当前位置:首页>文档>拔高点突破04新情景、新定义下的立体几何问题(六大题型)(解析版)_2025年新高考资料_一轮复习_2025年高考数学一轮复习讲练测(新教材新高考,含2024高考真题)

拔高点突破04新情景、新定义下的立体几何问题(六大题型)(解析版)_2025年新高考资料_一轮复习_2025年高考数学一轮复习讲练测(新教材新高考,含2024高考真题)

  • 2026-04-15 09:28:25 2026-04-15 09:25:44

文档预览

拔高点突破04新情景、新定义下的立体几何问题(六大题型)(解析版)_2025年新高考资料_一轮复习_2025年高考数学一轮复习讲练测(新教材新高考,含2024高考真题)
拔高点突破04新情景、新定义下的立体几何问题(六大题型)(解析版)_2025年新高考资料_一轮复习_2025年高考数学一轮复习讲练测(新教材新高考,含2024高考真题)
拔高点突破04新情景、新定义下的立体几何问题(六大题型)(解析版)_2025年新高考资料_一轮复习_2025年高考数学一轮复习讲练测(新教材新高考,含2024高考真题)
拔高点突破04新情景、新定义下的立体几何问题(六大题型)(解析版)_2025年新高考资料_一轮复习_2025年高考数学一轮复习讲练测(新教材新高考,含2024高考真题)
拔高点突破04新情景、新定义下的立体几何问题(六大题型)(解析版)_2025年新高考资料_一轮复习_2025年高考数学一轮复习讲练测(新教材新高考,含2024高考真题)
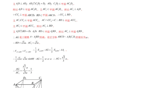
拔高点突破04新情景、新定义下的立体几何问题(六大题型)(解析版)_2025年新高考资料_一轮复习_2025年高考数学一轮复习讲练测(新教材新高考,含2024高考真题)
拔高点突破04新情景、新定义下的立体几何问题(六大题型)(解析版)_2025年新高考资料_一轮复习_2025年高考数学一轮复习讲练测(新教材新高考,含2024高考真题)
拔高点突破04新情景、新定义下的立体几何问题(六大题型)(解析版)_2025年新高考资料_一轮复习_2025年高考数学一轮复习讲练测(新教材新高考,含2024高考真题)
拔高点突破04新情景、新定义下的立体几何问题(六大题型)(解析版)_2025年新高考资料_一轮复习_2025年高考数学一轮复习讲练测(新教材新高考,含2024高考真题)
拔高点突破04新情景、新定义下的立体几何问题(六大题型)(解析版)_2025年新高考资料_一轮复习_2025年高考数学一轮复习讲练测(新教材新高考,含2024高考真题)
拔高点突破04新情景、新定义下的立体几何问题(六大题型)(解析版)_2025年新高考资料_一轮复习_2025年高考数学一轮复习讲练测(新教材新高考,含2024高考真题)
拔高点突破04新情景、新定义下的立体几何问题(六大题型)(解析版)_2025年新高考资料_一轮复习_2025年高考数学一轮复习讲练测(新教材新高考,含2024高考真题)
拔高点突破04新情景、新定义下的立体几何问题(六大题型)(解析版)_2025年新高考资料_一轮复习_2025年高考数学一轮复习讲练测(新教材新高考,含2024高考真题)
拔高点突破04新情景、新定义下的立体几何问题(六大题型)(解析版)_2025年新高考资料_一轮复习_2025年高考数学一轮复习讲练测(新教材新高考,含2024高考真题)
拔高点突破04新情景、新定义下的立体几何问题(六大题型)(解析版)_2025年新高考资料_一轮复习_2025年高考数学一轮复习讲练测(新教材新高考,含2024高考真题)
拔高点突破04新情景、新定义下的立体几何问题(六大题型)(解析版)_2025年新高考资料_一轮复习_2025年高考数学一轮复习讲练测(新教材新高考,含2024高考真题)
拔高点突破04新情景、新定义下的立体几何问题(六大题型)(解析版)_2025年新高考资料_一轮复习_2025年高考数学一轮复习讲练测(新教材新高考,含2024高考真题)
拔高点突破04新情景、新定义下的立体几何问题(六大题型)(解析版)_2025年新高考资料_一轮复习_2025年高考数学一轮复习讲练测(新教材新高考,含2024高考真题)
拔高点突破04新情景、新定义下的立体几何问题(六大题型)(解析版)_2025年新高考资料_一轮复习_2025年高考数学一轮复习讲练测(新教材新高考,含2024高考真题)
拔高点突破04新情景、新定义下的立体几何问题(六大题型)(解析版)_2025年新高考资料_一轮复习_2025年高考数学一轮复习讲练测(新教材新高考,含2024高考真题)
拔高点突破04新情景、新定义下的立体几何问题(六大题型)(解析版)_2025年新高考资料_一轮复习_2025年高考数学一轮复习讲练测(新教材新高考,含2024高考真题)
拔高点突破04新情景、新定义下的立体几何问题(六大题型)(解析版)_2025年新高考资料_一轮复习_2025年高考数学一轮复习讲练测(新教材新高考,含2024高考真题)
拔高点突破04新情景、新定义下的立体几何问题(六大题型)(解析版)_2025年新高考资料_一轮复习_2025年高考数学一轮复习讲练测(新教材新高考,含2024高考真题)
拔高点突破04新情景、新定义下的立体几何问题(六大题型)(解析版)_2025年新高考资料_一轮复习_2025年高考数学一轮复习讲练测(新教材新高考,含2024高考真题)
拔高点突破04新情景、新定义下的立体几何问题(六大题型)(解析版)_2025年新高考资料_一轮复习_2025年高考数学一轮复习讲练测(新教材新高考,含2024高考真题)
拔高点突破04新情景、新定义下的立体几何问题(六大题型)(解析版)_2025年新高考资料_一轮复习_2025年高考数学一轮复习讲练测(新教材新高考,含2024高考真题)
拔高点突破04新情景、新定义下的立体几何问题(六大题型)(解析版)_2025年新高考资料_一轮复习_2025年高考数学一轮复习讲练测(新教材新高考,含2024高考真题)
拔高点突破04新情景、新定义下的立体几何问题(六大题型)(解析版)_2025年新高考资料_一轮复习_2025年高考数学一轮复习讲练测(新教材新高考,含2024高考真题)
拔高点突破04新情景、新定义下的立体几何问题(六大题型)(解析版)_2025年新高考资料_一轮复习_2025年高考数学一轮复习讲练测(新教材新高考,含2024高考真题)
拔高点突破04新情景、新定义下的立体几何问题(六大题型)(解析版)_2025年新高考资料_一轮复习_2025年高考数学一轮复习讲练测(新教材新高考,含2024高考真题)
拔高点突破04新情景、新定义下的立体几何问题(六大题型)(解析版)_2025年新高考资料_一轮复习_2025年高考数学一轮复习讲练测(新教材新高考,含2024高考真题)
拔高点突破04新情景、新定义下的立体几何问题(六大题型)(解析版)_2025年新高考资料_一轮复习_2025年高考数学一轮复习讲练测(新教材新高考,含2024高考真题)
拔高点突破04新情景、新定义下的立体几何问题(六大题型)(解析版)_2025年新高考资料_一轮复习_2025年高考数学一轮复习讲练测(新教材新高考,含2024高考真题)
拔高点突破04新情景、新定义下的立体几何问题(六大题型)(解析版)_2025年新高考资料_一轮复习_2025年高考数学一轮复习讲练测(新教材新高考,含2024高考真题)
拔高点突破04新情景、新定义下的立体几何问题(六大题型)(解析版)_2025年新高考资料_一轮复习_2025年高考数学一轮复习讲练测(新教材新高考,含2024高考真题)
