当前位置:首页>文档>特训10立体几何中的截面问题(七大题型)(解析版)_2025年新高考资料_一轮复习_2025年高考数学一轮复习《重难点题型与知识梳理•高分突破》(新高考专用)

特训10立体几何中的截面问题(七大题型)(解析版)_2025年新高考资料_一轮复习_2025年高考数学一轮复习《重难点题型与知识梳理•高分突破》(新高考专用)

  • 2026-04-15 17:48:14 2026-04-15 17:46:59

文档预览

特训10立体几何中的截面问题(七大题型)(解析版)_2025年新高考资料_一轮复习_2025年高考数学一轮复习《重难点题型与知识梳理•高分突破》(新高考专用)
特训10立体几何中的截面问题(七大题型)(解析版)_2025年新高考资料_一轮复习_2025年高考数学一轮复习《重难点题型与知识梳理•高分突破》(新高考专用)
特训10立体几何中的截面问题(七大题型)(解析版)_2025年新高考资料_一轮复习_2025年高考数学一轮复习《重难点题型与知识梳理•高分突破》(新高考专用)
特训10立体几何中的截面问题(七大题型)(解析版)_2025年新高考资料_一轮复习_2025年高考数学一轮复习《重难点题型与知识梳理•高分突破》(新高考专用)
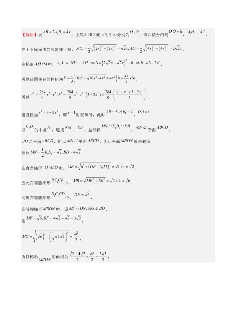
特训10立体几何中的截面问题(七大题型)(解析版)_2025年新高考资料_一轮复习_2025年高考数学一轮复习《重难点题型与知识梳理•高分突破》(新高考专用)
特训10立体几何中的截面问题(七大题型)(解析版)_2025年新高考资料_一轮复习_2025年高考数学一轮复习《重难点题型与知识梳理•高分突破》(新高考专用)
特训10立体几何中的截面问题(七大题型)(解析版)_2025年新高考资料_一轮复习_2025年高考数学一轮复习《重难点题型与知识梳理•高分突破》(新高考专用)
特训10立体几何中的截面问题(七大题型)(解析版)_2025年新高考资料_一轮复习_2025年高考数学一轮复习《重难点题型与知识梳理•高分突破》(新高考专用)
特训10立体几何中的截面问题(七大题型)(解析版)_2025年新高考资料_一轮复习_2025年高考数学一轮复习《重难点题型与知识梳理•高分突破》(新高考专用)
特训10立体几何中的截面问题(七大题型)(解析版)_2025年新高考资料_一轮复习_2025年高考数学一轮复习《重难点题型与知识梳理•高分突破》(新高考专用)
特训10立体几何中的截面问题(七大题型)(解析版)_2025年新高考资料_一轮复习_2025年高考数学一轮复习《重难点题型与知识梳理•高分突破》(新高考专用)
特训10立体几何中的截面问题(七大题型)(解析版)_2025年新高考资料_一轮复习_2025年高考数学一轮复习《重难点题型与知识梳理•高分突破》(新高考专用)
特训10立体几何中的截面问题(七大题型)(解析版)_2025年新高考资料_一轮复习_2025年高考数学一轮复习《重难点题型与知识梳理•高分突破》(新高考专用)
特训10立体几何中的截面问题(七大题型)(解析版)_2025年新高考资料_一轮复习_2025年高考数学一轮复习《重难点题型与知识梳理•高分突破》(新高考专用)
特训10立体几何中的截面问题(七大题型)(解析版)_2025年新高考资料_一轮复习_2025年高考数学一轮复习《重难点题型与知识梳理•高分突破》(新高考专用)
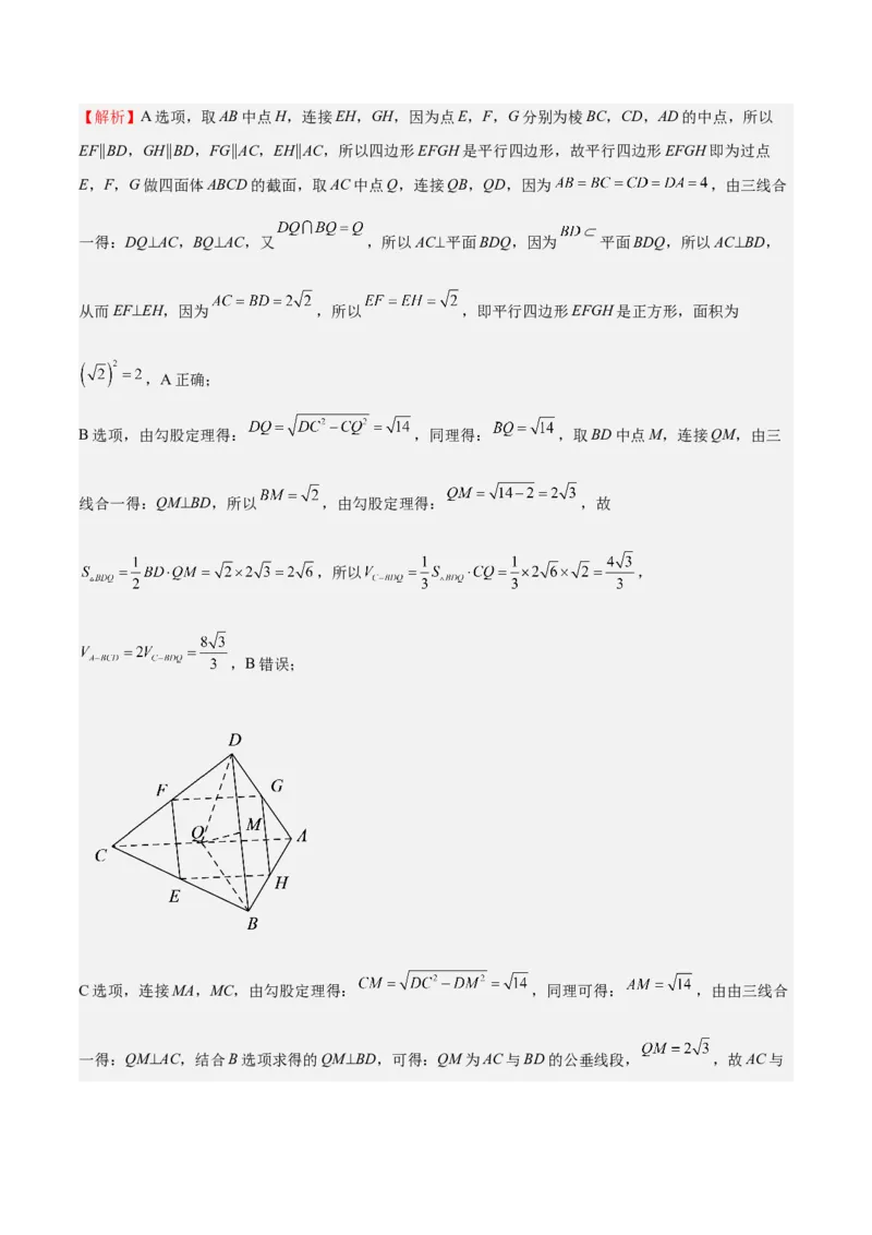
特训10立体几何中的截面问题(七大题型)(解析版)_2025年新高考资料_一轮复习_2025年高考数学一轮复习《重难点题型与知识梳理•高分突破》(新高考专用)
特训10立体几何中的截面问题(七大题型)(解析版)_2025年新高考资料_一轮复习_2025年高考数学一轮复习《重难点题型与知识梳理•高分突破》(新高考专用)
特训10立体几何中的截面问题(七大题型)(解析版)_2025年新高考资料_一轮复习_2025年高考数学一轮复习《重难点题型与知识梳理•高分突破》(新高考专用)
特训10立体几何中的截面问题(七大题型)(解析版)_2025年新高考资料_一轮复习_2025年高考数学一轮复习《重难点题型与知识梳理•高分突破》(新高考专用)
特训10立体几何中的截面问题(七大题型)(解析版)_2025年新高考资料_一轮复习_2025年高考数学一轮复习《重难点题型与知识梳理•高分突破》(新高考专用)
特训10立体几何中的截面问题(七大题型)(解析版)_2025年新高考资料_一轮复习_2025年高考数学一轮复习《重难点题型与知识梳理•高分突破》(新高考专用)
特训10立体几何中的截面问题(七大题型)(解析版)_2025年新高考资料_一轮复习_2025年高考数学一轮复习《重难点题型与知识梳理•高分突破》(新高考专用)
特训10立体几何中的截面问题(七大题型)(解析版)_2025年新高考资料_一轮复习_2025年高考数学一轮复习《重难点题型与知识梳理•高分突破》(新高考专用)
特训10立体几何中的截面问题(七大题型)(解析版)_2025年新高考资料_一轮复习_2025年高考数学一轮复习《重难点题型与知识梳理•高分突破》(新高考专用)
特训10立体几何中的截面问题(七大题型)(解析版)_2025年新高考资料_一轮复习_2025年高考数学一轮复习《重难点题型与知识梳理•高分突破》(新高考专用)
特训10立体几何中的截面问题(七大题型)(解析版)_2025年新高考资料_一轮复习_2025年高考数学一轮复习《重难点题型与知识梳理•高分突破》(新高考专用)
特训10立体几何中的截面问题(七大题型)(解析版)_2025年新高考资料_一轮复习_2025年高考数学一轮复习《重难点题型与知识梳理•高分突破》(新高考专用)
特训10立体几何中的截面问题(七大题型)(解析版)_2025年新高考资料_一轮复习_2025年高考数学一轮复习《重难点题型与知识梳理•高分突破》(新高考专用)
特训10立体几何中的截面问题(七大题型)(解析版)_2025年新高考资料_一轮复习_2025年高考数学一轮复习《重难点题型与知识梳理•高分突破》(新高考专用)
特训10立体几何中的截面问题(七大题型)(解析版)_2025年新高考资料_一轮复习_2025年高考数学一轮复习《重难点题型与知识梳理•高分突破》(新高考专用)
特训10立体几何中的截面问题(七大题型)(解析版)_2025年新高考资料_一轮复习_2025年高考数学一轮复习《重难点题型与知识梳理•高分突破》(新高考专用)
特训10立体几何中的截面问题(七大题型)(解析版)_2025年新高考资料_一轮复习_2025年高考数学一轮复习《重难点题型与知识梳理•高分突破》(新高考专用)
特训10立体几何中的截面问题(七大题型)(解析版)_2025年新高考资料_一轮复习_2025年高考数学一轮复习《重难点题型与知识梳理•高分突破》(新高考专用)
