当前位置:首页>文档>4.2利用导数求单调性(精练)(教师版)_02高考数学_新高考复习资料_2024年新高考资料_一轮复习资料_完2024年高考数学一轮复习一隅三反系列(新高考)

4.2利用导数求单调性(精练)(教师版)_02高考数学_新高考复习资料_2024年新高考资料_一轮复习资料_完2024年高考数学一轮复习一隅三反系列(新高考)

  • 2026-04-07 02:10:27 2026-04-07 02:10:27

文档预览

4.2利用导数求单调性(精练)(教师版)_02高考数学_新高考复习资料_2024年新高考资料_一轮复习资料_完2024年高考数学一轮复习一隅三反系列(新高考)
4.2利用导数求单调性(精练)(教师版)_02高考数学_新高考复习资料_2024年新高考资料_一轮复习资料_完2024年高考数学一轮复习一隅三反系列(新高考)
4.2利用导数求单调性(精练)(教师版)_02高考数学_新高考复习资料_2024年新高考资料_一轮复习资料_完2024年高考数学一轮复习一隅三反系列(新高考)
4.2利用导数求单调性(精练)(教师版)_02高考数学_新高考复习资料_2024年新高考资料_一轮复习资料_完2024年高考数学一轮复习一隅三反系列(新高考)
4.2利用导数求单调性(精练)(教师版)_02高考数学_新高考复习资料_2024年新高考资料_一轮复习资料_完2024年高考数学一轮复习一隅三反系列(新高考)
4.2利用导数求单调性(精练)(教师版)_02高考数学_新高考复习资料_2024年新高考资料_一轮复习资料_完2024年高考数学一轮复习一隅三反系列(新高考)
4.2利用导数求单调性(精练)(教师版)_02高考数学_新高考复习资料_2024年新高考资料_一轮复习资料_完2024年高考数学一轮复习一隅三反系列(新高考)
4.2利用导数求单调性(精练)(教师版)_02高考数学_新高考复习资料_2024年新高考资料_一轮复习资料_完2024年高考数学一轮复习一隅三反系列(新高考)
4.2利用导数求单调性(精练)(教师版)_02高考数学_新高考复习资料_2024年新高考资料_一轮复习资料_完2024年高考数学一轮复习一隅三反系列(新高考)
4.2利用导数求单调性(精练)(教师版)_02高考数学_新高考复习资料_2024年新高考资料_一轮复习资料_完2024年高考数学一轮复习一隅三反系列(新高考)
4.2利用导数求单调性(精练)(教师版)_02高考数学_新高考复习资料_2024年新高考资料_一轮复习资料_完2024年高考数学一轮复习一隅三反系列(新高考)
4.2利用导数求单调性(精练)(教师版)_02高考数学_新高考复习资料_2024年新高考资料_一轮复习资料_完2024年高考数学一轮复习一隅三反系列(新高考)
4.2利用导数求单调性(精练)(教师版)_02高考数学_新高考复习资料_2024年新高考资料_一轮复习资料_完2024年高考数学一轮复习一隅三反系列(新高考)
4.2利用导数求单调性(精练)(教师版)_02高考数学_新高考复习资料_2024年新高考资料_一轮复习资料_完2024年高考数学一轮复习一隅三反系列(新高考)
4.2利用导数求单调性(精练)(教师版)_02高考数学_新高考复习资料_2024年新高考资料_一轮复习资料_完2024年高考数学一轮复习一隅三反系列(新高考)
4.2利用导数求单调性(精练)(教师版)_02高考数学_新高考复习资料_2024年新高考资料_一轮复习资料_完2024年高考数学一轮复习一隅三反系列(新高考)
4.2利用导数求单调性(精练)(教师版)_02高考数学_新高考复习资料_2024年新高考资料_一轮复习资料_完2024年高考数学一轮复习一隅三反系列(新高考)
4.2利用导数求单调性(精练)(教师版)_02高考数学_新高考复习资料_2024年新高考资料_一轮复习资料_完2024年高考数学一轮复习一隅三反系列(新高考)
