当前位置:首页>文档>专题19立体几何初步(Ⅱ)(七大题型+模拟精练)(解析版)_2.2025数学总复习_2025年新高考资料_一轮复习_2025年高考数学一轮复习《重难点题型与知识梳理•高分突破》(新高考专用)

专题19立体几何初步(Ⅱ)(七大题型+模拟精练)(解析版)_2.2025数学总复习_2025年新高考资料_一轮复习_2025年高考数学一轮复习《重难点题型与知识梳理•高分突破》(新高考专用)

  • 2026-04-05 13:45:32 2026-03-16 15:05:43

文档预览

专题19立体几何初步(Ⅱ)(七大题型+模拟精练)(解析版)_2.2025数学总复习_2025年新高考资料_一轮复习_2025年高考数学一轮复习《重难点题型与知识梳理•高分突破》(新高考专用)
专题19立体几何初步(Ⅱ)(七大题型+模拟精练)(解析版)_2.2025数学总复习_2025年新高考资料_一轮复习_2025年高考数学一轮复习《重难点题型与知识梳理•高分突破》(新高考专用)
专题19立体几何初步(Ⅱ)(七大题型+模拟精练)(解析版)_2.2025数学总复习_2025年新高考资料_一轮复习_2025年高考数学一轮复习《重难点题型与知识梳理•高分突破》(新高考专用)
专题19立体几何初步(Ⅱ)(七大题型+模拟精练)(解析版)_2.2025数学总复习_2025年新高考资料_一轮复习_2025年高考数学一轮复习《重难点题型与知识梳理•高分突破》(新高考专用)
专题19立体几何初步(Ⅱ)(七大题型+模拟精练)(解析版)_2.2025数学总复习_2025年新高考资料_一轮复习_2025年高考数学一轮复习《重难点题型与知识梳理•高分突破》(新高考专用)
专题19立体几何初步(Ⅱ)(七大题型+模拟精练)(解析版)_2.2025数学总复习_2025年新高考资料_一轮复习_2025年高考数学一轮复习《重难点题型与知识梳理•高分突破》(新高考专用)
专题19立体几何初步(Ⅱ)(七大题型+模拟精练)(解析版)_2.2025数学总复习_2025年新高考资料_一轮复习_2025年高考数学一轮复习《重难点题型与知识梳理•高分突破》(新高考专用)
专题19立体几何初步(Ⅱ)(七大题型+模拟精练)(解析版)_2.2025数学总复习_2025年新高考资料_一轮复习_2025年高考数学一轮复习《重难点题型与知识梳理•高分突破》(新高考专用)
专题19立体几何初步(Ⅱ)(七大题型+模拟精练)(解析版)_2.2025数学总复习_2025年新高考资料_一轮复习_2025年高考数学一轮复习《重难点题型与知识梳理•高分突破》(新高考专用)
专题19立体几何初步(Ⅱ)(七大题型+模拟精练)(解析版)_2.2025数学总复习_2025年新高考资料_一轮复习_2025年高考数学一轮复习《重难点题型与知识梳理•高分突破》(新高考专用)
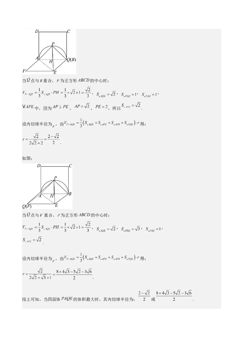
专题19立体几何初步(Ⅱ)(七大题型+模拟精练)(解析版)_2.2025数学总复习_2025年新高考资料_一轮复习_2025年高考数学一轮复习《重难点题型与知识梳理•高分突破》(新高考专用)
专题19立体几何初步(Ⅱ)(七大题型+模拟精练)(解析版)_2.2025数学总复习_2025年新高考资料_一轮复习_2025年高考数学一轮复习《重难点题型与知识梳理•高分突破》(新高考专用)
专题19立体几何初步(Ⅱ)(七大题型+模拟精练)(解析版)_2.2025数学总复习_2025年新高考资料_一轮复习_2025年高考数学一轮复习《重难点题型与知识梳理•高分突破》(新高考专用)
专题19立体几何初步(Ⅱ)(七大题型+模拟精练)(解析版)_2.2025数学总复习_2025年新高考资料_一轮复习_2025年高考数学一轮复习《重难点题型与知识梳理•高分突破》(新高考专用)
专题19立体几何初步(Ⅱ)(七大题型+模拟精练)(解析版)_2.2025数学总复习_2025年新高考资料_一轮复习_2025年高考数学一轮复习《重难点题型与知识梳理•高分突破》(新高考专用)
专题19立体几何初步(Ⅱ)(七大题型+模拟精练)(解析版)_2.2025数学总复习_2025年新高考资料_一轮复习_2025年高考数学一轮复习《重难点题型与知识梳理•高分突破》(新高考专用)
专题19立体几何初步(Ⅱ)(七大题型+模拟精练)(解析版)_2.2025数学总复习_2025年新高考资料_一轮复习_2025年高考数学一轮复习《重难点题型与知识梳理•高分突破》(新高考专用)
专题19立体几何初步(Ⅱ)(七大题型+模拟精练)(解析版)_2.2025数学总复习_2025年新高考资料_一轮复习_2025年高考数学一轮复习《重难点题型与知识梳理•高分突破》(新高考专用)
专题19立体几何初步(Ⅱ)(七大题型+模拟精练)(解析版)_2.2025数学总复习_2025年新高考资料_一轮复习_2025年高考数学一轮复习《重难点题型与知识梳理•高分突破》(新高考专用)
专题19立体几何初步(Ⅱ)(七大题型+模拟精练)(解析版)_2.2025数学总复习_2025年新高考资料_一轮复习_2025年高考数学一轮复习《重难点题型与知识梳理•高分突破》(新高考专用)
专题19立体几何初步(Ⅱ)(七大题型+模拟精练)(解析版)_2.2025数学总复习_2025年新高考资料_一轮复习_2025年高考数学一轮复习《重难点题型与知识梳理•高分突破》(新高考专用)
专题19立体几何初步(Ⅱ)(七大题型+模拟精练)(解析版)_2.2025数学总复习_2025年新高考资料_一轮复习_2025年高考数学一轮复习《重难点题型与知识梳理•高分突破》(新高考专用)
专题19立体几何初步(Ⅱ)(七大题型+模拟精练)(解析版)_2.2025数学总复习_2025年新高考资料_一轮复习_2025年高考数学一轮复习《重难点题型与知识梳理•高分突破》(新高考专用)
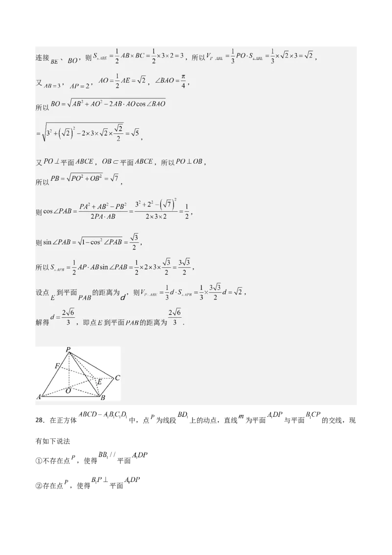
专题19立体几何初步(Ⅱ)(七大题型+模拟精练)(解析版)_2.2025数学总复习_2025年新高考资料_一轮复习_2025年高考数学一轮复习《重难点题型与知识梳理•高分突破》(新高考专用)
专题19立体几何初步(Ⅱ)(七大题型+模拟精练)(解析版)_2.2025数学总复习_2025年新高考资料_一轮复习_2025年高考数学一轮复习《重难点题型与知识梳理•高分突破》(新高考专用)
专题19立体几何初步(Ⅱ)(七大题型+模拟精练)(解析版)_2.2025数学总复习_2025年新高考资料_一轮复习_2025年高考数学一轮复习《重难点题型与知识梳理•高分突破》(新高考专用)
专题19立体几何初步(Ⅱ)(七大题型+模拟精练)(解析版)_2.2025数学总复习_2025年新高考资料_一轮复习_2025年高考数学一轮复习《重难点题型与知识梳理•高分突破》(新高考专用)
专题19立体几何初步(Ⅱ)(七大题型+模拟精练)(解析版)_2.2025数学总复习_2025年新高考资料_一轮复习_2025年高考数学一轮复习《重难点题型与知识梳理•高分突破》(新高考专用)
专题19立体几何初步(Ⅱ)(七大题型+模拟精练)(解析版)_2.2025数学总复习_2025年新高考资料_一轮复习_2025年高考数学一轮复习《重难点题型与知识梳理•高分突破》(新高考专用)
专题19立体几何初步(Ⅱ)(七大题型+模拟精练)(解析版)_2.2025数学总复习_2025年新高考资料_一轮复习_2025年高考数学一轮复习《重难点题型与知识梳理•高分突破》(新高考专用)
