当前位置:首页>文档>专题4.12正弦定理和余弦定理-重难点题型精练(举一反三)(新高考地区专用)(解析版)_2.2025数学总复习_2023年新高考资料_一轮复习

专题4.12正弦定理和余弦定理-重难点题型精练(举一反三)(新高考地区专用)(解析版)_2.2025数学总复习_2023年新高考资料_一轮复习

  • 2026-04-05 08:45:51 2026-03-18 00:41:18

文档预览

专题4.12正弦定理和余弦定理-重难点题型精练(举一反三)(新高考地区专用)(解析版)_2.2025数学总复习_2023年新高考资料_一轮复习
专题4.12正弦定理和余弦定理-重难点题型精练(举一反三)(新高考地区专用)(解析版)_2.2025数学总复习_2023年新高考资料_一轮复习
专题4.12正弦定理和余弦定理-重难点题型精练(举一反三)(新高考地区专用)(解析版)_2.2025数学总复习_2023年新高考资料_一轮复习
专题4.12正弦定理和余弦定理-重难点题型精练(举一反三)(新高考地区专用)(解析版)_2.2025数学总复习_2023年新高考资料_一轮复习
专题4.12正弦定理和余弦定理-重难点题型精练(举一反三)(新高考地区专用)(解析版)_2.2025数学总复习_2023年新高考资料_一轮复习
专题4.12正弦定理和余弦定理-重难点题型精练(举一反三)(新高考地区专用)(解析版)_2.2025数学总复习_2023年新高考资料_一轮复习
专题4.12正弦定理和余弦定理-重难点题型精练(举一反三)(新高考地区专用)(解析版)_2.2025数学总复习_2023年新高考资料_一轮复习
专题4.12正弦定理和余弦定理-重难点题型精练(举一反三)(新高考地区专用)(解析版)_2.2025数学总复习_2023年新高考资料_一轮复习
专题4.12正弦定理和余弦定理-重难点题型精练(举一反三)(新高考地区专用)(解析版)_2.2025数学总复习_2023年新高考资料_一轮复习
专题4.12正弦定理和余弦定理-重难点题型精练(举一反三)(新高考地区专用)(解析版)_2.2025数学总复习_2023年新高考资料_一轮复习
专题4.12正弦定理和余弦定理-重难点题型精练(举一反三)(新高考地区专用)(解析版)_2.2025数学总复习_2023年新高考资料_一轮复习
专题4.12正弦定理和余弦定理-重难点题型精练(举一反三)(新高考地区专用)(解析版)_2.2025数学总复习_2023年新高考资料_一轮复习
专题4.12正弦定理和余弦定理-重难点题型精练(举一反三)(新高考地区专用)(解析版)_2.2025数学总复习_2023年新高考资料_一轮复习
专题4.12正弦定理和余弦定理-重难点题型精练(举一反三)(新高考地区专用)(解析版)_2.2025数学总复习_2023年新高考资料_一轮复习
专题4.12正弦定理和余弦定理-重难点题型精练(举一反三)(新高考地区专用)(解析版)_2.2025数学总复习_2023年新高考资料_一轮复习
专题4.12正弦定理和余弦定理-重难点题型精练(举一反三)(新高考地区专用)(解析版)_2.2025数学总复习_2023年新高考资料_一轮复习
专题4.12正弦定理和余弦定理-重难点题型精练(举一反三)(新高考地区专用)(解析版)_2.2025数学总复习_2023年新高考资料_一轮复习
专题4.12正弦定理和余弦定理-重难点题型精练(举一反三)(新高考地区专用)(解析版)_2.2025数学总复习_2023年新高考资料_一轮复习

文档信息

文档格式
docx
文档大小
0.425 MB
文档页数
18 页
上传时间
2026-03-18 00:41:18

文档内容

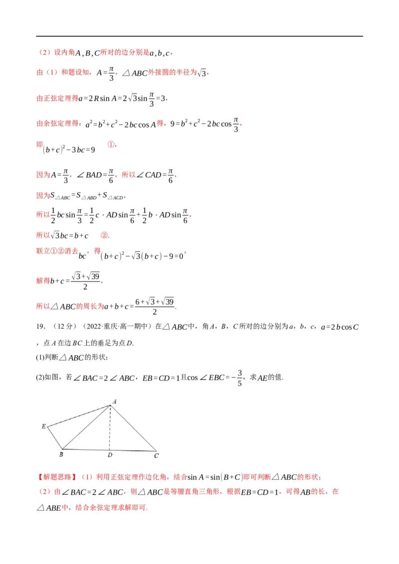