拔高点突破04新情景、新定义下的立体几何问题(六大题型)(解析版)_2025年新高考资料_一轮复习_2025年高考数学一轮复习讲练测(新教材新高考,含2024高考真题)
拔高点突破04新情景、新定义下的立体几何问题(六大题型)(解析版)_2025年新高考资料_一轮复习_2025年高考数学一轮复习讲练测(新教材新高考,含2024高考真题)
拔高点突破04新情景、新定义下的立体几何问题(六大题型)(解析版)_2025年新高考资料_一轮复习_2025年高考数学一轮复习讲练测(新教材新高考,含2024高考真题)
拔高点突破04新情景、新定义下的立体几何问题(六大题型)(解析版)_2025年新高考资料_一轮复习_2025年高考数学一轮复习讲练测(新教材新高考,含2024高考真题)
拔高点突破04新情景、新定义下的立体几何问题(六大题型)(解析版)_2025年新高考资料_一轮复习_2025年高考数学一轮复习讲练测(新教材新高考,含2024高考真题)
拔高点突破04新情景、新定义下的立体几何问题(六大题型)(解析版)_2025年新高考资料_一轮复习_2025年高考数学一轮复习讲练测(新教材新高考,含2024高考真题)
拔高点突破04新情景、新定义下的立体几何问题(六大题型)(解析版)_2025年新高考资料_一轮复习_2025年高考数学一轮复习讲练测(新教材新高考,含2024高考真题)
拔高点突破04新情景、新定义下的立体几何问题(六大题型)(解析版)_2025年新高考资料_一轮复习_2025年高考数学一轮复习讲练测(新教材新高考,含2024高考真题)
拔高点突破04新情景、新定义下的立体几何问题(六大题型)(解析版)_2025年新高考资料_一轮复习_2025年高考数学一轮复习讲练测(新教材新高考,含2024高考真题)
拔高点突破04新情景、新定义下的立体几何问题(六大题型)(解析版)_2025年新高考资料_一轮复习_2025年高考数学一轮复习讲练测(新教材新高考,含2024高考真题)
拔高点突破04新情景、新定义下的立体几何问题(六大题型)(解析版)_2025年新高考资料_一轮复习_2025年高考数学一轮复习讲练测(新教材新高考,含2024高考真题)
拔高点突破04新情景、新定义下的立体几何问题(六大题型)(解析版)_2025年新高考资料_一轮复习_2025年高考数学一轮复习讲练测(新教材新高考,含2024高考真题)
拔高点突破04新情景、新定义下的立体几何问题(六大题型)(解析版)_2025年新高考资料_一轮复习_2025年高考数学一轮复习讲练测(新教材新高考,含2024高考真题)
拔高点突破04新情景、新定义下的立体几何问题(六大题型)(解析版)_2025年新高考资料_一轮复习_2025年高考数学一轮复习讲练测(新教材新高考,含2024高考真题)
拔高点突破04新情景、新定义下的立体几何问题(六大题型)(解析版)_2025年新高考资料_一轮复习_2025年高考数学一轮复习讲练测(新教材新高考,含2024高考真题)
拔高点突破04新情景、新定义下的立体几何问题(六大题型)(解析版)_2025年新高考资料_一轮复习_2025年高考数学一轮复习讲练测(新教材新高考,含2024高考真题)
拔高点突破04新情景、新定义下的立体几何问题(六大题型)(解析版)_2025年新高考资料_一轮复习_2025年高考数学一轮复习讲练测(新教材新高考,含2024高考真题)
拔高点突破04新情景、新定义下的立体几何问题(六大题型)(解析版)_2025年新高考资料_一轮复习_2025年高考数学一轮复习讲练测(新教材新高考,含2024高考真题)
拔高点突破04新情景、新定义下的立体几何问题(六大题型)(解析版)_2025年新高考资料_一轮复习_2025年高考数学一轮复习讲练测(新教材新高考,含2024高考真题)
拔高点突破04新情景、新定义下的立体几何问题(六大题型)(解析版)_2025年新高考资料_一轮复习_2025年高考数学一轮复习讲练测(新教材新高考,含2024高考真题)
拔高点突破04新情景、新定义下的立体几何问题(六大题型)(解析版)_2025年新高考资料_一轮复习_2025年高考数学一轮复习讲练测(新教材新高考,含2024高考真题)
拔高点突破04新情景、新定义下的立体几何问题(六大题型)(解析版)_2025年新高考资料_一轮复习_2025年高考数学一轮复习讲练测(新教材新高考,含2024高考真题)
拔高点突破04新情景、新定义下的立体几何问题(六大题型)(解析版)_2025年新高考资料_一轮复习_2025年高考数学一轮复习讲练测(新教材新高考,含2024高考真题)

文档信息

文档格式
docx
文档大小
5.770 MB
文档页数
54 页
上传时间
2026-04-15 09:25:44

文档内容

拔高点突破 04 新情景、新定义下的立体几何问题 目录 01 方法技巧与总结...............................................................................................................................2 02 题型归纳与总结...............................................................................................................................2 题型一:曲率问题................................................................................................................................2 题型二:斜坐标系与定义新运算........................................................................................................6 题型三:定义新概念............................................................................................................................8 题型四:空间平面方程与直线方程..................................................................................................11 题型五:三面角问题..........................................................................................................................14 题型六:数学文化..............................................................................................................................19 03 过关测试.........................................................................................................................................24面对新情景、新定义,首先要深入理解并分析这些新元素,将其与已知的立体几何知识相结合。