专题19立体几何初步(Ⅱ)(七大题型+模拟精练)(解析版)_2.2025数学总复习_2025年新高考资料_一轮复习_2025年高考数学一轮复习《重难点题型与知识梳理•高分突破》(新高考专用)
专题19立体几何初步(Ⅱ)(七大题型+模拟精练)(解析版)_2.2025数学总复习_2025年新高考资料_一轮复习_2025年高考数学一轮复习《重难点题型与知识梳理•高分突破》(新高考专用)
专题19立体几何初步(Ⅱ)(七大题型+模拟精练)(解析版)_2.2025数学总复习_2025年新高考资料_一轮复习_2025年高考数学一轮复习《重难点题型与知识梳理•高分突破》(新高考专用)
专题19立体几何初步(Ⅱ)(七大题型+模拟精练)(解析版)_2.2025数学总复习_2025年新高考资料_一轮复习_2025年高考数学一轮复习《重难点题型与知识梳理•高分突破》(新高考专用)
专题19立体几何初步(Ⅱ)(七大题型+模拟精练)(解析版)_2.2025数学总复习_2025年新高考资料_一轮复习_2025年高考数学一轮复习《重难点题型与知识梳理•高分突破》(新高考专用)
专题19立体几何初步(Ⅱ)(七大题型+模拟精练)(解析版)_2.2025数学总复习_2025年新高考资料_一轮复习_2025年高考数学一轮复习《重难点题型与知识梳理•高分突破》(新高考专用)
专题19立体几何初步(Ⅱ)(七大题型+模拟精练)(解析版)_2.2025数学总复习_2025年新高考资料_一轮复习_2025年高考数学一轮复习《重难点题型与知识梳理•高分突破》(新高考专用)
专题19立体几何初步(Ⅱ)(七大题型+模拟精练)(解析版)_2.2025数学总复习_2025年新高考资料_一轮复习_2025年高考数学一轮复习《重难点题型与知识梳理•高分突破》(新高考专用)
专题19立体几何初步(Ⅱ)(七大题型+模拟精练)(解析版)_2.2025数学总复习_2025年新高考资料_一轮复习_2025年高考数学一轮复习《重难点题型与知识梳理•高分突破》(新高考专用)
专题19立体几何初步(Ⅱ)(七大题型+模拟精练)(解析版)_2.2025数学总复习_2025年新高考资料_一轮复习_2025年高考数学一轮复习《重难点题型与知识梳理•高分突破》(新高考专用)
专题19立体几何初步(Ⅱ)(七大题型+模拟精练)(解析版)_2.2025数学总复习_2025年新高考资料_一轮复习_2025年高考数学一轮复习《重难点题型与知识梳理•高分突破》(新高考专用)
专题19立体几何初步(Ⅱ)(七大题型+模拟精练)(解析版)_2.2025数学总复习_2025年新高考资料_一轮复习_2025年高考数学一轮复习《重难点题型与知识梳理•高分突破》(新高考专用)
专题19立体几何初步(Ⅱ)(七大题型+模拟精练)(解析版)_2.2025数学总复习_2025年新高考资料_一轮复习_2025年高考数学一轮复习《重难点题型与知识梳理•高分突破》(新高考专用)
专题19立体几何初步(Ⅱ)(七大题型+模拟精练)(解析版)_2.2025数学总复习_2025年新高考资料_一轮复习_2025年高考数学一轮复习《重难点题型与知识梳理•高分突破》(新高考专用)
专题19立体几何初步(Ⅱ)(七大题型+模拟精练)(解析版)_2.2025数学总复习_2025年新高考资料_一轮复习_2025年高考数学一轮复习《重难点题型与知识梳理•高分突破》(新高考专用)
专题19立体几何初步(Ⅱ)(七大题型+模拟精练)(解析版)_2.2025数学总复习_2025年新高考资料_一轮复习_2025年高考数学一轮复习《重难点题型与知识梳理•高分突破》(新高考专用)
专题19立体几何初步(Ⅱ)(七大题型+模拟精练)(解析版)_2.2025数学总复习_2025年新高考资料_一轮复习_2025年高考数学一轮复习《重难点题型与知识梳理•高分突破》(新高考专用)
专题19立体几何初步(Ⅱ)(七大题型+模拟精练)(解析版)_2.2025数学总复习_2025年新高考资料_一轮复习_2025年高考数学一轮复习《重难点题型与知识梳理•高分突破》(新高考专用)
专题19立体几何初步(Ⅱ)(七大题型+模拟精练)(解析版)_2.2025数学总复习_2025年新高考资料_一轮复习_2025年高考数学一轮复习《重难点题型与知识梳理•高分突破》(新高考专用)
专题19立体几何初步(Ⅱ)(七大题型+模拟精练)(解析版)_2.2025数学总复习_2025年新高考资料_一轮复习_2025年高考数学一轮复习《重难点题型与知识梳理•高分突破》(新高考专用)
专题19立体几何初步(Ⅱ)(七大题型+模拟精练)(解析版)_2.2025数学总复习_2025年新高考资料_一轮复习_2025年高考数学一轮复习《重难点题型与知识梳理•高分突破》(新高考专用)
专题19立体几何初步(Ⅱ)(七大题型+模拟精练)(解析版)_2.2025数学总复习_2025年新高考资料_一轮复习_2025年高考数学一轮复习《重难点题型与知识梳理•高分突破》(新高考专用)
专题19立体几何初步(Ⅱ)(七大题型+模拟精练)(解析版)_2.2025数学总复习_2025年新高考资料_一轮复习_2025年高考数学一轮复习《重难点题型与知识梳理•高分突破》(新高考专用)
专题19立体几何初步(Ⅱ)(七大题型+模拟精练)(解析版)_2.2025数学总复习_2025年新高考资料_一轮复习_2025年高考数学一轮复习《重难点题型与知识梳理•高分突破》(新高考专用)
专题19立体几何初步(Ⅱ)(七大题型+模拟精练)(解析版)_2.2025数学总复习_2025年新高考资料_一轮复习_2025年高考数学一轮复习《重难点题型与知识梳理•高分突破》(新高考专用)
专题19立体几何初步(Ⅱ)(七大题型+模拟精练)(解析版)_2.2025数学总复习_2025年新高考资料_一轮复习_2025年高考数学一轮复习《重难点题型与知识梳理•高分突破》(新高考专用)
专题19立体几何初步(Ⅱ)(七大题型+模拟精练)(解析版)_2.2025数学总复习_2025年新高考资料_一轮复习_2025年高考数学一轮复习《重难点题型与知识梳理•高分突破》(新高考专用)
专题19立体几何初步(Ⅱ)(七大题型+模拟精练)(解析版)_2.2025数学总复习_2025年新高考资料_一轮复习_2025年高考数学一轮复习《重难点题型与知识梳理•高分突破》(新高考专用)
专题19立体几何初步(Ⅱ)(七大题型+模拟精练)(解析版)_2.2025数学总复习_2025年新高考资料_一轮复习_2025年高考数学一轮复习《重难点题型与知识梳理•高分突破》(新高考专用)
专题19立体几何初步(Ⅱ)(七大题型+模拟精练)(解析版)_2.2025数学总复习_2025年新高考资料_一轮复习_2025年高考数学一轮复习《重难点题型与知识梳理•高分突破》(新高考专用)
专题19立体几何初步(Ⅱ)(七大题型+模拟精练)(解析版)_2.2025数学总复习_2025年新高考资料_一轮复习_2025年高考数学一轮复习《重难点题型与知识梳理•高分突破》(新高考专用)
专题19立体几何初步(Ⅱ)(七大题型+模拟精练)(解析版)_2.2025数学总复习_2025年新高考资料_一轮复习_2025年高考数学一轮复习《重难点题型与知识梳理•高分突破》(新高考专用)
专题19立体几何初步(Ⅱ)(七大题型+模拟精练)(解析版)_2.2025数学总复习_2025年新高考资料_一轮复习_2025年高考数学一轮复习《重难点题型与知识梳理•高分突破》(新高考专用)
专题19立体几何初步(Ⅱ)(七大题型+模拟精练)(解析版)_2.2025数学总复习_2025年新高考资料_一轮复习_2025年高考数学一轮复习《重难点题型与知识梳理•高分突破》(新高考专用)