4.2利用导数求单调性(精练)(教师版)_02高考数学_新高考复习资料_2024年新高考资料_一轮复习资料_完2024年高考数学一轮复习一隅三反系列(新高考)
4.2利用导数求单调性(精练)(教师版)_02高考数学_新高考复习资料_2024年新高考资料_一轮复习资料_完2024年高考数学一轮复习一隅三反系列(新高考)
4.2利用导数求单调性(精练)(教师版)_02高考数学_新高考复习资料_2024年新高考资料_一轮复习资料_完2024年高考数学一轮复习一隅三反系列(新高考)
4.2利用导数求单调性(精练)(教师版)_02高考数学_新高考复习资料_2024年新高考资料_一轮复习资料_完2024年高考数学一轮复习一隅三反系列(新高考)
4.2利用导数求单调性(精练)(教师版)_02高考数学_新高考复习资料_2024年新高考资料_一轮复习资料_完2024年高考数学一轮复习一隅三反系列(新高考)
4.2利用导数求单调性(精练)(教师版)_02高考数学_新高考复习资料_2024年新高考资料_一轮复习资料_完2024年高考数学一轮复习一隅三反系列(新高考)
4.2利用导数求单调性(精练)(教师版)_02高考数学_新高考复习资料_2024年新高考资料_一轮复习资料_完2024年高考数学一轮复习一隅三反系列(新高考)
4.2利用导数求单调性(精练)(教师版)_02高考数学_新高考复习资料_2024年新高考资料_一轮复习资料_完2024年高考数学一轮复习一隅三反系列(新高考)
4.2利用导数求单调性(精练)(教师版)_02高考数学_新高考复习资料_2024年新高考资料_一轮复习资料_完2024年高考数学一轮复习一隅三反系列(新高考)
4.2利用导数求单调性(精练)(教师版)_02高考数学_新高考复习资料_2024年新高考资料_一轮复习资料_完2024年高考数学一轮复习一隅三反系列(新高考)
4.2利用导数求单调性(精练)(教师版)_02高考数学_新高考复习资料_2024年新高考资料_一轮复习资料_完2024年高考数学一轮复习一隅三反系列(新高考)
4.2利用导数求单调性(精练)(教师版)_02高考数学_新高考复习资料_2024年新高考资料_一轮复习资料_完2024年高考数学一轮复习一隅三反系列(新高考)
4.2利用导数求单调性(精练)(教师版)_02高考数学_新高考复习资料_2024年新高考资料_一轮复习资料_完2024年高考数学一轮复习一隅三反系列(新高考)
4.2利用导数求单调性(精练)(教师版)_02高考数学_新高考复习资料_2024年新高考资料_一轮复习资料_完2024年高考数学一轮复习一隅三反系列(新高考)
4.2利用导数求单调性(精练)(教师版)_02高考数学_新高考复习资料_2024年新高考资料_一轮复习资料_完2024年高考数学一轮复习一隅三反系列(新高考)
4.2利用导数求单调性(精练)(教师版)_02高考数学_新高考复习资料_2024年新高考资料_一轮复习资料_完2024年高考数学一轮复习一隅三反系列(新高考)
4.2利用导数求单调性(精练)(教师版)_02高考数学_新高考复习资料_2024年新高考资料_一轮复习资料_完2024年高考数学一轮复习一隅三反系列(新高考)
4.2利用导数求单调性(精练)(教师版)_02高考数学_新高考复习资料_2024年新高考资料_一轮复习资料_完2024年高考数学一轮复习一隅三反系列(新高考)

文档信息

文档格式
docx
文档大小
1.897 MB
文档页数
32 页
上传时间
2026-04-07 02:10:27

文档内容

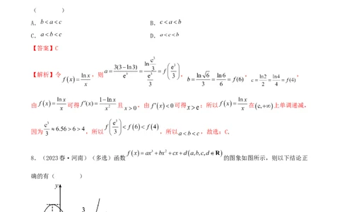
