当前位置:首页>文档>高考仿真重难点训练07立体几何初步-(新高考专用)高考仿真重难点训练07立体几何初步(解析版)_2025年新高考资料_一轮复习

高考仿真重难点训练07立体几何初步-(新高考专用)高考仿真重难点训练07立体几何初步(解析版)_2025年新高考资料_一轮复习

  • 2026-04-21 13:40:29 2026-04-21 13:40:29

文档预览

高考仿真重难点训练07立体几何初步-(新高考专用)高考仿真重难点训练07立体几何初步(解析版)_2025年新高考资料_一轮复习
高考仿真重难点训练07立体几何初步-(新高考专用)高考仿真重难点训练07立体几何初步(解析版)_2025年新高考资料_一轮复习
高考仿真重难点训练07立体几何初步-(新高考专用)高考仿真重难点训练07立体几何初步(解析版)_2025年新高考资料_一轮复习
高考仿真重难点训练07立体几何初步-(新高考专用)高考仿真重难点训练07立体几何初步(解析版)_2025年新高考资料_一轮复习
高考仿真重难点训练07立体几何初步-(新高考专用)高考仿真重难点训练07立体几何初步(解析版)_2025年新高考资料_一轮复习
高考仿真重难点训练07立体几何初步-(新高考专用)高考仿真重难点训练07立体几何初步(解析版)_2025年新高考资料_一轮复习
高考仿真重难点训练07立体几何初步-(新高考专用)高考仿真重难点训练07立体几何初步(解析版)_2025年新高考资料_一轮复习
高考仿真重难点训练07立体几何初步-(新高考专用)高考仿真重难点训练07立体几何初步(解析版)_2025年新高考资料_一轮复习
高考仿真重难点训练07立体几何初步-(新高考专用)高考仿真重难点训练07立体几何初步(解析版)_2025年新高考资料_一轮复习
高考仿真重难点训练07立体几何初步-(新高考专用)高考仿真重难点训练07立体几何初步(解析版)_2025年新高考资料_一轮复习
高考仿真重难点训练07立体几何初步-(新高考专用)高考仿真重难点训练07立体几何初步(解析版)_2025年新高考资料_一轮复习
高考仿真重难点训练07立体几何初步-(新高考专用)高考仿真重难点训练07立体几何初步(解析版)_2025年新高考资料_一轮复习
高考仿真重难点训练07立体几何初步-(新高考专用)高考仿真重难点训练07立体几何初步(解析版)_2025年新高考资料_一轮复习
高考仿真重难点训练07立体几何初步-(新高考专用)高考仿真重难点训练07立体几何初步(解析版)_2025年新高考资料_一轮复习
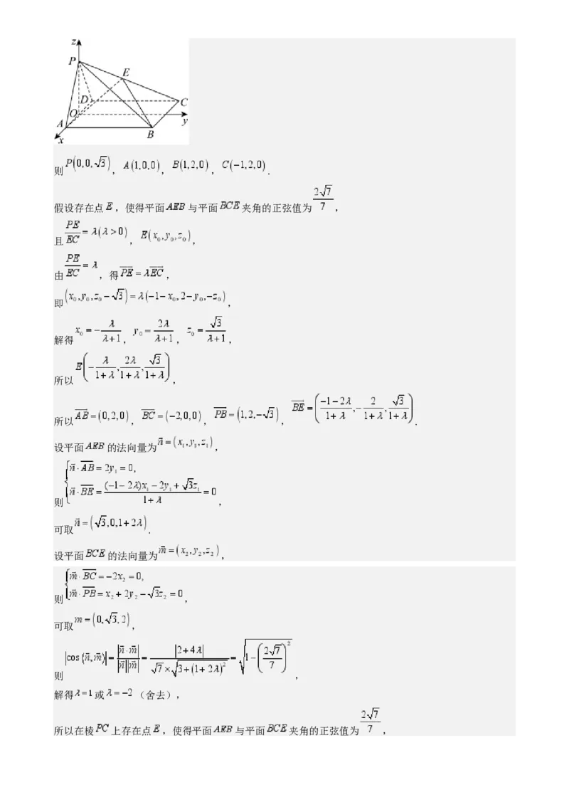
高考仿真重难点训练07立体几何初步-(新高考专用)高考仿真重难点训练07立体几何初步(解析版)_2025年新高考资料_一轮复习
高考仿真重难点训练07立体几何初步-(新高考专用)高考仿真重难点训练07立体几何初步(解析版)_2025年新高考资料_一轮复习
高考仿真重难点训练07立体几何初步-(新高考专用)高考仿真重难点训练07立体几何初步(解析版)_2025年新高考资料_一轮复习
高考仿真重难点训练07立体几何初步-(新高考专用)高考仿真重难点训练07立体几何初步(解析版)_2025年新高考资料_一轮复习
高考仿真重难点训练07立体几何初步-(新高考专用)高考仿真重难点训练07立体几何初步(解析版)_2025年新高考资料_一轮复习
高考仿真重难点训练07立体几何初步-(新高考专用)高考仿真重难点训练07立体几何初步(解析版)_2025年新高考资料_一轮复习
高考仿真重难点训练07立体几何初步-(新高考专用)高考仿真重难点训练07立体几何初步(解析版)_2025年新高考资料_一轮复习
