当前位置:首页>文档>特训09多面体与求内切外接问题(八大题型)(解析版)_2025年新高考资料_一轮复习_2025年高考数学一轮复习《重难点题型与知识梳理•高分突破》(新高考专用)

特训09多面体与求内切外接问题(八大题型)(解析版)_2025年新高考资料_一轮复习_2025年高考数学一轮复习《重难点题型与知识梳理•高分突破》(新高考专用)

  • 2026-04-15 17:57:18 2026-04-15 17:38:41

文档预览

特训09多面体与求内切外接问题(八大题型)(解析版)_2025年新高考资料_一轮复习_2025年高考数学一轮复习《重难点题型与知识梳理•高分突破》(新高考专用)
特训09多面体与求内切外接问题(八大题型)(解析版)_2025年新高考资料_一轮复习_2025年高考数学一轮复习《重难点题型与知识梳理•高分突破》(新高考专用)
特训09多面体与求内切外接问题(八大题型)(解析版)_2025年新高考资料_一轮复习_2025年高考数学一轮复习《重难点题型与知识梳理•高分突破》(新高考专用)
特训09多面体与求内切外接问题(八大题型)(解析版)_2025年新高考资料_一轮复习_2025年高考数学一轮复习《重难点题型与知识梳理•高分突破》(新高考专用)
特训09多面体与求内切外接问题(八大题型)(解析版)_2025年新高考资料_一轮复习_2025年高考数学一轮复习《重难点题型与知识梳理•高分突破》(新高考专用)
特训09多面体与求内切外接问题(八大题型)(解析版)_2025年新高考资料_一轮复习_2025年高考数学一轮复习《重难点题型与知识梳理•高分突破》(新高考专用)
特训09多面体与求内切外接问题(八大题型)(解析版)_2025年新高考资料_一轮复习_2025年高考数学一轮复习《重难点题型与知识梳理•高分突破》(新高考专用)
特训09多面体与求内切外接问题(八大题型)(解析版)_2025年新高考资料_一轮复习_2025年高考数学一轮复习《重难点题型与知识梳理•高分突破》(新高考专用)
特训09多面体与求内切外接问题(八大题型)(解析版)_2025年新高考资料_一轮复习_2025年高考数学一轮复习《重难点题型与知识梳理•高分突破》(新高考专用)
特训09多面体与求内切外接问题(八大题型)(解析版)_2025年新高考资料_一轮复习_2025年高考数学一轮复习《重难点题型与知识梳理•高分突破》(新高考专用)
特训09多面体与求内切外接问题(八大题型)(解析版)_2025年新高考资料_一轮复习_2025年高考数学一轮复习《重难点题型与知识梳理•高分突破》(新高考专用)
特训09多面体与求内切外接问题(八大题型)(解析版)_2025年新高考资料_一轮复习_2025年高考数学一轮复习《重难点题型与知识梳理•高分突破》(新高考专用)
特训09多面体与求内切外接问题(八大题型)(解析版)_2025年新高考资料_一轮复习_2025年高考数学一轮复习《重难点题型与知识梳理•高分突破》(新高考专用)
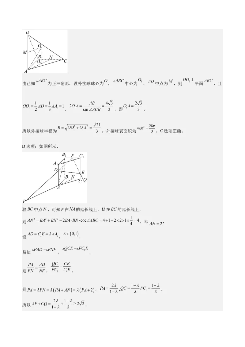
特训09多面体与求内切外接问题(八大题型)(解析版)_2025年新高考资料_一轮复习_2025年高考数学一轮复习《重难点题型与知识梳理•高分突破》(新高考专用)
特训09多面体与求内切外接问题(八大题型)(解析版)_2025年新高考资料_一轮复习_2025年高考数学一轮复习《重难点题型与知识梳理•高分突破》(新高考专用)
特训09多面体与求内切外接问题(八大题型)(解析版)_2025年新高考资料_一轮复习_2025年高考数学一轮复习《重难点题型与知识梳理•高分突破》(新高考专用)
特训09多面体与求内切外接问题(八大题型)(解析版)_2025年新高考资料_一轮复习_2025年高考数学一轮复习《重难点题型与知识梳理•高分突破》(新高考专用)
特训09多面体与求内切外接问题(八大题型)(解析版)_2025年新高考资料_一轮复习_2025年高考数学一轮复习《重难点题型与知识梳理•高分突破》(新高考专用)
特训09多面体与求内切外接问题(八大题型)(解析版)_2025年新高考资料_一轮复习_2025年高考数学一轮复习《重难点题型与知识梳理•高分突破》(新高考专用)
特训09多面体与求内切外接问题(八大题型)(解析版)_2025年新高考资料_一轮复习_2025年高考数学一轮复习《重难点题型与知识梳理•高分突破》(新高考专用)
特训09多面体与求内切外接问题(八大题型)(解析版)_2025年新高考资料_一轮复习_2025年高考数学一轮复习《重难点题型与知识梳理•高分突破》(新高考专用)
特训09多面体与求内切外接问题(八大题型)(解析版)_2025年新高考资料_一轮复习_2025年高考数学一轮复习《重难点题型与知识梳理•高分突破》(新高考专用)
特训09多面体与求内切外接问题(八大题型)(解析版)_2025年新高考资料_一轮复习_2025年高考数学一轮复习《重难点题型与知识梳理•高分突破》(新高考专用)
特训09多面体与求内切外接问题(八大题型)(解析版)_2025年新高考资料_一轮复习_2025年高考数学一轮复习《重难点题型与知识梳理•高分突破》(新高考专用)
特训09多面体与求内切外接问题(八大题型)(解析版)_2025年新高考资料_一轮复习_2025年高考数学一轮复习《重难点题型与知识梳理•高分突破》(新高考专用)
特训09多面体与求内切外接问题(八大题型)(解析版)_2025年新高考资料_一轮复习_2025年高考数学一轮复习《重难点题型与知识梳理•高分突破》(新高考专用)
特训09多面体与求内切外接问题(八大题型)(解析版)_2025年新高考资料_一轮复习_2025年高考数学一轮复习《重难点题型与知识梳理•高分突破》(新高考专用)
特训09多面体与求内切外接问题(八大题型)(解析版)_2025年新高考资料_一轮复习_2025年高考数学一轮复习《重难点题型与知识梳理•高分突破》(新高考专用)
特训09多面体与求内切外接问题(八大题型)(解析版)_2025年新高考资料_一轮复习_2025年高考数学一轮复习《重难点题型与知识梳理•高分突破》(新高考专用)
特训09多面体与求内切外接问题(八大题型)(解析版)_2025年新高考资料_一轮复习_2025年高考数学一轮复习《重难点题型与知识梳理•高分突破》(新高考专用)
特训09多面体与求内切外接问题(八大题型)(解析版)_2025年新高考资料_一轮复习_2025年高考数学一轮复习《重难点题型与知识梳理•高分突破》(新高考专用)