特训10立体几何中的截面问题(七大题型)(解析版)_2025年新高考资料_一轮复习_2025年高考数学一轮复习《重难点题型与知识梳理•高分突破》(新高考专用)
特训10立体几何中的截面问题(七大题型)(解析版)_2025年新高考资料_一轮复习_2025年高考数学一轮复习《重难点题型与知识梳理•高分突破》(新高考专用)
特训10立体几何中的截面问题(七大题型)(解析版)_2025年新高考资料_一轮复习_2025年高考数学一轮复习《重难点题型与知识梳理•高分突破》(新高考专用)
特训10立体几何中的截面问题(七大题型)(解析版)_2025年新高考资料_一轮复习_2025年高考数学一轮复习《重难点题型与知识梳理•高分突破》(新高考专用)
特训10立体几何中的截面问题(七大题型)(解析版)_2025年新高考资料_一轮复习_2025年高考数学一轮复习《重难点题型与知识梳理•高分突破》(新高考专用)
特训10立体几何中的截面问题(七大题型)(解析版)_2025年新高考资料_一轮复习_2025年高考数学一轮复习《重难点题型与知识梳理•高分突破》(新高考专用)
特训10立体几何中的截面问题(七大题型)(解析版)_2025年新高考资料_一轮复习_2025年高考数学一轮复习《重难点题型与知识梳理•高分突破》(新高考专用)
特训10立体几何中的截面问题(七大题型)(解析版)_2025年新高考资料_一轮复习_2025年高考数学一轮复习《重难点题型与知识梳理•高分突破》(新高考专用)
特训10立体几何中的截面问题(七大题型)(解析版)_2025年新高考资料_一轮复习_2025年高考数学一轮复习《重难点题型与知识梳理•高分突破》(新高考专用)
特训10立体几何中的截面问题(七大题型)(解析版)_2025年新高考资料_一轮复习_2025年高考数学一轮复习《重难点题型与知识梳理•高分突破》(新高考专用)
特训10立体几何中的截面问题(七大题型)(解析版)_2025年新高考资料_一轮复习_2025年高考数学一轮复习《重难点题型与知识梳理•高分突破》(新高考专用)
特训10立体几何中的截面问题(七大题型)(解析版)_2025年新高考资料_一轮复习_2025年高考数学一轮复习《重难点题型与知识梳理•高分突破》(新高考专用)
特训10立体几何中的截面问题(七大题型)(解析版)_2025年新高考资料_一轮复习_2025年高考数学一轮复习《重难点题型与知识梳理•高分突破》(新高考专用)
特训10立体几何中的截面问题(七大题型)(解析版)_2025年新高考资料_一轮复习_2025年高考数学一轮复习《重难点题型与知识梳理•高分突破》(新高考专用)
特训10立体几何中的截面问题(七大题型)(解析版)_2025年新高考资料_一轮复习_2025年高考数学一轮复习《重难点题型与知识梳理•高分突破》(新高考专用)
特训10立体几何中的截面问题(七大题型)(解析版)_2025年新高考资料_一轮复习_2025年高考数学一轮复习《重难点题型与知识梳理•高分突破》(新高考专用)
特训10立体几何中的截面问题(七大题型)(解析版)_2025年新高考资料_一轮复习_2025年高考数学一轮复习《重难点题型与知识梳理•高分突破》(新高考专用)
特训10立体几何中的截面问题(七大题型)(解析版)_2025年新高考资料_一轮复习_2025年高考数学一轮复习《重难点题型与知识梳理•高分突破》(新高考专用)
特训10立体几何中的截面问题(七大题型)(解析版)_2025年新高考资料_一轮复习_2025年高考数学一轮复习《重难点题型与知识梳理•高分突破》(新高考专用)
特训10立体几何中的截面问题(七大题型)(解析版)_2025年新高考资料_一轮复习_2025年高考数学一轮复习《重难点题型与知识梳理•高分突破》(新高考专用)
特训10立体几何中的截面问题(七大题型)(解析版)_2025年新高考资料_一轮复习_2025年高考数学一轮复习《重难点题型与知识梳理•高分突破》(新高考专用)
特训10立体几何中的截面问题(七大题型)(解析版)_2025年新高考资料_一轮复习_2025年高考数学一轮复习《重难点题型与知识梳理•高分突破》(新高考专用)
特训10立体几何中的截面问题(七大题型)(解析版)_2025年新高考资料_一轮复习_2025年高考数学一轮复习《重难点题型与知识梳理•高分突破》(新高考专用)
特训10立体几何中的截面问题(七大题型)(解析版)_2025年新高考资料_一轮复习_2025年高考数学一轮复习《重难点题型与知识梳理•高分突破》(新高考专用)
特训10立体几何中的截面问题(七大题型)(解析版)_2025年新高考资料_一轮复习_2025年高考数学一轮复习《重难点题型与知识梳理•高分突破》(新高考专用)
特训10立体几何中的截面问题(七大题型)(解析版)_2025年新高考资料_一轮复习_2025年高考数学一轮复习《重难点题型与知识梳理•高分突破》(新高考专用)
特训10立体几何中的截面问题(七大题型)(解析版)_2025年新高考资料_一轮复习_2025年高考数学一轮复习《重难点题型与知识梳理•高分突破》(新高考专用)
特训10立体几何中的截面问题(七大题型)(解析版)_2025年新高考资料_一轮复习_2025年高考数学一轮复习《重难点题型与知识梳理•高分突破》(新高考专用)
特训10立体几何中的截面问题(七大题型)(解析版)_2025年新高考资料_一轮复习_2025年高考数学一轮复习《重难点题型与知识梳理•高分突破》(新高考专用)

文档信息

文档格式
docx
文档大小
9.973 MB
文档页数
58 页
上传时间
2026-04-15 17:46:59

文档内容

特训 10 立体几何中的截面问题(七大题型) 用一个平面去截几何体,此平面与几何体的交集,叫做这个几何体的截面.此平面与几何体表面的交集 (交线)叫做截线. 1.作截线与截点的主要根据: (1)确定平面的条件. (2)如果两个不重合的平面有一个公共点,那么它们相交于过此点的一条直线. (3)如果一条直线上的两点在一个平面内,那么这条直线上所有的点都在这个平面内. (4)线面平行的性质定理。 (5)如果两个平面平行,第三个平面和它们相交,那么两条交线平行. 2.立体几何图形中有关截面的做法: ①若已知两点在同一平面内,只要连接这两点,就可以得到截面与多面体的一个面的截线。 ②若面上只有一个已知点,应设法在同一平面上再找出第二个确定的点; ③若两个已知点分别在相邻的面上,应找出这两个相邻平面的交线与截面的交点。 ④面面平行的性质定理。 ⑤若有一点在面上而不在棱上,则可通过作辅助平而找出棱上的交点; 若已知点在体内,则可通过辅助平面找出面上的交点,再找出棱上的交点. 目录:01 :三棱柱 02 :四棱锥 03 :棱台 04 :侧棱垂直于底面 05 :正方体、长方体 06 :其他多面体 07 :三棱锥 08 :折叠问题 01 :棱柱(含正方体) 1.