11正弦定理和余弦定理-重难点题型精讲(举一反三)(新高考地区专用)(解析版)_2.2025数学总复习_2023年新高考资料_一轮复习
专题4.11正弦定理和余弦定理-重难点题型精讲(举一反三)(新高考地区专用)(解析版)_2.2025数学总复习_2023年新高考资料_一轮复习
专题4.11正弦定理和余弦定理-重难点题型精讲(举一反三)(新高考地区专用)(解析版)_2.2025数学总复习_2023年新高考资料_一轮复习
专题4.11正弦定理和余弦定理-重难点题型精讲(举一反三)(新高考地区专用)(解析版)_2.2025数学总复习_2023年新高考资料_一轮复习
专题4.11正弦定理和余弦定理-重难点题型精讲(举一反三)(新高考地区专用)(解析版)_2.2025数学总复习_2023年新高考资料_一轮复习
专题4.11正弦定理和余弦定理-重难点题型精讲(举一反三)(新高考地区专用)(解析版)_2.2025数学总复习_2023年新高考资料_一轮复习
专题4.11正弦定理和余弦定理-重难点题型精讲(举一反三)(新高考地区专用)(解析版)_2.2025数学总复习_2023年新高考资料_一轮复习
专题4.11正弦定理和余弦定理-重难点题型精讲(举一反三)(新高考地区专用)(解析版)_2.2025数学总复习_2023年新高考资料_一轮复习
专题4.11正弦定理和余弦定理-重难点题型精讲(举一反三)(新高考地区专用)(解析版)_2.2025数学总复习_2023年新高考资料_一轮复习
专题4.11正弦定理和余弦定理-重难点题型精讲(举一反三)(新高考地区专用)(解析版)_2.2025数学总复习_2023年新高考资料_一轮复习
专题4.11正弦定理和余弦定理-重难点题型精讲(举一反三)(新高考地区专用)(解析版)_2.2025数学总复习_2023年新高考资料_一轮复习
专题4.11正弦定理和余弦定理-重难点题型精讲(举一反三)(新高考地区专用)(解析版)_2.2025数学总复习_2023年新高考资料_一轮复习

文档信息

文档格式
docx
文档大小
1.610 MB
文档页数
24 页
上传时间
2026-03-18 00:36:33

文档内容

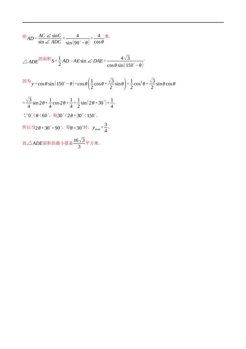
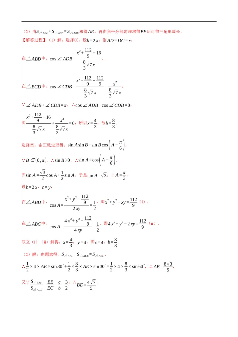
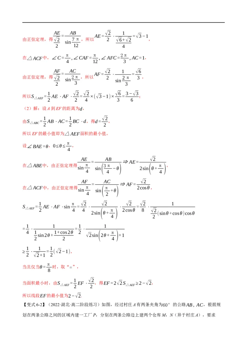
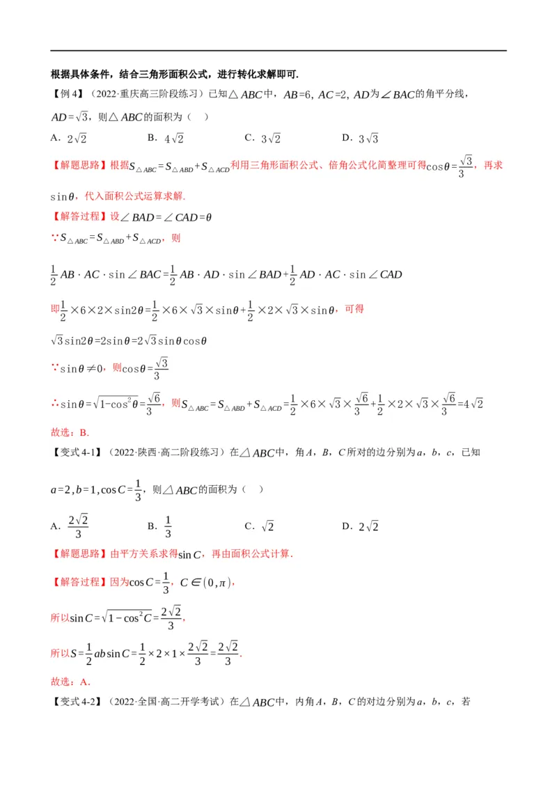
专题 4.11 正弦定理和余弦定理-重难点题型精讲 1.余弦定理 (1)余弦定理及其推论的表示 (2)对余弦定理的理解 ①余弦定理对任意的三角形都成立. ②在余弦定理中,每一个等式都包含四个量,因此已知其中三个量,利用方程思想可以求得未知的量. ③余弦定理的推论是余弦定理的第二种形式,适用于已知三角形三边来确定三角形的角的问题.用余弦 定理的推论还可以根据角的余弦值的符号来判断三角形中的角是锐角还是钝角. ④余弦定理的另一种常见变式: + - =2bc A, + - =2ac B, + - =2ab C. 2.正弦定理 (1)正弦定理的表示 在△ABC中,若角A,B,C对应的边分别是a,b,c,则各边和它所对角的正弦的比相等,即 = = . (2)正弦定理的常见变形 在△ABC中,由正弦定理得 = = =k(k>0),则a=k A,b=k B,c=k C,由此可 得 正弦定理的下列变形:① = , = , = ,a B=b A,a C=c A,b C=c B; ② = = = = = = ; ③a:b:c= A: B: C; ④ = = =2R,(R为△ABC外接圆的半径). (3)三角形的边角关系 由正弦定理可推导出,在任意三角形中,有“大角对大边,小角对小边”的边角关系. 