4.2 利用导数求单调性(精练) 1.(2023春·江西鹰潭)函数 的单调递增区间为( ) A. B. C. D. 【答案】D 【解析】函数的定义域为 . ,则 . 令 ,解得 .故选:D 2.(2023·江西鹰潭)函数 的单调递增区间为( ) A. B. C. D. 【答案】D 【解析】因为 ,所以 ,由 ,即 ,解得 , 所以函数 的单调递增区间为 ,故选:D 3.(2023春·四川乐山)函数 的单调递减区间为( ) A. B. C. D. , 【答案】A 【解析】 ,当 时, 单调递增,当 时, 单调递 减; 的减区间是 ;故选:A. 4.(2023春·吉林长春)若函数 在区间 上是增函数,则实数a的取值范围为 资料整理【淘宝店铺:向阳百分百】( ) A. B. C. D. 【答案】D 【解析】 ,则 由函数 在区间 上是增函数,可得 在区间 上恒成立, 即 在区间 上恒成立,又由 ,可得 ,则 故选:D 5.(2023·全国·高三专题练习)若函数 在 上为增函数,则a的取值范围是 ( ) A. B. C. D. 【答案】B 【解析】题意得 对 恒成立,即 对 恒成立. 因为y=ax+a+1的图象为直线,所以 ,解得 .故选:B. 6.(2023春·山东聊城)已知函数 ,则 单调递增的一个充分不必要条件可以 是( ) A. B. C. D. 【答案】B 【解析】由 且 , 令 ,要使 单调递增,即 恒成立, 当 时 满足题设; 资料整理【淘宝店铺:向阳百分百】当 ,可得 ,则 ,满足题设; 综上,使 单调递增,则 , A为充要条件,B为充分不必要条件,C、D既不充分也不必要条件. 故选:B 7.(2023·全国·高三专题练习)设 , , ,则 , , 的大小关系是 ( ) A. B. C. D. 【答案】C 【解析】令 ,则 , , , 由 可得 且 ,由 可得 ;所以 在 上单调递减, 因为 ,所以 ,所以 ,故选:C. 8.(2023春·河南)(多选)函数 的图象如图所示,则以下结论正 确的有( ) A. B. C. D. 【答案】BC 【解析】由 的图象可知 在 和 上单调递增,在 上单调递减,在 处取得 资料整理【淘宝店铺:向阳百分百】极大值,在 处取得极小值, 又 ,所以 和 为方程 的两根且 ; 所以 , , 所以 , , , ,故A错误,B正确; 所以 , ,故C正确,D错误. 故选:BC 9.(2023春·安徽安庆)(多选)如图是函数 的导函数 的图象, ,则 下列判断正确的是( ) A. 单调递增区间为 B. C. D. 【答案】ABD 【解析】对于A,由题图知当 时, ,所以在区间 上, 单调递 增,故 正确; 对于B,当 时, 单调递减,在 上, 单调递增;当 时, 单调递减,所以 ,故B正确; 对于C, 不一定是函数的最大值,最大值可能由区间 的端点产生,所以 错误; 对于D,当 时, , 单调递减,所以 ,故D正确; 故选:ABD. 资料整理【淘宝店铺:向阳百分百】10.(2023·全国·高三对口高考)设函数 ,则函数 的单调增区间为__________. 【答案】 和 【解析】 , 令 ,得 或 , 解得 或 , 所以函数 的单调增区间为 和 , 故答案为: 和 . 11.(2023春·河南洛阳)函数 的单调递增区间为__________. 【答案】 / 【解析】 由 得: .所以 单调递增区间为 故答案为: 12.(2023·宁夏银川·银川一中校考三模)若函数 在区间 上不单调,则实数 的取值范围为________. 【答案】 【解析】由 可知,其定义域为 ,则 , 易知当 时, ;当 时, ; 即函数 在 单调递减,在 上单调递增; 若函数 在区间 上不单调,则需满足 ,解得 ; 所以实数 的取值范围为 .故答案为: 资料整理【淘宝店铺:向阳百分百】13.(2023·全国·高三对口高考)函数 在区间 内单调递减,且在区间 及 内单调递增,则实数p的取值集合是__________. 