特训09多面体与求内切外接问题(八大题型)(解析版)_2025年新高考资料_一轮复习_2025年高考数学一轮复习《重难点题型与知识梳理•高分突破》(新高考专用)
特训09多面体与求内切外接问题(八大题型)(解析版)_2025年新高考资料_一轮复习_2025年高考数学一轮复习《重难点题型与知识梳理•高分突破》(新高考专用)
特训09多面体与求内切外接问题(八大题型)(解析版)_2025年新高考资料_一轮复习_2025年高考数学一轮复习《重难点题型与知识梳理•高分突破》(新高考专用)
特训09多面体与求内切外接问题(八大题型)(解析版)_2025年新高考资料_一轮复习_2025年高考数学一轮复习《重难点题型与知识梳理•高分突破》(新高考专用)
特训09多面体与求内切外接问题(八大题型)(解析版)_2025年新高考资料_一轮复习_2025年高考数学一轮复习《重难点题型与知识梳理•高分突破》(新高考专用)
特训09多面体与求内切外接问题(八大题型)(解析版)_2025年新高考资料_一轮复习_2025年高考数学一轮复习《重难点题型与知识梳理•高分突破》(新高考专用)
特训09多面体与求内切外接问题(八大题型)(解析版)_2025年新高考资料_一轮复习_2025年高考数学一轮复习《重难点题型与知识梳理•高分突破》(新高考专用)
特训09多面体与求内切外接问题(八大题型)(解析版)_2025年新高考资料_一轮复习_2025年高考数学一轮复习《重难点题型与知识梳理•高分突破》(新高考专用)
特训09多面体与求内切外接问题(八大题型)(解析版)_2025年新高考资料_一轮复习_2025年高考数学一轮复习《重难点题型与知识梳理•高分突破》(新高考专用)
特训09多面体与求内切外接问题(八大题型)(解析版)_2025年新高考资料_一轮复习_2025年高考数学一轮复习《重难点题型与知识梳理•高分突破》(新高考专用)
特训09多面体与求内切外接问题(八大题型)(解析版)_2025年新高考资料_一轮复习_2025年高考数学一轮复习《重难点题型与知识梳理•高分突破》(新高考专用)
特训09多面体与求内切外接问题(八大题型)(解析版)_2025年新高考资料_一轮复习_2025年高考数学一轮复习《重难点题型与知识梳理•高分突破》(新高考专用)
特训09多面体与求内切外接问题(八大题型)(解析版)_2025年新高考资料_一轮复习_2025年高考数学一轮复习《重难点题型与知识梳理•高分突破》(新高考专用)
特训09多面体与求内切外接问题(八大题型)(解析版)_2025年新高考资料_一轮复习_2025年高考数学一轮复习《重难点题型与知识梳理•高分突破》(新高考专用)
特训09多面体与求内切外接问题(八大题型)(解析版)_2025年新高考资料_一轮复习_2025年高考数学一轮复习《重难点题型与知识梳理•高分突破》(新高考专用)
特训09多面体与求内切外接问题(八大题型)(解析版)_2025年新高考资料_一轮复习_2025年高考数学一轮复习《重难点题型与知识梳理•高分突破》(新高考专用)
特训09多面体与求内切外接问题(八大题型)(解析版)_2025年新高考资料_一轮复习_2025年高考数学一轮复习《重难点题型与知识梳理•高分突破》(新高考专用)
特训09多面体与求内切外接问题(八大题型)(解析版)_2025年新高考资料_一轮复习_2025年高考数学一轮复习《重难点题型与知识梳理•高分突破》(新高考专用)
特训09多面体与求内切外接问题(八大题型)(解析版)_2025年新高考资料_一轮复习_2025年高考数学一轮复习《重难点题型与知识梳理•高分突破》(新高考专用)
特训09多面体与求内切外接问题(八大题型)(解析版)_2025年新高考资料_一轮复习_2025年高考数学一轮复习《重难点题型与知识梳理•高分突破》(新高考专用)
特训09多面体与求内切外接问题(八大题型)(解析版)_2025年新高考资料_一轮复习_2025年高考数学一轮复习《重难点题型与知识梳理•高分突破》(新高考专用)
特训09多面体与求内切外接问题(八大题型)(解析版)_2025年新高考资料_一轮复习_2025年高考数学一轮复习《重难点题型与知识梳理•高分突破》(新高考专用)
特训09多面体与求内切外接问题(八大题型)(解析版)_2025年新高考资料_一轮复习_2025年高考数学一轮复习《重难点题型与知识梳理•高分突破》(新高考专用)
特训09多面体与求内切外接问题(八大题型)(解析版)_2025年新高考资料_一轮复习_2025年高考数学一轮复习《重难点题型与知识梳理•高分突破》(新高考专用)
特训09多面体与求内切外接问题(八大题型)(解析版)_2025年新高考资料_一轮复习_2025年高考数学一轮复习《重难点题型与知识梳理•高分突破》(新高考专用)
特训09多面体与求内切外接问题(八大题型)(解析版)_2025年新高考资料_一轮复习_2025年高考数学一轮复习《重难点题型与知识梳理•高分突破》(新高考专用)

文档信息

文档格式
docx
文档大小
8.423 MB
文档页数
53 页
上传时间
2026-04-15 17:38:41

文档内容

特训 09 多面体与求内切外接问题(八大题型) 一、 外接球问题 若一个简单多面体的所有顶点都在一个球面上,则该球为此多面体的外接球。简单多面 体的外接球 问题是立体几何的重点和难点,此类问题实质是解决球的半径长或确定球心位置 问题,其中球心位置的 确定是关键,下面介绍几种常见的球心位置的确定方法。 如果一个定点与一个简单多面体的所有顶点的距离都相等,那么这个定点就是该简单多面体的外接球 的球心。由此,可以得到确定简单多面体外接球的球心位置有如下结论: 结论 1: 正方体或长方体的外接球的球心为其体对角线的中点。 结论 2 :正棱柱的外接球的球心是上、下底面中心连线的中点。 结论 3 :直棱柱的外接球的球心是上、下底面多边形外心连线的中点。 结论 4: 正棱锥外接球的球心在其高上,具体位置通过构造直角三角形计算得到。 结论 5 :若棱锥的顶点可构共斜边的直角三角形,则公共斜边的中点就是其外接球的球心。 二、 内切球问题 若一个多面体的各个面都与一个球的球面相切,则称这个多面体是这个球的外切多面体,这个球是这 个多面体的内切球。因此,多面体内切球球心到该多面体各个面的距离相等。 并非所有多面体都有内切 球,下面介绍几种常见多面体内切球问题: 1. 