3.解三角形 (1)解三角形的概念 一般地,三角形的三个角A,B,C和它们的对边a,b,c叫做三角形的元素.在三角形中,已知三角形的几个 元素求其他元素的过程叫做解三角形. (2)余弦定理在解三角形中的应用 利用余弦定理可以解决以下两类解三角形的问题: ①已知两边及它们的夹角,求第三边和其他两个角; ③已知三边,求三角形的三个角. (3)正弦定理在解三角形中的应用 公式 = = 反映了三角形的边角关系. 由正弦定理的推导过程知,该公式实际表示为: = , = , = .上述 的 每一个等式都表示了三角形的两个角和它们的对边的关系.从方程角度来看,正弦定理其实描述的是三组方 程,对于每一个方程,都可“知三求一”,于是正弦定理可以用来解决两类解三角形的问题: ①已知两角和任意一边,求其他的边和角, ③已知两边和其中一边的对角,求其他的边和角. 4.测量问题 (1)测量距离问题的基本类型和解决方案 当AB的长度不可直接测量时,求AB的距离有以下三种类型:(2)测量高度问题的基本类型和解决方案 当AB的高度不可直接测量时,求AB的高度有以下三种类型: (3)测量角度问题 测量角度问题主要涉及光线(入射角、折射角),海上、空中的追及与拦截,此时问题涉及方向角、方 位角等概念,若是观察建筑物、山峰等,则会涉及俯角、仰角等概念.解决此类问题的关键是根据题意、 图形及有关概念,确定所求的角在哪个三角形中,该三角形中已知哪些量,然后解三角形即可. 5.对三角形解的个数的研究 已知三角形的两角和任意一边,求其他的边和角,此时有唯一解,三角形被唯一确定. 已知三角形的两边和其中一边的对角,求其他的边和角,此时可能出现一解、两解或无解的情况,三 角形不能被唯一确定.(1)从代数的角度分析“已知两边和其中一边的对角,求另一边的对角”时三角形解的情况,下面以已 知 a,b和A,解三角形为例加以说明. 由正弦定理、正弦函数的有界性及三角形的性质可得: ①若 B= >1,则满足条件的三角形的个数为0; ②若 B= =1,则满足条件的三角形的个数为1; ③若 B= <1,则满足条件的三角形的个数为1或2. 显然由0< B= <1可得B有两个值,一个大于 ,一个小于 ,考虑到“大边对大角”、 “三 角形内角和等于 ”等,此时需进行讨论. (2)从几何的角度分析“已知两边和其中一边的对角,求另一边的对角”时三角形解的情况,以已知 a,b和A,解三角形为例,用几何法探究如下:6.三角形的面积公式 (1)常用的三角形的面积计算公式 ① = a = b = c ( , , 分别为边a,b,c上的高). ②将 =b C, =c A, =a B代入上式可得 = ab C= bc A= ac B,即三 角形的面积等于任意两边与它们夹角的正弦值乘积的一半. (2)三角形的其他面积公式 ① = r(a+b+c)= rl,其中r,l分别为△ABC的内切圆半径及△ABC的周长. ② = , = , = . 【题型1 利用正弦定理解三角形】 【方法点拨】 事实上,所谓解三角形本质上就是解基于边角的内蕴方程,已知三角形的两角与一边解三角形时: (1)由三角形内角和定理A+B+C= ,可以计算出三角形的第三个角; (2)由正弦定理 = = ,可计算出三角形的另两边. 【例1】(2022·江西赣州·高三期中(理))在△ABC中,角A,B,C所对的边分别为a,b,c,若 π 5π a=4,A= ,C= ,则b=( ) 4 12 A.2√3 B.2√5 C.2√6 D.6 【解题思路】三角形三内角和为π,故可求角B,利用正弦定理即可求b. π 5π π 【解答过程】因为A= ,C= ,所以B=π−A−C= , 4 12 3 π √3 4×sin 4× a b asinB 3 2 因为 = ,所以b= = = =2√6. sinA sinB sin A π √2 sin 4 2 故选:C. 