【答案】 【解析】因为函数 在 内单调递减,在 及 内单调递增, 因此 分别是函数 的极大值、极小值点,而 , 于是 ,且 ,解得 ,此时 , 当 时, ,当 或 时, , 因此函数 在 内单调递减,在 及 内单调递增,符合题意, 所以实数p的取值集合是 . 故答案为: 14.(2023·甘肃)若函数 存在增区间,则实数 的取值范围为_____________. 【答案】 【解析】 ,定义域为 , , 由题意可知,存在 使得 ,即 . 当 时, ,所以, ,因此,实数 的取值范围是 . 故答案为: . 15.(2023春·广东广州)已知函数 在 上单调递减,则 的取值范围是 ______. 【答案】 【解析】函数 ,求导得 , 依题意, , ,即 恒成立, 资料整理【淘宝店铺:向阳百分百】显然函数 是开口向上的二次函数,因此 ,解得 , 所以 的取值范围是 .故答案为: 16.(2023春·河南洛阳)已知函数 ,若 在定义域上单调递增,则实数 的 取值范围是________. 【答案】 【解析】依题意,当 时, 恒成立,即 恒成立, 所以, 在 上恒成立, 构造函数 ,则 ,由 得 ,由 得 所以函数 在区间 上递减,在区间 上递增, 所以,函数 在 处取得极小值也即是最小值,故 , 所以, ,即实数 的取值范围是 故答案为: . 17.(2023春·河南洛阳)已知函数 ,若函数 在 上单调递减,则实数 的取值范围是____________. 【答案】 【解析】 , 因为 在 上单调递减,故 ,有 恒成立, 故 对 恒成立, 所以 对 恒成立, 资料整理【淘宝店铺:向阳百分百】故 对 恒成立, 令 ,而 在 上为减函数, 故 在 上最大值为 , 故 . 故答案为: . 18.(2023春·安徽六安)若函数 在 上是减函数,则 的最大值是__________. 【答案】3 【【解析】函数 ,求导得 ,依题意, , 恒成立, 即 ,恒有 成立,而当 时, ,因此 , 当 时, ,对 , ,即函数 在 上是减函数, 所以 的最大值是3. 故答案为:3 19.(2023·全国·统考高考真题)设 ,若函数 在 上单调递增,则a的 取值范围是______. 【答案】 【解析】由函数的解析式可得 在区间 上恒成立, 则 ,即 在区间 上恒成立, 故 ,而 ,故 , 故 即 ,故 , 资料整理【淘宝店铺:向阳百分百】结合题意可得实数 的取值范围是 . 故答案为: . 20.(2023春·高二单元测试)设函数 在区间 上是减函数,则 的取值 范围是_________. 【答案】 【解析】因 , , 若 , ,当 时, ,符合题意, 当 时, 得 ,因 ,故 , 由题意 在 上恒成立, 设 , 则 在 上单调递减,故 故 , ,综上 , 故答案为: 21.(2023广东)若函数 在区间 上为减函数,在区间 上为增函 数,则实数 的取值范围是__________. 【答案】 【解析】因为 , 所以 , 令 得 或 , 因为 在区间 上为减函数,在区间 上为增函数,所以 ,即 , 资料整理【淘宝店铺:向阳百分百】当 时, ,则 单调递减; 当 时, ,则 单调递增; 所以 ,解得 ,故 , 所以实数 的取值范围为 . 故答案为: . 22.(2023·全国·高三专题练习)已知函数 在 上单调递增.则 的取值范围为 __________. 【答案】 【解析】由题得 .由题可知 在 上恒成立,即 , 即 在 上恒成立,因为 ,所以 ,解得 . 故答案为: 23.(2023春·上海杨浦)函数 的导函数 的图像如图所示,以下结论正确的序号是 ______. (1) 是函数 的极值点; (2) 是函数 的极小值点 (3) 在区间 上严格增; (4) 在 处切线的斜率大于零; 【答案】(1)(3)(4); 资料整理【淘宝店铺:向阳百分百】【解析】由图象可得 时, ,且 时 , 时 ,即 是函数 的极小值点,(1)正确; 而 时, ,但 与 时, ,∴ 不是函数 的极值点,(2)不正 确; 由图象可知 上 ,∴ 在区间 上严格增,(3)正确; 处 ,所以该处切线的斜率大于零,(4)正确; 故答案为:(1)(3)(4); 24.