正多面体内切球的球心与其外接球的球心重合,内切球的半径为球心到多面体任一面的距离。 2. 正棱锥的内切球与外接球的球心都在其高线上,但不一定重合。 目录: 01 :三棱柱 02 :四棱锥 03 :棱台 04 :侧棱垂直于底面 05 :正方体、长方体 06 :其他多面体 07 :三棱锥 08 :折叠问题 01 :三棱柱 1.在一个封闭的直三棱柱 内有一个体积为V的球,若 , , , ,则球的体积的最大值为( )A. B. C. D. 【答案】B 【分析】设 的内切圆 的半径为 ,由等面积法得 ,解得 .由于 ,所以球的最大半径为 ,由此能求出结果. 【解析】由题知,球的体积要尽可能大时,球需与三棱柱内切. 所以球在底面 内的投影的圆面最大不能超出 的内切圆. 设圆 与 内切,设圆 的半径为 . 由 , , ,则 由等面积法得 ,得 . 由于三棱柱高 ,若球的半径 ,此时能保证球在三棱柱内部, 所以直三棱柱 的内切球半径的最大值为 . 所以球的体积的最大值为: . 故选:B 2.在正三棱柱 中, , 为线段 上动点, 为 边中点,则三棱锥 外接球表面积的最小值为 . 【答案】 【分析】建立边长 和O到平面ABD距离为OF的函数关系,结合基本不等式,求解出 最小值,建立 外接球半径 的函数,从而求解外接球半径的最小值,从而求出外接球表面积的最小值. 【解析】由正三棱锥的侧棱垂直于底面的性质,设球心O到平面ABD距离为 ,设 ,有因为 为直角三角形,则 经过直角三角形斜边中点,即 为 中点. 故取 的中点设为 ,则由正三角形求解高知 如图,设 , 设球心O到平面ABD距离为OF,设 , , , 当且仅当 时即 取“=”. , . 故最小为 . 故答案为: . 【点睛】立体图形平面化,结合函数和基本不等式的知识求解是问题的关键. 3.已知正三棱柱的底面边长为 ,高为6,经过上底面棱的中点与下底面的顶点截去该三棱柱的三个角, 如图1,得到一个几何体,如图2所示,若所得几何体的六个顶点都在球 的球面上,则球 的体积为 ( ) A. B. C. D.【答案】D 【分析】根据几何体特征、勾股定理及其外接球体积公式计算即可. 【解析】设 分别为正棱柱上下底面的中心,即 , 由几何体的特征易知其外接球球心 在 上,如图所示, 根据正三角形的中心性质可知 ,同理 , 设外接球半径为 则 , 所以有 , 则外接球体积 . 故选:D 【点睛】思路点睛:对于几何体外接球问题,第一步先确定球心位置,可以先通过确定一面的外接圆圆心 去确定,本题几何体比较规则,容易得出球心在上下中心连线上;第二步,由点在球上及球体的特征结合 勾股定理构建方程组解方程求半径即可. 4.如图,在直三棱柱 中,侧棱长为 , , ,点 在上底面 (包 含边界)上运动,则三棱锥 外接球半径的取值范围为( )A. B. C. D. 【答案】B 【分析】由条件确定球心位置,建立关于球的半径的表达式,从而求出半径的取值范围即可. 【解析】因为 为等腰直角三角形, , 所以 的外接圆的圆心为 的中点 , 且 , 设 的中点为 ,连接 , 则 , 平面 , 设三棱锥 外接球的球心为 , 由球的性质可得点 在 上,设 , , 外接球的半径为 ,因为 , 所以 ,即 , 又 ,则 , 因为 ,所以 , 则 ; 故选: .【点睛】方法点睛:常见几何体的外接球半径求法:(1)棱长为的正方体的外接球半径为 ; (2)长方体的长,宽,高分别为 , , ,则其外接球的半径为 ; (3)直棱柱的高为 ,底面多边形的外接圆半径为 ,则其外接球半径为 . 02 :四棱锥 5.四棱锥 中,平面 平面 ,底面 为矩形, , , , 若四棱锥 的外接球表面积为 ,则四棱锥 的体积为( ) A. B. C. 或 D. 或 【答案】C 【分析】根据面面垂直的性质,结合勾股定理即可求解 ,即可求解四棱锥的高,由体积公式即可求 解. 【解析】取 的中点 ,连接 , 又因为 ,所以 , 又因为平面 平面 ,且交线为 , 平面 , 所以 平面 . 设 的中心为 ,球心为 ,则 平面 , 于是 , . 设四棱锥 的外接球半径为 ,其表面积为 ,故 .过 作 ,则四边形 为矩形, 故 , , 在 和 中, , , , 所以 , , . 当 在平面 的上方,此时四棱锥的高为 , 四棱锥 的体积 . 当 在平面 的下方,此时四棱锥的高为 , 四棱锥 的体积 . 故选:C. 【点睛】本题关键要注意外心即可能在平面 上方,也可能在下方,思考问题要周密. 6.已知正四棱锥 的侧棱长为 ,且二面角 的正切值为 ,则它的外接球表面积 为( ) A. B. C. D. 【答案】D 【分析】如图,根据线面垂直的判定定理可得 平面 ,则 为二面角 的平面角,设正方形 的边长为 ,利用锐角三角函数求出 ,即可求出 , ,再设球心为 ,则球 心在直线 上,设球的半径为 ,利用勾股定理求出 ,最后再由球的表面积公式计算可得. 【解析】设正方形 中心为 ,取 中点 ,连接 、 、 , 则 平面 ,得 平面 , 所以 为二面角 的平面角,即 , 设正方形 的边长为 ,则 , 又 , ,由 , 即 ,解得 (负值已舍去), 则 , ,设球心为 ,则球心在直线 上,设球的半径为 , 则 ,解得 , 所以外接球的表面积 . 故选:D 【点睛】关键点点睛:本题解答的关键是确定二面角的平面角,利用锐角三角函数求出底面边长与高,再 由正四棱锥的性质确定球心在 上. 03 :棱台 7.已知正四棱台 ,半球的球心 在底面 的中心,且半球与该棱台的各棱 均相切,则半球的表面积为( )A. B. C. D. 【答案】C 【分析】分析半球与各棱的切点位置,利用球的切线性质,用 表示出侧棱长,从不同角度表示出棱台的 高,从而建立关于 的方程,然后可得. 【解析】由题意可知, 为下底面, 记上底面 的中心为 ,过 作 垂直于平面 ,垂足为 , 易知点 在 上,记半球与 分别相切于点 , 由正四棱台和球的对称性可知, 为 的中点, 因为 ,所以 , , 记半球的半径为 ,则 , 所以 , , 分别在 中,由勾股定理得 , , 因为 ,所以 , 解得 或 (舍去), 所以半球的表面积为 . 故选:C 【点睛】关键点睛:本题考查学生的直观想象能力,解题关键在于利用球的切线性质,用 表示出侧棱, 然后根据棱台的高距离方程求出半径即可.8.在正三棱台 中, , ,二面角 的正弦值为 ,则 的外接球体积为( ) A. B. C. D. 