(2023·辽宁抚顺·模拟预测)在直四棱柱 中,底面ABCD为平行四边形, , , , ,过点B作平面截四棱柱所得截面为正方形,该平面交棱 于点 M,则 ( ) A.2 B.3 C.4 D.5 【答案】B 【分析】先结合截面为正方形,借助中位线 转化得到 的关系,再利用余弦定理分别求解底 面对角线 ,然后由垂直关系及截面正方形,借助长度相等,利用勾股定理建立 的方程组, 求解转化即得所求比值. 【解析】 如图,设截面分别交 , 于点P,Q, 连接PQ,BM,设交点 ,连接 ,设交点 ,由已知截面为正方形,则 是 , 的中点, 底面ABCD为平行四边形,则 是 , 的中点, 又 , ,则 , 则 是 的中位线,也是四边形 的中位线. 设 , , 故 , 由 ,得 , 化简得 (*),且 , 由直四棱柱 知, 平面 , 又 平面 ,则 则四边形 为直角梯形. 由 ,得 , 在 中,由余弦定理得 , 解得 ,同理可得 , 如图,在直角梯形 中,在CQ上取点S,使 , 则 . 由 ,得 ,即 ,化简得 , 与(*)联立,解得 , , 所以 ,则 , 验证知,此时四边形为 为正方形,满足题意. 则 . 故选:B. 2.(2023·江西赣州·模拟预测)在直四棱柱 中,底面ABCD是边长为2的正方形,侧棱 ,E是BC的中点,F是棱 上的点,且 ,过 作平面 ,使得平面 平面AEF,则 平面 截直四棱柱 ,所得截面图形的面积为( ) A. B. C.3 D. 【答案】A 【分析】根据四棱柱的几何性质以及面面平行的判定定理求解. 【解析】 如图,取 的中点M,在 上取一点H,使得 ,连接 ,如上图, 则 , 平面 ,平面AEF, 平面 平面 ; 即过 点平行于平面AEF的平面截四棱柱 的图形是三角形 , 其中 , , 故选:A. 3.(2024·安徽安庆·三模)在正方体 中,点 分别为棱 的中点,过点 三 点作该正方体的截面,则( ) A.该截面多边形是四边形 B.该截面多边形与棱 的交点是棱 的一个三等分点 C. 平面 D.平面 平面 【答案】B 【分析】将线段 向两边延长,分别与棱 的延长线,棱 的延长线交于 ,连 分别与棱 交于 ,可判断A;利用相似比可得 ,可判断B;证明 平面 即可判断 C;通过证明 平面 ,可判断D. 【解析】对于A,将线段 向两边延长,分别与棱 的延长线,棱 的延长线交于 , 连 分别与棱 交于 ,得到截面多边形 是五边形,A错误; 对于B,易知 和 全等且都是等腰直角三角形,所以 ,所以 ,即 ,点 是棱 的一个三等分点,B正确; 对于C,因为 平面 , 平面 ,所以 , 又 , 平面 ,所以 平面 , 因为 平面 ,所以 ,同理可证 , 因为 平面 ,所以 平面 , 因为平面 与平面 相交,所以 与平面 不垂直,C错误; 对于D,易知 ,所以 , 又 ,所以 平面 , 结合C结论,所以平面 与平面 不平行,D错误. 故选:B. 02 :棱锥 4.(2024·重庆渝中·模拟预测)在三棱锥 中, ,且 平面 ,过点 作截面分别交 于点 ,且二面角 的平面角为 ,则所得截面 的面积最小值 为( ) A. B. C. D.1 【答案】B 【分析】由二面角的定义可得 ,从而 ,设 ,由三角形的面 积相等和基本不等式得到 ,再由三角形的面积公式即可求解. 【解析】过 作 ,垂足为 ,连接 ,则由三垂线定理可得 , ∴ 即为二面角 的平面角, ∴ , ,所以 , 设 ,则 , 在三角形 中, , 又 ,所以 , 所以 , 时等号成立, 所以三角形 的面积为 , 故截面PEF面积的最小值为 . 故选:B.5.(2024·广西·模拟预测)在三棱锥 中, 平面 , , , , 点 为棱 上一点,过点 作三棱锥 的截面,使截面平行于直线 和 ,当该截面面积取得 最大值时, ( ) A. B. C. D. 【答案】C 【分析】通过作平行线作出题中的截面,并结合线面平行以及线面垂直说明其为矩形,利用三角形相似表 示出矩形的两边长,并求得其面积表达式,结合二次函数性质确定截面面积取得最大值时参数的值,解直 角三角形即可求得答案. 【解析】根据题意,在平面 内,过点 作 ,交 于点 ; 在平面 内,过点 作 ,交 于点 ; 在平面 内,过点 作 ,交 于点 ,连接 ,如图所示, 因为 ,则 ,设其相似比为 ,即 , 则 ; 又因为 , , , 由余弦定理得, ,则 , 即 . 又 平面 , , 平面 ,所以 , . 又 ,则 , .因为 ,则 ,则 , 因为 ,所以 ,即 , 同理可得 ,即 , 因为 , ,则 , 故四边形 为平行四边形;而 平面 , 平面 , 故 平面 ,同理 平面 , 即四边形 为截面图形; 又 平面 , 平面 ,则 , 又 ,所以 . 故平行四边形 为矩形,则 , 所以当 时, 有最大值 ,则 , 在 中, . 故选:C. 【点睛】思路点睛:先作平行线作出题中的截面,再证明四边形 为符合题意的截面图形,结合线面 平行以及线面垂直说明四边形 为矩形,利用三角形相似表示出矩形的两边长,并求得其面积表达式, 利用二次函数求出最值得解. 6.(2023·陕西西安·模拟预测)在三棱锥 中,侧面PAC是等边三角形,底面ABC是等腰直角三 角形, , ,点M,N,E分别是棱PA,PC,AB的中点,过M,N,E三点的平面 截三棱锥 所得截面为 ,给出下列结论: ①截面 的形状为正方形; ②截面 的面积等于 ; ③异面直线PA与BC所成角的余弦值为 ;④三棱锥 外接球的表面积等于 . 其中所有正确结论的序号是( ) A.①④ B.②③ C.①③④ D.②③④ 【答案】C 【分析】根据三棱锥 的几何特征,取 的中点为 ,利用线面垂直的判定定理即可证明截面 的形状为正方形,且其面积等于 ,即①正确,②错误;利用平面向量数量积以及余弦定理可求出异面直 线PA与BC所成角的余弦值为 ,可知③正确;利用垂直关系找出外接球球心位置,计算出半径即可得 ④正确. 【解析】取 的中点为 ,连接 , 因为点 分别是棱 的中点,所以 , ,可得 ; 又 , ,即 ; 所以 四点共面,且四边形 为平行四边形, 取 的中点为 ,连接 ,如下图所示: 易知 ,又 是等腰直角三角形,且 ,所以 ,可得 ; 又 , 平面 ,所以 平面 ; 易知 平面 ,可得 ; 又 , ,所以 , 且 ,所以四边形 为正方形, 即截面 的形状为正方形,所以①正确;由正方形面积公式可知,四边形 的面积为 ,即②错误; 设 ,可得 , 所以 , 易知 , , 在 中, ,所以 ,可得 ; 所以 , 所以异面直线PA与BC所成角的余弦值为 ,即③正确; 易知 , ,所以可得 ; 又 ,且 , 平面 , 所以 平面 , 又 平面 ,所以平面 平面 ; 所以可得外接球球心 在 上,设 ,半径为 , 则 ,解得 , ; 所以三棱锥 外接球的表面积等于 ,即④正确; 所有正确结论的序号是①③④. 故选:C 【点睛】方法点睛:关于球外接几何体的问题,首先根据几何体的结构特征,利用线面垂直判定定理等确 定球心位置,再利用半径相等列出等量关系即可计算出半径的大小. 