(2023·全国·高三专题练习)已知函数 在定义域 内可导,其图象如下图,记 的导函数为 ,则不等式 的解集为______________. 【答案】 【解析】由函数图象可得,在定义域 内函数的单调递减区间为 , 故不等式 的解集为: , 故答案为: 25.(2023·全国·高三专题练习)已知函数 在 上单调递增,则实数 的取 值范围为______ 【答案】 【解析】由题可知 在 上恒成立, 资料整理【淘宝店铺:向阳百分百】则 ,即 在 上恒成立, 令 ,则 在 上恒成立, 故 在 上单调递增,则 ,故 , ,即m的取值范围为 . 故答案为: 26.(2023北京)函数 的图象如图所示, 为函数 的导函数,则不等式 的解集为 ______________. 【答案】 【解析】由图可知,函数 在 上单调递减,在 上单调递增,在 上单调递减,在 上单调递增. 所以,当 时, ;当 时, ;当 时, ;当 时, . 当 时,由 可得 ,此时 ; 当 时,由 可得 ,此时 . 综上所述,解集为 . 故答案为: . 资料整理【淘宝店铺:向阳百分百】1.(2023春·山东淄博·高二山东省淄博实验中学校联考期中)若函数 在 上是增函数,则实数a的取值范围是( ) A. B. C. D. 【答案】C 【解析】∵ 递增,∴ 恒成立, 令 ,即 恒成立, 因为 , , 当 时, , 而 在 上为增函数,故存在 ,使得 , 当 时, , 递减, 当 时, , 递增, 所以 , 即 , ,即 故选:C 2.(2023湖北省)已知函数 ,设 , , ,则 ( ) A. B. 资料整理【淘宝店铺:向阳百分百】C. D. 【答案】D 【解析】由函数 , 可得函数 为偶函数且在 上为增函数, 设 , 则 , 所以 是 上的增函数,所以 ,即 , 所以 ,左右两边同时乘以 ,可得 , ,即 ; 设 ,可得 , 当 时, , 单调递增,所以 ,即 , 所以 ,即 ,即 ,即 , 综上可得, . 故选:D. 3.(2023·全国·模拟预测)已知 ,其导函数 的图像如图所示, 则 在 内的极值点个数为( ) A.0 B.1 C.2 D.3 【答案】B 资料整理【淘宝店铺:向阳百分百】【解析】因为 , 所以 , 由图象知: , 则 , , 所以 , 又 , 则 , 即 , 因为 , 所以 , 所以 ,则 , 所以 , 则 , 令 ,即 , 因为 ,所以 , 所以 ,解得 , 所以当 时, ,当 时, , 所以当 时, 取得极大值, 资料整理【淘宝店铺:向阳百分百】所以 在 内的极值点个数为1, 故选:B 4.(2023春·山东聊城)已知偶函数 满足 对 恒成立,下列 正确的是( ) A. B. C. D. 【答案】A 【解析】因为 为偶函数,则 , 令 ,则 , 所以 为偶函数, 又 ,则当 时 , 所以 在 上单调递增,则 , 所以 ,即 ,故A正确; ,即 , 则 ,即 ,故B错误; ,即 , 则 ,即 ,故C错误; 资料整理【淘宝店铺:向阳百分百】,即 , 则 ,即 ,故D错误; 故选:A 5.(2023·全国·高三专题练习)已知函数 在 内单调递增,则实数 的取值范围 为______ 【答案】 【解析】因为 ,所以, , 因为函数 在 内单调递增,则 在 内恒成立, 即 ,解得 . 令 , ,则 , 故 在 内单调递增,则 ,故 , 即实数 的取值范围为 . 故答案为: . 6.