【答案】B 【分析】记正三棱台上下底面的中心分别为 , 的中点分别为 , 的中点为 ,先判断 为二面角 的平面角,然后求出棱台的高,判断球心位置,利用勾股定理求解可得半径, 然后可得体积. 【解析】记正三棱台上下底面的中心分别为 , 的中点分别为 , 的中点为 , 如图,因为 为等腰梯形, 分别为 的中点, 所以,由等腰梯形性质可知 , 又 为正三角形,所以 , 所以 为二面角 的平面角, 由正棱台性质可知, 平面 , 因为 , ,所以 , 所以 , 易知 ,所以 为平行四边形, 所以 ,所以 平面 , 由题知 ,所以 ,所以 , 所以 , 易知,正三棱台 的外接球的球心在射线 上,记为 ,半径为 若球心 在线段 上,则 , 即 ,解得 ,不符合题意; 若球心 在下底面下方,则 , 即 ,解得 ,则 , 所以 的外接球体积为 . 故选:B 04 :侧棱垂直于底面 9.如图,四棱锥 中, 面 ,四边形 为正方形, , 与平面 所成 角的大小为 ,且 ,则四棱锥 的外接球表面积为( )A.26π B.28π C.34π D.14π 【答案】C 【分析】依题意可将四棱锥 补成长方体 ,则四棱锥 的外接球也是长方 体 的外接球,由 可求出 的长,进而可求 ,即为外接球的直径,从而可得 外接球的表面积. 【解析】如图,因为 面 ,四边形 为正方形, 所以可将四棱锥 补成长方体 , 则四棱锥 的外接球也是长方体 的外接球. 由 面 ,所以 就是 与平面 所成的角 , 则 ,所以 , 设四棱锥 的外接球的半径为 , 因为长方体 的对角线 的长即为其外接球的直径, 所以 ,所以 ,所以四棱锥 的外接球的表面积为 . 故选:C 10.如图,在四面体 中, 与 均是边长为 的等边三角形,二面角 的大小 为 ,则四面体 的外接球表面积为 . 【答案】 【分析】设 为 的中心, 为四面体 的外接球的球心,过 作 ,然后在 中,由 求出外接球的半径,再由球的表面积公式计算可得. 【解析】如图所示:设 为 的中心, 为四面体 的外接球的球心, 则 平面 . 因为二面角 的大小为 ,即平面 平面 , 设 为线段 的中点,外接球的半径为 , 连接 , 过 作 于点 , 易知 为 的中心,则 ,因为 , 故 , , 在 中, , 故 ,则 . 所以外接球的表面积为 , 故答案为: . 05 :正方体、长方体 11.已知正方体 的棱长为4,点 是棱 的中点, 为四边形 内(包括边界)的 一动点,且满足 平面 , 的轨迹把正方体截成两部分,则较小部分的外接球的体积为( ) A. B. C. D. 【答案】A 【分析】作出辅助线,得到平面 平面 ,确定当 在线段 上运动时,满足 平面 , 的轨迹把正方体截成两部分,则较小部分为三棱锥 , 求出外接球半径,得到外接球体积. 【解析】分别取 的中点 ,连接 , 故 , 因为 , , 所以四边形 为平行四边形, 所以 ,故 , 因为 平面 , 平面 , 所以 平面 ,又点 是棱 的中点,所以 , , 故四边形 为平行四边形, 所以 , 又 平面 , 平面 , 所以 平面 , 因为 , 平面 , 所以平面 平面 , 故当 在线段 上运动时,满足 平面 , 的轨迹把正方体截成两部分,则较小部分为三棱锥 , 其中 两两垂直,且 , 故其外接球半径为 , 故较小部分的外接球的体积为 . 故选:A 【点睛】特殊几何体的内切球或外接球的问题,常常进行补形,转化为更容易求出外接球或内切球球心和 半径的几何体,比如墙角模型,对棱相等的三棱锥常常转化为棱柱来进行求解. 12.已知一个长方体的封闭盒子,从同一顶点出发的三条棱长分别为3,4,5,盒内有一个半径为1的小球,若将盒子随意翻动,则小球达不到的空间的体积是( ) A. B. C. D. 【答案】B 【分析】分别计算小球在8个顶点和12条棱不能到达的空间体积,然后进行相加即可. 【解析】小球在8个顶点不能到达的空间相当于棱长为2的正方体挖去一个半径为1的球, 其体积为 , 小球在 , , , 这4条棱不能到达的空间相当于一个长为3,宽为2,高为2的长方体挖去 一个底面半径为1,高为3的圆柱, 其体积为 , 小球在 , , , 这4条棱不能到达的空间相当于一个棱长为2的正方体挖去一个底面半径为 1,高为2的圆柱, 其体积为 , 小球在 , , , 这4条棱不能到达的空间相当于一个长为2,宽为2,高为1的长方体挖去一 个底面半径为1,高为2的圆柱, 其体积为 , 所以小球不能到达的空间的体积为 , 故选:B. 06 :其他多面体 13.如图1,一圆形纸片的圆心为 ,半径为 ,以 为中心作正六边形 ,以正六边形的各边 为底边作等腰三角形,使其顶角的顶点恰好落在圆 上,现沿等腰三角形的腰和中位线裁剪,裁剪后的图形如图2所示,将该图形以正六边形的边为折痕将等腰梯形折起,使得相邻的腰重合得到正六棱台.若该 正六棱台的高为 ,则其外接球的表面积为( ) A. B. C. D. 【答案】D 【分析】根据侧面积与底面积的关系求出相应的边长,进而利用外接球的性质求出半径,从而求出外接球 的表面积. 【解析】如图1,设以 为底边的等腰三角形的中位线为 ,连接 ,分别交 于点 , 则点 分别为 的中点. 设 ,则 , , ①. 折叠后形成的正六棱台如图2所示,设上底面 的中心为 ,连接 , 则 .连接 ,则 是正六棱台 的高,即 . 过点 作 ,垂足为 ,则 底面 ,故 . 在Rt 中, ②, 由①②得 ,解得 , 所以正六棱台 的上、下底面的边长分别为1和2. 由 ,可知正六棱台的外接球球心 必在线段 上, 连接 ,则 为外接球的半径,设为 . 在Rt 和Rt 中,由勾股定理得 , 可得 , 又因为 , , , 即 ,解得 , 则 , 所以所求外接球的表面积为 . 故选:D. 【点睛】关键点点睛:本题考查平面图形的折叠,几何体外接球的半径,解题关键在于平面图形折叠成立 体图形后,要明确变化的量和没有变的量,以及线线的位置,线面的位置关系,对于几何体的外接球的问 题,关键在于确定外接球的球心的位置. 14.六氟化硫,化学式为 ,在常压下是一种无色、无臭、无毒、不燃的稳定气体,有良好的绝缘性, 在电器工业方面具有广泛用途.六氟化硫分子结构为正八面体结构(正八面体每个面都是正三角形,可以看作是将两个棱长均相等的正四棱锥将底面粘接在一起的几何体).