03 :棱台7.(23-24高三上·河北廊坊·期末)如图所示,正四棱台 中,上底面边长为3,下底面边 长为6,体积为 ,点 在 上且满足 ,过点 的平面 与平面 平行,且与正四棱台 各面相交得到截面多边形,则该截面多边形的周长为( ) A. B. C. D. 【答案】D 【分析】首先过点 作 于点 ,结合已知得 ,由棱台体积公式得 ,由勾 股定理得 ,再求出 的长,最终根据相似三角形对应边成比例即可得解. 【解析】如图所示, 过点 作 于点 ,因为 , 所以 , 则四棱台的高为 ,则四棱台的体积为 , 解得 ,所以侧棱长为 .如图所示: 过 于点 , 于点 ,连接 , 由对称性可知 , 所以 , 而 , 所以 , 所以 ,同理 , 分别在棱 上取点 ,使得 , 易得 , 所以截面多边形的周长为 . 故选:D. 8.(22-23高三下·浙江绍兴·开学考试)在正棱台 中, 为棱 中 点.当四棱台的体积最大时,平面 截该四棱台的截面面积是( ) A. B. C. D. 【答案】C 【分析】根据正四棱台的体积公式、结合基本不等式、线面平行的判定定理、梯形的面积公式进行求解即 可.【解析】设 ,上底面和下底面的中心分别为 ,该四棱台的高 , . 在上下底面由勾股定理可知, . 在梯形 中, , 所以该四棱台的体积为 , 所以 , 当且仅当 ,即 时取等号,此时 , . 取 的中点 ,连接 、 ,显然有 , 平面 , 平面 ,所以 平面 ,因此平面 就是截面. 显然 , 在直角梯形 中, , 因此在等腰梯形 中, , 同理在等腰梯形 中, , 在等腰梯形 中,设 , 则 , , 所以梯形 的面积为 ,故选:C. 【点睛】关键点睛:根据基本不等式求出体积最大值,结合线面平行判定定理判断截面的形状是解题的关 键. 9.(22-23高二上·湖北荆州·阶段练习)用一个平行于棱锥底面的平面去截棱锥,截得的棱台上、下底面 积之比为 ,已知截去的棱锥的顶点到其底面的距离为3,则棱台的上、下底面的距离为( ) A.12 B.9 C.6 D.3 【答案】D 【分析】 根据棱锥的性质,用平行于棱锥底面的平面截该棱锥,截面与底面为相似多边形,面积比为相似比的平方, 以此可得棱锥的高,进而得到棱台的高. 【解析】∵截去小棱锥的高为3,设大棱锥的高为h, 根据截面与底面为相似多边形,面积比为相似比的平方, 则 ,∴ , ∴棱台的高是 ,即棱台的上、下底面的距离为3. 故选:D. 04 :圆柱 10.(2022·河南新乡·三模)已知一个圆柱与一个圆锥的轴截面分别为正方形与正三角形,且正方形与正 三角形的边长相等,则该圆柱的体积与圆锥的体积的比值为( ) A. B. C. D. 【答案】C 【分析】设正方形与正三角形的边长为2,则可求出圆柱和圆锥的体积,从而可求得答案 【解析】设正方形与正三角形的边长为2, 则圆柱的体积为 ,圆锥的体积为 , 所以圆柱的体积与圆锥的体积的比值为 . 故选:C 11.(23-24高二上·辽宁·阶段练习)如图,某圆柱的轴截面ABCD是边长为2的正方形,P,Q分别为线 段BC,AC上的两个动点,E为 上一点,且 ,则 的最小值为( ) A.3 B. C. D. 【答案】C 【分析】根据圆柱的结构特征采用将 沿直线BC旋转到某个位置的方法,将线段和转化为一条线段 的长度问题,结合求解线段长度即得答案. 【解析】如图,连接EC,将 沿直线BC旋转到 的位置, 且 在AB的延长线上.则 , 由于圆柱的轴截面ABCD是边长为2的正方形,故 , , 则 ,当 三点共线时取等号, 当 时, 最小,最小值为 ,即 的最小值为 , 故选:C 12.(23-24高三上·陕西·阶段练习)已知某圆柱的轴截面是边长为2的正方形 ,在该圆柱的底面内 任取一点E,则当四棱锥 的体积最大时,该四棱锥的侧面积为( ) A. B. C. D. 【答案】B 【分析】根据棱锥体积公式以及正方形 的面积为定值确定E点在底面上的位置,求出相关线段长, 根据棱锥侧面积公式即可求得答案. 【解析】如图,设圆柱的底面圆心为O,E为该底面上一点,底面半径为1, 四棱锥体积 ,其中d为E到 的距离, 因为正方形 的面积为定值 , 所以当E为 的中点时,连接 ,此时 为四棱锥 的高,高最大, 此时四棱锥 体积最大, 则 , , , 设圆柱的另一底面圆心为 ,连接 ,则 ,且 , 此时四棱锥 侧面积为 ,故选:B 05 :圆锥 13.(2024·四川绵阳·模拟预测)已知轴截面为正三角形的圆锥 的高与球O的直径相等,则圆锥 的体积与球O的体积的比值是 . 【答案】 【分析】设圆锥 的底面半径为r,球O的半径为R,由题意可得 ,结合体积公式运算求 解. 【解析】设圆锥 的底面半径为r,球O的半径为R, 因为圆锥 的轴截面为正三角形,可知圆锥 的高 , 则 ,即 , 可得圆锥 的体积 , 球O的体积 , 所以 . 故答案为: . 14.(22-23高二上·上海浦东新·期中)如图,圆锥O的轴截面是一个面积为1的等腰直角三角形,C为弧 上的一点, ,E为线段 上的动点,则 的最小值为( )A. B. C.2 D. 【答案】B 【分析】将空间图形进行翻折变化到同一平面,根据两点之间线段最短即可求解. 【解析】 将 翻折到平面 内,得到如图所示平面四边形 , 因为 所以 , 所以 ,所以 , 又因为 ,所以翻折后的图形中 , 根据两点之间线段最短可知, 的最小值为 , 故选:B. 15.(23-24高二上·北京·期中)已知圆锥的底面半径为 ,高为2,S为顶点,A,B为底面圆周上的两 个动点,则下列说法正确的是 . ①圆锥的体积为 ; ②圆锥侧面展开图的圆心角大小为 ; ③圆锥截面SAB面积的最大值为 ; ④若圆锥的顶点和底面上的所有点都在一个球面上,则此球的体积为 . 【答案】①②④ 【分析】根据题意求出圆锥的母线长,体积,侧面展开图的弧长,轴截面的面积,外接球体积,即可得出 结论. 【解析】 圆锥的底面半径 ,高为 ,圆锥的母线长 , 圆锥的体积 ,①正确; 设圆锥侧面展开图的圆心角大小为 ,则 ,②正确; 当圆锥截面 为圆锥的轴截面时,此时 , 则 ,又 , , 则当 时,圆锥截面SAB面积的最大, 此时 ,故③错误; 圆锥的顶点和底面上的所有点都在同一个球面上,即为圆锥的外接球, 设圆锥的外接球半径为 , 由球的性质可知 ,即 , 解得 , 所以外接球体积 ,④正确. 故答案为:①②④. 06 :球 16.(2024·江苏徐州·模拟预测)对球面上的三个点,每两个点之间用大圆劣弧相连接,所得三弧围成的 球面部分称为“球面三角形”,这三个弧叫做球面三角形的边.若半径为2的球的球面上有一个各边长均为 的球面三角形,则该球面三角形的面积为( ) A. B. C. D. 【答案】A 【分析】确定球面三角形与球表面积的关系,可求球面三角形的面积. 【解析】设球面三角形 . 因为球的半径为2,所以大圆周长为 ,求的表面积为 .因为球面三角形的各边长均为 ,所以 . 