(2023·重庆·统考模拟预测)已知函数 ,讨论函数 的单调性; 【答案】答案见解析; 【解析】函数 的定义域为 ,求导得 , ①当 ,即 时, 恒成立,此时 在 上单调递减; 资料整理【淘宝店铺:向阳百分百】②当 ,即 时,由 解得, , 由 解得, ,由 解得 或 , 此时 在 上单调递增,在 和 上单调递减; ③当 ,即 时,由 解得 或 (舍), 由 解得 ,由 解得 , 此时 在 上单调递增,在 上单调递减, 所以当 时,函数 在 上单调递减; 当 时,函数 在 上单调递增,在 和 上单调递减; 当 时,函数 在 上单调递增,在 上单调递减. 7.(2023·全国·统考高考真题)已知函数 .讨论 的单调性; 【答案】答案见解析 【解析】因为 ,定义域为 ,所以 , 当 时,由于 ,则 ,故 恒成立, 所以 在 上单调递减; 当 时,令 ,解得 , 当 时, ,则 在 上单调递减; 当 时, ,则 在 上单调递增; 综上:当 时, 在 上单调递减; 资料整理【淘宝店铺:向阳百分百】当 时, 在 上单调递减, 在 上单调递增. 8.(2023·上海徐汇·上海市南洋模范中学校考模拟预测)已知函数 ,其中 . (1)若函数 定义域内的任意x使 恒成立,求实数a的取值范围; (2)讨论函数 的单调性. 【答案】(1) (2)答案见解析 【解析】(1)因为 ,显然 , 则 , 因为 恒成立,则 ,对 恒成立, 当 时, ,则 恒成立,故 ; 当 时, ,则 恒成立,故 ; 综上, . (2)由(1)知 , , ①当 时, , 当 时, ,则 , 单调递减, 当 时, ,则 单调递增, 即当 时, 在 上单调递减, 上单调递增; ②当 时, 当 时,由(1)知 在 单调递增; 当 时,当 时, ; 当 时, ; 资料整理【淘宝店铺:向阳百分百】当 时, ; 故当 和 时, ;当 时, ; 因此 在 上单调递增,在 上单调递减; 当 时,当 时, ; 当 时, ; 当 时, ; 故当 和 时, ;当 时, ; 因此 在 上单调递增,在 上单调递减; 综上:当 时, 在 上单调递减, 上单调递增; 当 时, 在 上单调递增,在 上单调递减; 当 时, 在 单调递增; 当 时, 在 上单调递增,在 上单调递减. 9.(2023·河南开封·校考模拟预测)已知函数 ,讨论 的单调性; 【答案】答案见解析 【解析】函数 定义域为 , , 令 ,则 , 当 ,即 时 , ,所以 在定义域 上单调递增; 当 ,即 时 恒成立,所以 在定义域上单调递增, 令 ,则 ,即 , 资料整理【淘宝店铺:向阳百分百】当 ,即 时解得 ,所以当 时 ,当 时 , 所以 在 上单调递增,在 上单调递减, 当 ,即 ,此时 恒成立,所以 在 上单调递增, 当 ,即 时 恒成立,所以 在定义域上单调递减, 令 ,则 ,即 ,解得 , 所以当 时 ,当 时 , 所以 在 上单调递减,在 上单调递增, 综上可得:当 时 在 上单调递增; 当 时 在 上单调递增,在 上单调递减; 当 时 在 上单调递增; 当 时 在 上单调递减,在 上单调递增. 10.(2023·全国·高三对口高考)求下列函数的单调区间 (1) ; (2) . 【答案】(1)答案见解析;(2)答案见解析. 【解析】(1)函数 的定义域为 ,求导得 , 当 时, 恒成立,函数 在(0, 上单调递減; 当 时,令 ,有 , , 当 ,即有 时, , 恒成立,即 在 上恒成立, 在 上单调递增; 资料整理【淘宝店铺:向阳百分百】当 ,即有 时,令 ,解得 , 由 ,即 ,得 或 , 由 ,即 ,得 , 因此函数 在 , 上单调递增,在 上单调递减, 所以当 时, 的递减区间是 ,无递增区间; 当 时,函数 的递增区间为 , ,递减区间为 ; 当 时, 的递增区间是 ,无递诫区间. (2)函数 的定义域为 , 求导得 , 当 时,恒有 成立,当 时, ,当 时, , 于是函数 在 上单调递减,在 上单调递增; 当 时, ,由 ,得 或 , 若 ,即 时, 恒成立,当 时, ,当 时, , 函数 在 上单调递增,在 上单调递减; 当 时,有 , 恒成立,函数 在 上单调递减; 资料整理【淘宝店铺:向阳百分百】当 时,有 ,当 或 时, ,当 时, , 因此函数 在 , 上单调递减,在 上单调递增; 当 时,有 ,当 或 时, ,当 时, , 因此函数 在 , 上单调递减,在 上单调递增, 所以当 时,函数 的递减区间是 ,递增区间是 ; 当 时,函数 的递减区间是 , ,递增区间是 ; 当 时,函数 的递减区间是 ,无递增区间; 当 时,函数 的递减区间是 , ,递增区间是 ; 当 时,函数 的递减区间是 ,递增区间是 . 