专题4.12正弦定理和余弦定理-重难点题型精练 参考答案与试题解析 一.选择题(共8小题,满分40分,每小题5分) 1.(5分)(2022·河南·高三阶段练习(文))在△ABC中,A=60°,BC=√3,则△ABC外接圆的 半径为( ) A.1 B.√2 C.√3 D.2 【解题思路】利用正弦定理运算求解. a √3 = =2R 【解答过程】由正弦定理sin A √3 ,则R=1, 2 故△ABC外接圆的半径为1. 故选:A. 2.(5分)(2022·黑龙江·高三阶段练习)在△ABC中,内角A,B,C所对的边分别为a,b,c,则下列条 件能确定三角形有两解的是( ) π A.a=5,b=4,A= 6 π B.a=4,b=5,A= 4 5π C.a=5,b=4,A= 6 π D.a=4,b=5,A= 3 【解题思路】结合已知条件和正弦定理即可求解. a b 2 【解答过程】对于A:由正弦定理可知, = ⇒sinB= sin A sinB 5 π ∵a>b,∴Ba,∴B>A= ,故三角形△ABC有两解; 4 a b 2 对于C:由正弦定理可知, = ⇒sinB= sin A sinB 5∵A为钝角,∴B一定为锐角,故三角形△ABC有一解; a b 5√3 对于D:由正弦定理可知, = ⇒sinB= >1,故故三角形△ABC无解. sin A sinB 8 故选:B. 3.(5分)(2022·贵州遵义·高三期中(理))已知锐角△ABC的内角A,B,C所对的边分别为a,b, π c,若A= ,a=√3,则bc的取值范围为( ) 3 A.(2,3] B.(1,4] C.(1,3] D.(2,4] 【解题思路】根据正弦定理利用角B表示bc,利用三角变换及三角函数的性质可求bc的取值范围. a √3 π = =2 【解答过程】因为A= ,a=√3,故三角形外接圆直径为sin A π , 3 sin 3 b c 所以 = =2,所以b=2sinB,c=2sinC, sinB sinC 故bc=(2sinB)⋅(2sinC)=4sinBsinC (2π ) =4sinBsin −B 3 ( 2π 2π ) =4×sinB sin cosB−cos sinB 3 3 =2√3sinBcosB+2sin2B 1−cos2B =√3sin2B+2× =√3sin2B−cos2B+1 2 π =2sin ( 2B− )+1, 6 π π 因为三角形为锐角三角形,故¿,故 c 又因为9sinB−2sinC=2√15, √15 所以sinC= ,C为锐角, 8 7 所以,cosC= , 8 7 3 因为由余弦定理得c2=4c2+9−2×3×2c× ,解得c=2或c= , 8 2 3 因为当c= 时,b=2c=a=3,此时△ABC一定不是钝角,故舍去. 2 所以c=2, 所以△ABC的周长为2+4+3=9. 故选:A.6.(5分)(2022·重庆高三阶段练习)李子坝站的“单轨穿楼”是重庆轨道交通的一大特色,吸引众多 游客来此打卡拍照.如图所示,李明为了测量李子坝站站台距离地面的高度AB,采用了如下方法:在观景 台的D点处测得站台A点处的仰角为60°;沿直线BD后退12米后,在F点处测得站台A点处的仰角为 45°.已知李明的眼睛距离地面高度为CD=EF=1.6米,则李子坝站站台的高度AB约为( )(精确到小数 点后1位)(近似数据:√3≈1.73,√2≈1.41) A.30.0米 B.28.4米 C.27.0米 D.26.4米 【解题思路】设AG高度为x米,利用正弦定理结合条件可得AG高度,进而求出AB高度. 【解答过程】设AG高度为x米,由题可知∠ACG=60∘, 2x 所以AC= 米, √3 AC CE 在△AEC中,由正弦定理得: = , sin∠AEC sin∠CAE AC CE 所以 = , sin45∘ sin(60∘-45∘) 2x 所以√3 = 12 , √2 sin60∘cos45∘-cos60∘sin45∘ 2 解得x=18+6√3, 所以AB=18+6√3+1.6≈30.0(米). 故选:A. 7.(5分)(2022·湖北恩施·高二期中)在△ABC中,内角A,B,C所对应的边分别是a,b,c,a=4 ,3bcosA−acosC=ccosA,点D在线段BC上,2BD=DC,过点D作DE⊥AB,DF⊥AC,垂足 分别是E,F,则△≝¿面积的最大值是( ) 7√2 20√2 64√2 23√2 A. B. C. D. 9 27 81 27 【解题思路】由3bcosA−acosC=ccosA结合正弦定理得cosA,sinA,由余弦定理可得2 2 b2+c2− bc=16,结合不等式b2+c2≥2bc得bc≤12,又2BD=DC,所以S =2S = S , 3 △ACD △ABD 3 △ABC 求得DE,DF,从而得△≝¿面积的表达式,进而求出最大值. 