专题19立体几何初步(Ⅱ)(七大题型+模拟精练)(解析版)_2.2025数学总复习_2025年新高考资料_一轮复习_2025年高考数学一轮复习《重难点题型与知识梳理•高分突破》(新高考专用)
专题19立体几何初步(Ⅱ)(七大题型+模拟精练)(解析版)_2.2025数学总复习_2025年新高考资料_一轮复习_2025年高考数学一轮复习《重难点题型与知识梳理•高分突破》(新高考专用)

文档信息

文档格式
docx
文档大小
5.344 MB
文档页数
66 页
上传时间
2026-03-16 15:05:43

文档内容

专题 19 立体几何初步(Ⅱ)(七大题型+模拟精练) 目录: 01 平面的基本性质 02 空间共点、共线、共面等问题 03 异面直线 04 空间直线与平面的位置关系 05 空间平面与平面的位置关系 06 空间中的角、距离问题综合 07 空间中动点、旋转、翻折等动态问题 01 平面的基本性质 1.下列说法正确的是( ) A.若直线 两两相交,则直线 共面 B.若直线 与平面 所成的角相等,则直线 互相平行 C.若平面 上有三个不共线的点到平面 的距离相等,则平面 与平面 平行 D.若不共面的4个点到平面 的距离相等,则这样的平面 有且只有7个 【答案】D 【分析】根据题意,结合空间中直线与平面位置关系的判定和性质,逐项判定,即可求解. 【解析】对于A中,当直线 交于同一点时,则直线 可能不共面,所以A错误; 对于B中,当直线 倾斜方向不同时,直线 与平面 所成的角也可能相等,所以B错误; 对于C中,当这3个点不在平面 的同侧时,平面 与平面 相交,所以C错误;对于D中,根据题意,显然这4个点不可能在平面 的同侧, 当这4个点在平面 两侧1,3分布时,这样的平面 有4个, 当这4个点在平面 两侧2,2分布时,这样的平面 有3个, 所以这样的平面 有且只有7个,所以D正确. 故选:D. 2.下列说法正确的是( ) A.四边形确定一个平面 B.如果一条直线上的两个点在一个平面内,那么这条直线在这个平面内 C.经过三点确定一个平面 D.经过一条直线和一个点确定一个平面 【答案】B 【解析】略 3.已知 是两个不同的平面,则下列命题错误的是( ) A.若 且 ,则 B.若 是平面 内不共线三点, ,则 C.若直线 ,直线 ,则 与 为异面直线 D.若 且 ,则直线 【答案】C 【分析】根据基本事实3(公理2)可判断A;根据基本事实1(公理3)可判断B;根据异面直线的定义可 判断C;根据基本事实2(公理1)可判断D. 【解析】对于A,由根据 且 ,则 是平面 和平面 的公共点, 又 ,由基本事实3(公理2)可得 ,故A正确; 对于B,由基本事实1(公理3):过不在一条直线上的三个点,有且只有一个平面, 又 ,且 ,则 ,故B正确; 对于C,由于平面 和平面 位置不确定,则直线 与直线 位置亦不确定,可能异面、相交、平行、重合,故C错误; 对于D,由基本事实2(公理1):如果一条直线上的两个点在一个平面内,那么这条直线在这个平面内, 故D正确. 故选:C. 4.下列结论正确的是( ) A.两个平面α,β有一个公共点A,就说α,β相交于过A点的任意一条直线. B.两两相交的三条直线最多可以确定三个平面. C.如果两个平面有三个公共点,则这两个平面重合. D.若直线a不平行于平面α,且a α,则α内的所有直线与a异面. 【答案】B ⊄ 【分析】利用推论可判断B正确;对A项,由基本事实3可知;对C项,两个相交的平面有无数个公共点; 对D项,平面内可找到无数条直线与 相交. 【解析】对选项A,由基本事实3,两个平面有一个公共点 ,那么它们有且只有一条过A点的公共直线, 而不是任意一条过点 的直线都是两平面的交线,故A项错误; 对于B,若两两相交的三条直线交于一点,则三条直线最多可以确定三个平面,故B正确; 对选项C,若这三个公共点共线,两平面可能相交,不一定重合,故C项错误; 对选项D,若直线 不平行于平面 ,且 , 则直线 与平面 相交,设交点为 , 则平面内所有过点 的直线都与 相交于点 ,而不是异面,故D项错误. 故选:B. 02 空间共点、共线、共面等问题 5.已知互不重合的三个平面α、β、γ,其中 , , ,且 ,则下列结论一 定成立的是( ) A.b与c是异面直线 B.a与c没有公共点 C. D. 【答案】D 【分析】根据题设条件可得相应的空间图形,从而可得正确的选项. 【解析】∵ ,∴ , , ∵ , ,∴ , , , ∵ ,∴ ,∴ ,∴ ,如图所示:故A,B,C错误; 故选:D. 6.如图,在三棱柱 中, 分别为 的中点,则下列说法错误的是 ( ) A. 四点共面 B. C. 三线共点 D. 【答案】D 【分析】对于AB,利用线线平行的传递性与平面公理的推论即可判断;对于C,利用平面公理判断得 , 的交点 在 ,从而可判断;对于D,举反例即可判断. 【解析】对于AB,如图,连接 , ,因为 是 的中位线,所以 , 因为 ,且 ,所以四边形 是平行四边形, 所以 ,所以 ,所以 四点共面,故AB正确; 对于C,如图,延长 , 相交于点 , 因为 , 平面 ,所以 平面 , 因为 , 平面 ,所以 平面 , 因为平面 平面 , 所以 ,所以 三线共点,故C正确; 对于D,因为 ,当 时, , 又 ,则 ,故D错误. 故选:D. 03 异面直线 7.设 , 是两条不同的直线, 是两个不同的平面,则下列结论正确的是( ) A.若 ,则 B.若 ,则 C.若 ,则 是异面直线 D.若 ,则 或 , 是异面直线 【答案】D 【分析】利用空间中线、面的位置关系一一判定选项即可. 【解析】对于A,可设 为平面 ,显然 ,但 ,故A错误; 对于B,可设 为平面 ,显然 ,但 ,故B错误; 对于C,可设 分别为平面 ,平面 , 显然 ,但 ,故C错误; 对于D,若 ,则两平面不会有交点,所以 或 , 是异面直线, 故D正确. 故选:D 8.已知四边形 是矩形, 平面 为 的中点,则异面直线 与 所成的角为( ) A. B. C. D. 【答案】C 【分析】借助于长方体,由 为相应的棱的中点,得 ,所以 即为异面直线 与 所 成的角或补角,计算即可. 【解析】根据题意,借助于长方体, 为相应的棱的中点,所以 , 所以 即为异面直线 与 所成的角或补角, 根据题意可得, , , , 所以 为等边三角形, .故选:C. 9.已知圆锥 的母线长为 , 是底面圆的直径, 为底面圆周上一点, ,当圆锥 的 体积最大时,直线 和 所成角的余弦值为( ) A. B. C. D. 【答案】A 【分析】设圆锥 的底面半径为 ,高为 ,利用圆锥体积公式可得 ,结合可导数求出 圆锥体积最大时, , ,延长 交 于点 ,连接 ,则四边形 是平行 四边形,所以直线 与 所成的角为 或其补角,求出 ,即可求解. 【解析】如图,圆锥 的母线长 .设圆锥 的底面半径为 ,高为 , 则 ,圆锥 的体积 . 令 ,则 .令 ,得 或 .因为 ,易知 在 上单调递增,在 上单调递减, 所以当 时, 取得最大值,此时 . 因为 ,所以 . 延长 交 于点 ,连接 ,则四边形 是平行四边形,所以 , 所以直线 与 所成的角为 或其补角. 在等腰三角形 中, ,所以 , 所以直线 与 所成角的余弦值为 . 故选:A. 10.直线l与平面 成角为 ,点P为平面 外的一点,过点P与平面成角为 ,且与直线l所成角为 的直线有( ) A.0条 B.1条 C.2条 D.4条 【答案】C 【分析】过 与平面 成 角的直线形成一个圆锥的侧面(即圆锥的母线与底面成 角),然后考虑这 些母线中与直线 成 角的直线有几条,通过圆锥的轴截面可得. 