【变式1-1】(2022·浙江·高一期中)在△ABC中,内角A,B,C的对边分别是a,b,c,且3sinC a=3,c=1,∠B=2∠C,则 等于( ) sin3C A.1 B.√3 C.3 D.3√3 【解题思路】根据正弦定理,结合已知条件,即可容易求得结果. 3sinC 3sinC 3sinC 3sinC 【解答过程】在三角形ABC中, = = = sin3C sin(2C+C) sin(B+C) sin A 3sinC 3c 由正弦定理可得: = =1. sinA a 故选:A. 【变式1-2】(2022·河南南阳·高三期中(理))在△ABC中,C=30°,b=√2,c=x. 若满足条件的 △ABC有且只有一个,则x的可能取值是( ) 1 √3 A. B. C.1 D.√3 2 2 √2 【解题思路】利用正弦定理得到sinB= ,再分030°两种情况讨论,结合正弦函数的性质 2x 求出x的取值范围,即可判断. b c √2 x √2 【解答过程】解:由正弦定理 = ,即 = ,所以sinB= , sinB sinC sinB sin30° 2x 因为△ABC只有一解, 若B>30°,则B=90°, 若0a,a+c>b,a+b>c,所以10,∴sin A=cos A− , 6 √3 1 π 即sin A= cosA+ sin A,于是tan A=√3,∴A= , 2 2 3 设b=2x,c= y, 112 x2+ y2− 112 在△ABD中, 9 1,即x2+ y2−xy= (i), cosA= = 9 2xy 2 112 4x2+ y2− 112 在△ABC中, 9 1,即4x2+ y2−2xy= (ii), cosA= = 9 4xy 2 4 8 联立(i)(ii)解得,x= ,y=4,即c=4,b= . 3 3 (2)解:由题意得,S +S =S , △ABE △ACE △ABC 1 1 8 1 8 8√3 ∴ ×4×AE×sin30∘+ × ×AE×sin30∘= ×4× ×sin60∘,∴AE= , 2 2 3 2 3 5 又∵S BE c 3,∴ 4√7, △ABE = = = BE= S EC b 2 5 △ACE8√3+4√7 ∴故△ABE的周长为AB+BE+AE= 4+ . 5 【题型6 解三角形的实际应用】 【方法点拨】 正、余弦定理在解决实际问题中的应用,本质上还是正、余弦定理在解决几何图形(主要是三角形与四边 形) 问题中的应用,因此利用几何图形本身及实际问题中涉及的术语(如方位角等)构建恰当的三角形,在三角 形 中运用正弦定理或余弦定理即可. 【例6】(2022·北京海淀·高三期中)某自然保护区为研究动物种群的生活习性,设立了两个相距12km 的 观测站A和B,观测人员分别在A,B处观测该动物种群.如图,某一时刻,该动物种群出现在点C处, 观测人员从两个观测站分别测得∠BAC=30°,∠ABC=60°,经过一段时间后,该动物种群出现在点 D处,观测人员从两个观测站分别测得∠BAD=75°,∠ABD=45°.(注:点A,B,C,D在同一平 面内) (1)求△ABD的面积; (2)求点C,D之间的距离. 【解题思路】(1)由正弦定理求得AD的长,利用三角形面积公式,即可求得答案; (2)求出AC和∠CAD,由余弦定理即可求得答案. 【解答过程】(1)在△ABD 中,∠BAD=75°,∠ABD=45°,所以∠ADB=60°. AD AB AD AB 由正弦定理: = ,得 = , sin∠ABD sin∠ADB sin45° sin60° √2 sin45° 2 所以AD= ⋅AB= ×12=4√6(km), sin60° √3 2√2(√3 1) √6+√2, sin∠BAD=sin75°=sin(45°+30°)= + = 2 2 2 4 1 1 √6+√2 所以△ABD 的面积为S = AB⋅AD⋅sin∠BAD= ×12×4√6× =36+12√3(km2). ΔABD 2 2 4 (2)由∠BAC=30°,∠ABC=60°,得∠CAD=45°,且∠ACB=90°, ∴AC=12cos30∘=6√3. 