高考仿真重难点训练07立体几何初步-(新高考专用)高考仿真重难点训练07立体几何初步(解析版)_2025年新高考资料_一轮复习
高考仿真重难点训练07立体几何初步-(新高考专用)高考仿真重难点训练07立体几何初步(解析版)_2025年新高考资料_一轮复习
高考仿真重难点训练07立体几何初步-(新高考专用)高考仿真重难点训练07立体几何初步(解析版)_2025年新高考资料_一轮复习
高考仿真重难点训练07立体几何初步-(新高考专用)高考仿真重难点训练07立体几何初步(解析版)_2025年新高考资料_一轮复习

文档信息

文档格式
docx
文档大小
0.679 MB
文档页数
21 页
上传时间
2026-04-21 13:40:29

文档内容

高考仿真重难点训练07 立体几何初步 一、选择题 1.下列命题中正确的是( ) A.三点确定一个平面 B.两两相交且不共点的三条直线确定一个平面 C.圆的一条直径与圆上一点可确定一个平面 D.四边形可确定一个平面 【答案】B 【分析】根据确定平面的依据,判断选项. 【解析】A.由确定平面的依据可知,不共线的三点确定一个平面,故错误; B.两两相交且不共点的三条直线确定一个平面,故正确; C.根据确定平面的依据,直线和直线外一点确定一个平面,所以应改为圆的一条直径和圆上除直径端点外 的一点,可确定一个平面,故错误; D.空间四边形,四点不在同一个平面,故错误; 故选:B 2.已知 , , 是平面, , , 是直线, , , ,若 ,则 ( ) A. B. C. D. 【答案】A 【分析】根据空间中点线面之间的位置关系结合平面的基本性质逐一判断四个选项的正误,即可得正确选 项. 【解析】因为 , ,所以 , , 由 ,可得 且 , 所以 且 , 因为 ,所以 ,故选项A正确,选项B不正确; 因为 , ,所以 、 有公共点 ,故选项C不正确; 因为 , ,所以 ,因为 ,所以 与 有公共点 ,故选项D不正确; 故选:A. 3.水平放置的 的斜二测直观图如图所示,已知 ,则 的面积是( )A.4 B.5 C.6 D.7 【答案】C 【分析】根据直观图与斜二测画法的定义求解. 【解析】由题可知, 为直角三角形, 且 , 所以 , 故选:C. 4.已知底面边长为2的正四棱柱 的体积为16,则直线 与 所成角的余弦值为 ( ) A. B. C. D. 【答案】C 【分析】如图,确定 (或其补角)为直线 与 所成的角,求出 ,进而求解. 【解析】如图,连接 ,则 ,取 的中点 ,连接 ,则 , 所以 (或其补角)为直线 与 所成的角, 又正四棱柱的体积为16,则该棱柱的高为 , 又 , 所以 , 即直线 与 所成角的余弦值为 . 故选:C5.已知 、 是不重合的两条直线, 、 是不重合的两个平面,则下列结论正确的是( ) A.若 , , ,则 B.若 , , ,则 C.若 , , ,则 D.若 , ,则 【答案】A 【分析】对于A,先判断 ,然后由线面平行判定定理可判断;对于BCD,通过正方体模型举反例即 可判断. 【解析】对于A,因为 , ,所以 , 又 , ,所以 ,A正确; 对于B,在正方体 中, 记平面 为 ,平面 为 , 为 , 为 , 则 , , ,但 与 不平行,B错误; 对于C,记平面 为 ,平面 为 , 为 , 为 , 由正方体性质可知, 平面 , 平面 ,所以 , 则 , , ,但 不垂直,C错误; 对于D,记 为 , 为 ,平面 为 , 则 , ,但 与 不垂直,D错误. 故选:A6.漏刻是中国古代的一种计时系统,“漏”是指计时器——漏壶,“刻”是指时间,《说文解字》中记 载:“漏以铜壶盛水,刻节,昼夜百刻.”