如图所示,正八面体 的棱 长为 ,下列说法中正确的个数有( ) ①异面直线 与 所成的角为45°; ②此八面体的外接球与内切球的体积之比为 ; ③若点 为棱 上的动点,则 的最小值为 ; ④若点 为四边形 的中心,点 为此八面体表面上动点,且 ,则动点 的轨迹长度为 . A.1个 B.2个 C.3个 D.4个 【答案】B 【分析】对①:借助等角定理,找到与 平行,与 相交的线段,计算即可得;对②:借助外接球与内 切球的性质计算即可得;对③:空间中的距离和的最值问题可将其转化到同意平面中进行计算.对④,计算 的值,并比较它们的大小,即可得出当点 在平面 内时,点 在三角形 的内切圆 上运动,结合对称性即可验算. 【解析】对①:连接 ,取 中点 ,连接 、 , 由题意可得 、 为同一直线, 、 、 、 四点共面, 又 ,故四边形 为菱形, 故 ,故异面直线 与 所成的角等于直线 与 所成的角, 即异面直线 与 所成的角等于 ,故①错误;对②:由四边形 为正方形,有 , 故四边形 亦为正方形,即点 到各顶点距离相等, 即此八面体的外接球球心为 ,半径为 , 设此八面体的内切球半径为 , 则有 ,化简得 , 则此八面体的外接球与内切球的体积之比为 ,故②正确; 对③:将 延 折叠至平面 中,如图所示: 则在新的平面中, 、 、 三点共线时, 有最小值, 则 ,故③错误. 对于④,设三角形 的内切圆半径为 ,则由等面积法,有 , 解得 ,由②可知,点 到平面 的距离为 , 所以 , 这表明当点 在平面 内时,点 在三角形 的内切圆上运动, 它的周长是 , 根据对称性可知动点 的轨迹长度为 ,故④正确. 正确的编号有②④. 故选:B. 【点睛】关键点点睛:本题④中,关键点在于得出当点 在平面 内时,点 在三角形 的内切圆 上运动,根据对称性即可顺利得解. 07 :三棱锥 15.若三棱锥 的所有顶点都在半径为2的球 的球面上, 为球 的直径,且 ,则该 三棱锥的最大体积为( ) A. B. C.3 D. 【答案】B 【分析】由勾股定理逆定理得到 ⊥ ,故 ,要想该三棱锥的体积最大,则 ⊥ 平面 ,从而求出最大体积. 【解析】 的中点为 ,连接 ,则 , 因为 ,故 , 故 ⊥ , , 要想该三棱锥的体积最大,则 ⊥平面 , 故最大体积故选:B 16.在正三棱锥 中, 分别为 的中点, 为棱 上的一点,且 , ,若 ,则此正三棱锥 的外接球的表面积为( ) A. B. C. D. 【答案】D 【分析】如图,根据题意,利用线面垂直的判定定理和性质证明 , , ,将三棱 锥 补成以 为棱的正方体,则正方体的外接球即为三棱锥 的外接球,求出外接 球的半径,结合球的体积和表面积公式计算即可求解. 【解析】如图,取CD的中点Q,连接AQ、BQ,则 , 由 ,得 , 因为三棱锥 为正三棱锥,所以 , 而Q是CD的中点,所以 , 又 平面 ,所以 平面 , 由 平面 ,得 ,又 , 平面 ,所以 平面 ,由 平面 ,所以 , , 根据正三棱锥的特点可得 , 故可将三棱锥 补成以 为棱的正方体,如图, 所以正方体的外接球即为三棱锥 的外接球. 由 得 ,可得正方体的棱长为 ,所以 , 即 ,所以正三棱锥 的外接球的表面积为 . 故选:D 17.已知三棱锥 的底面 是直角三角形, 平面 , ,则( ) A.三棱锥 外接球的表面积为 B.三棱锥 外接球的表面积为 C.三棱锥 内切球的半径为 D.三棱锥 内切球的半径为 【答案】AC 【分析】根据三棱锥特征构造长方体求出外接球半径,求得表面积,再由等体积法求出内切球半径. 【解析】由题意可知 , , 两两垂直, 则三棱锥 外接球的半径 满足 , 从而三棱锥 外接球的表面积为 , 故A正确,B错误. 由题意可得三棱锥 的体积 ,三棱锥 的表面积 . 设三棱锥 内切球的半径为 , 因为 , 所以 ,则C正确,D错误. 故选:AC 18.如图,在正三棱锥 中, , 分别是棱 的中点, 是棱 上的 任意一点,则下列结论中正确的是( ) A. B.异面直线 与 所成角的余弦值为 C. 的最小值为 D.三棱锥 内切球的半径是 【答案】ACD 【分析】对于A,易知 , ,可证 平面 ,再由线面垂直的性质定理即可得证; 对于B,取 中点 ,连接 , ,由 ,知 即为异面直线 和 所成角,由 ,可推出 ,再由三角函数的知识即可求解;对于C,将平面 和平面 平铺展开, 形成四边形 ,连接 ,交 于点 ,此时 是最小值,再结合二倍角公式与余弦定 理即可求解;对于D,设内切球的球心为 ,点 在平面 内的投影为 , 为 的重心,球与平面 相切于点 ,设三棱锥 内切球的半径为 ,由 相似于 ,即可求解. 【解析】对于A,如图1所示,连接 , , 由正三棱锥的性质可知 , , 因为 为 中点, 所以 , , 又因为 , 平面 , 所以 平面 , 又因为 平面 所以 ,故A正确; 对于B,如图①,取 中点 ,连接 , , 因为 、 分别为 , 的中点, 所以 , , 所以 即为异面直线 和 所成角或其补角, 因为 、 分别为 , 的中点, 所以 , 由选项A知, ,同理可得 , 所以 , 所以 , 所以 , 所以 , 即异面直线 和 所成角的余弦值为 ,故B错误; 对于C,将平面 和平面 平铺展开,形成四边形 , 如图②所示,连接 ,交 于点 ,此时 是最小值, 连接 ,则 ,所以 , 在 中,由余弦定理知, , 所以 , 即 的最小值是 ,故C正确; 对于D,如图③所示,设内切球的球心为 ,点 在平面 内的投影为 , 为 的重心, 球 与平面 相切于点 ,则 在 上,且 , 在 中, , 在 中, , 因为 为 的重心,所以 , 在 中, , 设三棱锥 内切球的半径为 , 由 相似于 ,得 , 即 ,解得 ,故D正确; 故选:ACD. 【点睛】关键点点睛:本题考查了异面直线所成角、最短距离及内切球,解题关键是作出异面直线所成角、平面展开求最值以及通过相似三角形求内切球的半径. 19.如图,正三棱锥 的侧面和底面 所成角为 ,正三棱锥 的侧面和底面 所成 角为 和 位于平面 的异侧,且两个正三棱锥的所有顶点在同一个球面上,则 , 的最大值为 . 【答案】 【分析】由几何体结构特征可知 为外接球直径即得 ;先设 ,外接球半径为 R,则由 以及已知条件可求得 ,再根据几何体结构特征得 ,再结合两角和正切公式以及基本不等式即可求解. 【解析】由几何体结构特征可知 为外接球直径,所以 ; 连接 ,交平面 于点 ,取 中点 ,连接 , 由正棱锥性质知 ,且 ,则 、 , ,设 ,外接球半径为R, 则 , 所以由 得 , , 又 , 故 , 而 ,当且仅当 时取等, 故 . 故答案为: ; . 【点睛】关键点点睛:求解 的关键是由 以及已知数据求出 . 