明确 解题目标后,灵活运用基本定理和性质,如平行、垂直的判定与性质,以及空间角、距离的计算公式。在 解题过程中,合理构造辅助线和面,以揭示隐藏的空间关系,简化问题。对于复杂问题,可尝试建立空间 直角坐标系,利用向量法进行计算和证明。同时,要善于将空间问题平面化,通过截面、投影等方式转化 求解对象。最后,解题后要进行验证和反思,确保结论的正确性,并总结所使用的方法和技巧,以便在未 来遇到类似问题时能够迅速应对。 题型一:曲率问题 【典例1-1】(2024·黑龙江大庆·模拟预测)北京大兴国际机场的显著特点之一是各种弯曲空间的运用,在 数学上用曲率刻画空间弯曲性.规定:多面体的顶点的曲率等于 与多面体在该点的面角之和的差(多面 体的面的内角叫做多面体的面角,角度用弧度制),多面体面上非顶点的曲率均为零,多面体的总曲率等 于该多面体各项点的曲率之和.例如:正四面体在每个顶点有3个面角,每个面角是 ,所以正四面体在 每个顶点的曲率为 ,故其总曲率为 .已知多面体的顶点数V,棱数E,面数F满足 ,则八面体的总曲率为( ) A. B. C. D. 【答案】C 【解析】设每个面记为 边形, 则所有的面角和为 ,根据定义可得该类多面体的总曲率 . 故选:C. 【典例1-2】阅读数学材料:“设 为多面体 的一个顶点,定义多面体 在点 处的离散曲率为 ,其中 为多面体 的所有与点 相邻的顶点,且平面 ,平面 ,…,平面 和平面 为多面体 的所 有以 为公共点的面. ”已知在直四棱柱 中,底面 为菱形. . (角的运算均采 用弧度制) (1)若 ,求四棱柱 在顶点 处的离散曲率; (2)若四棱柱 在顶点 处的离散曲率为 ,求 与平面 的夹角的正弦值; (3)截取四面体 ,若该四面体在点 处的离散曲率为 与平面 交于点 ,证明: . 【解析】(1)若 ,则菱形 为正方形,即 , 因为 平面 平面 ,所以 , 所以直四棱柱 ,在顶点 处的离散曲率为 . (2)因为 平面 平面 ,所以 , 直四棱柱 在顶点 处的离散曲率为 , 则 ,即 是等边三角形, 为菱形 ,又直四棱柱 , 平面 平面 , , 又 平面 , 平面 , 设 ,则 即为 与平面 所成的角, 在 中, , ,所以 与平面 的夹角的正弦值为 . (3)在四面体 中 ,所以 , , 所以四面体 在点 处的离散曲率为 , 所以 ,所以 为等边三角形,所以 , 又在 中 ,所以 , 所以直四棱柱 为正方体, 因为 平面 平面 ,所以 , 又 平面 , 所以 平面 ,又 平面 ,所以 , 平面 平面 , , 又 平面 , 平面 , 又 平面 ,所以 , 又 平面 ,所以 平面 , 是三棱锥 的高,设正方体 的棱长为 , , , , . 【变式1-1】设P为多面体M的一个顶点,定义多面体M在点P处的离散曲率为 ,其中 ( ,2,…,k, )为多面体M的所 有与点P相邻的顶点,且平面 ,平面 ,…,平面 和平面 为多面体M的所有以P为公共点的面.已知在直四棱柱 中,底面ABCD为菱形,且 . (1)求直四棱柱 在各个顶点的离散曲率之和; (2)若直四棱柱 在点A处的离散曲率为x,直四棱柱 体积为 ,求函数 的解析式及单调区间. 【解析】(1)在直四棱柱 中, ,底面ABCD为菱形, 由离散曲率的定义知: 的离散曲率相等, 的离散曲率相等, 所以 处的曲率为 ,而 处的曲率为 ,又 , 所以 、 两处的曲率和为 , 故直四棱柱 在各个顶点的离散曲率之和 . (2)由题设, 处的曲率 ,故 , 所以直四棱柱底面面积为 , 故直四棱柱 高为1,故体积为 , 令 , ,可得 , ,即 , 上 递增; 令 , ,可得 , ,即 , 上 递减; 所以 增区间为 ,减区间为 , .题型二:斜坐标系与定义新运算 【典例2-1】(多选题)设 是空间中两两夹角均为 的三条数轴, 分别是与 轴正方向同向的单位向量,若 ,则把有序数对 叫作向量 在 坐标系 中的坐标,则下列结论正确的是( ) A.若向量 ,向量 ,则 B.若向量 ,向量 ,则 C.若向量 ,向量 ,则当且仅当 时, D.若向量 ,向量 ,向量 ,则二面角 的余弦值为 【答案】BD 【解析】对于A,若向量 , 向量 , 则 ,故A错误; 对于B,若向量 ,向量 , 此时在空间直角坐标系中 ,故B正确; 对于C,若向量 ,向量 , 当 时, ,则 , 此时 ,显然 不成立,故C错误; 对于D,若向量 ,向量 ,向量 , 则三棱锥 是棱长为1的正四面体,如图所示,取 中点 ,连接 ,在等边 中,易知 , , 则 即为二面角 的平面角, 在 中,由余弦定理得, , 所以二面角 的余弦值为 ,故D正确. 故选:BD 【典例2-2】(2024·高三·上海徐汇·期末)已知 , , ,定义一种运 算: ,已知四棱锥 中,底面 是一 个平行四边形, , , (1)试计算 的绝对值的值,并求证 面 ; (2)求四棱锥 的体积,说明 的绝对值的值与四棱锥 体积的关系,并由 此猜想向量这一运算 的绝对值的几何意义. 【解析】(1)由题意 = 48. , , ∴ ,即 . 是平面 内两相交直线, ∴ 平面 . (2)由题意 , , , , ∴ . ∴ , 猜想: 的绝对值表示以 为邻边的平行六面体的体积. 【变式2-1】已知 , , ,定义一种运算: ,在平行六面体 中, , , .(1)证明:平行六面体 是直四棱柱; (2)计算 ,并求该平行六面体的体积,说明 的值与平行六面体 体积的关系. 【解析】(1)证明:由题意 , , ∴ , ,即 , , ∵ , 是平面 内两相交直线,∴ 平面 , ∴平行六面体 是直四棱柱; (2) , 由题意 , , , ,所以 , , , ∴ . ∴ , 故 的值表示以 , , 为邻边的平行六面体的体积. 题型三:定义新概念 【典例3-1】(2024·全国·模拟预测)若干个能确定一个立体图形的体积的量称为该立体图形的“基本量”. 已知长方体 ,下列四组量中,一定能成为该长方体的“基本量”的是( ) A. , , 的长度 B. , , 的长度 C. , , 的长度 D. ,BD, 的长度 【答案】A 【解析】设 ,对于选项A:可得 ,据此可以解出 ,故A正确; 对于选项B:可得 ,据此无法解出 ,故B错误; 对于选项C:可得 ,据此无法解出 ,故C错误; 对于选项D:可得 ,据此无法解出 ,故D错误; 故选:A. 【典例3-2】(2024·河南·二模)等腰四面体是一种特殊的三棱锥,它的三组对棱分别相等.已知一个长方体 的体积为12,则用长方体其中的四个顶点构成的等腰四面体的体积为( ) A.3 B.4 C.6 D.8 【答案】B 【解析】如图所示,等腰四面体 的体积等于长方体体积减去四个三棱锥的体积. 设长方体长,宽,高分别为 , 则等腰四面体 的体积 . 故选:B. 【变式3-1】(2024·青海·模拟预测)如图,在正方体 中, , , , , , 分别为棱 , , , , , 的中点, 为 的中点,连接 , .对于空间任意两点 , ,若线段 上不存在也在线段 , 上的点,则称 , 两点“可视”,则与点 “可视”的点为 ( ) A. B. C. D. 【答案】D 【解析】如图,连接 , , ,由正方体的性质及 、 分别为棱 、 的中点, 易得 ,所以线段 与 相交, 与 相交,故A、B错误; 连接 , ,有 , ,故 , 所以线段 与 相交,C错误; 连接 ,直线 与 ,直线 与 均为异面直线,D正确. 