某展览馆根据史书记载,复原唐代四级漏壶计时器,如图,计时 器由三个圆台形漏水壶和一个圆柱形受水壶组成,当最上层漏水壶盛满水时,漂浮在最底层受水壶中的浮 箭刻度为0,当最上层漏水壶中水全部漏完时,浮箭刻度为100.已知最上层漏水壶口径与底径之比为 ,则当最上层漏水壶水面下降到其高度的一半时,浮箭刻度约为( )(四舍五入精确到个位) A.38 B.60 C.61 D.62 【答案】D 【分析】根据题意结合台体体积公式运算求解. 【解析】由题意可知:最上层漏水壶所漏水的体积与浮箭刻度成正比, 设最上层漏水壶的口径与底径分别为 , ,高为 , 则体积为 , 当最上层漏水壶水面下降到高度的一半时,设此时浮箭刻度为 , 因为已漏水体积 , 可得 ,解得 , 所以浮箭刻度约为62.故选:D. 7.如图是一个四棱锥的平面展开图,其中四边形 为正方形,四个三角形为正三角形, 分 别是 的中点,在此四棱锥中,则( ) A. 与 是异面直线,且 平面 B. 与 是相交直线,且 平面 C. 与 是异面直线,且 平面 D. 与 是相交直线,且 平面 【答案】B 【分析】画出几何体 , 证得四边形 为梯形,得到 与 为相交直线,再由线面平行 的判定定理,证得 平面 . 【解析】根据题意,画出几何体 ,如图所示, 因为 分别是 的中点,可得 且 , 又因为 且 ,所以 且 , 所以四边形 为梯形,所以 与 为相交直线, 因为 为 的中点,可得 且 , 所以四边形 为平行四边形,可得 , 又因为 平面 , 平面 ,所以 平面 . 故选:B. 8.如图,将边长为1的正 以边 为轴逆时针翻转 弧度得到 ,其中 ,构成一个 三棱锥 .若该三棱锥的外接球半径不超过 ,则 的取值范围为( )A. B. C. D. 【答案】C 【分析】作辅助线,则 即为三棱锥的外接球球心,翻折的角 即为 的大小,设 ,结合题 意分析可知 ,结合题意分析求解即可. 【解析】取线段 的中点 ,线段 上靠近点 的三等分点 , 的中点 , 连接 ,则 为正 的外心, ,可知 为线段 的中垂线, 在平面 内过 作 的垂线交 于 ,连接 , 则 即为三棱锥的外接球球心,翻折的角 即为 的大小. 设 ,则 , , , , , 可得 , 化简得 , 又因为 ,即 ,解得 , 结合 ,可得 ,则 ,所以 . 故选:C.【点睛】方法点睛:多面体与球切、接问题的求解方法 1.涉及球与棱柱、棱锥的切、接问题时,一般过球心及多面体的特殊点(一般为接、切点)或线作截面, 把空间问题转化为平面问题求解; 2.利用平面几何知识寻找几何体中元素间的关系,或只画内切、外接的几何体的直观图,确定球心的位 置,弄清球的半径(直径)与该几何体已知量的关系,列方程(组)求解. 二、多选题 9.已知空间两条异面直线 所成的角等于60°,过点 与 所成的角均为 的直线有且只有一条,则 的值可以等于( ) A.30° B.45° C.75° D.90° 【答案】AD 【分析】过点 作 ,求得直线 与 所成角的范围为 或 ,结合选项, 即可求解. 【解析】过点 作 , 从两对角的角平分线开始,直线 与 所成角的范围为 或 , 而均为 的直线有且仅有一条,根据对称性,可得 或 . 故选:AD. 10.阿基米德多面体是由边数不全相同的正多边形为面围成的多面体,截角四面体是阿基米德多面体其中 的一种.如图所示,将棱长为3a的正四面体沿棱的三等分点作平行于底面的截面得到所有棱长均为a的 截角四面体,则下列说法中正确的是( ) A.点E到平面ABC的距离为 B.直线DE与平面ABC所成角的正切值为2C.该截角四面体的表面积为 D.该截角四面体存在内切球 【答案】AC 【分析】如图,将该截角四面体补成正四面体 .