以 为球心,建立如图空间直角坐标系: 则球面三角形 的面积就是球面在第一卦限内的部分,根据对称性,球面三角形 的面积为球面面 积的 ,为 . 故选:A 【点睛】关键点点睛:确定 后,关键是弄清楚球面三角形的面积和整个球的 表面积之间的数量关系. 17.(2024·江西宜春·模拟预测)在正六棱柱 中, , 为棱 的中 点,则以 为球心,2为半径的球面与该正六棱柱各面的交线总长为( ) A. B. C. D. 【答案】D 【分析】根据题意,作图,分别求出球面与正六棱柱各个面所交的弧线的长度之和,可计算得到答案. 【解析】因为球 的半径为2,所以球 不与侧而 及侧面 相交, 连接 .由题得 , .所以 , 所以球 与侧面 交于点 , ,与侧面 交于点 , . 在正六边形 中,易得 ,因为 平面 , 平面 .所以 ,又 , 平面 , 所以 平面 ,即 平面 ,且 ,又 , . 所以球 与侧面 的交线为以 为直径的半圆,同理可得球 与侧面 的交线为以 为直径 的半圆. 由题易得 ,则球 与上底面 及下底面 的交线均为 个半径为 的圆. 所以球面与该正六棱柱各面的交线总长为 . 故选:D. 【点睛】关键点点睛:根据球 的半径为2,判断球 只与侧而 及侧面 ,上底面 及下底面 相交. 18.(23-24高二上·四川德阳·阶段练习)已知正三棱锥 的外接球是球 ,正三棱锥底边 , 侧棱 ,点 在线段 上,且 ,过点 作球 的截面,则所得截面圆面积的取值范围是 ( ) A. B. C. D. 【答案】D 【分析】设 的中心为 ,球O的半径为R,在 中,利用勾股定理求出 ,余弦定理求出,再由勾股定理求出 ,过点E作球O的截面,当截面与OE垂直时,截面的面积最小,当截面过球 心时,截面面积最大. 【解析】如下图,设 的中心为 ,球O的半径为R, 连接 ,OD, ,OE,则 , 在 中, , 解得R=2,所以 ,因为BE=DE,所以 , 在 中, , 所以 ,过点E作球O的截面, 当截面与OE垂直时,截面的面积最小, 此时截面的半径为 ,则截面面积为 , 当截面过球心时,截面面积最大,最大面积为4π. 故选:D. 【点睛】关键点点睛:解题的关键点是过点E作球O的截面,当截面与OE垂直时,截面的面积最小,当 截面过球心时,截面面积最大. 07 :组合体 19.(21-22高二上·湖南·期中)从一个底面圆半径与高均为2的圆柱中挖去一个正四棱锥(以圆柱的上底面为正四棱锥底面的外接圆,下底面圆心为顶点)而得到的几何体如图所示,今用一个平行于底面且距底 面为1的平面去截这个几何体,则截面图形的面积为( ) A. B. C. D. 【答案】C 【分析】先求出截面截圆柱所得的圆面的面积,再求出截面截正四棱锥所得的正方形的面积,从而得出答 案. 【解析】截面图形应为圆面中挖去一个正方形,且圆的半径是2, 则截面圆的面积为: 设正四棱锥的底面正方形边长为 ,则 ,所以 正四棱锥的底面正方形的面积为 由圆锥中截面的性质,可得圆面中挖去一个正方形与正四棱锥的底面正方形相似 设圆面中挖去一个正方形的面积为 ,正四棱锥的底面正方形为 则 ,从而 所以截面图形的面积为 . 故选:C. 20.(2022·陕西西安·模拟预测)“牟和方盖”是我国古代数学家刘徽在研究球的体积的过程中构造的一 个和谐优美的几何体,它是由两个相同的圆柱分别从纵横两个方向嵌入一个正方体时两圆柱公共部分形成 的几何体(如图1).如图2所示的“四脚帐篷”为“牟和方盖”的上半部分,点 为四边形 的中心,点 为“四脚帐篷”的“上顶点”, .用平行于平面 的平面 去截“四脚帐篷”,当平面 经 过 的中点时,截面图形的面积为 . 【答案】3 【分析】根据对称性,可得截面 的形状为正方形,利用勾股定理得正方形的边长即可求得面积. 【解析】根据对称性,可得截面 的形状为正方形. 取 中点 中点 ,可知截面 为半圆. 截面 与弧 交于点 ,与 交于点 为 中点, 所以 ,由勾股定理可得 , 所以截面正方形的边长为 ,故其面积为 . 故答案为:3 21.(2021·全国·模拟预测)如图,正八面体 的棱长为2,点 , , 分别是 , , 的中点,则过 , , 三点的平面 截该正八面体所得截面的面积等于 .【答案】 【分析】由 得 平面 ,同理 平面 ,进而得 到平面 平面 平面 ,结合正八面体的对称性可知截面是 边长为1的正六边形,求出面积即可. 【解析】∵ , , 分别是 , , 的中点, ∴ ,又 平面 , 平面 , ∴ 平面 .同理得 平面 . 又平面 平面 , , ∴平面 平面 平面 . 设平面 与 相交于点 ,则 , 故 为 的中点.同理得平面 也过 , 的中点, 结合正八面体的对称性,得截面是边长为1的正六边形, 其面积 . 故答案为: 【点睛】确定多面体截面的关键在于确定截点,有了位于多面体同一表面上的两个截点即可连接成截线,从而求得截面.而截线与截点的主要依据主要有: (1)如果两个不重合的平面有一个公共点,那么它们相交于过此点的一条直线. (2)如果一条直线上的两点在一个平面内,那么这条直线上所有的点都在这个平面内. (3)如果一条直线平行于一个平面,经过这条直线的平面与这个平面相交,那么这条 直线就和交线平行. (4)如果两个平面平行,第三个平面和它们相交,那么两条交线平行. 22.(23-24高三上·云南昆明·阶段练习)正方体 的棱长为2, 是棱 上的一个动点 (含端点),则 的最小值为( ) A.4 B. C. D. 【答案】C 【分析】将 绕 翻折至与 共平面,当 , , 共线时, 最小. 【解析】由正方体的性质可得 为等边三角形,边长为 , 为等腰直角三角形,其直角边长为 , 将下图中 绕 翻折至与 共平面, 因为 , ,所以 , , 共线时, 最小,此时 为 中点,则 最小值为 . 故选:C 23.(2024高三·全国·专题练习)如图, 是正三棱锥且侧棱长为 ,两侧棱 的夹角为分别是 上的动点,则三角形 的周长的最小值为( ) A. B. C. D. 【答案】A 【分析】通过展开平面以及勾股定理求得正确答案. 【解析】把正三棱锥沿 剪开并展开,形成三个全等的等腰三角形: 、 、 , 则 , , 连接 ,交 于 ,交 于 , 则线段 就是 的最小周长,又 , 根据勾股定理, ,∴ . 故选:A . 24.(23-24高三下·全国·阶段练习)如图,在三棱锥 中, ,点 是棱 上一动点,则 的取值范围是( )A. B. C. D. 【答案】A 【分析】把平面 展开,判断出当M与C重合时, 最大; 的最小值为 ,利用余 弦定理即可求解. 【解析】如图所示,把平面 展开,使A、B、C、P四点共面. 当M与B重合时, ; 当M与C重合时, 最大; 连结 交 于 ,由两点之间直线最短可知,当 位于 时, 最小. 此时, , 所以 . 由余弦定理得:. 所以 的取值范围为 . 故选:A. 25.(2024·福建漳州·一模)如图,石磨是用于把米、麦、豆等粮食加工成粉、浆的一种机械,通常由两 个圆石做成.