【解析】如图所示,设直线 与平面 相交于 ,直线 在平面 的射影为直线 . 且直线 与平面 所成角为 , 即 . 设圆锥的顶点为 点,圆锥的轴 平面 , 即圆锥的任意一条母线与平面 所成角都等于 . 当过 点的母线为直线 时, 直线 与平面 所成角为 ,直线 与直线 所成角为 ,即 , 当过 点的母线沿 逆时针旋转到直线 时, 直线 与直线 所成角为 ,即 ,所以过 点的直线从 沿 逆时针旋转到直线 时, 与直线 所成角的范围为 , 故存在一条过 点的直线与直线 所成角为 , 同理可得,过 点的直线从 沿 顺时针旋转到直线 时, 也存在一条过 点的直线与直线 所成角为 , 所以过 点的直线与平面 所成角为 ,与直线 所成角为 的直线有2条. 故选:C. 04 空间直线与平面的位置关系 11.若 , 为两条直线, 为一个平面,则下列结论中正确的是( ) A.若 , ,则 B.若 , ,则 C.若 , ,则 D.若 , ,则 与 相交 【答案】C 【分析】ABD可举出反例;C选项,根据线线平行和线面垂直的性质得到答案. 【解析】根据题意,依次分析选项: 对于A,若 , ,则 与 平行或异面,A错误; 对于B,若 , ,则 与 异面、平行或相交,B错误; 对于C,设直线 ,满足 且 ,若 ,则 ,而 ,则 ,C正确; 对于D,若 , ,则 与 相交或异面,D错误. 故选:C. 12.如图,已知四棱锥 中,平面 平面 , , 分别为 的中点. (1)求证: 平面 ; (2)若侧面 为等边三角形,求四面体 的体积. 【答案】(1)证明见解析 (2) 【分析】(1)由三角形中位线结合 且 得到四边形 是平行四边形,所以 ,由线面平行的判定证得 平面 ; (2)由面面垂直得到线面垂直从而得到 到平面 的距离 ,在梯形 中得到 的面积,由 得到所求棱锥体积. 【解析】(1)如图,取 的中点 ,取 的中点 ,取 的中点 ,连接 . 因为 分别为 的中点,所以 且 , 因为 分别为 的中点,所以 且 , 又因为 且 ,所以 且 , 所以四边形 是平行四边形,所以 . 又由 平面 平面 ,所以 平面 .(2) 如图,连接 . 因为 为等边三角形,所以 , 因为平面 平面 ,平面 平面 平面 ,所以 平面 . 因为 ,所以 , , , 又因为 为 的中点,所以点 到平面 的距离 . 在梯形 中,由 ,可得 ,所以 , 又由 ,所以 , 故 ,所以四面体 的体积为 . 13.如图,在四棱锥 中,底面 是菱形, , 底面 ,点E在棱 上. (1)求证: 平面 ; (2)若 ,点E为 的中点,求二面角 的余弦值. 【答案】(1)证明见解析 (2)【分析】(1)先根据线面垂直的性质定理得 ,再结合菱形性质利用线面垂直的判定定理证明即 可. (2)根据二面角的平面角定义作出二面角的平面角,然后利用直角三角形的边角关系求解即可. 【解析】(1)因为 平面 , 平面 ,所以 , 因为 为菱形,所以 , 又 平面 平面 , 所以 平面 . (2)如图,连接 ,则 平面 , 由 平面 , 平面 , 平面 ,得 , 故 即为二面角 的平面角, 在菱形 中, , 所以 , 又 ,所以 , 由点E为 的中点,得 , 所以 为等腰三角形,在 内过点E作高,垂足为H,则 , 所以 ,即二面角 的余弦值为 . 14.如图,在四棱锥 中, 平面 为等边三角形, ,点 为棱 上的动点.(1)证明: 平面 ; (2)当二面角 的大小为 时,求线段 的长度. 【答案】(1)证明详见解析 (2) 【分析】(1)先求得 ,再根据线面垂直的判定定理证得 平面 . (2)建立空间直角坐标系,利用向量法列方程来求得 点的坐标,进而求得 的长度. 【解析】(1)依题意 ,所以 , 所以 ,所以 ,则 , 由于 平面 , 平面 ,所以 , 由于 平面 ,所以 平面 . (2)由(1)可知 两两相互垂直,由此以 为原点,建立如图所示空间直角坐标系, ,设 , 平面 的法向量为 , 设平面 的法向量为 , 则 , 故可设 ,依题意,二面角 的大小为 , 所以 , 整理得 , 解得 或 (舍去),所以 , 所以 . 05 空间平面与平面的位置关系 15.已知两条直线m,n和三个平面α,β,γ,下列命题正确的是( ) A.若 , ,则 B.若 , ,则 C.若 , , ,则 D.若 , , , ,则 【答案】C 【分析】利用面面平行的判定定理可判断出A和B正误,利用线面垂直的判定定理可判断出C的正误,利 用线面平行的判定定理可判断出D的正误. 【解析】对于A,当 , 时,两平面α,β可能平行可能相交,所以A错误;对于B, , ,两平面β,γ可能平行可能相交,所以B错误; 对于C,当 , , 时, 设 , ,在γ取一点O,过O分别作 于B, 于C, 则 , ,因为 , 所以 , ,所以 , , 因为 , ,所以 ,所以C正确; 对于D,当 , , , 时, 可得 或 ,所以D错误. 故选:C. 16.如图,已知四棱锥 中,底面 为平行四边形,点 分别在 上. (1)若 ,求证:平面 平面 ; (2)若点 满足 ,则点 满足什么条件时, 平面 ?并证明你的结论. 【答案】(1)证明见解析(2) 为 中点,证明见解析 【分析】(1)根据平行线分线段成比例和线面平行的判定定理可证得 平行于平面 ,由面面 平行的判定可证得结论; (2)当 为 中点时,取 中点 ,根据三角形中位线性质、线面平行和面面平行的判定可证得平面 平面 ,由面面平行性质可得结论. 【解析】(1) , , 四边形 为平行四边形, , , 平面 , 平面 , 平面 ; , , 平面 , 平面 , 平面 ; , 平面 , 平面 平面 . (2)当 为 中点时, 平面 , 证明如下:设 ,取 中点 ,连接 , 四边形 为平行四边形, 为 中点, 为 中点, , 为 中点, , 平面 , 平面 , 平面 ; 分别为 中点, , 平面 , 平面 , 平面 , , 平面 , 平面 平面 , 平面 , 平面 .17.如图,在四棱锥 中, , ,四边形 为菱形, , 平面 ,E,F,Q分别是BC,PC,PD的中点. (1)证明:平面 平面 ; (2)求二面角 的正弦值. 【答案】(1)证明见解析; (2) . 【分析】(1)先利用中位线定理证得 , ,再利用线面与面面平行的判定定理即可得证; (2)依题意建立空间直角坐标系,分别求得平面 与平面 的法向量,再利用空间向量法,结合三 角函数的基本关系式即可得解. 【解析】(1)因为四边形 为菱形,所以 , 又E,F,Q分别是BC,PC,PD的中点, 所以 , ,故 , 因为 平面 , 平面 , 所以 平面 ,同理可得 平面 . 因为 , , 平面 , 所以平面 平面 . (2)因为四边形 为菱形, , 所以 为等边三角形, ,因为E是BC的中点,所以 ,故 , 因为 平面 , , 平面 , 所以 , ,故PA,AE,AD两两垂直, 以A为坐标原点,AE,AD,AP所在直线分别为x,y,z轴,建立空间直角坐标系, 因为 , , 所以 , , , , , 故 , , , , 设平面 的法向量为 ,则 , 解得 ,令 ,则 ,故 , 设平面 的法向量为 ,又 , , 则 , 解得 ,令 得, ,故 , 设二面角 的平面角为 ,结合图形可知 , 则 ,故二面角 的正弦值为 . 18.如图所示的几何体是由等高的直三棱柱和半个圆柱组合而成, 为半个圆柱上底面的直径, , ,点 , 分别为 , 的中点,点 为 的中点. (1)证明:平面 平面 ; (2)若 是线段 上一个动点,当 时,求直线 与平面 所成角的正弦值的最大值. 