08 :折叠问题 20.在 中, ,过点 作 ,垂足为点 ,将 沿直线 翻 折,使点 与点 间的距离为3,此时四面体 的四个顶点都在球 的球面上,则球 的表面积为 ( ) A. B. C. D. 【答案】D 【分析】如图,根据余弦定理求出BC,根据正弦定理求出 的外接圆半径,结合球的性质和勾股定 理求出球的半径,利用球的表面积公式计算即可.【解析】如图, 将 沿直线 翻折,得到满足题意的几何体为三棱锥 , 因为 ,过点 作 ,则 在 中, , , 由余弦定理,得 ,所以, 设 的外接圆圆心为D,半径为r,则 , 由正弦定理,得 ,解得 ,即 , 易知 平面 ,又AM是球O的弦, , , 所以 , 得球的半径为 , 所以球的表面积为 . 故选:D. 21.如图1,在矩形ABCD中, , ,M是边BC上的一点,将 沿着AM折起,使点B 到达点P的位置.(1)如图2,若M是BC的中点,点N是线段PD的中点,求证: 平面PAM; (2)如图3,若点P在平面AMCD内的射影H落在线段AD上. ①求证: 平面PAD; ②求点M的位置,使三棱锥 的外接球的体积最大,并求出最大值. 【答案】(1)证明见解析 (2)①证明见解析;②M位于点C, 【分析】(1)根据线面平行的判定即可得证; (2)①根据线面垂直判定可证;②先分析得O是三棱锥 外接球的球心,再求得直径 , 然后根据函数的单调性求出最值,进而利用球的体积公式求出球的体积的最大值即可 【解析】(1)如图,取PA的中点E,连接ME和EN,则EN是 的中位线, 所以 且 , 又 且 , 所以 且 , 所以四边形ENCM是平行四边形,所以 , 又 平面PAM, 平面PAM, 所以 平面PAM. (2)①由 平面AMCD, 平面PFH,得 , 又已知 ,且AD,PH是平面PAD内两条相交直线, 所以 平面PAD. ②,由①知 平面PAD,又 平面PAD, 所以 ,所以 是 , 由 平面AMCD, 平面AMCD, 所以 , 是 .如图,取PC的中点O,则点O到三棱锥 各顶点的距离都相等, 所以O是三棱锥 外接球的球心. 如图,过点P作 于F,连HF和BF, 因为 平面AMCD, 平面AMCD, 所以 ,又PF,PH是平面PHF内两条相交直线, 所以 平面PFH,又 平面PFH,所以 , 由 和翻折关系知 ,所以B,F,H三点共线,且 , 设 ,则 , , 又 ,所以 , , , 由 ,得 , 所以 , , 所以 , ,因为 在 时单调递增, 所以 时, 有最大值 , 此时,点M位于点的C位置, 所以 , , . 所以点M位于点的C时,三棱锥 外接球的体积的最大值为 . 【点睛】方法点睛:求空间多面体的外接球半径的常用方法: ①补形法:侧面为直角三角形,或正四面体,或对棱二面角均相等的模型,可以还原到正方体或长方体中 去求解; ②利用球的性质:几何体中在不同面均对直角的棱必然是球大圆直径,也即球的直径; ③定义法:到各个顶点距离均相等的点为外接球的球心,借助有特殊性底面的外接圆圆心,找其垂线,则 球心一定在垂线上,再根据带其他顶点距离也是半径,列关系求解即可; ④坐标法:建立空间直角坐标系,设出外接球球心的坐标,根据球心到各顶点的距离相等建立方程组,求 出球心坐标,利用空间中两点间的距离公式可求得球的半径. 一、单选题 1.(2024·新疆·三模)设四棱台 的上、下底面积分别为 , ,侧面积为 ,若一个小 球与该四棱台的每个面都相切,则( ) A. B. C. D. 【答案】D 【分析】利用体积相等可得答案. 【解析】设内切球的球心为 ,连接 , 则 把四棱台 分割成六个四棱锥, 且六个四棱锥的高都为内切球的半径 ,四棱台 的高为 ,所以 , 化简可得 . 故选:D. 2.(2024·陕西西安·模拟预测)已知圆锥侧面展开图是圆心角为直角,半径为2的扇形,则此圆锥内切球 的表面积为( ) A. B. C. D. 【答案】D 【分析】先计算出圆锥底面圆的半径,再由勾股定理求出圆锥的高,然后利用等面积法计算内切球半径, 最后再计算球的表面积即可. 【解析】侧面展开图扇形的弧长为 ,圆锥底边的半径 满足 ,解得 , 所以该圆锥轴截面是一个两腰长为2,底边长为1的等腰三角形,底边上的高为 , 设内切球半径为 ,由等面积法可得 ,则 . 所以内切球的表面积为 . 故选:D. 3.(2024·陕西安康·模拟预测)如图,在三棱锥 中, , , 为 的 中点, , 与平面 所成的角为 ,则三棱锥 外接球的表面积为( )A. B. C. D. 【答案】C 【分析】根据线面垂直和面面垂直的判定可得平面 平面 ,结合交线可确定线面角 , 进而证得 平面 ;分别取 , 外接圆圆心,根据球的性质可确定球心位置,根据长度 关系可求得半径,进而得到外接球表面积. 【解析】 为 的中点, , ,即 为等腰三角形, , , 均为边长为 的等边三角形, ,又 , 平面 , 平面 , 平面 , 平面 平面 , 平面 平面 , 为 在平面 内的射影, 即为 与平面 所成的角,即 , , , , 又 , , 平面 , 平面 . 设三棱锥 外接球的球心为 , 外接圆的圆心为 , 外接圆的圆心为 , 连接 ,则 平面 , 平面 ,均为边长为 的等边三角形, , , , 三棱锥 外接球的半径 , 三棱锥 外接球的表面积 . 故选:C. 【点睛】关键点点睛:本题考查立体几何中多面体外接球的求解问题,本题的解题关键是能够通过面面垂 直关系确定已知中所给线面角,从而确定几何体的基本结构特征,进而根据外接球的性质来确定球心位置. 4.(2024·广东·模拟预测)建盏是福建省南平市建阳区的特产,是中国国家地理标志产品,其多是口大底 小,底部多为圈足且圈足较浅(如图所示),因此可将建盏看作是圆台与圆柱拼接而成的几何体.现将某建 盏的上半部分抽象成圆台 ,已知该圆台的上、下底面积分别为 和 ,高超过 ,该圆台 上、下底面圆周上的各个点均在球 的表面上,且球 的表面积为 ,则该圆台的体积为( ) A. B. C. D. 【答案】B 【分析】画出图形,首先根据球的表面积公式计算得球的半径为 ,通过勾股定理得 的值, 进而得圆台的高,结合圆台的体积公式即可得解.【解析】 设球 的半径为 ,上、下底面分别为圆 (这里上底面是指大的那个底面), 依题意, ,解得 , 因为 , 则 ,同理可得, ,因为圆台的高超过 ,则该圆台的高为 ,该圆台 的体积为 . 故选:B. 5.