故选:D. 【变式3-2】(2024·安徽合肥·三模)几何中常用表示 的测度,当 为曲线、平面图形和空间几何体时, 分别对应其长度、面积和体积.在 中, , , , 为 内部一动点(含边 界),在空间中,到点 的距离为 的点的轨迹为 ,则 等于( ) A. B. C. D. 【答案】D 【解析】空间中,到点 的距离为 的点的轨迹所构成的空间几何体在垂直于平面 的角度看,如下图 所示:其中: , 和 区域内的几何体为底面半径为 的半圆柱; , , 区域内的几 何体为被两平面所截得的部分球体,球心分别为 ; 区域内的几何体是高为 的直三棱柱. 四边形 和 为矩形, , , 同理可得: , , , , , 区域内的几何体合成一个完整的,半径为 的球, 则 , , 区域内的几何体的体积之和 ; 又 , 和 区域内的几何体的体积之和 ; 区域内的直三棱 柱体积 , . 故选:D. 题型四:空间平面方程与直线方程 【典例4-1】(1)在空间直角坐标系中,已知平面 的法向量 ,且平面 经过点 ,设点 是平面内 任意一点.求证: . (2)我们称(1)中结论 为平面 的点法式方程,若平面 过点 ,求平面 的点法式方程. 【解析】(1) 平面 经过点 ,点 是平面内 任意一点. , 为平面 的法向量(2)设平面 的法向量为 , , 则 ,令 则 , 平面 的法向量为 由(1)可知,平面 的点法式方程为: 即 【典例4-2】空间直角坐标系 中,经过点 ,且法向量为 的平面方程为 ,经过点 且一个方向向量为 的直线 的方程为 ,阅读上面的材料并解决下面问题:现给出平面 的方程为 ,经过 的直线 的方程为 ,则直线 与平面 所成角的正弦值为( ) A. B. C. D. 【答案】B 【解析】根据题设给出的材料可得平面的法向量和直线的方向向量,利用公式可求直线 与平面 所成角的 正弦值.因为平面 的方程为 ,故其法向量为 , 因为直线 的方程为 ,故其方向向量为 , 故直线 与平面 所成角的正弦值为 , 故选:B. 【变式4-1】三个“臭皮匠”在阅读一本材料时发现原来空间直线与平面也有方程.即过点 且 一个法向量为 的平面 的方程为 ,过点 且方向向量 为 的直线l的方程为 .三个“臭皮匠”利用这一结论编了一道题: “已知平面 的方程为 ,直线l是两个平面 与 的交线,则直线l与平面 所成的角的正弦值是多少?”想着这次可以难住“诸葛亮”了.谁知“诸葛亮”很快就算出了答案.请 问答案是 . 【答案】 【解析】因为平面 的方程为 ,故其法向量可取为 , 平面 的法向量可取为 ,平面 的法向量可取为 , 直线l是两个平面 与 的交线,设其方向向量为 , 则 ,令 ,则 , 故设直线l与平面 所成的角为 , 则 , 故答案为: 【变式4-2】在空间直角坐标系中,定义:平面 的一般方程为 ,点 到平面 的距离 ,则在底面边长与高都为2的正四棱锥中,底面中心O到侧面的距离等于 . 【答案】 【解析】如图,以底面中心 为原点建立空间直角坐标系 , 则 , ,1, , ,1, , ,0, , 设平面 的方程为 , 将 坐标代入计算得 解得 , , , , 即 , . 故答案为:题型五:三面角问题 【典例5-1】类比于二维平面中的余弦定理,有三维空间中的三面角余弦定理;如图1,由射线 , , 构成的三面角 , , , ,二面角 的大小为 ,则 . (1)当 、 时,证明以上三面角余弦定理; (2)如图2,平行六面体 中,平面 平面 , , , ①求 的余弦值; ②在直线 上是否存在点 ,使 平面 ?若存在,求出点 的位置;若不存在,说明理由. 【解析】(1)证明:如图,过射线 上一点 作 交 于 点, 作 交 于 点,连接, 则 是二面角 的平面角. 在 中和 中分别用余弦定理,得 , ,两式相减得 , ∴ , 两边同除以 ,得 . (2)①由平面 平面 ,知 , ∴由(1)得 , ∵ , , ∴ . ②在直线 上存在点 ,使 平面 . 连结 ,延长 至 ,使 ,连结 , 在棱柱 中, , , ∴ ,∴四边形 为平行四边形, ∴ . 在四边形 中, , ∴四边形 为平行四边形, ∴ , ∴ , 又 平面 , 平面 , ∴ 平面 . ∴当点 在 的延长线上,且使 时, 平面 . 【典例5-2】类比思想在数学中极为重要,例如类比于二维平面内的余弦定理,有三维空间中的三面角余 弦定理:如图1,由射线 , , 构成的三面角 ,记 , , , 二面角 的大小为 ,则 .如图2,四棱柱 中, 为菱形, ,A A =2√3, ,且 点在底面 内的射影为 的中点 . 1(1)求 的值; (2)直线 与平面 内任意一条直线夹角为 ,证明: ; (3)过点 作平面 ,使平面 平面 ,且与直线 相交于点 ,若 ,求 值. 【解析】(1)连接 ,由已知得 平面 , , 又 平面 ,所以平面 平面 , 所以二面角 的大小为 ,因为 为菱形, , 所以 ,又 ,所以 , 在 中, , 由三面角余弦定理可得 . (2)依题意可得 ,设平面 内任一条直线为 , 若 过 点时,记 与 的夹角为 ( ), 则 ,因为 , 所以 , 又 ,所以 ; 若 不过 点时,过 点作 使得 ,记 与 的夹角为 ( ), 则 ,因为 , 所以 , 又 ,所以 ;综上可得 . (3)连接 , , 因为 , 平面 , 平面 ,所以 平面 , 同理可证 平面 , 又 , 平面 , 所以平面 平面 , 因为平面 平面 , 所以平面 平面 , 又平面 平面 ,又平面 平面 , 所以 ,又 即 , 所以四边形 为平行四边形, 所以 ,显然 在 的延长线上, 因为 ,所以 , 所以 ,即 . 【变式5-1】(2024·高三·河北·期末)由空间一点 出发不共面的三条射线 , , 及相邻两射线 所在平面构成的几何图形叫三面角,记为 .其中 叫做三面角的顶点,面 , , 叫 做三面角的面, , , 叫做三面角的三个面角,分别记为 , , ,二面角 、 、 叫做三面角的二面角,设二面角 的平面角大小为 ,则一定成立的是() A. B. C. D. 【答案】A 【解析】如图, , , 在 上取一点 ,过 在平面 内作 ,交 于 , 过 在平面 内作 ,交 于 ,连接 , 则 是二面角 的平面角,即 . 设 ,在直角三角形 中, , 在直角三角形 中, , , 在 中, , 在 中, , 即为 , 所以 . 故选:A.题型六:数学文化 【典例6-1】我国南北朝时期的著名数学家祖暅原提出了祖暅原理:“幂势既同,则积不容异.”意思是,夹 在两个平行平面之间的两个几何体,被平行于这两个平面的任意一个平面所截,若截面面积都相等,则这 两个几何体的体积相等.运用祖暅原理计算球的体积时,构造一个底面半径和高都与球的半径相等的圆柱, 与半球(如图①)放置在同一平面上,然后在圆柱内挖去一个以圆柱下底面圆心为顶点,圆柱上底面为底 面的圆锥后得到一新几何体(如图②),用任何一个平行于底面的平面去截它们时,可证得所截得的两个 截面面积相等,由此可证明新几何体与半球体积相等,即 .现将椭圆 绕 轴旋转一周后得一橄榄状的几何体(如图③),类比上述方法,运用祖暅原理可求得其体 积等于( ) A. B. C. D. 【答案】D 【解析】构造一个底面半径为 ,高为 的圆柱,通过计算可得高相等时截面面积相等,根据祖暅原理可 得橄榄球形几何体的体积的一半等于圆柱的体积减去圆锥的体积.