【答案】(1)证明见解析 (2) 【分析】(1)先证明 , ,进而证明 为平行四边形,可得 ,再证明 ,由面面平行的判定定理得证; (2)方法1,建立空间直角坐标系,利用向量法求解;方法2,先证明平面 平面 ,过 作 交 于 ,则 就是直线 与平面 所成角,利用平面几何求出 最小,得解. 【解析】(1)连接 ,由点 为 的中点, 为半个圆柱上底面的直径知 , 由 , ,知 , ,则 ,又 四点共面,所以 , 由 为直三棱柱的侧面知 ,即 ,则 , 由 为 的中点 得 , 所以四边形 为平行四边形,则 , 又 平面 , 平面 ,,则 平面 , 因为 , 分别为 , 的中点,所以 , 又 平面 ,, 平面 ,,所以 平面 , 又 平面 ,所以平面 平面 . (2)(法一)以 为一组空间正交基底,建立如图所示的空间直角坐标系 , 则 , 所以 , , 设 ,则 , 由平面 平面 知直线 与平面 所成角即为直线 与平面 所成角, 设平面 的法向量为 , 由 ,取 ,得 , 则平面 的一个法向量为 , 设直线 与平面 所成角为 ,则 , 又 ,则 时, 的最大值为 . 所以直线 与平面 所成角的正弦值的最大值为 . (法二)在直三棱柱 中, 底面 , 因为 底面 ,所以 , 由(1)知 , ,所以 , 又 平面 ,所以 平面 , 因为 平面 , 所以平面 平面 , 过 作 交 于 , 因为平面 平面 ,所以 平面 , 又平面 平面 , 则直线 与平面 所成角即为直线 与平面 所成角 , 因为 ∽ ,且正方形 的边长为2, 所以 ,则 , 又 ,要使 值最大, 则 最小,在 中 , 过 作 交 于 ,由等面积可求出 ,此时 . 所以直线 与平面 所成角的正弦值的最大值为 . 06 空间中的角、距离问题综合 19.在平行六面体 中,已知 , ,则下列 选项中错误的一项是( )A.直线 与BD所成的角为90° B.线段 的长度为 C.直线 与 所成的角为90° D.直线 与平面ABCD所成角的正弦值为 【答案】D 【分析】在平行六面体 中,取 ,利用空间向量的线性运算及数量积 运算,逐一分析选项,即可得出答案. 【解析】在平行六面体 中,令 , , , 由 , , 得 , , 对于 ,显然 , , 则 ,即 , 因此直线 与 所成的角为 ,A正确; 对于B, ,即 ,B正确; 对于C, ,即 , 因此直线 与 所成的角为 ,C正确; 对于D,在平行六面体 中,四边形 是菱形,即 , 又 , , 平面 ,于是 平面 ,又 平面 ,则平面 平面 , 连接 交 于点 ,在平面 内过点 作 于点 ,如图, 由平面 平面 ,因此 平面 ,即直线 与平面 所成角为 , ,则 ,即 , 由 及选项C知, ,则 ,D错误. 故选:D 20.在四棱锥 中, 为等边三角形,四边形 为矩形,且 ,平面 平 面 ,则直线AC与平面 所成角的正弦值为( ) A. B. C. D.1 【答案】A 【分析】取 为 的中点,先证明 平面 ,得 为所求线面角,由边长间的关系求正弦 值. 【解析】平面 平面 ,又平面 平面 , 平面 , ,则 平面 , 又 平面 ,故平面 平面 ,取 的中点 ,连接 ,如图所示, 平面 平面 ,平面 平面 , 为等边三角形,则 ,故 平面 , 则直线AC与平面 所成角即为 , 令 ,则 , , , 故 . 故选:A 21.已知棱长为1的正方体 分别是AB和BC的中点,则MN到平面 的距离为 ( ) A. B. C. D. 【答案】C 【分析】延长 交 延长线于点 ,连接 ,由几何关系证明MN到平面 的距离即点 到 平面 的距离,再由等体积法 求出结果即可; 【解析】延长 交 延长线于点 ,连接 , , 因为 分别是AB和BC的中点,则 , 由正方体的性质可得 ,所以 , 又 平面 , 平面 ,所以 平面 , 所以MN到平面 的距离即点 到平面 的距离,设为 , 则 , 因为正方体的棱长为1, 所以 , ,, 所以 ,即 , 故选:C. 22.在四面体 中,平面 平面 , 是直角三角形, ,则二 面角 的正切值为 . 【答案】 / 【分析】设 的中点分别为 ,证得 平面 ,得到 ,再由 ,证得 平面 ,得到 BD,得出 为二面角 的平面角,在直角 中,即可求解. 【解析】设 的中点分别为 ,连接 ,则 , 因为 BC,所以 , 又因为平面 平面 ,平面 平面 , 所以 平面 ,因为 平面 ,所以 , 因为 是直角三角形,且 ,所以 , 所以 且 , 又因为 ,且 平面 ,所以 平面 , 因为 平面 ,则 BD,所以 为二面角 的平面角,在直角 中,可得 . 故答案为: . 07 空间中动点、旋转、翻折等动态问题 23.若将正方体 绕着棱AB旋转 后,CD所在位置为 的位置,则直线 和平面 所成的角为 . 【答案】 / 【分析】由对称性,不妨设点 在正方形 内,可得平面 与平面 的夹角为 ,然后根 据正方体的性质结合条件求解即可. 【解析】如图,由对称性,不妨设点 在正方形 内, 则 为顶角 的等腰三角形, , 所以平面 与平面 的夹角为 ,旋转后显然 与平面 垂直, 所以直线 和平面 所成的角为 .故答案为: . 24.边长都是为1的正方形 和正方形 所在的两个半平面所成的二面角为 , 、 分别是对 角线 、 上的动点,且 ,则 的取值范围是( ) A. B. C. D. 【答案】D 【分析】由二面角的平面角定义,可得 为平面 和平面 所在的两个半平面所成的二面角的 平面角,设 , ,利用相似三角形得出 和 ,再利用余弦定理求得 的表达式, 进而求得取值范围. 【解析】设 , ,则 , 由题意, , 在 上的投影是同一点,设为 ,连接 , , 则 为平面 和平面 所在的两个半平面所成的二面角的平面角, 则 , 由 ,可得 , 由 ,可得 , 在 中,由余弦定理可得: , 因为 ,所以 ,则 .故选:D. 25.如图, , , , , 为 的 中点. (1)证明: 平面 ; (2)求点 到 的距离. 【答案】(1)证明见详解; (2) 【分析】(1)结合已知易证四边形 为平行四边形,可证 ,进而得证; (2)先证明 平面 ,结合等体积法 即可求解. 【解析】(1)由题意得, ,且 , 所以四边形 是平行四边形,所以 , 又 平面 平面 , 所以 平面 ; (2)取 的中点 ,连接 , ,因为 ,且 , 所以四边形 是平行四边形,所以 , 又 ,故 是等腰三角形,同理 是等腰三角形, 可得 ,又 ,所以 ,故 . 又 平面 ,所以 平面 , 易知 . 在 中, , 所以 . 设点 到平面 的距离为 ,由 , 得 ,得 , 故点 到平面 的距离为 . 26.已知棱长为1的正方体 内有一个动点M,满足 ,且 ,则四棱锥 体积的最小值为 . 【答案】 【分析】利用正方体的空间垂直关系去证明平面 内的点 都满足 ,再去证明动点M在 以 为圆心,以 为半径的圆上,从而利用点M在圆上的性质去解决最值问题.【解析】解:如图所示,设 , 由正方体性质可知 平面 , 由于 平面 , ,又因为 线段 的中点, 所以 , 即点 在平面 内, 又因为 ,所以与点 在以点 为球心,1为半径的球面上, 又因为 平面 , 到平面 的距离为 的一半,由正方体的边长为1,则 , 又 , , 在平面 内,且以H为圆心, 为半径的半圆弧上, 到平面 的距离的最小值为 , 四棱锥 体积的最小值为 故答案为: 【点睛】关键点点睛:借助空间关系可知到线段两端点距离相等的点M在线段的中垂面上,又由到定点距 离为1的点M又在球面上,从而得到点M的轨迹是中垂面截平面的小圆.27.如图1,在矩形 中,点 在边 上, ,将 沿 进行翻折,翻折后 点到达 点位置,且满足平面 平面 ,如图2. (1)若点 在棱 上, 平面 ,求证: ; (2)求点 到平面 的距离. 