对于A:由平面 平面 可知点E到平面 ABC的距离即为点S到平面ABC的距离,运算求解即可;对于B:由 ∥,可知直线DE与平面ABC 所成角即为 与平面 所成角 ,运算求解即可;对于C:根据∥正三角的面积结合比例关系运算 求解; 对于D:假设存在内切球根据对称性可知该球心为正四面体 的中心O,求点O到平面 的距 离即可判断. 【解析】如图,将该截角四面体补成正四面体 ,取底面 的中心 ,连接 , 可知 平面 ,则 ,可得 , 对于选项A:由题意可知:平面 平面 , ∥ 则点E到平面ABC的距离即为点S到平面ABC的距离 ,故A正确; 对于选项B:由题意可知: , 则直线DE与平面ABC所成角即∥为 与平面 所成角 , 可得 , 所以直线DE与平面ABC所成角的正切值为 ,故B错误; 对于选项C:由题意可知: , 则 , 所以该截角四面体的表面积为 ,故C正确; 对于选项D:若该截角四面体存在内切球,根据对称性可知该球心为正四面体 的中心O, 可知 , 因为 ,即 ,解得 ,由选项A可知:点S到平面ABC的距离 , 则点O到平面ABC的距离为 , 所以该截角四面体不存在内切球,故D错误; 故选:AC. 【点睛】关键点点睛:本题解题关键是将该截角四面体补成正四面体 ,结合正四面体的性质分 析 求解. 11.(多选)如图,在棱长为1的正方体 中,点P是线段 上的动点,则( ) A. 的面积为 B.三棱锥 的体积为 C.存在点P,使得 D.存在点P,使得 ⊥ 平面 【答案】BD ⊥ 【分析】选项A:当点P与 重合, 为边长是 的等边三角形,求出三角形面积,即可判断;选 项B:利用等体积转化法求解即可;选项C:以 为直径的球面与直线没有公共点,即可判断;选项 D:当P为 的中点时,根据线面垂直的判定定理即可得证. 【解析】A选项,在棱长为1的正方体 中, 点P是线段 上的动点,当点P与 重合时, 为等边三角形, 边长为 , 故 的面积为 ,故A错误; B选项,因为 , 其中 ,表示点P到平面 的距离,故 , 所以三棱锥 的体积为 ,故B正确; C选项:在正方体 中,以 为直径的球面,半径 , 则直线 与该球面没有公共点,故不存在点P,故C错误; D选项:取 的中点M,连接PM, 当P为 的中点时,即 为 的交点时, 因为 , ,所以四边形 为平行四边形, 故 , 又 , 所以四边形 为平行四边形, 所以 , 因为 平面 , 易知 ⊥平面 , 因为 ⊥平面 , 所以PM , 又因为在⊥正方体中, , 而 ,所以⊥ 平面 ,故D正确. 故选:BD. ⊥ 三、填空题 12.已知底面半径为2的圆锥的侧面积为 ,则该圆锥的外接球的表面积为 . 【答案】 【分析】求出圆锥的母线 ,求出圆锥的高,设圆锥外接球的半径,列出方程,求出半径,得到表 面积.【解析】设圆锥的母线为 ,又 ,故 , 解得 , 圆锥的高为 , 设该圆锥的外接球的半径为 , 故 ,故 , 由勾股定理得 ,即 , 解得 , 故该圆锥的外接球的表面积为 . 故答案为: 13.已知正四面体A-BCD的棱长为6,P是四面体A-BCD外接球球面上的动点,Q是四面体A-BCD 内切球球面上的动点,则PQ的取值范围是 . 【答案】 【分析】依据题意作出图形,再求出外接球半径,再求目标式范围即可. 【解析】 如图,AE是正四面体A-BCD的高,由对称性知其外接球与内切球的球心重合,为O,且在AE上, 则E是底面正三角形BCD的中心, , 设外接球的半径为R,即 ,由 ,得 ,解得 , 因此内切球的半径为 ,显然有 ,即 , 又 ,所以 . 故答案为: 14.如图,在四棱柱 中,底面ABCD为正方形, , , ,且二面角 的正切值为 .