当前位置:首页>文档>4.4构造函数常见方法(精讲)(教师版)_02高考数学_新高考复习资料_2024年新高考资料_一轮复习资料_完2024年高考数学一轮复习一隅三反系列(新高考)

4.4构造函数常见方法(精讲)(教师版)_02高考数学_新高考复习资料_2024年新高考资料_一轮复习资料_完2024年高考数学一轮复习一隅三反系列(新高考)

  • 2026-04-07 02:15:33 2026-04-07 02:15:33

文档预览

4.4构造函数常见方法(精讲)(教师版)_02高考数学_新高考复习资料_2024年新高考资料_一轮复习资料_完2024年高考数学一轮复习一隅三反系列(新高考)
4.4构造函数常见方法(精讲)(教师版)_02高考数学_新高考复习资料_2024年新高考资料_一轮复习资料_完2024年高考数学一轮复习一隅三反系列(新高考)
4.4构造函数常见方法(精讲)(教师版)_02高考数学_新高考复习资料_2024年新高考资料_一轮复习资料_完2024年高考数学一轮复习一隅三反系列(新高考)
4.4构造函数常见方法(精讲)(教师版)_02高考数学_新高考复习资料_2024年新高考资料_一轮复习资料_完2024年高考数学一轮复习一隅三反系列(新高考)
4.4构造函数常见方法(精讲)(教师版)_02高考数学_新高考复习资料_2024年新高考资料_一轮复习资料_完2024年高考数学一轮复习一隅三反系列(新高考)
4.4构造函数常见方法(精讲)(教师版)_02高考数学_新高考复习资料_2024年新高考资料_一轮复习资料_完2024年高考数学一轮复习一隅三反系列(新高考)
4.4构造函数常见方法(精讲)(教师版)_02高考数学_新高考复习资料_2024年新高考资料_一轮复习资料_完2024年高考数学一轮复习一隅三反系列(新高考)
4.4构造函数常见方法(精讲)(教师版)_02高考数学_新高考复习资料_2024年新高考资料_一轮复习资料_完2024年高考数学一轮复习一隅三反系列(新高考)
4.4构造函数常见方法(精讲)(教师版)_02高考数学_新高考复习资料_2024年新高考资料_一轮复习资料_完2024年高考数学一轮复习一隅三反系列(新高考)
4.4构造函数常见方法(精讲)(教师版)_02高考数学_新高考复习资料_2024年新高考资料_一轮复习资料_完2024年高考数学一轮复习一隅三反系列(新高考)
4.4构造函数常见方法(精讲)(教师版)_02高考数学_新高考复习资料_2024年新高考资料_一轮复习资料_完2024年高考数学一轮复习一隅三反系列(新高考)
4.4构造函数常见方法(精讲)(教师版)_02高考数学_新高考复习资料_2024年新高考资料_一轮复习资料_完2024年高考数学一轮复习一隅三反系列(新高考)
4.4构造函数常见方法(精讲)(教师版)_02高考数学_新高考复习资料_2024年新高考资料_一轮复习资料_完2024年高考数学一轮复习一隅三反系列(新高考)
4.4构造函数常见方法(精讲)(教师版)_02高考数学_新高考复习资料_2024年新高考资料_一轮复习资料_完2024年高考数学一轮复习一隅三反系列(新高考)
4.4构造函数常见方法(精讲)(教师版)_02高考数学_新高考复习资料_2024年新高考资料_一轮复习资料_完2024年高考数学一轮复习一隅三反系列(新高考)
4.4构造函数常见方法(精讲)(教师版)_02高考数学_新高考复习资料_2024年新高考资料_一轮复习资料_完2024年高考数学一轮复习一隅三反系列(新高考)
4.4构造函数常见方法(精讲)(教师版)_02高考数学_新高考复习资料_2024年新高考资料_一轮复习资料_完2024年高考数学一轮复习一隅三反系列(新高考)
4.4构造函数常见方法(精讲)(教师版)_02高考数学_新高考复习资料_2024年新高考资料_一轮复习资料_完2024年高考数学一轮复习一隅三反系列(新高考)