磨是平面的两层,两层的接合处都有纹理,粮食从上方的孔进入两层中间,沿着纹理向外运 移,在滚动过两层面时被磨碎,形成粉末.如果一个石磨近似看作两个完全相同的圆柱体拼合而成,每个 圆柱体的底面圆的直径是高的2倍,若石磨的侧面积为 ,则圆柱底面圆的半径为( ) A.4 B.2 C.8 D.6 【答案】A 【分析】设圆柱底面圆的半径为 ,则圆柱的高为 ,结合圆柱的侧面积公式运算求解. 【解析】设圆柱底面圆的半径为 ,则圆柱的高为 , 则石磨的侧面积为 ,解得 . 故选:A. 26.(21-22高二下·湖南株洲·阶段练习)《九章算术》卷第五《商功》中描述几何体“阳马”为“底面为 矩形,一侧棱垂真于底面的四棱锥”.现有阳马 , 平面 , , , , 上有一点E,使截面 的周长最短,则 与 所成角的余弦值等于( ) A. B. C. D. 【答案】D【分析】通过底面展开转化为平面图形,容易找到最小值点 ,然后利用平移法作出异面直线所成的角, 即可得解; 【解析】解:将平面 沿 折至 , 使 与 共面, 连接 交 于 ,连接 ,此时 周长最短, 作 交 于 , 则 (或其补角)即为所求角, 在 中, , 由 ,即 ,可得 , 在 中, , 在 中, , 故 与 所成角的余弦值等于 . 故选:D. 27.(21-22高一下·山西·期中)“莫言下岭便无难,赚得行人空喜欢.”出自南宋诗人杨万里的作品《过 松源晨炊漆公店》.如图是一座山的示意图,山大致呈圆锥形.山脚呈圆形,半径为40km.山高为 km,B是山坡SA上一点,且 km.为了发展旅游业,要建设一条从A到B的环山观光公路,这条公路从A出发后先上坡,后下坡,当公路长度最短时,下坡路段长为( ) A.60km B. km C.72km D. km 【答案】C 【分析】利用圆锥侧面展开图去求公路长度最短时,下坡路段长度. 【解析】该圆锥的母线长为 , 所以 ,则圆锥的侧面展开图是圆心角为 的扇形, 如图,展开圆锥的侧面,连接 ,过点S作 的垂线,垂足为H, 由两点之间线段最短,知观光公路为图中的 , , 记点P为 上任一点,连接PS,上坡即P到山顶S的距离PS越来越小, 下坡即P到山顶S的距离PS越来越大,则下坡段的公路,即图中的HB, 由 ,得 (km). 故选:C 28.(23-24高二上·河北保定·开学考试)折扇是我国古老文化的延续,在我国已有四千年左右的历史, “扇”与“善”谐音,折扇也寓意“善良”“善行”、它常以字画的形式体现我国的传统文化,也是运筹 帷幄、决胜千里、大智大勇的象征(如图甲),图乙是一个圆台的侧面展开图(扇形的一部分),若两个圆弧 , 所在圆的半径分别是6和12,且 ,则关于该圆台下列说法错误的是( ) A.高为 B.体积为 C.表面积为 D.内切球的半径为 【答案】B 【分析】根据圆台的侧面展开图,求得圆台上下底面半径、母线长,然后可求得圆台的高、体积、表面积 和内切球的半径,从而确定正确答案. 【解析】设圆台的上底面半径为 ,下底面半径为 , 则 ,即 ; ,即 ; 又圆台的母线长 , 所以圆台的高 ,A正确; 圆台的体积 ,B错误; 圆台的表面积 ,C正确; 由于圆台的母线长等于上下底面半径和( ), 所以圆台的高即为内切球的直径, 所以内切球的半径为 ,D正确. 故选:B29.(23-24高二上·四川·期中)半正多面体亦称“阿基米德体”“阿基米德多面体”,是由边数不全相同 的正多边形为面的多面体.某半正多面体由4个正三角形和4个正六边形构成,其可由正四面体切割而成.在 如图所示的半正多面体中,若其棱长为1,点M,N分别在线段 , 上,则 的最小值 为 . 【答案】 【分析】将几何体展开为平面,且 在线段 两侧(两线段在两点之间),利用两点之间线段最 短求 的最小值. 【解析】由题设,该半正多面体的展开图如下图示, 根据已知及几何体结构知: , ,且 ,故 , 所以 ,当且仅当在展开图中 共线时等号成立. 故答案为: 30.(22-23高一下·黑龙江哈尔滨·期中)已知矩形ABCD中, , , 分别为中点, 为对角线 交点,如图1所示.现将 和 剪去,并将剩下的部分按如下方式折叠: 沿 将 , 折叠,并使 与 重合, 与 重合,连接 ,得到由平面 , , , 围成的无盖几何体,如图2所示. (1)求证: 平面 ; (2)若 为棱 上动点,求 的最小值; (3)求此多面体体积 的最大值. 【答案】(1)证明见解析 (2) (3) 【分析】(1)在图2中,取 的中点 ,连 , , ,通过证明 , ,可证 平面 ; (2)将侧面 与 展开在一个平面内,根据两点间线段最短可求出结果; (3)根据对称性得 ,因为 的面积为定值,所以当平面 平面 时,三棱锥体 积最大,由此计算可得结果. 【解析】(1)在图2中,取 的中点 ,连 , , , 因为 , 为 的中点,所以 , 同理得 , , 因为 , 平面 ,所以 平面 , 因为 平面 ,所以 , 因为 , 平面 ,所以 平面 , 因为 平面 ,所以 ,因为 , 平面 ,所以 平面 . (2)将侧面 与 展开在一个平面内,如图: 当点 是 与 的交点时, 最小, 在图1中, , ,所以 因为 , , , , , , 所以 ,所以 , 所以 . 所以 的最小值为 . (3)根据图形的对称性可知, , 因为 的面积为 ,为定值, 所以当点 到平面 的距离最大值时,三棱锥体积最大,此时平面 平面 ,点 到平面 的距离等于点 到 的距离,等于 , 所以此多面体体积 的最大值为 .一、单选题 1.(2024·辽宁·模拟预测)圆锥的高为2,底面半径为1,则以圆锥的高为直径的球 表面与该圆锥侧面 交线长为( ) A. B. C. D. 【答案】D 【分析】作圆锥 的轴截面 ,设轴截面 与球 交点为 为 中点,则球 表面与该圆 锥侧面交线即为以 为半径的圆,利用相似和勾股定理求出 长即可. 【解析】根据题意,以圆锥的高为直径的球 半径为 ,且与圆锥底面相切于底面圆心 , 作圆锥 的轴截面 ,设轴截面 与球 交点为 为 中点, 则球 表面与该圆锥侧面交线即为以 为半径的圆, 因为 在圆上,所以 ,所以 , 又因为 ,所以由 解得 , 所以 , 所以由等面积可得 ,解得 , 所以交线长为 ,故选:D 2.(2024·四川自贡·三模)已知球O半径为4,圆 与圆 为球体的两个截面圆,它们的公共弦长为4, 若 , ,则两截面圆的圆心距 ( ) A. B. C. D. 【答案】D 【分析】根据球心与截面圆心连线垂直圆面,求得两个圆面所成二面角,再根据直角三角形以及勾股定理 求解即可. 【解析】设圆 与圆 公共弦为 ,其中点为 , 则 , , 所以 , , 所以在 中, ,所以 , 在 中, ,所以 , 所以在 中, ,所以 . 故选:D. 3.(2024·河南南阳·模拟预测)如图,已知 为圆锥 底面圆的两条互相垂直的直径,若 ,四棱锥 的体积为 ,则圆锥 的轴截面面积为( ) A. B. C. D. 