【答案】(1)证明见解析 (2) 【分析】(1)首先证明 平面 ,再由线面平行的性质证明即可; (2)取 的中点 ,连接 ,即可得到 ,再由面面垂直的性质得到 平面 ,再由 设点 到平面 的距离为 ,则 ,利用等体积法计算可得. 【解析】(1)因为 , 平面 , 平面 , 所以 平面 , 又 平面 , 平面 ,所以平面 平面 , 平面 ,所以 . (2)取 的中点 ,连接 ,依题意 ,所以 且 , 又平面 平面 ,平面 平面 , 平面 , 所以 平面 ,连接 、 ,则 ,所以 , 又 , , , , 所以 , 又 平面 , 平面 ,所以 , 所以 , 则 , 则 , 所以 , 设点 到平面 的距离为 ,则 , 解得 ,即点 到平面 的距离为 . 28.在正方体 中,点 为线段 上的动点,直线 为平面 与平面 的交线,现 有如下说法 ①不存在点 ,使得 平面 ②存在点 ,使得 平面③当点 不是 的中点时,都有 平面 ④当点 不是 的中点时,都有 平面 其中正确的说法有( ) A.①③ B.③④ C.②③ D.①④ 【答案】B 【分析】 对于①,由当点 与点 重合时,结合线面平行的判定定理即可判断;对于②,若 平面 ,则 ,建系利用向量运算 即可判断;对于③④,由线面平行,线面垂直的相关知识判断 即可. 【解析】对于①,由当点 与点 重合时,由 , 而 平面 , 平面 ,得 平面 ,故①错误; 对于②,若存在点 ,使得 平面 ,则 , 又 ,可得 , 以D为原点建立如图所示的空间直角坐标系,设棱长为1, , ,则 , , , , 则 , , , , 所以 ,这与 矛盾,故②错误; 对于③,当 不是 的中点时, 由 ,且 面 , 面 ,可知 面 , 又直线 为面 与面 的交线,则 , 又 面 , 面 ,从而可得 面 ,故③正确; 对于④,由③可知 ,又 平面 , 平面 , 所以 ,又 , , 平面 , 所以 平面 ,所以 平面 ,故④正确. 综上,③④正确. 故选:B. 一、单选题1.(2024·西藏·模拟预测)已知 , , 是三条不同的直线, , 是两个不同的平面,且 , , .设甲: ,乙: ,则甲是乙的( ) A.充分不必要条件 B.必要不充分条件 C.充要条件 D.既不充分也不必要条件 【答案】B 【分析】根据空间中直线与平面的关系,结合必要不充分条件的定义即可判断. 【解析】当 时,取 为平面 内一条与l垂直的直线,得 ,充分性不成立; 当 时,因为 , ,所以 .结合 ,所以 ,必要性成立.综上可知,甲 是乙的必要不充分条件. 故选:B. 2.(2024·安徽芜湖·三模)下列说法正确的是( ) A.正方体各面所在平面将空间分成27个部分 B.过平面外一点,有且仅有一条直线与这个平面平行 C.若空间中四条不同的直线 满足 ,则 D.若 为异面直线, 平面 平面 ,且 与 相交,若直线 满足 ,则 必平行 于 和 的交线 【答案】A 【分析】利用空间关系,可以判断AB,对于C可用正方体模型来举反例,对于D也是举反例. 【解析】对于A,利用四个侧面将空间分成九个部分,再由上下底面又将空间分成上中下三层,所以可以 将空间分成27个部分,故A是正确的; 对于B,因为过平面外一点可以作一个平面与该平面平行,在这个平行平面内有无数条过该点的直线都与 已知平面平行,故B是错误的; 对于C,在正方体中,把 看成 ,把 看成 ,把 看成 ,把 看成 , 它们满足 ,但不满足 ,故C是错误的; 对于D,由 平面 平面 ,且 与 相交于 ,则 , 即 满足条件,但此时 与 重合,它们不平行,故D是错误的; 故选:A. 3.(2024·山东济南·二模)已知正方体 分别是 的中点,则( ) A. 平面 B. 平面 C. 平面 D. 平面 【答案】C 【分析】通过证明 面 可得 ,从而排除AB,再利用 证明 平面 以 及排除D即可. 【解析】由已知 面 , 面 , 则 ,又 , , 面 ,所以 面 ,又 面 ,所以 ,排除AB, 明显 分别为 的中点,所以 , 又 面 , 面 , 所以 平面 ,C正确; 若 平面 ,则必有 ,又 , 所以 ,明显不成立,D错误. 故选:C. 4.(2024·陕西商洛·模拟预测)如图,四边形 是圆柱的轴截面, 是底面圆周上异于 , 的一点, 则下面结论中错误的是( ) A. B. 平面 C.平面 平面 D. 平面 【答案】D 【分析】由条件,结合线面垂直判定定理证明 平面 ,再证明 ,判断A, 由 ,根据线面平行判定定证明 平面 ,判断B,由 平面 ,结合面面垂直判定定理证明平面 平面 ,判断C, 设 平面 ,结合线面垂直性质可证 ,推出矛盾,判断D. 【解析】因为四边形 是圆柱的轴截面,则线段 是直径, 都是母线. 又 是底面圆周上异于 的一点, 于是得 . 而 平面 , 平面 ,则 . 因为 , 平面 , 则 平面 , 因为 平面 ,因此得 ,A正确; 因为 , 平面 , 平面 , 所以 平面 ,B正确; 因为 平面 ,而 平面 , 所以平面 平面 ,C正确. 点 不在底面 内,而直线 在底面 内,即 是两条不同直线, 若 平面 ,因 平面 , 则 ,与 矛盾,D不正确; 故选:D. 5.(2024·陕西商洛·模拟预测)如图,正三棱柱 的底面边长是2,侧棱长是 , 为 的中点, 是侧面 内的动点,且 平面 ,则点 的轨迹的长度为( ) A. B.2 C. D.4 【答案】B【分析】取 的中点 ,取 的中点 ,连接 ,证明 平面 ,再根据面面平行 的性质可得 的轨迹为线段 ,即可得解. 【解析】如图, 取 的中点 ,取 的中点 ,连接 ,则 , 又 面 , 面 ,所以 平面 , 又 为 的中点,所以 , 又 面 , 面 ,所以 平面 , 又 , 面 , 面 ,所以平面 平面 , 又因为 是侧面 上一点,且 平面 , 所以 的轨迹为线段 , , 所以点 的轨迹的长度为 . 故选:B. 6.(2024·辽宁·三模)如图,已知正四面体 (所有棱长均相等的三棱锥), , , 分别为 , , 上的点, , ,分别记二面角 , , 的 平面角为 , , ,则( )A. B. C. D. 【答案】B 【分析】设 为三角形 中心,过 作 , , ,得到 , , ,再以 为原点建立直角坐标系,得到直线 ,直线 ,直线 的方程,利 用点到直线的距离,求得点O到直线的距离判断. 【解析】设 为三角形 中心,底面如图2,过 作 , , , 由题意可知 , , , 由图2所示,以 为原点建立直角坐标系,不妨设 , 则 , , , , ∵ , ,∴ , , 则直线 的方程为 ,直线 的方程为 ,直线 的方程为 ,根据点到直线的距离公式,知 , , , ∴ ,则 , 因为 , , 为锐角,所以 . 故选:B. 7.(2024·湖北武汉·模拟预测)如图所示是一个以 为直径,点 为圆心的半圆,其半径为4, 为线段 的中点,其中 , , 是半圆圆周上的三个点,且把半圆的圆周分成了弧长相等的四段,若将该半 圆围成一个以 为顶点的圆锥的侧面,则在该圆锥中下列结果正确的是( ) A. 为正三角形 B. 平面 C. 平面 D.点 到平面 的距离为 【答案】C 【分析】根据题意,还原圆锥原图,找出对应线段长度关系,位置关系.很容易得解. 【解析】选项A,该半圆围成的圆锥,如图所示, 设圆锥底面半径为 ,则 ,∴ ,∴ , ∵ 为 的中点, 为 的中点,∴ ,且 , ∴ , 为等腰直角三角形,选项A错误; 选项B,若 平面 ,则 ,直角 中, , ∴ ,选项B错误; 选项C,∵ ,∴ 平面 ,选项C正确; 选项D,∵ , ,∴ 平面 ,∴平面 平面 ,∴ 到直线 的距离即为 到平面 的距离, 又∵ ,∴ 到直线 的距离等于 到直线 的距离,为 ,选项D错误; 故选:C. 8.