(2024·江西鹰潭·三模)在菱形 中, , ,将 沿对角线 折起,使点 到 达 的位置,且二面角 为直二面角,则三棱锥 的外接球的表面积为( ) A. B. C. D. 【答案】C 【分析】根据给定条件,确定三棱锥 的外接球的球心位置,再求出球半径即可计算作答. 【解析】如图所示: 由题意在菱形 中, 互相垂直且平分,点 为垂足, ,由勾股定理得 , 所以 , 设点 为 外接圆的圆心, 则 外接圆的半径为 , , 设点 为 外接圆的圆心,同理可得 外接圆的半径为 , , 如图所示: 设三棱锥 的外接球的球心、半径分别为点 , 而 均垂直平分 , 所以点 在面 ,面 内的射影 分别在直线 上, 即 , 由题意 ,且二面角 为直二面角, 即面 面 , , 所以 ,即 ,可知四边形 为矩形,所以 , 由勾股定理以及 , 所以三棱锥 的外接球的表面积为 . 故选:C. 【点睛】方法点睛:解决与球相关的切、接问题,其通法是作出截面,将空间几何问题转化为平面几何问 题求解,其解题思维流程如下:(1)定球心:如果是内切球,球心到切点的距离相等且为球的半径;如果是外接球,球心到接点的距离 相等且为半径; (2)作截面:选准最佳角度做出截面(要使这个截面尽可能多的包含球、几何体的各种元素以及体现这 些元素的关系),达到空间问题平面化的目的; (3)求半径下结论:根据作出截面中的几何元素,建立关于球的半径的方程,并求解. 6.(2024·湖北荆州·模拟预测)三棱锥 的四个顶点在球O的球面上, , , , 顶点P到 的三边距离均等于4,且顶点P在底面的射影在 的内部,则球O的表面积等于 ( ) A. B. C. D. 【答案】C 【分析】先分析出 ⊥ ,作出辅助线,得到 点在底面的射影为 的中点 ,点 在底面的投影 为 的内心,先求出直角三角形的内切圆半径 ,由勾股定理得到方程,求出球的半径,得到球的 表面积. 【解析】因为 , , ,所以 ,故 ⊥ , 取 的中点 ,则 点在底面的射影为 ,连接 ,则 , 又P到 的三边距离均等于4,故点 在底面的投影 为 的内心, 过点 作 ⊥ ,垂足为 ,作 ⊥ ,垂足为 ,作 ⊥ ,垂足为 , 故四边形 为矩形,又 ,故四边形 为正方形, 设 ,则 , 所以 ,解得 ,则 , 过点 作 ⊥ ,垂足为 , 设 ,则 , 如图,以 , 所在直线分别为 轴,建立平面直角坐标系,则 ,则 , 其中 , 由勾股定理得 , ,故 ,解得 , 则 ,则外接球的表面积为 . 故选:C 【点睛】关键点点睛:确定球心的位置.对于外切的问题要注意球心到各个面的距离相等且都为球半径; 对于球的内接几何体的问题,注意球心到各个顶点的距离相等,解题时要构造出由球心到截面圆的垂线段、 小圆的半径和球半径组成的直角三角形,利用勾股定理求得球的半径 7.(2024·河北沧州·三模)《几何补编》是清代梅文鼎撰算书,其中卷一就给出了正四面体,正六面体 (立方体)、正八面体、正十二面体、正二十面体这五种正多面体的体积求法.若正四面体 的棱长 为 , 为棱 上的动点,则当三棱锥 的外接球的体积最小时,三棱锥 的体积为 ( ) A. B. C. D. 【答案】A 【分析】由题意确定三棱锥 的外接球的体积最小时球心的位置,由此可求出三棱锥 的 高,利用体积公式,即可求得答案. 【解析】如图,在正四面体 中,假设 底面 ,则点 为 外心. 在 上取一点 ,满足 ,则 , 则 为三棱锥 的外接球球心,当 取得最小值时, 最小,三棱锥 的外接球体积最小, 此时点 与点 重合.作 ,垂足为 , , 为三棱锥 的高. 由正四面体 的棱长为 ,知 , , ,. 设 ,则 ,故 , . 由 ,得 , 解得 . , . 故选:A. 8.(2023·浙江·模拟预测)如图1,直角梯形 中, ,取 中点 ,将 沿 翻折(如图2),记四面体 的外接球为球 ( 为球心). 是球 上 一动点,当直线 与直线 所成角最大时,四面体 体积的最大值为( )A. B. C. D. 【答案】D 【分析】首先得到球心 在 的中点,然后当 与球 相切时直线 与直线 所成角的最大,过 作 垂足为 ,当 平面 时四面体 体积取得最大值,即可求出答案. 【解析】由题意可知, 均为等腰直角三角形,所以四面体 的外接球的球心 在 的 中点, 因为 是球 上的动点,若直线 与直线 所成角的最大,则 与球 相切, ,此时, 最大, 因为 , ,所以 , 过 作 垂足为 ,则 在以 为圆心, 为半径的圆上运动. 所以当 平面 时四面体 的体积取得最大值. 因为 ,所以 , 所以 , 故选:D. 二、多选题 9.(2024·山西晋中·模拟预测)如图,在棱长为2的正方体 中,G为 的中点,则下列 结论正确的有( )A.CG与 所成角的余弦值为 B. 与平面 的交点H是 的重心 C.三棱锥 的外接球的体积为 D. 与平面 所成角的正弦值为 【答案】ABC 【分析】对于A,连接 ,可得 即为异面直线 与 所成角或其补角;对于B,可得四面体 为正四面体,证明 平面 即可判断;对于C,三棱锥 和正方体有相同的外接 球,求出即可;对于D,可得 为直线 与平面 所成的角,即可求出判断. 【解析】对于A,连接 ,则由正方体的性质可知 , 所以 即为异面直线 与 所成角或其补角, 连接 ,设 ,则 为 的中点, 连接 ,则 , 在 中, , 即 与 所成角的余弦值为 ,故A正确;对于B,连接 ,则 , 则四面体 为正四面体, 因为 , 平面 , 所以 平面 , 因为 平面 ,所以 , 同理可得 ,因为 , 平面 所以 平面 ,垂足为 ,又四面体 为正四面体, 所以 为 的中心,即 为 的重心,故B正确; 对C,由于三棱锥 的顶点均为正方体的顶点, 所以三棱锥 和正方体有相同的外接球,所以外接球半径 , 体积为 ,故C正确; 对D,连接 ,并延长交 于点 ,由选项B知 平面 , 所以 为直线 与平面 所成的角,由 为正三角形, 且 为 的重心,所以 为 的中点,也是 的中点, 在 中, ,所以 ,故D错误. 故选:ABC. 【点睛】方法点睛:本题考查空间角中的线线角的余弦值的求法,线面角的正弦值的求法, 法一:作出空间角再利用解三角形的知识求解,法二建立空间直角坐标系,利用空间向量的夹角公式求解. 10.(2024·浙江绍兴·三模)平行四边形ABCD中 ,且 ,AB、CD的中点分别为 E、F,将 沿DE向上翻折得到 ,使P在面BCDE上的投影在四边形BCDE内,且P到面 BCDE的距离为 ,连接PC、PF、EF、PB,下列结论正确的是( ) A. B. C.