【答案】A 【分析】设圆锥底面圆的半径为 ,利用体积可求得底面圆半径 ,根据轴截面是等腰三角形可求其面积. 【解析】设圆锥底面圆的半径为 , 因为 为圆锥 底面圆的两条互相垂直的直径, 易知四边形 为正方形,且边长为 , 则四棱锥 的体积为 , 解得 或 (舍去), 所以圆锥 的轴截面面积为 . 故选:A. 4.(2024·浙江温州·模拟预测)边长为2的立方体被一个平面所截,截得的截面图形面积最大值为( ) A. B. C. D. 【答案】A 【分析】当截面过立方体中心且过两条侧棱时,截面面积最大,得出截面后计算即可得. 【解析】当截面过立方体中心且过两条侧棱时,其截面面积最大, 如图所示矩形 符合要求,此时截面面积为 . 故选:A. 5.(2024·广东广州·模拟预测)已知正方体 的边长为1,现有一个动平面 ,且 平面 ,当平面 截此正方体所得截面边数最多时,记此时的截面的面积为 ,周长为 ,则( ) A. 不为定值, 为定值 B. 为定值, 不为定值 C. 与 均为定值 D. 与 均不为定值 【答案】A 【分析】利用正方体棱的关系,判断平面 所成的角都相等的位置,可知截面边数最多时为六边形.如图所 示,可计算出周长为定值,计算正三角形 的面积和截而为正六边形时的截面面积通过比较即可得答 案. 【解析】正方体的所有棱中,实际上是3组平行的棱,与面 平行的面且截面是六边形时满足条件, 如图所示, 正方体边长为1,即设 ,则 , , 同理可得六边形其他相邻两边的和均为 , 六边形的周长 为定值 , 正三角形 的面积为 . 当 均为中点时,六边形的边长相等即截面为正六边形时截面面积最大, 此时 ,截面面积为 , 截面从 平移到 的过程中,截面面积的变化过程是由小到大,再由大到小,故可得周长 为定 值,面积 不为定值. 故选:A 6.(2023·安徽安庆·二模)一底面半径为1的圆柱,被一个与底面成45°角的平面所截(如图), 为底 面圆的中心, 为截面的中心, 为截面上距离底面最小的点, 到圆柱底面的距离为1, 为截面图形 弧上的一点,且 ,则点 到底面的距离是( ) A. B. C. D. 【答案】C【分析】由题意可得截面椭圆是以 为中心, 为长轴端点的椭圆,其长轴长为 ,短轴长为2,作 于 ,因为 ,联立直线 的方程和椭圆方程可求得 ,可得出 ,过 作 ,即可求出 和 ,即可得出答案. 【解析】圆柱半径为1,截面与底边所成角为 ,作 于 , 则 , . 截面椭圆是以 为中心, 为长轴端点的椭圆,其长轴长为 ,短轴长为2, 所以椭圆的方程为 , 作 于 ,因为 ,直线 的方程为 , 所以设 ,又因为 在椭圆 上, 解得: ,所以 , , 过 作 ,则 , , 由于 均平行于底面,故 点到底面的距离是 . 故选:C.7.(2024·安徽合肥·模拟预测)球面被平面所截得的一部分叫做球冠,截得的圆面叫做球冠的底,垂直于 圆面的直径被截得的一段叫做球冠的高.球冠也可看作圆弧绕过它的一个端点的直径旋转一周所成的曲面. 假设球面对应球的半径是R,球冠的高是h,那么球冠的表面积公式为 .据中国载人航天工程办公 室消息,北京时间2023年12月21日21时35分,经过约7.5小时的出舱活动,航天员汤洪波、唐胜杰已 安全返回天和核心舱,神舟十七号航天员乘组第一次出舱活动取得圆满成功.若航天员汤洪波出仓后站在 机械臂上,以背后的地球为背景,如图所示,面向镜头招手致意,此时汤洪波距离地球表面约为400km (图中的点A处),设地球半径约为Rkm,则此时汤洪波回望地球时所能看到的地球的表面积为( ) A. B. C. D. 【答案】D 【分析】由题意可得 ,结合公式 计算即可求解. 【解析】如图, km,由 ,得 ,又 , 则 ,得 , 所以 ( ). 即此时汤洪波回望地球时所能看到的地球的表面积为 ( ). 故选:D 8.(2024·四川宜宾·模拟预测)已知 分别是棱长为2的正四面体 的对棱 的中点.过 的 平面 与正四面体 相截,得到一个截面多边形 ,则正确的选项是( ) ①截面多边形 可能是三角形或四边形. ②截面多边形 周长的取值范围是 . ③截面多边形 面积的取值范围是 . ④当截面多边形 是一个面积为 的四边形时,四边形的对角线互相垂直. A.①③ B.②④ C.①②③ D.①③④ 【答案】D 【分析】将平面 从平面 开始旋转,结合对称性可判断①;设 ,利用余弦定理表 示出 ,利用几何意义求最小值,利用二次函数单调性求最大值可判断②;先判断 ,然后 利用向量方法求出 ,可得截面面积的范围,可判断③;由③可判断④. 【解析】对于①,当平面 过 或 时,截面为三角形. 易知正四面体关于平面 对称,将平面 从平面 开始旋转与 交于点 时, 由对称性可知,此时平面 与 交于点 ,且 , 此时截面为四边形 ,①正确;对于②,设 ,由余弦定理得 , , 由两点间距离公式知, 表示动点 到定点 和 的距离之和, 当三点共线时取得最小值 , 由二次函数单调性可知,当 或 时, 取得最大值 , 所以截面多边形 周长的取值范围是 ,所以②错误; 对于③,记 与 的交点为 ,由对称性 , , 所以 , , 因为 ,所以 ,所以 , 记 , 则 , 因为 , 所以 , 由二次函数性质可知, ,即 , 所以 ,③正确; 对于④,由③知,当截面为四边形时,对角线 , 垂直,所以④正确. 故选:D 【点睛】关键点睛:本题解题关键是找到正四面体的对称性,根据对称性判断截面形状,利用余弦定理求 周长,利用空间向量求距离,然后可得面积,题目综合性强,对学生的直观想象能力有较高的要求. 二、多选题 9.(2024·江西景德镇·三模)正方体 的棱长为6, , 分别是棱 , 的中点,过 , , 作正方体的截面,则( ) A.该截面是五边形 B.四面体 外接球的球心在该截面上 C.该截面与底面 夹角的正切值为D.该截面将正方体分成两部分,则较小部分的体积为75 【答案】ACD 【分析】对于A,过 三点作正方体的截面即可;对于B,计算四面体 外接球半径,以及 外接圆半径,比较球心与圆心是否重合即可;对于C,建立空间直角坐标系,计算平面 和平 面 的法向量即可;对于D,将被截正方体较小部分体积分为5个三棱锥计算即可. 【解析】对于A,如图①所示,延长 交 的延长线于 ,延长 交 的延长线于 , 连接 交 于 ,连接 交 于 , 连接 , ,则五边形 为平面 截正方体所得的截面,故A正确; 对于B, 如图②所示,设三棱锥 底面 外心为 , 三棱锥 外接球球心为 , 且 , 在 中, , , 所以 外接圆半径为 , 所以在 中,三棱锥 外接球半径 , 所以三棱锥 外接球球心 到 三点的距离都为 . 在 中, ,所以 外接圆半径 , 所以四面体 外接球的球心不在该截面上,故B错误; 对于C,如图③所示,以 分别为 轴建立如图空间直角坐标系, 且正方体边长为6,即 , 所以 , 设 为平面 的法向量,则 ,取 , 所以 , 又因为 平面 , 故 为平面 的法向量, 则 , ,故C正确; 对于D,如图④所示,取 中点 ,连接 , 因为 ,所以 ,即 , 又因为 ,所以 ,即 , 同理,由 得 ,由 得 , 所以 , , , , , 所以该截面将正方体分成两部分,较小部分体积为 ,故D正确. 