构造一个底面半径为 ,高为 的圆柱, 在圆柱中挖去一个以圆柱下底面圆心为顶点的圆锥, 则当截面与顶点距离为 时,小圆锥底面半径为 , 则 , , 故截面面积为: , 把 代入 , 即 ,解得: , 橄榄球形几何体的截面面积为 , 由祖暅原理可得橄榄球形几何体的体积为: . 圆柱 圆锥 故选:D. 【典例6-2】胡夫金字塔的形状为四棱锥,1859年,英国作家约翰·泰勒(JohnTaylor,1781-1846)在其 《大金字塔》一书中提出:古埃及人在建造胡夫金字塔时利用黄金比例 ,泰勒还引用了古 希腊历史学家希罗多德的记载:胡夫金字塔的每一个侧面的面积都等于金字塔高的平方.如图,若 , 则由勾股定理, ,即 ,因此可求得 为黄金数,已知四棱锥底面是边长约为856 英尺的正方形 ,顶点 的投影在底面中心 , 为 中点,根据以上信息, 的长度(单位: 英尺)约为( ). A.611.6 B.481.4 C.692.5 D.512.4 【答案】C 【解析】由 和 可得 , 故选:C 【变式6-1】球面三角学是球面几何学的一部分,主要研究球面多边形(特别是三角形)的角、边、面积等问题, 其在航海、航空、卫星定位等方面都有广泛的应用.定义:球的直径的两个端点称为球的一对对径点;过球心 的平面与球面的交线称为该球的大圆;对于球面上不在同一个大圆上的点 , , ,过任意两点的大圆 上的劣弧 , , 所组成的图形称为球面 ,记其面积为 .易知:球的任意两个大圆均可交于一对对径点,如图1的 和 ;若球面上 , , 的对径点分别为 , , ,则球面 与球面 全等.如图2,已知球 的半径为 ,圆弧 和 所在平面交成的锐二面角 的大 小为 ,圆弧 和 所在平面、圆弧 和 所在平面交成的锐二面角的大小分别为 , .记 . (1)请写出 , , 的值,并猜测函数 的表达式; (2)求 (用 , , , 表示). 【解析】(1) , , . 猜测 . (2) 因为 , 所以 , 即 . 【变式6-2】球面三角学是研究球面三角形的边、角关系的一门学科.如图,球O的半径为R.A、B、C 为球面上三点,劣弧BC的弧长记为a,设 表示以O为圆心,且过B、C的圆,同理,圆 的劣弧 AC、AB的弧长分别记为b,c,曲面ABC(阴影部分)叫做球面三角形.若设二面角 分别为α,β,γ,则球面三角形的面积为 .(1)若平面OAB、平面OAC、平面OBC两两垂直,求球面三角形ABC的面积; (2)若平面三角形ABC为直角三角形, ,设 .则: ①求证: ; ②延长AO与球O交于点D,若直线DA,DC与平面ABC所成的角分别为 , ,S 为AC中点,T为BC中点,设平面OBC与平面EST的夹角为θ,求sinθ的最小值,及此时平面AEC截球 O的面积. 【解析】(1)若平面OAB,OAC,OBC两两垂直,有 , 所以球面三角形ABC面积为 . (2)①证明:由余弦定理有: ,且 , 消掉 ,可得 ; ②由AD是球的直径,则 , 且 , , 平面BCD, 所以 平面BCD,且 平面BCD,则 , 且 , 平面ABC,可得 平面ABC, 由直线DA,DC与平面ABC所成的角分别为 ,所以 , 不妨先令 ,则 , 由 , , , 以C为坐标原点,以CB,CA所在直线为x,y轴,过点C作BD的平行线为z轴,建立如图空间直角坐标 系,设 ,则 , 可得 , , 则 , 设平面OBC法向量⃗m=(x ,y ,z ),则 , 1 1 1 取 ,则 ,可得 , 设平面EST法向量⃗n=(x ,y ,z ),则 , 2 2 2 取 ,则 ,可得 , 要使sinθ取最小值时,则 取最大值, 因为 , 令 ,则 , 可得 , 当且仅当 取等. 则 取最大值 , 为最小值,此时点 ,可得 , , 设平面AEC中的法向量 ,则 , 取 ,则 ,可得 , 可得球心O到平面AEC距离为 , 设平面AEC截球O圆半径为r,则 , 所以截面圆面积为 . 1.设 、 、…、 为平面 内的 个点,在平面 内的所有点中,若点 到 、 、…、 点的距离 之和最小,则称点 为 、 、…、 点的一个“中位点”,有下列命题:① 、 、 三个点共线, 在线段 上,则 是 、 、 的中位点;②直角三角形斜边的中点是该直线三角形三个顶点的中位点; ③若四个点 、 、 、 共线,则它们的中位点存在且唯一;④梯形对角线的交点是该梯形四个顶点的 唯一中位点;其中的真命题是( ) A.②④ B.①② C.①④ D.①③④ 【答案】C 【解析】①若三个点 共线, 在线段 上,根据两点之间线段最短, 则 是 的中位点,正确; ②举一个反例,如边长为 的直角三角形 ,此直角三角形的斜边的中点到三个顶点的距离之和为 ,而直角顶点到三个顶点的距离之和为7, ∴直角三角形斜边的中点不是该直角三角形三个顶点的中位点;故错误; ③若四个点 共线,则它们的中位点是中间两点连线段上的任意一个点,故它们的中位点存在但不唯 一;故错误; ④如图,在梯形 中,对角线的交点 是任意一点,则根据三角形两边之和大于第三边得 ,∴梯形对角线的交点是该梯形四个顶点的唯一中位点.正确. 故①④正确. 故选:C 2.(多选题)(2024·江西·三模)球面三角学是研究球面三角形的边、角关系的一门学科.如图,球 的 半径为R,A,B, 为球面上三点,劣弧BC的弧长记为 ,设 表示以 为圆心,且过B,C的圆,同 理,圆 的劣弧 的弧长分别记为 ,曲面 (阴影部分)叫做曲面三角形, ,则 称其为曲面等边三角形,线段OA,OB,OC与曲面 围成的封闭几何体叫做球面三棱锥,记为球面 .设 ,则下列结论正确的是( ) A.若平面 是面积为 的等边三角形,则 B.若 ,则 C.若 ,则球面 的体积 D.若平面 为直角三角形,且 ,则 【答案】BC 【解析】对于A,因等边三角形 的面积为 ,则 , 又 ,故 则 ,故A错误; 对于B,由 可得 ,故 ,即B正确; 对于C,由 可得, 故 .由正弦定理, 的外接圆半径为 ,点 到平面ABC的距离 , 则三棱锥 的体积 , 而球面 的体积 ,故C正确; 对于D,由余弦定理可知 由 可得, , 即 ,化简得, . 取 ,则 ,则 ,故D错误. 故选:BC 3.(多选题)设 为多面体 的一个顶点,定义多面体 在点 处的离散曲率为 ,其中 , 为多面体 的所有与点 相邻的顶点,且平面 ,平面 ,平面 和平面 为多面体 的所有以 为公共 点的面.已知在直四棱柱 中,四边形 为菱形, ,则下列说法正确的是 ( ) A.四棱柱 在其各顶点处的离散曲率都相等 B.若 ,则四棱柱 在顶点 处的离散曲率为 C.若四面体 在点 处的离散曲率为 ,则 平面 D.若四棱柱 在顶点 处的离散曲率为 ,则直线 与平面 所成的角的正弦值 为 【答案】CD 【解析】对于A.当直四棱柱 的底面为正方形时,其在各顶点处的离散曲率都相等,当直 四棱柱 的底面不为正方形时,其在同一底面且相邻的两个顶点处的离散曲率不相等,故A 错误;对于B.若 ,则菱形 为正方形, 因为 平面 , , 平面 , 所以 , , 所以直四棱柱 在顶点 处的离散曲率为 ,故 错误; 对于C.在四面体 中 , , ,所以 , 所以四面体 在点 处的离散曲率为 ,解得 , 易知 ,所以 ,所以 , 所以直四棱柱 为正方体, 因为 平面 平面 , 所以 , 又 , , 平面 , 所以 平面 ,又 平面 , 所以 ,同理 , 又 , , 平面 , 所以 平面 ,故 正确; 对于D.直四棱柱 在顶点 处的离散曲率为 , 则 ,即 是等边三角形, 设 ,则 即为 与平面 所成的角, ,故 正确; 故选:CD. 4.