三棱锥 的外接球表面积为 D.点Q在线段PE上运动,则 的最小值为 【答案】ABD 【分析】记 的中点为 ,过点 作 ,证明点 为点 在平面 上的投影, 解三角形求 ,判断A,证明 平面 ,判断B,根据正四面体性质求三棱锥 的外接球半 径,结合球的表面积公式判断C,通过翻折,将问题转化为求 的问题,求其值,判断D. 【解析】由已知 , , , 记 的中点为 ,连接 , 因为 , 为 的中点,所以 , 因为 , ,所以 , 故 ,又 为 的中点,所以 , 又 , 平面 , 所以 平面 ,又 平面 ,所以平面 平面 , 过点 作 , 为垂足, 因为平面 平面 , 平面 , 所以 平面 ,即点 为点 在平面 上的投影, 因为P到面BCDE的距离为 ,所以 , 由已知 , , 所以 , ,又 , 所以 ,所以 , 所以 ,故 ,A正确, 因为 ,所以点 为 的外心,又 为等边三角形, 所以点 为 的中心, 连接 并延长,交 与点 ,则 , 为 的中点, 连接 ,因为 ,故 , 所以 三点共线,且 ,又 , 所以 , 又 平面 , 平面 ,故 , 因为 , 平面 , 所以 平面 , 平面 , 所以 ,B正确; 因为 为正四面体,且棱长为 , 所以其外接球的半径为 , 所以三棱锥 的外接球表面积为 ,C错误;因为 , ,所以 , 所以 ,故 , 将 翻折到同一平面,如图 所以 的最小值为 ,且 , 所以 ,又 ,D正确, 故选:ABD. 11.(2024·山东济宁·三模)如图,在直三棱柱 中, , , 分别是棱 , 上的动点(异于顶点), , 为 的中点,则下列说法中正确的是( )A.直三棱柱 体积的最大值为 B.三棱锥 与三棱锥 的体积相等 C.当 ,且 时,三棱锥 外接球的表面积为 D.设直线 , 与平面 分别相交于点 , ,若 ,则 的最小值为 【答案】BCD 【分析】A选项:根据三棱柱体积公式,结合三角函数值域可得最值;B选项:根据等体积转化可判断; C选项:结合正弦定理确定正三角形外心,进而确定球心及半径;D选项:根据相似及基本不等式可得最 值. 【解析】A选项:由已知可得 ,又 , 所以 ,即体积的最大值为 ,A选项错误; B选项:如图所示, 由点 为 的中点,则 ,设点 到平面 的距离为 , 则 , , 又 ,所以 ,所以 ,B选项正确; C选项:如图所示,由已知 为正三角形,设外接球球心为 , 中心为 , 中点为 ,则 平面 ,且 , ,即 , 所以外接球半径为 ,外接球表面积为 ,C选项正确; D选项:如图所示, 取 中点 ,可知 在 的延长线上, 在 的延长线上, 则 ,即 , 设 , , 易知 , , 则 , , 则 , , , 所以 ,当且仅当 ,即 时取等号,故D选项正确; 故选:BCD. 三、填空题 12.(2024·安徽芜湖·三模)在棱长为4的正方体 中,点 是棱 的中点,则四面体 的外接球的体积为 . 【答案】 【分析】建立空间直角坐标系,设四面体 的外接球的球心为 ,列式求解可得 ,即可求得外接球的半径,由球的体积公式即可求得答案. 【解析】以D为坐标原点,以 所在直线为 轴,建立空间直角坐标系, 则 , 设四面体 的外接球的球心为 , 则 ,即得 ,整理得 ,解得 , 故四面体 的外接球的半径为 , 故四面体 的外接球的体积为 , 故答案为: 13.(2024·湖北武汉·模拟预测)在三棱锥中 , ,且 .记直线 , 与 平面 所成角分别为 , ,已知 ,当三棱锥 的体积最小时,则三棱锥 外 接球的表面积为 . 【答案】 【分析】根据给定条件,探求点 在平面 内的投影 的轨迹,确定当三棱锥体积最小时点 的位置, 进而可得 并求出外接球半径,求出球的表面积. 【解析】设点 在平面 内的投影为 ,由直线 与平面 所成角分别为 ,且 , 则 , , ,于是 , 以 为 轴,线段 的中垂线为y轴,建立平面直角坐标系,令 ,由 , ,得 , , , 则 ,化简得 , 因此点 在以 为圆心, 为半径的圆上, 当 最小时, 最小,即三棱锥 的体积最小, 此时 , , , , 因此点 在底面 上的射影 在 上,且 ,又 , 显然 的中点到点 的距离相等,此时三棱锥 的外接球的球心为 的中点, 外接球的半径 ,表面积为 . 故答案为: 【点睛】关键点点睛:解决与球有关的内切或外接问题时,关键是确定球心的位置,再求出球半径即可. 14.(2024·江西新余·二模)如图1,在直角梯形 中, , , , , ,点E,F分别为边 , 上的点,且 , .将四边形 沿 折起,如图 2,使得平面 平面 ,点M是四边形 内(含边界)的动点,且直线 与平面 所 成的角和直线 与平面 所成的角相等,则当三棱锥 的体积最大时,三棱锥 的外 接球的表面积为 .【答案】60π 【分析】先结合线面角的定义与已知条件可得 ,从而知 ,过点 作 于点 ,根据三棱锥的体积公式,将条件转化为 取得最大值,再结合勾股定理确定点 的位置,然后 利用补形法求外接球的半径即可. 【解析】翻折前, , 因为平面 平面 ,平面 平面 , 平面 , 所以 平面 , 所以 即为直线 与平面 所成的角, 同理可得, 即为直线 与平面 所成的角, 因为直线 与平面 所成的角和直线 与平面 所成的角相等, 所以 , 而 , , 所以 ,即 , 设 ,则 , 过点 作 于点 , 因为平面 平面 ,平面 平面 , 平面 , 所以 平面 , 即点 到平面 的距离为 , 因为三棱锥 的体积 ,且 为定值, 所以要使三棱锥 的体积取得最大值,则需 取得最大值, 设 , ,则 , 由勾股定理知, , ,所以 , , 消去 整理得, , , , 当 时, 取得最大值12,即 取得最大值 ,此时点 在线段 上,且 , 所以 , , 两两垂直, 所以三棱锥 的外接球就是以 , , 为邻边构成的长方体的外接球, 所以 , 所以外接球的半径 , 所以当三棱锥 的体积最大时,三棱锥 的外接球的表面积为 . 故答案为: . 【点睛】方法点睛:解决与球相关的切、接问题,其通法是作出截面,将空间几何问题转化为平面几何问 题求解,其解题思维流程如下: (1)定球心:如果是内切球,球心到切点的距离相等且为球的半径;如果是外接球,球心到接点的距离 相等且为半径; (2)作截面:选准最佳角度做出截面(要使这个截面尽可能多的包含球、几何体的各种元素以及体现这 些元素的关系),达到空间问题平面化的目的; (3)求半径下结论:根据作出截面中的几何元素,建立关于球的半径的方程,并求解.