故选:ACD. 10.(2023·湖南郴州·二模)在正四棱台 中, , , 为棱 的中 点,当正四棱台的体积最大时,下列说法正确的有( ) A.该正四棱台的高为2 B.该正四棱台的体积为224C.平面 截该正四棱台的截面面积是 D.该正四棱台的内切球半径为1 【答案】AC 【分析】令 ,应用棱台体积公式及导数求正四棱台的体积最大时对应参数 ,进而求棱台 的高、体积、内切球半径,根据平面基本性质画出截面并求面积即可. 【解析】将正棱台 补为如下图的棱锥,令 , 由 , 为棱 的中点,所以 , 棱锥 高 ,则小棱锥 高 , 棱台的体积 ,令 ,则 , 所以 且 ,则 , , ,即 递增, , ,即 递减, 所以 ,即 时棱台体积最大,此时棱台的高 ,A对; 棱台体积为 ,B错; 棱台斜高为 ,则其平行于 且垂直于底面的截面如下:若存在内切球,则上图等腰梯形存在内切圆且上下底的切点为对应中点, 根据内切圆O与梯形各边都相切,结合切线长定理知:腰长等于上下底之和的一半, 而 ,故不存在内切圆,即棱台不存在内切球,D错; 过 作 交 于 ,又 为棱 的中点,则 为 中点, 所以 , ,而 ,即 , 则 , , 所以截面为等腰梯形,且高为 ,则面积为 ,C对. 故选:AC 11.(2021·山东潍坊·模拟预测)四面体ABCD的四个顶点都在球O的球面上, ,点E,F,G分别为棱BC,CD,AD的中点,则下列说法正确的是( ) A.过点E,F,G作四面体ABCD的截面,则该截面的面积为2 B.四面体ABCD的体积为 C.AC与BD的公垂线段的长为 D.过E作球O的截面,则截面面积的最大值与最小值的比为5:4 【答案】ACD 【分析】A选项,找到过点E,F,G的四面体ABCD的截面,证明出是正方形,求出边长和面积;B选项, 分割法求解四面体体积;C选项,找到AC与BD的公垂线,求出长度;D选项,先找到球心的位置,然后 再得到过点E作面积最小的截面是以E为圆心,BE=2为半径的圆,面积最大的截面是过点O,E的大圆, 求出两圆面积之比.【解析】A选项,取AB中点H,连接EH,GH,因为点E,F,G分别为棱BC,CD,AD的中点,所以 EF∥BD,GH∥BD,FG∥AC,EH∥AC,所以四边形EFGH是平行四边形,故平行四边形EFGH即为过点 E,F,G做四面体ABCD的截面,取AC中点Q,连接QB,QD,因为 ,由三线合 一得:DQ⊥AC,BQ⊥AC,又 ,所以AC⊥平面BDQ,因为 平面BDQ,所以AC⊥BD, 从而EF⊥EH,因为 ,所以 ,即平行四边形EFGH是正方形,面积为 ,A正确; B选项,由勾股定理得: ,同理得: ,取BD中点M,连接QM,由三 线合一得:QM⊥BD,所以 ,由勾股定理得: ,故 ,所以 , ,B错误; C选项,连接MA,MC,由勾股定理得: ,同理可得: ,由由三线合 一得:QM⊥AC,结合B选项求得的QM⊥BD,可得:QM为AC与BD的公垂线段, ,故AC与BD的公垂线段的长为 ,C正确; D选项,取QM的中点S,则S为球心O,理由如下: 因为QM⊥BD,MS= ,由勾股定理得: ,同理可得: ,所以S为球心 O,且外接球半径为 ,因为OE⊥BC,所以过点E作面积最小的截面是以E为圆心,BE=2为半径的圆, 面积最大的截面是过点O,E的大圆,所以 , ,所以过E作球O的截面, 则截面面积的最大值与最小值的比为5:4,D正确. 故选:ACD 【点睛】对于立体几何中求解截面面积问题,需要先结合图形特点,找到截面,再进行求解,寻找截面的 方法,通常是由线线平行,得到截面是平行四边形或梯形. 三、填空题12.(2024·全国·二模)已知长方体 的底面ABCD为边长是2的正方形, , E,F分别为棱AB, 的中点,则过 ,E,F的平面截长方体 的表面所得截面的面积 为 . 【答案】 【分析】根据给定条件,作出过点 的长方体的截面,再结合相似三角形求出截面面积. 【解析】在长方体 中,连接 并延长与 的延长线交于点 ,直线 交 于 , 交 的延长线于 , 连接 交 于 ,连接 ,则五边形 即为过点 的长方体的截面, 由 , 为 的中点,得 是 中点, , , 由 , 是 中点,得 ,则 , 则 , 等腰 底边上的高 , 的面积 ,平面 平面 ,平面 平面 ,平面 平面 , 则 ,于是 ∽ ,同理 , ∽ , , 因此 , 所以所得截面的面积为 . 故答案为: . 【点睛】关键点点睛:根据已知条件,结合平面的基本事实作出截面多边形是解决本题的关键. 13.(2023·江苏常州·二模)在正四棱台 中, , ,M为棱 的中点, 当正四棱台的体积最大时,平面 截该正四棱台的截面面积是 . 【答案】 【分析】设 ,上底面和下底面的中心分别为 , ,过 作 ,该四棱台的高 ,可求得该四棱台的体积为 ,利用基本不等式可得该四棱台的体积的最大值,此时 , , .取 , 的中点 , ,连接 , ,可得平面 就是截面, 求解即可. 【解析】设 ,上底面和下底面的中心分别为 , ,过 作 , 该四棱台的高 , 在上下底面由勾股定理可知, . 在梯形 中, ,所以该四棱台的体积为 , 所以 , 当且仅当 ,即 时取等号,此时 , , . 取 , 的中点 , ,连接 , ,显然有 , 由于 平面 , 平面 ,所以 平面 ,因此平面 就是截面. 显然 , 在直角梯形 中, , 因此在等腰梯形 中, , 同理在等腰梯形 中, , 在等腰梯形 中,设 , , 则 , , 所以梯形 的面积为 . 故答案为: . 【点睛】总结点睛:解决与几何体截面的问题,将空间几何问题转化为平面几何问题求解,其解题思维流程如下: (1)根据空间中的线面关系,找到线线平行或者垂直,进而确定线面以及面面关系, (2)作截面:选准最佳角度做出截面(要使这个截面尽可能多的包含几何体的各种元素以及体现这些元 素的关系),达到空间问题平面化的目的; (3)求长度下结论:根据作出截面中的几何元素,建立关于长度的方程,并求解. 14.(2024·山东日照·一模)已知正四棱锥 的所有棱长都为2;点E在侧棱SC上,过点E且垂直 于SC的平面截该棱锥,得到截面多边形H,则H的边数至多为 ,H的面积的最大值为 . 【答案】 5 / 【分析】数形结合,作平面与平面 平行,即可解决;令 ,用 表示相关长度,整理得 ,结合二次函数即可解决. 【解析】取 中点 且 , 平面 ,可知 平面 , 根据平面的基本性质,作平面与平面 平行,如图至多为五边形. 令 ,则 , 可得 , 则 ,可得 ,所以 , 又因为 与 的夹角为 与 夹角,而 与 垂直, 则 , 可得 , 可知:当 时,S取最大值 . 故答案为: ; . 【点睛】关键点点睛:根据平面的性质分析截面的形状,结合几何知识求相应的长度和面积,进而分析求 解.