(多选题)所有顶点都在两个平行平面内的多面体叫作拟柱体,拟柱体的侧面是三角形、梯形或平行四边形,其体积是将上下底面面积、中截面(与上下底面距离相等的截面)面积的4倍都相加再乘以高(上下 底面的距离)的 ,在拟柱体 中,平面 //平面 , 分别是 A B C D 1 1 1 1 的中点, 为四边形 内一点,设四边形A B C D 的面积 的面积为 ,面 1 1 1 1 截得拟柱体的截面积为 ,平面 A B C D 与平面 的距离为 ,下列说法中正确的有( ) 1 1 1 1 A.直线 与 是异面直线 B.四边形 的面积是 的面积的4倍 C.挖去四棱锥 与三棱锥 后,拟柱体剩余部分的体积为 D.拟柱体 的体积为 【答案】ABC 【解析】A:面 面 ,面 面 ,面 面 , ,即 共面, 不在面 上,故 不共面, 所以直线 与 是异面直线,正确; B:设 到 的距离为 , 到 距离为 , 同A分析易知 ,所以四边形 是梯形, 因为 分别是 的中点,所以 . 所以 ,正确; D:由题意知:拟柱体体积为 ,错误; C : 挖 去 四 棱 锥 与 三 棱 锥 后 , 拟 柱 体 剩 余 部 分 的 体 积 为 ,正确; 故选:ABC 5.(多选题)如果一个凸n面体共有m个面是直角三角形,那么我们称这个凸n面体的直度为 ,则( ) A.三棱锥的直度的最大值为1 B.直度为 的三棱锥只有一种 C.四棱锥的直度的最大值为1 D.四棱锥的直度的最大值为 【答案】AD 【解析】如图,借助于正方体模型,图1中三棱锥 的四个面都是直角三角形, 其直度为1,A正确; 图1中三棱锥 ,三个面 都是直角三角形, 面 为正三角形,其直度为 ; 图2中三棱锥 ,三个面 都是直角三角形, 面 为正三角形,其直度为 ,故直度为 的三棱锥不止一种,B错误; 四棱锥的共有5个面,底面为四边形,故其直度不可能为1,C错误; 图3中的四棱锥 的四个侧面都是直角三角形,底面为正方形, 故四棱锥的直度的最大值为 ,D正确, 故选:AD 6.(多选题)(2024·安徽滁州·模拟预测)阅读数学材料:“设 为多面体 的一个顶点,定义多面体 在点 处的离散曲率为 ,其中 为多面体 的所有与点 相邻的顶点,且平面 ,平面 , ,平面 和平面 为多 面体 的所有以 为公共点的面 ”解答问题:已知在直四棱柱 中,底面 为菱形, ,则下列说法正确的是( ) A.四棱柱 在其各顶点处的离散曲率都相等 B.若 ,则四棱柱 在顶点 处的离散曲率为C.若四面体 在点 处的离散曲率为 ,则 平面 D.若四棱柱 在顶点 处的离散曲率为 ,则 与平面 的夹角为 【答案】BC 【解析】A:当直四棱柱 的底面为正方形时,其在各顶点处的离散曲率都相等, 当直四棱柱 的底面不为正方形时,其在同一底面且相邻的两个顶点处的离散曲率不相等, 故A错误; B:若 ,则菱形 为正方形, 因为 平面 , 平面 ,所以 , , 所以直四棱柱 在顶点 处的离散曲率为 ,故B正确; C:在四面体 中 , , ,所以 , 所以四面体 在点 处的离散曲率为 ,解得 , 易知 ,所以 ,所以 , 所以直四棱柱 为正方体, 因为 平面 , 平面 , 所以 ,又 平面 , 所以 平面 ,又 平面 ,所以 ,同理 , 又 平面 ,所以 平面 ,故C正确, D:直四棱柱 在顶点 处的离散曲率为 , 则 ,即 是等边三角形,设 ,则 即为 与平面 的所成角, ,故D错误; 故选:BC. 7.(多选题)(2024·全国·模拟预测)设 为多面体 的一个顶点,定义多面体 在点 处的离散曲率 为 ,其中 为多面体 的所有与点 相邻的顶点,且平面 ,平面 ,…,平面 和平面 为多面体 的所有以 为公共 点的面.已知在直四棱柱 中,底面 为菱形, ,则下列结论正确的是 ( ) A.直四棱柱 在其各顶点处的离散曲率都相等 B.若 ,则直四棱柱 在顶点 处的离散曲率为 C.若 ,则直四棱柱 在顶点 处的离散曲率为 D.若四面体 在点 处的离散曲率为 ,则 平面 【答案】BD 【解析】A项,当直四棱柱 的底面为正方形时,其在各顶点处的离散曲率都相等,当直四 棱柱 的底面不为正方形时,其在同一底面且相邻的两个顶点处的离散曲率不相等,故选项 A错误; B项,若 ,则菱形 为正方形,因为 平面 ,所以 , ,所以直 四棱柱 在顶点 处的离散曲率为 ,选项B正确; C项,若 ,则 ,又 , ,所以直四棱柱 在顶点 处的离 散曲率为 ,选项C错误; D项,在四面体 中, , , ,所以 ,所以四面 体 在点 处的离散曲率为 ,解得 ,易知 , 所以 ,所以 ,所以直四棱柱 为正方体,结合正方体的结构特征可知 平面 ,选项D正确. 故选:BD8.将 个棱长为1的正方体如图放置,其中上层正方体下底面的顶点与下层正方体上底面棱 的中点重合.设最下方正方体的下底面 的中心为 ,过 的直线 与平面 垂直,以 为顶点, 为对称轴的抛物线 可以被完全放入立体图形中.若 ,则 的最小值为 ;若 有解,则 的最大值为 . 【答案】 4 2 【解析】抛物线的一部分 可以被完全放入立体图形中, 当且仅当对任意的 ,在 时恒有 成立. 即对任意的 ,有 , ,此即 , . 这等价于 ,且对任意的 ,有 . 由于当 时必有 ,故条件等价于 ,且当 时,必有 . 这等价于 ,且当 时,必有 ,即 ,令 即 ,且当 时,有 .当 时,由于 关于 递增, 故条件等价于 ,且 . 回到原题. 当 时,条件等价于 ,所以 的最小值为 ; 若 有解,则等价于 或 ,即 ,解得 . 结合 是正整数,知 的最大值为 . 故答案为:4;2. 9.设P为多面体M的一个顶点,定义多面体M在点P处的离散曲率为: ,其中 (i=1,2,…,k, )为多面体M的所 有与点P相邻的顶点,且平面 ,平面 ,…,平面 和平面 遍历多面体M的所有以 P为公共点的面. (1)任取正四面体的一个顶点,在该点处的离散曲率为 ; (2)已知长方体 , , ,点P为底面 内的一个动点,则四 A B C D 1 1 1 1 棱锥P-ABCD在点P处的离散曲率的最小值为 . 【答案】 【解析】分析:(1)根据正四面体的结构特征和曲率的计算公式,即可求解; (2)根据曲率的计算公式,得出即点P为正方形A B C D 的中心时,曲率取得最大值,即可求解. 1 1 1 1 解析:(1)由题意,可知正四面体的所有面都是正三角形,∴取正四面体的一个顶点,该点处的离散曲 率为 ; (2)解法一:如图1,设点P在底面ABCD内的射影为O,棱AB、CD的中点为E、F.在 APB中,∵AB=1,∴ . △ 又 , ∴ . 同理, . ∴ . 又 , ∴ . 又 , ∴ ,又∠APB, ,∴ , 即 .同理可证: ,∴ ,∴四棱锥P-ABCD在点P处 的离散曲率 (当点P为上底中心时取等号). 解法二:如图2,过点P作 的平行线交 , 于M,N,设点 为线段MN的中点. 由米勒定理知: , ,过 作与平面 平行的截面 ,再作 底 面ABCD于H,设 ,则 , 记 ,则 . 又 ,∴ ,记 ,同理可得 , ∴ , 设 ,则 , . 设 ,则 , ∴ ,故 . 又 ,∴ ,故 , 于是可得 .以下略. 10.(2024·高三·云南保山·期末)刻画空间的弯曲性是几何研究的重要内容,在数学上用曲率刻画空间弯 曲性.规定:多面体的顶点的曲率等于 与多面体在该点的面角之和的差(多面体的面的内角叫做多面体 的面角,角度用弧度制),多面体面上非顶点的曲率均为零,多面体的总曲率等于该多面体各顶点的曲率之和.例如:正四面体在每个顶点有3个面角,每个面角是 ,所以正四面体在每个顶点的曲率为 ,故其总曲率为 .根据曲率的定义,正方体在每个顶点的曲率为 ,四棱锥的总曲率为 . 