【解答过程】因为3bcosA−acosC=ccosA,所以3sinBcosA=sinCcosA+sin AcosC=sinB, 1 2√2 所以cosA= ,则sin A= . 3 3 2 由余弦定理可得a2=b2+c2−2bccosA,即a2=b2+c2− bc=16. 3 2 因为b2+c2≥2bc,所以2bc− bc≤16,则bc≤12,当且仅当c=b=2√3时,等号成立. 3 2 因为2BD=DC,所以S =2S = S , △ACD △ABD 3 △ABC 1 1 2 √2 所以 b⋅DF=2× c×DE= × bc, 2 2 3 3 2√2 4√2 所以DE= b,DF= c, 9 9 S 则 . 1 1 16√2 64√2 △≝¿= DE⋅DF⋅sin∠EDF= DE⋅DF⋅sinA= bc≤ ¿ 2 2 243 81 故选:C. 8.(5分)(2022·四川·高二开学考试(理))在锐角△ABC中,角A,B,C的对边分别为a,b,c,S 2sin2B+sin2C 为△ABC的面积,且a2=2S+(b-c)2,则 的取值范围为( ) sinBsinC A.( 43 , 59 ) B. [ 2√2, 43 ) C. [ 2√2, 59 ) D.[2√2,+∞) 15 15 15 15 1 【解题思路】由三角形面积公式及余弦定理得到1- sinA=cosA,结合同角三角函数关系得到 2 4 3 2sin2B+sin2C 2b c c 4 3 sinA= ,cosA= ,由正弦定理得到 = + ,且 = + 根据三角形为锐 5 5 sinBsinC c b b 5tanB 5 3 c 3 5 2 角三角形,得到tanB> ,求出 =t∈( , ) ,利用对勾函数得到g(t)= +t的最值,求出 4 b 5 3 t 2sin2B+sin2C 的取值范围. sinBsinC 1 【解答过程】由三角形面积公式可得:S= bcsinA,故a2=bcsinA+(b-c)2, 21 b2+c2-a2 1 1- sinA= ,故1- sinA=cosA, 2 2bc 2 1 2 因为sin2A+cos2A=1,所以sin2A+(1- sinA ) =1, 2 4 解得:sinA= 或0, 5 因为△ABC为锐角三角形,所以sinA=0舍去, 4 1 4 3 故sinA= ,cosA=1- × = , 5 2 5 5 由正弦定理得: 2sin2B+sin2C 2b2+c2 2b c = = + , sinBsinC bc c b c sinC sinAcosB+cosAsinB 4 3 其中 = = = + , b sinB sinB 5tanB 5 因为△ABC为锐角三角形 π π π π cosA 3 所以C< ,故A+B> ,所以B> -A,tanB>tan( -A )= = , 2 2 2 2 sinA 4 4 16 4 3 3 5 ∈(0, ) , + ∈( , ) , 5tanB 15 5tanB 5 5 3 c 3 5 2 3 5 令 =t∈( , ) ,则g(t)= +t为对勾函数,在 ( ,√2) 上单调递减,在 ( √2, ) 上单调递增, b 5 3 t 5 3 2 则g(t) =g(√2)= +√2=2√2, min √2 3 10 3 59 5 6 5 43 又g ( )= + = ,g ( )= + = , 5 3 5 15 3 5 3 15 59 43 59 因为 > ,所以g(t) = , 15 15 max 15 则 2sin2B+sin2C = 2b + c ∈ [ 2√2, 59 ) . sinBsinC c b 15 故选:C. 二.多选题(共4小题,满分20分,每小题5分) 9.