(2024·浙江绍兴·二模)在边长为4的正三角形 中,E,F分别是 , 的中点,将 沿着 翻折至 ,使得 ,则四棱锥 的外接球的表面积是( ) A. B. C. D. 【答案】C 【分析】画出图形,通过分析得出 ,外接球球心在过底面外接圆圆心 且垂直于底面(即平行 于 )的直线上面,且底面外接圆半径为 ,设 到平面 的距离为 ,过 作 于点 ,从而 ,由此列出方程组求出 结合球的表面积公式即可 得解. 【解析】 依题意取 的中点为 ,且 交 于点 , 注意到 是 的中点,三角形 是等边三角形,从而 是三角形 的中心, 同时有 , , , 面 , 面 , 所以 面 ,而 面 ,所以平面 面 , 故而点 在平面 的投影在 上面, 注意到三角形 与三角形 都是边长为2的等边三角形,即三角形 与三角形 全等, 从而 , , 面 , 面 , 所以 面 ,因为 面 ,所以 , 因为 面 , 面 ,所以 , 又因为 , 面 , 面 ,故有 面 , 所以 ,注意到点 是直角三角形 斜边上的中点, 所以 是四边形 (或三角形 )外接圆的圆心(这是因为 ,从而 四点共圆), 所以四棱锥 的外接球的球心 在与平面 垂直的 上, 且底面四边形 外接圆的半径为 , 设 到平面 的距离为 ,过 作 于点 , 所以 ,即 , 解得 ,这意味着此时点 与点 重合, 四棱锥 的外接球的表面积是 . 故选:C. 二、多选题 9.(2024·湖南衡阳·三模)设 , 是两个不同的平面,m,n是两条不同的直线,则下列结论正确的是 ( ) A.若 , ,则 B.若 , , ,则 C.若 , ,则 D.若 , , ,则 【答案】AD 【分析】根据线面,面面平行的判定和性质,线面,面面垂直的判定和性质判断即可. 【解析】对于选项A,若 , ,则 ,所以A正确; 对于选项B,若 , , ,则 与 平行或异面,所以B不正确;对于选项C,若 , ,则 可能与 平行,相交或在平面 内,所以C不正确; 对于选项D,设直线 的一个方向向量为 ,直线 的一个方向向量为 , 因为 , ,则 是平面 的一个法向量, 是平面 的一个法向量, 因为 ,所以 ,所以 ,所以D正确. 故选:AD. 10.(2024·贵州六盘水·三模)(多选)如图,在棱长为1的正方体 中,点P是线段 上的动点,则( ) A. 的面积为 B.三棱锥 的体积为 C.存在点P,使得 ⊥ D.存在点P,使得 ⊥平面 【答案】BD 【分析】选项A:当点P与 重合, 为边长是 的等边三角形,求出三角形面积,即可判断;选 项B:利用等体积转化法求解即可;选项C:以 为直径的球面与直线没有公共点,即可判断;选项D: 当P为 的中点时,根据线面垂直的判定定理即可得证.【解析】A选项,在棱长为1的正方体 中, 点P是线段 上的动点,当点P与 重合时, 为等边三角形, 边长为 , 故 的面积为 ,故A错误; B选项,因为 , 其中 , 表示点P到平面 的距离,故 , 所以三棱锥 的体积为 ,故B正确; C选项:在正方体 中,以 为直径的球面,半径 , 则直线 与该球面没有公共点,故不存在点P,故C错误; D选项:取 的中点M,连接PM, 当P为 的中点时,即 为 的交点时,因为 , ,所以四边形 为平行四边形, 故 , 又 , 所以四边形 为平行四边形, 所以 , 因为 ⊥平面 , 易知 ⊥平面 , 因为 平面 , 所以PM⊥ , 又因为在正方体中, ⊥ , 而 ,所以 ⊥平面 ,故D正确. 故选:BD. 11.(2024·山东泰安·模拟预测)如图,在五边形 中,四边形 为正方形, , ,F为AB中点,现将 沿 折起到面 位置,使得 ,则下列结论正确的 是( ) A.平面 平面 B.若 为 的中点,则 平面C.折起过程中, 点的轨迹长度为 D.三棱锥 的外接球的体积为 【答案】ABD 【分析】首先说明 ,结合已知 ,从而证明 平面 ,即可判断A,由 , 即可证明B,过点 作 交 于点 ,求出 ,即可求出 点的轨迹长度,从而判断C,连接 ,即可证明 平面 ,从而得到三棱锥 的外接球即为四棱锥 的外接球,求 出外接球的半径,即可求出球的体积,即可判断D. 【解析】对于A:由题意得 ,所以 ,即 , 而已知 ,且注意到 , , 平面 , 平面 , 所以 平面 , 平面 ,所以平面 平面 ,故A正确; 对于B:因为 为 的中点,所以 ,又 ,所以 , 又 平面 , 平面 ,所以 平面 ,故B正确; 对于C: 因为四边形 为正方形, , ,所以 , 过点 作 交 于点 ,则 ,所以折起过程中, 点的轨迹是以 为圆心, 为半径,圆心角为 的圆弧, 所以 点的轨迹长为 ,故C错误; 对于D:连接 ,则 ,又平面 平面 ,平面 平面 , 平面 ,所以 平面 , 又四边形 为边长为 的正方形,则三棱锥 的外接球即为四棱锥 的外接球, 又四边形 外接圆的直径为 , , 设四棱锥 的外接球的半径为 ,则 ,即 , 所以 , 所以外接球的体积 , 即三棱锥 的外接球的体积为 ,故D正确. 故选:ABD 【点睛】关键点点睛:本题关键是证明平面 平面 ,从而确定点 的旋转角,即可判断B,D 选项关键是转化为求四棱锥 的外接球的体积. 三、填空题12.(2024·福建泉州·模拟预测)若将正方体 绕着棱AB旋转 后,CD所在位置为 的位置,则直线 和平面 所成的角为 . 【答案】 / 【分析】由对称性,不妨设点 在正方形 内,可得平面 与平面 的夹角为 ,然后根 据正方体的性质结合条件求解即可. 【解析】如图,由对称性,不妨设点 在正方形 内, 则 为顶角 的等腰三角形, , 所以平面 与平面 的夹角为 ,旋转后显然 与平面 垂直, 所以直线 和平面 所成的角为 . 故答案为: . 13.(2023·广西·模拟预测)如图,已知在矩形 和矩形 中, , ,且二面角 为 ,则异面直线 与 所成角的正弦值为 . 【答案】 【分析】取 中点为 ,根据二面角平面角定义可知 ,得到 为等边三角形;根据三角 形中位线性质和异面直线所成角的定义可知: 或其补角即为所求角,结合长度关系,利用余弦定理可求得 ,进而得到结果. 【解析】连接 , , ,取 中点 ,连接 , , ∵四边形 , 为矩形,∴ , , 平面 平面 , 平面 , 平面 , ∴ 即为二面角 的平面角,∴ , 又 , ,∴ ,∴ 为等边三角形,∴ ; ∵ , 分别为 , 中点,∴ , , ∴ (或其补角)即为异面直线 与 所成角, ∵ ,∴ , ∴ , 所以异面直线 与 所成角的正弦值为 . 故答案为: . 14.(2024·山东·模拟预测)如图,正方形 和矩形 所在的平面互相垂直,点 在正方形 及其内部运动,点 在矩形 及其内部运动.设 , ,若 ,当四面体 体 积最大时,则该四面体的内切球半径为 .【答案】 或 【分析】先确定 点的轨迹,确定四面体 体积最大时, , 点的位置,再利用体积法求内切球 半径. 【解析】如图: 因为平面 平面 ,平面 平面 , 平面 ,且 , 所以 平面 . 平面 ,所以 , 又 , 平面 ,所以 平面 , 平面 ,所以 . 又 在正方形 及其内部,所以 点轨迹是如图所示的以 为直径的半圆, 作 于 ,则 是三棱锥 的高. 所以当 的面积和 都取得最大值时,四面体 的体积最大. 此时 点应该与 或 重合, 为正方形 的中心. 如图:当 点与 重合, 为正方形 的中心时: , , , , 中,因为 , , ,所以 . 设内切球半径为 ,由 得: . 如图: 当 点与 重合, 为正方形 的中心时: , , , , . 设内切球半径为 ,由 得: . 