若点P在底面ABCD上运动,点Q在四棱柱 内运动, ,则 的最小值为 . 【答案】 【分析】 先求得 到平面 的距离,然后利用对称法以及三点共线等知识求得 的最小值. 【解析】连接 ,交 于 ,设 是 的中点,连接 . 由于 , 是 的中点,所以 , 由于 平面 , 所以 平面 ,由于 平面 ,所以 , , 由于 分别是 的中点,所以 , 由于 ,所以 ,由于 平面 , 所以 平面 ,由于 平面 ,所以 , 所以 是二面角 的平面角, 所以 ,所以 , 由于 ,所以 , 所以三角形 是等腰直角三角形,所以 , 由于 平面 , 所以 平面 ,且 . 由于 ,所以 点的轨迹是以 为球心, 半径为 的球面在四棱柱 内的部分, 关于平面 的对称点为 , 连接 ,交平面 于 ,所以 的最小值为 . 故答案为: 【点睛】求解二面角有关问题,关键是找到二面角的平面角,二面角的平面角的定义是:在二面角的交线 上任取一点,然后在两个半平面内作交线的垂线,所得角也即是二面角的平面角. 四、解答题 15.如图,在四棱锥 中, 平面 , , , , , , 分别为 , 的中点. (1)求三棱锥 的体积; (2)求直线 与平面 所成线面角的正弦值. 【答案】(1) ; (2) . 【分析】(1)根据 ,再根据棱锥的体积计算公式,求解即可; (2)根据(1)中所求棱锥 的体积,求得点 到平面 的距离,结合 的长度,利用公 式,直接求解即可. 【解析】(1) 面 面 ,故 ,故 , 又在直角梯形 中, , ; 又 为 中点,故. (2)因为 // ,故 ,又 面 面 ,故 , 又 面 , 故 面 面 ,则 ,则 为直角三角形; △ 易知 , 故 , 设点 到面 的距离为 , 由(1)可得 ,解得 ; 因为 分别为 的中点,故 // , 则 面 ,又 面 ,则 , 故 为直角三角形,则 , △ 设直线 与平面 所成角为 ,则 . 16.如图,三棱柱 所有棱长都为2, ,D为 与 交点. (1)证明:平面 平面 ; (2)若 ,求二面角 的余弦值. 【答案】(1)证明见解析 (2) 【分析】(1)由面面垂直判定定理证明,即 先证明 平面 ,再证明面 平面 . (2)先建系,然后求解出平面 的一个法向量 和平面 的一个法向量 ,代入公式 即可. 【解析】(1)取 中点O,取 中点E,连接 , , , 因为三棱柱 所有棱长都为2, ,有 , ,E为 的中点, 四点共面, 所以 ,且 , 、 平面 , , 所以 平面 ,又 平面 ,故平面 平面 . (2)因为 ,所以 平面 , 平面 , 所以 ,所以 为直角三角形,所以 , 所以 ,在 中, . 以O为原点,作 平面 ,以 , , 方向为x,y,z轴正方向, 建立空间直角坐标系,如图所示, 则 , , , , 由 ,所以 ,所以 , , 设平面 的一个法向量为 ,则 ,即 , 令 ,解得 ,所以平面 的一个法向量为 , 记二面角 的大小为 ,且 为锐角, 则 , 即二面角 的平面角的余弦值为 . 17.如图,在四棱锥P-ABCD中,底面ABCD是边长为2的正方形,E为BC的中点,且 .(1)求证: ; (2)若四棱锥P-AED的体积为 ,直线AB与PE所成角为30°,求二面角P-AD-E的正切值. 【答案】(1)证明见解析 (2) 【分析】(1)利用线线垂直证明线面垂直,再证线线垂直,利用等腰三角形的三线合一证明即可; (2)利用垂直关系,易得线面角和二面角的平面角,即可计算求解. 【解析】(1)取AD的中点O,因为四边形ABCD是正方形, . , ,EO, 平面POE, 平面POE. 又 平面POE, , 又因为O是AD的中点,所以可得 ,即 . (2)作 于点Q, 平面POE, 平面POE, . 