(5分)(2022·福建漳州·高二期末)在 中,若 ,则角 的值可以为 △ABC (a2+c2−b2 )tanB=ac B ( ) π π 2π 5π A. B. C. D. 6 3 3 6cosB 【解题思路】由余弦定理及同角三角函数的关系可得cosB= ,根据三角形内角性质即可求角的大 2sinB 小. a2+c2−b2 1 cosB 1 【解答过程】由cosB= = = ,显然cosB≠0,故sinB= , 2ac 2tanB 2sinB 2 π 5π 又0B>C,则sinA>sinB>sinCB.若a=40,b=20,B=25°,则满足条件的△ABC有且仅有一个 C.若a=bcosC,则△ABC是直角三角形 π D.若A= ,b+c=6√3,则△ABC外接圆面积的最小值为9π 3 【解题思路】对于A,利用三角形大边对大角及正弦定理的边角变换可证得命题正确; 对于B,结合图像,利用直角三角形中正弦的定义可求得 ℎ ,比较 ℎ 与b边会发现存在两个满足条件的 △ABC; 对于C,利用余弦定理的推论化简a=bcosC,即可证得命题正确; 对于D,先由余弦定理及基本不等式求得a的取值范围,再由正弦定理求得△ABC外接圆半径R的取值范 围,,从而求得△ABC外接圆面积的最小值 【解答过程】对于A,因为A>B>C,所以由三角形大边对大角得a>b>c, 又由正弦定理知a=2RsinA,b=2RsinB,c=2RsinC,故2RsinA>2RsinB>2RsinC,即 sinA>sinB>sinC,故A正确; 对于B,如图,在Rt△BCD中, ℎ =asinB=40sin25°<40sin30°=20,即 ℎ B,则sin A>sinB B.若A=30°,b=4,a=3,则△ABC有两解 C.若△ABC为钝角三角形,则a2+b2B,则a>b,由正弦定理可得 = , sinA sinB 所以sinA>sinB,故A正确; 对于B选项,bsinA=4sin30°=2,则bsinAB,则sin A>sinB; ②若sin2A=sin2B,则△ABC可能为等腰三角形或直角三角形; ③若acosB−bcosA=c,则△ABC定为直角三角形; π ④若B= ,a=2且该三角形有两解,则b的取值范围是(√3,2); 3 【解题思路】①利用大边对顶大角,结合正弦定理可知;②利用正弦函数的图象与性质可得A、B的关系; ③边齐次,利用正弦定理将边化角,通过三角恒等变换求出A为直角;④若三角形有两解,则 asinBb,由正弦定理有 = , sin A sinB 所以sin A>sinB,故①正确; ②sin2A=sin2B,且0<2A<2π,0<2B<2π, π 则2A=2B或2A+2B=π,即A=B或A+B= , 2 所以△ABC可能为等腰三角形或直角三角形,故②正确; ③acosB−bcosA=c,由正弦定理有:sin AcosB−sinBcosA=sinC, 又sinC=sin(π−C)=sin(A+B)=sin AcosB+cosAsinB, 即sin AcosB+cosAsinB=sin AcosB−sinBcosA,即2cosAsinB=0,因为0c,则角C比角A小,角C是锐角,所以角C有一解; csinA 5√2sin45∘ (2)当a=5时,因c=5√2,A=45°,有c>a,则sinC= = =1,而0∘a,则 a 10√3 2 ,而0∘1 (4)当a= 时,因c=5√2,A=45°,有c>a,则 a 5 ,无解,所以角C无解. 2 2 18.(12分)(2022·广东·高三阶段练习)在△ABC中,其内角分别为A,B,C,且满足 sinC−sinB=sin(A−B). (1)求角A的大小: π (2)已知△ABC外接圆的半径为√3, D为BC边上的一点,∠BAD= ,AD=1,求△ABC的周长. 