在△ACD 中由余弦定理,得 √2 CD2=AC2+AD2−2AC⋅AD⋅cos∠CAD=36×3+16×6−2×6√3×4√6× =60, 2 所以CD=2√15(km). 即点C,D之间的距离为2√15km. 【变式6-1】(2022·浙江·高一期中)如图,在点A处有一座灯塔,BC是一条直的海岸线,已知AB⊥AC, AB=AC=1km,从灯塔A处射出的灯光照到线段BC上的线段EF,E、F是线段BC(含端点)上的动点, π 在转动灯光的过程中,始终保持∠EAF= 不变. 4 π (1)当∠EAB= 时,求被灯光照到的区域△AEF的面积; 6 (2)求海岸线BC上被照到的线段EF长的最小值. 【解题思路】(1)分别利用正弦定理求得AF,AE,再根据三角形得面积公式即可得解; 1 1 (2)设A到EF的距离为d,根据S = AB⋅AC= BC⋅d可求得d,从而可得EF的最小值即为 △ABC 2 2 π △AEF面积的最小值,设∠BAE=θ,0≤θ≤ ,分别利用正弦定理求得AF,AE,再根据三角形得面 4 积公式结合三角恒等变换求得△AEF面积的最小值,从而可得出答案. π π 7π 【解答过程】(1)解:在△ABE中,∠B= ,∠EAB= ,∠AEB= ,AB=1, 4 6 12AE AB √2 1 = AE= ⋅ =√3−1 由正弦定理,得√2 7π,所以 2 √6+√2 , sin 2 12 4 π π 2π 在△ACF中,∠C= ,∠CAF= ,∠AFC= ,AC=1, 4 12 3 AF AC √2 1 √6 = AF= ⋅ = 由正弦定理,得√2 2π ,所以 2 2π 3 , sin sin 2 3 3 1 √2 √2 √6 3−√3 所以S = AE⋅AF⋅ = ×(√3−1)× = ; △AEF 2 2 4 3 6 (2)解:设A到EF的距离为d, 1 1 √2 由S = AB⋅AC= BC⋅d,得d= , △ABC 2 2 2 所以EF的最小值即为△AEF面积的最小值, π 设∠BAE=θ,0≤θ≤ , 4 AE AB √2 = ⇒AE= 在△ABE中,由正弦定理得 sin π sin ( 3π −θ ) 2sin ( θ+ π ) , 4 4 4 AF AC √2 = ⇒AF= 在△ACF中,由正弦定理得 sin π sin ( π +θ ) 2cosθ, 4 2 1 π √2 √2 √2 √2 1 S = AE⋅AF⋅sin = ⋅ ⋅ = ⋅ △AEF 2 4 4 2sin ( θ+ π ) 2cosθ 8 √2 (sinθ+cosθ)cosθ 4 2 1 1 1 1 = ⋅ = ⋅ 4 1 1+cos2θ 2 π sin2θ+ √2sin ( 2θ+ )+1 2 2 4 1 1 1 ≥ ⋅ = (√2−1), 2 √2+1 2 π 当且仅当θ= 时,取“=”, 8 1 √2 当面积最小时,由S = EF⋅ ,得EF=2√2S ≥2−√2, △AEF 2 2 △AEF 所以线段EF的最小值为2−√2. 【变式6-2】(2022·湖北·高二阶段练习)如图,经过村庄A有两条夹角为60°的公路AB,AC,根据规 划在两条公路之间的区域内建一工厂P,分别在两条公路边上建两个仓库M,N(异于村庄A),要求PM=PN=MN=3km. (1)当∠AMN=30°时,求线段AP的长度; (2)问如何设计,使得工厂产生的噪音对居民的影响最小?