文档信息

文档格式
docx
文档大小
0.496 MB
文档页数
14 页
上传时间
2026-04-07 02:15:33

文档内容

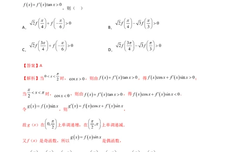
4.4 构造函数常见方法(精讲) 常见的构造模型 一.只含 →加变乘,减变除 1.对于不等式f′(x)+g′(x)>0(或<0),构造函数F(x)=f(x)+g(x) 2.对于不等式f′(x)-g′(x)>0(或<0),构造函数F(x)=f(x)-g(x) 3.对于不等式f′(x)>k(或0(或<0),构造函数F(x)=f(x)g(x) 5.对于不等式f′(x)g(x)-f(x)g′(x)>0(或<0),构造函数 (g(x)≠0). 二.含 1.对于f′(x)+f(x)>0(或<0),构造函数g(x)=exf(x) 2.对于f′(x)+nf(x)>0(或<0),构造函数g(x)=enx·f(x) 3.对于f′(x)-f(x)>0(或<0),构造函数 4.对于f′(x)-nf(x)>0(或<0),构造函数 三.含xf′(x)±f(x) 1.对于xf′(x)+f(x)>0(或<0),则构造函数g(x)=xf(x). 2.对于xf′(x)+nf(x)>0(或<0),则构造函数g(x)=xnf(x); 资料整理【淘宝店铺:向阳百分百】3.对于xf′(x)-f(x)>0(或<0),则构造函数 . 4.对于xf′(x)-nf(x)>0(或<0),则构造函数 . 四.f(x)±f′(x)tan x 1.对于f′(x)tan x+f(x)>0(或<0),构造函数h(x)=f(x)sin x; 2.对于f′(x)tan x-f(x)>0(或<0),构造函数 ; 3.对于f′(x)-f(x)tan x>0(或<0),构造函数h(x)=f(x)cos x; 4.对于f′(x)+f(x)tan x>0(或<0),构造函数 5.对于f′(x)sinx+f(x)cosx>0(或<0),构造函数h(x)=f(x)sin x; 6.对于f′(x)sinx-f(x)cosx>0(或<0),构造函数 ; 7.对于f′(x)cosx-f(x)sin x>0(或<0),构造函数h(x)=f(x)cos x; 8.对于f′(x)cosx+f(x)sin x>0(或<0),构造函数 考法一 常见构造函数模型 【例1-1】(2023春·四川凉山)已知函数 满足 ,且 的导函数 ,则 的解集为( ) A. B. C. D. 【答案】D 【解析】设 ,则 ,因为 ,所以 ,即函数 在 上单调递减, 则 ,即 ,即 , 资料整理【淘宝店铺:向阳百分百】所以 ,即 的解集为 . 故选:D 【例1-2】(2023·青海海东·统考模拟预测)已知 是奇函数 的导函数,且当 时, ,则( ) A. B. C. D. 【答案】A 【解析】当 时, ,则由 ,得 ; 当 时, ,则由 ,得 . 令 ,则 , 故g(x)在 上单调递增,在 上单调递减. 又f(x)是奇函数,所以 是偶函数, 故 ,即 , , 即 . 与 和 的大小关系不确定. 故选:A. 【一隅三反】 资料整理【淘宝店铺:向阳百分百】1.(2023春·江苏盐城)已知函数 的定义域为R, 为 的导函数,且 ,则不 等式 的解集是( ) A. B. C. D. 【答案】D g x   xf x  f  x   0 【解析】根据题意,构造函数 ,则 , gx x2 f x2x2f  x2 gx2g  x2 所以函数 在R上单调递增,又 ,即 , x2x2 x2x20 1x2 所以 ,即 ,解得 .故选:D. 2.(2023·广东佛山·校考模拟预测)已知 是函数 的导函数,对于任意的 都有 ,且 ,则不等式 的解集是( ) A. B. C. D. 【答案】D 【解析】法一:构造特殊函数.令 ,则 满足题目条件,把 代 入 得 解得 , 故选: . 法二:构造辅助函数.令 ,则 , 所以 在 上单调递增, 资料整理【淘宝店铺:向阳百分百】又因为 ,所以 ,所以 , 故选:D.  π π 3.(2023秋·陕西西安)已知函数 f x 的定义域为    2 , 2  ,其导函数是 fx . 有 π f x2f  cosx fxcosx f xsinx0,则关于x的不等式 3 的解集为( ) π π π π  π π  π π  ,   ,   ,   ,  A.3 2 B.6 2 C. 6 3 D. 2 6 【答案】A 【解析】构造函数gx f x ,其中x   π , π ,则gx fxcosx f xsinx 0, cosx  2 2 cos2 x  π π 所以,函数 gx在   2 , 2   上单调递减, π f x f  3    因为 x   π , π  ,则 ,由 f x2f   π cosx 可得 cosx cos π ,  2 2 cosx0 3 3  π x   3 即 ,所以, ,解得 , gxg   π   π x π π x π 3  2 2 3 2 π π π f x2f  cosx  ,  因此,不等式 3 的解集为3 2. 故选:A. R f x fx fx2f x0 4.(2023·安徽黄山·统考三模)已知定义域为 的函数 ,其导函数为 ,且满足 , f 01 ,则( ) e2f 11 f 1e2 A. B. 