6 【解题思路】(1)利用已知条件转换角,利用正弦的两角和与差的公式展开,根据条件即可求出A的大小 (2)由(1)△ABC外接圆的半径求出a,利用正弦定理、余弦定理求出b+c,最后就可以得到a+b+c 【解答过程】(1)因为sinC−sinB=sin(A−B),所以sin(A+B)−sinB=sin(A−B), 所以sin(A+B)−sin(A−B)=sinB,所以2cosAsinB=sinB, 1 π 因为sinB≠0,且A∈(0,π),所以cosA= ,所以A= ; 2 3(2)设内角A,B,C所对的边分别是a,b,c, π 由(1)和题设知,A= ,△ABC外接圆的半径为√3, 3 π 由正弦定理得a=2RsinA=2√3sin =3, 3 π 由余弦定理得:a2=b2+c2−2bccosA得,9=b2+c2−2bccos , 3 即 ①, (b+c) 2−3bc=9 π π π 因为A= ,∠BAD= ,所以∠CAD= , 3 6 6 因为S =S +S , △ABC △ABD △ACD 1 π 1 π 1 π 所以 bcsin = c⋅ADsin + b⋅ADsin , 2 3 2 6 2 6 所以√3bc=b+c ②. 联立①②消去 ,得 , bc (b+c) 2−√3(b+c)−9=0 √3+√39 解得b+c= , 2 6+√3+√39 所以△ABC的周长为a+b+c= . 2 19.(12分)(2022·重庆·高一期中)在△ABC中,角A,B,C所对的边分别为a,b,c,a=2bcosC ,点A在边BC上的垂足为点D. (1)判断△ABC的形状; 3 (2)如图,若∠BAC=2∠ABC,EB=CD=1且cos∠EBC=− ,求AE的值. 5 【解题思路】(1)利用正弦定理作边化角,结合sin A=sin(B+C)即可判断△ABC的形状; (2)由∠BAC=2∠ABC,则△ABC是等腰直角三角形,根据EB=CD=1,可得AB的长,在 △ABE中,结合余弦定理求解即可.【解答过程】(1) 由题,因为a=2bcosC,所以sinA=2sinBcosC, 因为sin A=sin(B+C),所以sinBcosC+cosBsinC=2sinBcosC, 即sinBcosC−cosBsinC=0,则sin(B−C)=0, 所以在△ABC中,B=C, 所以△ABC是等腰三角形. (2) π π 由(1),因为∠BAC=2∠ABC,则∠BAC= ,∠ABC= , 2 4 因为EB=CD=1,所以BC=2CD=2,AB=√2, 3 4 因为cos∠EBC=− ,所以sin∠EBC= , 5 5 3 √2 4 √2 √2 所以cos∠ABE=cos(∠EBC−∠ABC)=− × + × = , 5 2 5 2 10 √65 在△ABE中,AE=√AB2+EB2−2AB⋅EB⋅cos∠ABE= . 5 20.(12分)(2022·海南高三阶段练习)如图,在圆内接△ABC中,内角A,B,C所对的边分别为a, b,c,满足acosC+ccosA=2bcosB. (1)求B; (2)若点D是劣弧A´C一点,由圆内接四边形的性质可知:∠D+∠B=180°,AB=2,BC=3,AD=1, 求四边形ABCD的面积. 【解题思路】(1)根据正弦定理化简,结合角的范围即可求解; (2)在△ABC中利用余弦定理求出AC,已知B可得∠ADC,再用余弦定理求出DC,可求得△ABC 和△ADC面积,即可求解 【解答过程】(1)由acosC+ccosA=2bcosB结合正弦定理得sinAcosC+sinCcosA=2sinBcosB, 所以sin(A+C)=sinB=2sinBcosB,因为0 , 6 6 2 2 √2 5π 所以sin A= 在(0, )上有两根,△ABC不唯一. 2 6 π 若选条件②,b=2,a=√2,B= , 6 由余弦定理得:b2=a2+c2−2accosB, √6+√14 √6−√14 代入数据解得:c= 或c= (舍). 2 2 √14 π 若选条件③:cosA= ,a=√2,B= , 4 6 √2 a b 所以sin A= ,由正弦定理得: = , 4 sinA sinB 代入数据得:b=2, 所以cosC=−cos(A+B)=sin AsinB−cosAcosB √2 1 √14 √3 √2−√42 = × − × = , 4 2 4 2 8 由余弦定理得:c2=a2+b2−2abcosC, √6+√14 √6+√14 代入数据得:c2=5+√21,解得c= 或− (舍) 2 2 √6+√14 综上:c= . 2 π √6+√14 (2)因为a=√2,B= ,c= , 6 2 1 1 √6+√14 1 √3+√7 所以S = acsinB= ×√2× × = . △ABC 2 2 2 2 4