【答案】 / 【解析】根据曲率的定义可得正方体在每个顶点的曲率为 ; 由定义可得多面体的总曲率 顶点数 各面内角和, 因为四棱锥有5个顶点,5个面,分别为4个三角形和1个四边形, 所以任意四棱锥的总曲率为 . 故答案为: ; . 11.18世纪英国数学家辛卜森运用定积分,推导出了现在中学数学教材中柱、锥、球、台等几何体 的统 一体积公式 )(其中 分别为 的高、上底面面积、中截面面积、下底面面积), 我们也称为“万能求积公式”.例如,已知球的半径为 ,可得该球的体积为 ;已知正四棱锥的底面边长为 ,高为 ,可得该正四棱锥的体积为 .类似地,运用该公式求解下列问题:如图,已知球 的表面积为36πcm2, 若用距离球心 都为 的两个平行平面去截球 ,则夹在这两个平行平面之间的几何体 的体积为 . 【答案】 【解析】如图所示,设上下截面小圆的圆心分别为 ,上底面截面小圆上一点 ,连接 , 因为球 的表面积为 ,解得 ,所以 , 又因为 且 , 所以截面小圆半径 , 根据“万能求积公式”可得,所求几何体的体积为:. 故答案为: . 12.设P为多面体M的一个顶点,定义多面体M在点P处的离散曲率为 ,其中 为多面体M的所有 与点P相邻的顶点,且平面 ,平面 ,…,平面 和平面 为多面体M的所有以P为 公共点的面.已知在直四棱柱 中,底面ABCD为菱形, . ①直四棱柱 在其各顶点处的离散曲率都相等; ②若 ,则直四棱柱 在顶点A处的离散曲率为 ; ③若 ,则直四棱柱 在顶点A处的离散曲率为 ; ④若四面体 在点 处的离散曲率为 ,则 平面 . 上述说法正确的有 (填写序号) 【答案】②④ 【解析】对于①,当直四棱柱 的底面为正方形时, 其在各顶点处的离散曲率都相等,当直四棱柱 的底面不为正方形时,其在同一底面且相邻 的两个顶点处的离散曲率不相等,故①错误; 对于②,若 ,则菱形 为正方形, 因为 平面 , 平面 , 所以 , , 所以直四棱柱 在顶点 处的离散曲率为 ,故②正确; 对于③,若 ,则 , 又 , , 所以直四棱柱 在顶点 处的离散曲率为 ,故③错误;对于④,在四面体 中, , , , 所以 , 所以四面体 在点 处的离散曲率为 , 解得 ,易知 , 所以 ,所以 , 所以直四棱柱 为正方体, 因为 平面 , 平面 , 所以 , 又 平面 , 所以 平面 , 又 平面 ,所以 , 同理 , 又 平面 , 所以 平面 ,故④正确, 所以正确的有②④. 故答案为:②④. 13.(2024·江西南昌·三模)球面几何学是几何学的一个重要分支,在航海、航空、卫星定位等面都有广 泛的应用,如图,A,B,C是球面上不同的大圆(大圆是过球心的平面与球面的交线)上的三点,经过这 三个点中任意两点的大圆的劣弧分别为 ,由这三条劣弧围成的图形称为球面 .已知地球 半径为R,北极为点N,P,Q是地球表面上的两点若P,Q在赤道上,且 ,则球面 的面 积为 ;若 ,则球面 的面积为 .【答案】 【解析】现证明一个结论:如果确定球面三角形的三个大圆所成的二面角分别为 ,则球面三角形的 面积为 ,其中 为球的半径. 证明:如图,设 为 关于球心的对称点,则 均为球面上的点, 且 均为直径,我们用 表示球面三角形的面积. 设 , , , 则 , 同理 , . 所以 , 而 , 故 , 又 , 故 .若P,Q在赤道上,因为 为极点且 ,故 , 故确定球面三角形的三个大圆所成的二面角均为 ,故球面面积为 . 若 ,则 , 同理 . 过 作 的垂线,垂足为 ,连接 ,则 , 因为 ,故 , 故 ,而 ,故 , 故 且 故 ,而 为三角形内角, 故 ,故 的大小为 , 故根据对称性可知确定球面三角形的三个大圆所成的二面角均为 , 故球面三角形的面积为 .故答案为: , . 14.北京大兴国际机场的显著特点之一是各种弯曲空间的运用.刻画空间的弯曲性是几何研究的重要内容. 用曲率刻画空间弯曲性,规定:多面体顶点的曲率等于 与多面体在该点的面角之和的差(多面体的面的 内角叫做多面体的面角,角度用弧度制),多面体面上非顶点的曲率均为零,多面体的总曲率等于该多面 体各顶点的曲率之和,例如:正四面体在每个顶点有3个面角,每个面角是 ,所以正四面体在各顶点的 曲率为 ,故其总曲率为 ,则四棱锥的总曲率为 . 【答案】 【解析】由图可知四棱锥有5个顶点,5个面,其中4个三角形,1个四边形,所以四棱锥的表面内角和由 4个为三角形,1个为四边形组成,所以面角和为 ,故总曲率为 . 故答案为: . 15.(2024·山东日照·一模)若点 在平面 外,过点 作面 的垂线,则称垂足 为点 在平面 内的正投影,记为 .如图,在棱长为1的正方体 中,记平面 为 ,平面 为 ,点 是棱 上一动点(与 , 不重合) , .给出下列三个 结论: ①线段 长度的取值范围是 ; ②存在点 使得 平面 ; ③存在点 使得 ; 其中正确结论的序号是 . 【答案】①② 【解析】取 的中点 ,过点 在平面 内作 于 ,再过点 在平面 内作 于 , 在正方体 中, 平面 , 平面 , , 又 , , 平面 ,即 , , 同理可证 , , 则 , , 以点 为坐标原点, 、 、 所在直线分别为 轴、 轴、 轴建立空间直角坐标系 ,如 图:设 , 则 , , , , , 对于命题①, , ,则 , 所以 ,所以 ,命题①正确; 对于命题②, ,则平面 的一个法向量为 , ,令 ,解得 , 所以存在点 使得 平面 ,命题②正确; 对于命题③, , 令 ,整理得 ,该方程无解, 所以不存在点 使得 ,命题③错误. 故答案为:①②. 16.(2024·高三·浙江·开学考试)已知 是棱长为 的正四面体 ,设 的四个顶点到平面 的距 离所构成的集合为 ,若 中元素的个数为 ,则称 为 的 阶等距平面, 为 的 阶等距集. (1)若 为 的1阶等距平面且1阶等距集为 ,求 的所有可能值以及相应的 的个数; (2)已知 为 的4阶等距平面,且点 与点 分别位于 的两侧.若 的4阶等距集为 , 其中点 到 的距离为 ,求平面 与 夹角的余弦值. 【解析】(1)①情形一:分别取 的中点 , 由中位线性质可知 , 此时平面 为 的一个1阶等距平面,为正四面体高的一半,等于 . 由于正四面体有4个面,这样的1阶等距平面 平行于其中一个面,有4种情况; ②情形二:分别取 的中点 将此正四面体放置到棱长为1的正方体中, 则 为正方体棱长的一半,等于 . 由于正四面体的六条棱中有3组对棱互为异面直线, 这样的1阶等距平面 平行于其中一组异面直线,有3种情况. 综上,当 的值为 时, 有4个;当 的值为 时, 有3个. (2)在线段 上分别取一点 , 使得 ,则平面 即为平面 . 如图,取 中点 ,连接 ,以 为坐标原点, 所在直线分别为 轴,过点 且与平面 垂直的直线为 轴建立空间直角坐标系, ,设 , ,设平面 法向量为⃗m=(x,y,z) 所以 ,即 , 所以 , 又平面 的法向量为 , 设平面 与 夹角为 所以 , 所以平面 与 夹角余弦值为 . 17.(2024·安徽合肥·模拟预测)已知顶点为S的圆锥面(以下简称圆锥S)与不经过顶点S的平面α相交, 记交线为C,圆锥S的轴线l与平面α所成角θ是圆锥S顶角(圆S轴截面上两条母线所成角θ的一半,为 探究曲线C的形状,我们构建球T,使球T与圆锥S和平面α都相切,记球T与平面α的切点为F,直线l 与平面α交点为A,直线AF与圆锥S交点为O,圆锥S的母线OS与球T的切点为M, , . (1)求证:平面SOA⊥平面α,并指出a,b, 关系式; (2)求证:曲线C是抛物线. 