11.(2023·全国·高三对口高考)已知函数 ,求函数 的单 调区间. 【答案】答案见解析. 【解析】函数 的定义域为 ,求导得 , 当 时, ,由 ,得 ,由 ,得 , 因此函数 在 上单调递增,在 上单调递减; 当 时,由 ,得 或 , 当 或 时, ,当 时, , 因此 在 , 上单调递增,在 上单调递减; 当 时, 恒成立,当且仅当 时取等号,因此 在 上单调递增; 当 时,当 或 时, ,当 时, , 因此 在 , 上单调递增,在 上单调递减, 所以当 时, 的单调递增区间为 ,单调递减区间为 ; 当 时, 的单调递增区间为 , ,单调递减区间为 ; 资料整理【淘宝店铺:向阳百分百】当 时, 的单调递增区间为 ,无单调递减区间; 当 时, 的单调递增区间为 , ,单调递减区间为 . 12.(2023·黑龙江大庆·大庆实验中学校考模拟预测)已知函数 . (1)讨论函数 的单调性; (2)当 时, ,求实数a的取值范围; 【答案】(1)答案见解析(2) 【解析】(1)依题意, , ; 当 时, ,函数 在 上单调递增; 当 时,令 ,解得 , 故当 时, ;当 时, , 故函数 在 上单调递增,在 上单调递减; 综上所述,当 时,函数 在 上单调递增;当 时,函数 在 上单调递增, 在 上单调递减; (2)依题意, ,由(1)知,当 时,函数 在 上单调递增;符合题意, 时,当 ,即 时,函数f(x)在 上单调递增,在 上单调递减, ,解得 ,所以 , 当 ,即 时,函数f(x)在[0,2]上单调递增, 成立, 综上,实数a的取值范围是 . 13.(2023·江苏·统考模拟预测)已知函数 .讨论函数 的单调性; 资料整理【淘宝店铺:向阳百分百】【答案】答案见解析 【解析】易知 ,又因为 , 令 , , ①当 ,即 时, 恒成立,所以 ,此时, 在区间 上是增函数; ②当 ,得到 或 ,又 ,其对称轴为 ,且 ,所以, 当 时, ,所以 在区间 上恒成立, 即 在区间 上恒成立,此时 在区间 上是增函数; 当 时, ,且 ,由 , 得到 或 , 时, , 时, 即 时, , 时, 此时, 在 上是减函数, 在 上是增函数. 综上所述,当 时, 在 上是增函数; 资料整理【淘宝店铺:向阳百分百】当 时, 在 上是减函数, 在 上是增函数. 14.(2023·广东广州·统考模拟预测)设函数 ,其中 . (1)讨论 的单调性; (2)若 存在两个极值点,设极大值点为 为 的零点,求证: . 【答案】答案见解析 【解析】由 ① 时,由 ,令 ,解得 , 所以 时, 时, , 则 在 单调递增,在 单调递减; ② 时,由 , (i) 时,因为 ,则 在 单调递增, (ii) 时, ,解得 或 , 所以 时, 时, , 则 在 , 上单调递增,在 单调递减; (iii) 时,由 , 所以 时, 时, , 则 在 , 上单调递增,在 单调递减; 资料整理【淘宝店铺:向阳百分百】综上: 时, 的单调递增区间为 ,单调递减区间为 ; 时, 的单调递增区间为 和 ,单调递减区间为 ; 时, 的单调递增区间为 ; 时, 的单调递增区间为 和 ,单调递减区间为 ; 15.(2023·北京·统考模拟预测)已知函数 . (1)当 时,求曲线 在 处的切线方程; (2)设 ,讨论函数 的单调性; (3)若对任意的 ,当 时, 恒成立,求实数 的取值范围. 