(即工厂与村庄的距离最远) 【解题思路】(1)根据题意分析可得∠PMA=∠MNA=90°,结合直角三角形的性质运算求解; (2)在△AMN中,利用正弦定理进行边化角可得AM=2√3sin(θ+60°),在△AMP中,利用余弦定 理结合三角恒等变换整理可得AP2=15-12sin(2θ+150°),以2θ+150°为整体结合正弦函数求AP2的 最大值. 【解答过程】(1) 因为∠AMN=30°,∠BAC=60°且PM=PN=MN=3, 故∠PMN=60°,故∠PMA=∠MNA=90°, MN 故AM= =2√3,则AP=√AM2+PM2=√21; cos30° (2) 设∠AMN=θ,由题意∠AMP=θ+60°, MN AM 在△AMN中,由正弦定理 = ,所以 sin∠MAN sin∠ANM MN⋅sin∠ANM AM= =2√3sin∠ANM=2√3sin(θ+60°), sin∠MAN 在△AMP中,由余弦定理可得: AP2=AM2+M P2-2AM⋅MP⋅cos∠AMP=12sin2 (θ+60°)+9-12√3sin(θ+60°)cos(θ+60°) 1-cos2(θ+60°) =12× +9-6√3sin2(θ+60°)=-6[√3sin(2θ+120°)+cos(2θ+120°)]+15 2 =15-12sin(2θ+150°), 又由(1)可得0°<θ<120°,所以2θ+150°∈(150°,390°), 当且仅当2θ+150°=270°,即θ=60°时,AP2取得最大值,工厂产生的噪声对居民影响最小,此时 AN=AM=3km.【变式6-3】(2022·云南·高三阶段练习)如图,某菜农有一块等腰三角形菜地,其中∠BAC=120∘, AB=AC=8米.现将该三角形菜地分成三块,其中∠DAE=60∘. (1)若∠CAE=15∘,求DE的长; (2)求△ADE面积的最小值. 【解题思路】(1)利用正弦定理求出CE的长,分析可知△ACD为等腰三角形,可得出CD的长,进而可 求得DE的长; (2)用θ表示AD、AE的长,利用三角恒等变换化简△ADE面积的表达式,结合正弦型函数的基本性质 可求得△ADE面积的最小值. 【解答过程】(1) 解:在等腰△ABC中,因为∠BAC=120∘,则∠C=30∘, 在△ACE中,由题意可得AC=8米,∠CAE=15∘,∠AEC=135∘. √6−√2 且sin∠CAE=sin(45∘−30∘)=sin45∘cos30∘−cos45∘sin30∘= , 4 AC CE ACsin∠CAE 由正弦定理可得 = ,则CE= =(4√3−4)米. sin∠AEC sin∠CAE sin∠AEC 因为∠C=30∘,∠CAD=15∘+60∘=75∘, 所以∠ADC=180∘−30∘−75∘=75∘=∠CAD,则CD=AC=8米, 故 米. DE=CD−CE=8−(4√3−4)=(12−4√3) (2) 解:设∠CAE=θ,其中0∘<θ<60∘,则∠AEC=150∘−θ,∠ADC=90∘−θ. AC AE 在△ACE中,由正弦定理可得 = , sin∠AEC sin∠C 则 ACsin∠C 4 米. AE= = sin∠AEC sin(150∘−θ) AC AD 在△ACD中,由正弦定理可得 = , sin∠ADC sin∠C则 AC∠sinC 4 4 米. AD= = = sin∠ADC sin(90∘−θ) cosθ 的面积 1 4√3 . △ADE S= AD⋅AEsin∠DAE= 2 cosθsin(150∘−θ) 因为 y=cosθsin(150∘−θ)=cosθ (1 cosθ+ √3 sinθ ) = 1 cos2θ+ √3 sinθcosθ 2 2 2 2 √3 1 1 1 1 = sin2θ+ cos2θ+ = sin(2θ+30∘)+ , 4 4 4 2 4 ∵0∘<θ<60∘,则30∘<2θ+30∘<150∘, 3 所以当2θ+30∘=90∘,即θ=30∘时,y = , max 4 16√3 故△ADE面积的最小值是 平方米. 3