又 , 平面 , 平面 . 由 ,得 . 因为 ,所以 所成角为 , 故 ,解得 . 因为 , ,所以 为二面角 的平面角. . 即所求二面角 的正切值为 . 18.如图,在四棱锥 中, , .(1)证明:平面 平面 ; (2)在棱 上是否存在点 ,使得平面 与平面 夹角的正弦值为 ?若存在,求 的值;若 不存在,请说明理由. 【答案】(1)证明见解析 (2)存在, . 【分析】(1)通过 , 证 平面 ,即可证面面平行; (2)通过建立空间直角坐标系,计算各点坐标,设 得 点坐标,并计算平面 和平面 的法向量,根据向量垂直确定,再根据向量的夹角公式计算即可. 【解析】(1)证明:因为 , , 所以 , , 所以 , , 又 , 所以四边形 为菱形, 所以 , , 又 , 平面 , , 所以 平面 , 又 平面 , 所以平面 平面 . (2)由(1)得 平面 , 因为 平面 , 所以 , 故四边形 为正方形. 不妨设正方形 的边长为2, 的中点为 ,连接 . 因为 为等边三角形, 所以 , 又 平面 , 又平面 平面 , 且平面 平面 , 所以 平面 . 以 为坐标原点, , , 的方向分别为 , , 轴的正方向, 建立如图所示的空间直角坐标系,则 , , , . 假设存在点 ,使得平面 与平面 夹角的正弦值为 , 且 , , 由 ,得 , 即 , 解得 , , , 所以 , 所以 , , , . 设平面 的法向量为 , 则 , 可取 . 设平面 的法向量为 , 则 , 可取 , 则 , 解得 或 (舍去), 所以在棱 上存在点 ,使得平面 与平面 夹角的正弦值为 ,且 . 19.在棱长均为2的正三棱柱 中, E为 的中点.过AE的截面与棱 分别交 于点F, G. (1)若F为 的中点,求三棱柱被截面AGEF分成上下两部分的体积比 (2)若四棱锥 的体积为 求截面 AGEF 与底面ABC所成二面角的正弦值; (3)设截面AFEG的面积为 面积为S₁, AEF面积为 当点F在棱 上变动时,求 的 取值范围. △ 【答案】(1) (2) (3) 【分析】(1)可以连接 ,并延长,通过三角形相似得出 为 靠近 的三等分点,然后将要求的 几何体分割成几个锥体,转换底面计算即可; (2)先求出点 到平面 的距离,得到 为 靠近 的四等分点.然后通过平面与平面垂直的性 质 证所做出的角是二面角的平面角,在直角三角形中用三边关系求解即可; (3)可以设 , ,先表示 与 的关系,再用 表示 . 【解析】(1)连接 ,并延长,交 于点 ,交 的延长线于点 ,连接 交 于点 ,连 接 , .易得 . 故 为 靠近 的三等分点. 得到 , . 下面求三棱柱被截面分成两部分的体积比. 三棱柱 的体积 . 连接 , ,由 平面 知, . . . 故 . (2)由 及 可得 , 可得 ; 即点 到平面 的距离为 ,即 到 的距离为 , 为 靠近 的四等分点. 因为平面 平面 , 所以截面 与平面 所成角即为截面 与平面 所成角,在 中, , ,故 . 又因为平面 平面 ,且平面 平面 , 所以 平面 , 平面 , ,则 即为截面 与底面 所成的 二面角的平面角. 在直角 中, , , ; .因此,截面 与平面 所成二面角的正弦值为 . (3)设 , , . 设 的面积为 ,可得 .又因为 ,所以 . 令 则 , ; 当 时, 单调递减, , . 所以 的取值范围为 . 【点睛】方法点睛:用几何法求锥体的体积时,有两个很实用的方法: 方法一:可以用转换底面的方法将锥体转换到较为容易计算的底面和高; 方法二:当锥体的顶点在与锥体的底面平行的直线上运动时,则锥体的体积是不变的.