综上可知,当四面体 的体积最大时,其内切球半径为: 或 .故答案为: 或 【点睛】关键点点睛:根据 得到 点在以 为直径的球面上,又 点在正方形 及其内部, 所以 点轨迹就是球面与平面 的交线上,即以 为直径的半圆上.明确 点轨迹是解决问题的关键. 四、解答题 15.(2024·浙江·模拟预测)如图,已知正三棱柱 分别为棱 的中点. (1)求证: 平面 ; (2)求二面角 的正弦值. 【答案】(1)证明见解析 (2) 【分析】利用线面垂直判定定理来证明;用向量法计算两平面夹角的余弦值,再求夹角的正弦值; 【解析】(1)取 中点 ,由正三棱柱性质得, 互相垂直,以 为原点,分别以 , 所在直线为 轴, 轴, 轴建立如图所示的空间直角坐标系. 不妨设 ,则 , 则 .证明: , 由 ,得 , 由 ,得 , 因为 平面 ,所以 平面 . (2) 由(1)可知 为平面 的一个法向量,设 平面 的法向量, 则 ,故 , 令 ,得面 的一个法向量为 , 设二面角 的值为 , 则 ,所以,二面角 的正弦值为 . 16.(2022·全国·模拟预测)已知四棱锥 的底面为正方形,其中点 在平面 上的投影为 , 点 在线段 上.(1)求证:平面 平面 ; (2)若 与平面 所成角为45°,求二面角 的余弦值. 【答案】(1)证明见解析 (2) 【分析】(1)首先根据题意得到 , ,从而得到 平面 ,再根据面面垂直的判 定即可得到平面 平面 . (2)以 为坐标原点,以 , , 所在的直线分别为 轴, 轴, 轴,建立空间直角坐标系 ,再利用空间向量法求解二面角的余弦值即可. 【解析】(1)∵四边形 是正方形,∴ . ∵ 平面 , 平面 ,∴ . ∵ , 平面 , ,∴ 平面 . 又 平面 ,∴平面 平面 . (2)以 为坐标原点,以 , , 所在的直线分别为 轴, 轴, 轴, 建立如图所示的空间直角坐标系 .设 ,∵ 与平面 所成角为45°,∴ , ∴ , , , , ∴ , . 设平面 的法向量为 ,则 ,即 , 令 ,则 , ,∴ . 易知 为平面 的一个法向量, ∴ ,由图可知,二面角 为锐角, ∴所求二面角 的余弦值为 . 17.(23-24高三上·山东枣庄·期末)如图,直四棱柱 的底面为平行四边形, 分别为 的中点. (1)证明: 平面 ; (2)若底面 为矩形, ,异面直线 与 所成角的余弦值为 ,求 到平面 的距离.【答案】(1)证明见解析 (2) . 【分析】(1)通过证明 平行于面 内的一条直线,即可证明 平面 ; (2)建立空间直角坐标系,设出 的长并表达出各点坐标,利用异面直线 与 所成角的余弦值得 出 ,求出平面 的一个法向量,即可得出 到平面 的距离. 【解析】(1)连接 ,交 于点 ,连接 , 则 为 的中点, 因为 为 的中点,所以 ,且 , 因为 为 的中点,所以 , 所以 ,且 , 所以四边形 为平行四边形, 所以 , 又因为 平面 平面 , 所以 平面 . (2)由题意(1)及几何知识得,在直四棱柱 中, , 两两垂直,以 为坐标原点,分别以 所在直线为 轴、 轴、 轴建立如图所示的空间 直角坐标系. 设 ,则 , , . 设异面直线 与 所成角为 ,则 , 解得: , 故 , 则 设平面 的一个法向量为 , 到平面 的距离为 . 所以 即 取 , 得 .所以 , 即 到平面 的距离为 . 18.(2024·山西晋中·模拟预测)如图,在多面体 中,侧面 为菱形,侧面 为直角梯 形, , , 为 的中点,点 为线段 上一动点,且 , , . (1)若点 为线段 的中点,证明: 平面 ; (2)若平面 平面 ,且 ,在线段 上是否存在点 ,使得直线 与平面 所成角 的余弦值为 ?若存在,求出 的值;若不存在,请说明理由. 【答案】(1)证明见解析 (2)存在, 【分析】(1)取 中点 ,连接 , ,根据中位线和平行四边形的性质得到 ,再证明 ,从而得到 ,然后根据线面平行的判定定理证明; (2)建系,然后利用空间向量的方法列方程,解方程即可. 【解析】(1)取 中点 ,连接 , , 因为 分别为 中点, 所以 且 , 因为四边形 为菱形, 为 中点, 所以 且 , 所以 且 ,则四边形 为平行四边形, 所以 , 又侧面 为直角梯形, , ,且 为 的中点, 所以 且 ,所以四边形 为平行四边形,所以 , 所以 , 因为 平面 , 平面 , 所以 平面 . (2)取 中点 ,连接 , 因为平面 平面 ,平面 平面 , , 平面 , 所以 平面 , 因为 平面 , 平面 , 所以 , , 因为 ,四边形 为菱形, 所以三角形 为等边三角形, 因为 为 中点, 所以 , , 所以 两两垂直, 以 为原点,分别以 为 轴建立空间直角坐标系, 则 , , , , ,所以 , , , 设 ,则 , , 设平面 的法向量为 , 则 ,令 ,则 , , 所以 , 设直线 与平面 所成角为 ,则 ,又 ,所以 , 所以 , 所以 , 所以线段 上存在点 ,使得直线 与平面 所成角的余弦值为 , 此时 . 19.(2024·江西南昌·二模)如图所示,用一个不平行于圆柱底面的平面,截该圆柱所得的截面为椭圆面, 得到的几何体称之为“斜截圆柱”.图一与图二是完全相同的“斜截圆柱”,AB是底面圆 的直径, ,椭圆所在平面垂直于平面ABCD,且与底面所成二面角为 ,图一中,点 是椭圆上的动 点,点 在底面上的投影为点 ,图二中,椭圆上的点 在底面上的投影分别为 ,且 均在直径AB的同一侧.(1)当 时,求 的长度; (2)(i)当 时,若图二中,点 将半圆均分成7等份,求 ; (ii)证明: . 【答案】(1) ; (2)(i) ;(ii)证明见解析 【分析】(1)过 中点 作与该斜截圆柱的底面平行的平面圆 ,利用二面角得到 ,在俯视 图中求出 ,即得 ,代入 ,即得 ; (2)(i)利用(1)推出的公式 ,依次代入 , , ,求得 关于 的三角函数式,利用二倍角公式和诱导公式化简计算即得, (ii)由 ,可得椭圆面的轮廓线即函数 的图象,作出该函数在 上的图象, 并标上 ,作出对应矩形,即得图中所有的矩形面积之和即待证式左式,最后利用补 形求出函数与坐标轴围成的面积 ,比较即得. 【解析】(1)如图,取CD中点 ,过 作与该斜截圆柱的底面平行的平面,交DA于点 ,交BC延长线于点 ,与 交于点 , 因 则 , ,过 作GH的垂线,交圆 于J、K两 点. 过 作 交JK于点 ,又由 圆M,因 圆M,则 ,又因 ,故 平面 , 因 平面 ,故 ,所以 为椭圆面与圆 所在平面的夹角,也即椭圆面与底面所成角, 所以 .则 为等腰直角三角形, . 设 ,如图作圆 所在平面的俯视图,则 , 由 ,所以 ,则有 ,所以 , 所以 ,当 时, ; (2)(i) 时, , 所以 , … 所以(ⅱ) 证明:由(1)知 ,也即 是关于 的函数, 也即将斜截圆柱的侧面沿着AD展开,其椭圆面的轮廓线即为函数 的图象, 如图,将 绘制于函数 图象上, 并以 ,( )为边作矩形,则矩形的面积即为 , 所以 即为这些矩形的面积之和. 而两个该斜截圆柱可拼成一个底面半径为1,高为4的圆柱, 因此该斜截圆柱的侧面积为 , 所以函数 与坐标轴围成的面积为 , 又因为无论点 是否均匀分布在半圆弧AB上, 这些矩形的面积之和都小于函数 与坐标轴围成的面积. 所以 ,得证. 【点睛】思路点睛:本题主要考查“斜截圆柱”的母线长与其在底面的射影对应张角的函数关系的应用,属 于难题.解题思路在于作出与底面平行的横截面,利用二面角建立 与 的函数关系 ,结合 三角函数的图象理解待证式左边的几何意义,最后通过补形求得斜截圆柱的侧面积,比较大小即得.