资料整理【淘宝店铺:向阳百分百】1 1 f  e f 1ef   C. 2 D. 2 【答案】C fxe2x 2f xe2x fx2f x f x gx  【解析】gx ,则  e2x2 e2x , e2x fx2f x0 R 因为 在 上恒成立, gx0 所以 在R上恒成立, gx R 故 在 上单调递减, f 1 f 0 所以 g1g0, e2 e2f 1 e0 1,故A不正确; f 1 f 0 所以g1g0,即 e2  e0 ,即 f 1e2f 0e2,故B不正确; 1 g   1 g0,即 f  2    f 0 1 ,即 f   1 e,故C正确; 2 e1 e0 2 1 g   1 g1,即 f  2    f 1 ,即 f 1ef   1  ,故D不正确;故选:C. 2 e1 e2 2 考法二 结构同构 1 ln3 6ln27 【例2-1】(2023·河南南阳·南阳中学校考三模)设 p ,q ,r ,则( ) e 3 e2 A. pqr B.prq r pq rq p C. D. 【答案】A 1 lne ln3 6ln27 p  ,q ,r 【解析】由 , e e 3 e2 lnx 1lnx 令函数 f x ,可得 fx , x x2 x(0,e) f�( x) >0 f x 当 ,可得 , 单调递增; 资料整理【淘宝店铺:向阳百分百】x(e,) fx0 f x 当 ,可得 , 单调递减, 1 所以当xe,函数 f x取得极大值,即为最大值 f x e , y f x 函数 的图形,如图所示, lnx 对于函数 f x x ,当 f x 1  f x 2 且x 1  x 2 时,x 1 x 2 e2. 设 f    e 3 2     f x 0  且 x 0  e 3 2 , e2 e2 6ln27 则x 0  3 e2,可得 x 0 3 ,所以 f x 0  f 3,所以 f 3 f( 3 ) e2 , pqr 所以 . 故选:A. a22ln3 b33ln2 c5ln6 【例2-2】(2023春·安徽)已知 , , ,则( ) A.abc B.bac C.acb D.b0 f x 2,5 所以 , 在 单调递增, 资料整理【淘宝店铺:向阳百分百】f 2 f 3 f 4 f 5 ln2ln9ln3ln8ln4ln7ln5ln6 所以 ,即 , 所以abc.故选:A. 【一隅三反】 1.(2022·新疆乌鲁木齐)设 , , ,则( ) A.abc B.acb C.c0 f x ,所以 单调递增, 98 98 98 98 1 则 f  ln  1ln   f 10, 99 99 99 99 99 98 1 ln  所以 ,则 ; 99 99 ca gxex 1x gxex1 , , x0, gx0 gx 0, 当 时, ,所以 在 上单调递增, g   98 e  9 9 9 8 1 98 e  9 9 9 8  1  g00 所以  99 99 99 ,  98 1 所以e 99  ,故 ,故 . 99 c0 f x 当 时, , 单调递增. f x  f 00 故 min , 可得ex x1,当且仅当x0时,等号成立, 从而e0.2 1.2. e1.2 ee0.2 e10.23.243.2 1.2ln3.2 abc 因为 ,所以 ,故 . 资料整理【淘宝店铺:向阳百分百】故选:A. 3 2.(2023·全国·高三专题练习)设 , ,c ,则( ) aln0.7 b0.3e0.3 7 A.abc B.bac C.c0 x0, fx0 当 时, ,当 时 , f xln1xx 0, 1,0 所以函数 在 单调递减,在 上单调递增, 3 10 3 3 10 所以 f   f 00,所以ln  0,故 ln ln0.7,即 , 7 7 7 7 7 ca 所以 f   3   f 00,所以ln 7  3 0,故 7 e  1 3 0,所以 3 e1 3 0  3 ,故 ,  10 10 10 10 10 7 bc 1  x21  ex1 设gxxexln1x0x1 ,则 gxx1ex  x1  x1 hxex x21  1 hxex x22x1  令 , , hx0 hxex x21  1 0x 21 当 时, ,函数 单调递减, hx0 hxex x21  1 21x1 当 时, ,函数 单调递增, h00 hx0 0x 21 又 ,所以当 时, , gx0 gxxexln1x 0x 21 所以当 时, ,函数 单调递增, g0.3g00 0.3e0.3 ln0.7 所以 ,即 ,所以ba. 方法二:比较法 0.3 解:aln10.3, b0.3e0.3 , c 10.3 lnblnc0.3ln10.3 f xxln1x x0,0.3 ① ,令 , , 资料整理【淘宝店铺:向阳百分百】1 x 则 fx1  0 ,故 f x在0,0.3上单调递减,可得 f 0.3 f 00,即 ,所 1x 1x lnblnc0 以bc; ba0.3e0.3ln10.3 gxxexln1x x0,0.3 ② ,令 , , 1 1x1xex 1 则gxxex ex   1x 1x kx1x1xex1 kx  1x22x  ex 0 令 ,所以 kx 0,0.3 kxk00 gx0 所以 在 上单调递增,可得 ,即 gx 0,0.3 g0.3g00 ba0 所以 在 上单调递增,可得 ,即 ,所以ba. 故abc. 故选:A. ae0.02,b1.012,cln2.59 3.(2022·陕西·虢镇中学高三阶段练习(理))已知 ,则( ) A.abc B.bac C.cba D.c