【解析】(1)∵平面AOS截球T的截面圆与直线AO相切于F, ∴ , 记P是平面 内不在直线OA上的点,平面TFP截球T的截面圆与直线FP相切于点F, ∴ , ∵平面 内直线AO,FP相交于点F, ∴TF⊥平面 ,∵直线TF 平面AOS, ∴平面AOS⊥平面 , ∴ .连TO,TM, ∴ , , ∴球T的半径 且 , ∴ . (2)在平面AOS内圆锥的另一条母线与球T的切点记为N点 ∵ , ∴ 以O为坐标原点,OA所在直线为x轴,过O与TF平行的直线为z轴建立空间直角坐标系,如图. ∵OM,OF与球T相切, ∴ , ∴ , , 设交线C上任意点 ,记圆锥S的母线SP与球T相切于E. ∵PF与球T相切于点F, ∴ , , ∴ , 即 (1), 两边平方整理得: (2), 两边平方整理得: (3), 易知:(3) (2) (1), ∴交线C在坐标平面xOy中方程为 ,∴交线C是以F为焦点,O为顶点的抛物线. 18.(2024·全国·模拟预测)蜂房是自然界最神奇的“建筑”之一,如图1所示.蜂房结构是由正六棱柱 截去三个相等的三棱锥 , , ,再分别以 , , 为轴将 , , 分别向上翻转 ,使 , , 三点重合为点 所围成的曲顶多面体(下底面开口),如图2所 示.蜂房曲顶空间的弯曲度可用曲率来刻画,定义其度量值等于蜂房顶端三个菱形的各个顶点的曲率之和, 而每一顶点的曲率规定等于 减去蜂房多面体在该点的各个面角之和(多面体的面角是多面体的面的内 角,用弧度制表示). (1)求蜂房曲顶空间的弯曲度; (2)若正六棱柱的侧面积一定,当蜂房表面积最小时,求其顶点 的曲率的余弦值. 【解析】(1)蜂房曲顶空间的弯曲度为顶端三个菱形的7个顶点的曲率之和,根据定义其度量值等于 减去三个菱形的内角和 ,再减去6个直角梯形中的两个非直角内角和 , 即蜂房曲顶空间的弯曲度为 . (2)设底面正六边形的边长为1, 如图所示,连接AC,SH,则 , 设点 在上底面ABCDEF的射影为O,则 , 令 ,则 , 菱形SAHC的面积 , 的面积为 ,令正六棱柱的侧面积为定值 时, 蜂房的表面积为 , ,令 得到 , 经研究函数 的单调性, 得到函数 在 处取得极小值, 此时 , 在 中,令 , 由余弦定理得 , 顶点 的曲率为 , 其余弦值为 . 19.设P为多面体M的一个顶点,定义多面体M在点P处的离散曲率为 ,其中Q(i=1,2,…,k,k≥3)为多面体M的所有 i 与点P相邻的顶点,且平面QPQ,平面QPQ,…,平面Q PQ 和平面QPQ 遍历多面体M的所有以P 1 2 2 3 k﹣1 k k 1 为公共点的面. (1)如图1,已知长方体ABC D﹣ABCD,AB=BC=1, ,点P为底面ABC D 内的一个动点, 1 1 1 1 1 1 1 1 则求四棱锥P﹣ABCD在点P处的离散曲率的最小值; (2)图2为对某个女孩面部识别过程中的三角剖分结果,所谓三角剖分,就是先在面部取若干采样点,然 后用短小的直线段连接相邻三个采样点形成三角形网格.区域α和区域β中点的离散曲率的平均值更大的是哪个区域?(确定“区域α”还是“区域β”) 【解析】(1)计∠QPQ+∠QPQ+…+∠QnPQ =θ,则离散曲率为1﹣ ,θ越大离散曲率越小. 1 2 2 3 1 P在底面ABCD的投影记为H,通过直观想象,当H点在平面ABCD中逐渐远离正方形ABCD的中心,以 至于到无穷远时,θ逐渐减小以至于趋近于0.所以当H点正好位于正方形ABCD的中心时,θ最大,离散 曲率最小.此时HA=HB= =PH,所以PA=PB=1=AB,所以∠APB=60°,θ= , 离散曲率为1﹣ × = ,所以四棱锥P﹣ABCD在点P处的离散曲率的最小值为 ; (2)区域β比区域α更加平坦,所以θ更大,离散曲率更小. 所以区域α和区域β中点的离散曲率的平均值更大的是区域β. 20.(1)如图,对于任一给定的四面体 ,找出依次排列的四个相互平行的平面 , , , , 使得 ,且其中每相邻两个平面间的距离都相等; (2)给定依次排列的四个相互平行的平面 , , , ,其中每相邻两个平面间的距离为1,若一个 正四面体 的四个顶点满足: ,求该正四面体 的体积. 【解析】(1)取 的三等分点 , , 的中点 , 的中点 , 过三点 , , 作平面 ,过三点 , , 作平面 , 因为 , ,所以平面 平面 , 再过点 , 分别作平面 , 与平面 平行,那么四个平面, , , 依次相互平行, 由线段 被平行平面 , , , 截得的线段相等知,每相邻两个平面间的距离相等,故 , , , 为所求平面. (2)如图,将此正四面体补形为正方体 (如图),分别取 、 、 、 的中点 、 、 、 , 平面 与 是分别过点 、 的两平行平面,若其距离为1, 则正四面体 满足条件,右图为正方体的下底面,设正方体的棱长为 , 若 ,因为 , , 在直角三角形 中, ,所以 ,所以 , 又正四面体的棱长为 , 所以此正四面体的体积为 . 21.离散曲率是刻画空间弯曲性的重要指标.设P为多面体M的一个顶点,定义多面体M在点P处的离 散曲率为 ,其中 为多面体M的 所有与点P相邻的顶点,且平面 ,平面 ,…,平面 和平面 为多面体M的所有以 P为公共点的面. (1)求三棱锥 在各个顶点处的离散曲率的和; (2)如图,已知在三棱锥 中, 平面ABC, , ,三棱锥 在顶点C处 的离散曲率为 .①求直线PC与直线AB所成角的余弦值; ②若点Q在棱PB上运动,求直线CQ与平面ABC所成的角的最大值. 【解析】(1)由离散曲率的定义得: , , , , 四个式子相加得: . (2)①如图,分别取 的中点 ,连接 ,显然有 , 所以 为异面直线 与 的夹角或其补角,设 ,因为 ,所以 , , 因为 平面 , 平面 ,所以 , , , , 因为 , ,所以 平面 ,又因为 平面 ,所以 , 由 点处的离散曲率为 可得 ,所以 , , ,而 , , 所以 ,故异面直线 与 的夹角的余弦值为 . ②如图,过 点做 交 与 ,连接 ,因为 平面 ,所以 平面 , 则 为直线 与平面 所成的角,设 , 在 中 , 因为 ,所以 ,所以 , 故 , 当分母最小时, 最大,即 最大,此时 ,即 ( 与 重合), ,所以 的最大值为 . 22.离散曲率是刻画空间弯曲性的重要指标.设 为多面体 的一个顶点,定义多面体 在点 处的离散 曲率为 ,其中 为多面体 的 所有与点 相邻的顶点,且平面 ,平面 ,…,平面 和平面 为多面体 的所有以 为公共点的面. (1)求四棱锥 在各个顶点处的离散曲率的和; (2)如图,现已知四棱锥 的底面 是边长为2的菱形,且 ,顶点 在底面的射影 为 的中点. ①若 ,求该四棱锥在 处的离散曲率 ;②若该四棱锥在 处的离散曲率 ,求直线 与平面 所成角的正弦值. 【解析】(1)由题意可知四棱锥 在各个顶点处的角的和 , 即等于四个侧面上的三角形和底面四边形的内角和,即 , 故四棱锥 在各个顶点处的离散曲率的和为: ; (2)①连接 ,由于底面 是边长为2的菱形,故 交于点O, ,则 为正三角形,则 , 底面 , 底面 ,故 , , 则 , , 则 , 由于 为三角形内角,故 ; 同理求得 , 故该四棱锥在 处的离散曲率 ; ②由题意可知四棱锥 的是个侧面三角形全等, 即得 , 四棱锥在 处的离散曲率 ,则 , 设 ,则 ,而 , 故 ,解得 ,作 于E,则E为AB中点,结合题意知 为正三角形,故 , 作 于F,则 ,且 , 则 ; 连接 ,由于 底面 , 底面 ,故 , 平面 ,故 平面 , 平面 ,故平面 平面 ,平面 平面 , 作 于G,则 平面 , 则 即 为直线 与平面 所成角, 则 .