【答案】(1) (2)答案见解析 (3) 【解析】(1) , , , 当 时, , 切点坐标为 , 又 , 切线斜率为 , 曲线 在 处切线方程为: . (2) , , , , , , 资料整理【淘宝店铺:向阳百分百】①当 时, 成立, 的单调递减区间为 ,无单调递增区间. ②当 时,令 , 所以当 时, , 在 上单调递减 时, , 在 上单调递增 综上: 时, 的单调递减区间为 ,无单调递增区间; 时, 的单调递增区间为 ,单调递减区间为 ; (3) , , , 令 , , 由已知可得: 且 , 的单调区间是 , , 时, 恒成立, , , 令 , ,即证 , , 成立, 的单调递减区间为 , , 恒成立, 综上: 的取值范围是 . 16.(2023·山东聊城·统考三模)已知函数 .讨论 的单调性; 【答案】答案见解析 资料整理【淘宝店铺:向阳百分百】【解析】(1) , , ①当 ,即 时, , 在区间 单调递增. ②当 ,即 时, 令 ,得 ,令 ,得 , 所以 在区间 单调递增;在区间 单调递减. ③当 ,即 时, 若 ,则 , 在区间 单调递增. 若 ,令 ,得 ,令 ,得 , 所以 在区间 单调递减;在区间 单调递增. 综上, 时, 在区间 单调递增;在区间 单调递减; 时, 在区间 单调递增 时, 在区间 单调递减、在区间 单调递增. 17.(2023春·陕西安康·高三陕西省安康中学校考阶段练习)已知函数 . (1)讨论 的单调性; (2)若 在区间 上有两个不同的零点,求 的取值范围. 【答案】(1)当 时, 在 上单调递增;当 时, 在区间 上单调递减,在 区间 上单调递增 (2) 【解析】(1)∵ ,∴ , 资料整理【淘宝店铺:向阳百分百】①当 时, 恒成立,此时 在 上单调递增; ②当 时,令 ,解得 , 当 时, , 在区间 上单调递减, 当 时, , 在区间 上单调递增. 综上所述,当 时, 在 上单调递增;当 时, 在区间 上单调递减,在 区间 上单调递增. (2)∵ ,∴ ,即 是 的一个零点. 由第(1)问 的单调性知, ①当 时, 在 上单调递增,有且只有一个零点 ,不合题意; ②当 时, 在区间 上单调递减,在区间 上单调递增, i)当 ,即 时, 在区间 上单调递增, ∴ 在区间 上有且只有一个零点 ,不合题意; ii)当 ,即 时, 在区间 上单调递减,在区间 上单调递增, 当 时, 取得极小值,也是最小值 , 且由 的单调性知, 又∵ ,∴ , , 令 ,则 , 资料整理【淘宝店铺:向阳百分百】当 时, , 单调递增, , ∴ , ∴由零点存在定理知, 在区间 有零点, ∴结合 的单调性及 知, 在区间 上有两个不同的零点, 综上所述,若 在区间 上有两个不同的零点,则实数 的取值范围是 . 18.(2023·全国·模拟预测)已知函数 . (1)讨论函数 的单调性; (2)若 ,不等式 恒成立,求正整数 的最大值. 【答案】(1)答案见解析 (2) 【解析】(1)因为 , 所以 . 因为 ,若 ,即 时, 在 上单调递增, 若 ,即 时, 令 ,得 ; 令 ,得 , 所以 在 上单调递增,在 上单调递减. 综上,当 时, 在 上单调递增; 当 时, 在 上单调递增,在 上单调递减. 资料整理【淘宝店铺:向阳百分百】(2)因为 , 恒成立, 即 恒成立, 令 ,则 ,显然 在 上单调递增, 又 , , 所以存在唯一实数 ,使得 ,即 , 所以 . 所以 时, ; 时, , 所以 在 上单调递减,在 上单调递增, 所以 ,所以 , 所以 时, 恒成立, 若 , 恒成立,满足条件; 若 ,函数 在 上单调递增, 而 ,不合题意; 若 ,函数 在 上单调递减, 而 ,符合题意; 所以当 时, 在 上恒成立, 所以 恒成立时,正整数 的最大值为 . 资料整理【淘宝店铺:向阳百分百】