当前位置:首页>文档>专题11锐角三角函数(3大模块知识梳理+9个考点+4个重难点+2个易错点)(解析版)_02中考总复习(2026版更新中)_02-数学-中考总复习_2025中考复习资料_2025年中考数学一轮知识梳理

专题11锐角三角函数(3大模块知识梳理+9个考点+4个重难点+2个易错点)(解析版)_02中考总复习(2026版更新中)_02-数学-中考总复习_2025中考复习资料_2025年中考数学一轮知识梳理

  • 2026-04-06 05:30:08 2026-04-06 05:08:05

文档预览

专题11锐角三角函数(3大模块知识梳理+9个考点+4个重难点+2个易错点)(解析版)_02中考总复习(2026版更新中)_02-数学-中考总复习_2025中考复习资料_2025年中考数学一轮知识梳理
专题11锐角三角函数(3大模块知识梳理+9个考点+4个重难点+2个易错点)(解析版)_02中考总复习(2026版更新中)_02-数学-中考总复习_2025中考复习资料_2025年中考数学一轮知识梳理
专题11锐角三角函数(3大模块知识梳理+9个考点+4个重难点+2个易错点)(解析版)_02中考总复习(2026版更新中)_02-数学-中考总复习_2025中考复习资料_2025年中考数学一轮知识梳理
专题11锐角三角函数(3大模块知识梳理+9个考点+4个重难点+2个易错点)(解析版)_02中考总复习(2026版更新中)_02-数学-中考总复习_2025中考复习资料_2025年中考数学一轮知识梳理
专题11锐角三角函数(3大模块知识梳理+9个考点+4个重难点+2个易错点)(解析版)_02中考总复习(2026版更新中)_02-数学-中考总复习_2025中考复习资料_2025年中考数学一轮知识梳理
专题11锐角三角函数(3大模块知识梳理+9个考点+4个重难点+2个易错点)(解析版)_02中考总复习(2026版更新中)_02-数学-中考总复习_2025中考复习资料_2025年中考数学一轮知识梳理
专题11锐角三角函数(3大模块知识梳理+9个考点+4个重难点+2个易错点)(解析版)_02中考总复习(2026版更新中)_02-数学-中考总复习_2025中考复习资料_2025年中考数学一轮知识梳理
专题11锐角三角函数(3大模块知识梳理+9个考点+4个重难点+2个易错点)(解析版)_02中考总复习(2026版更新中)_02-数学-中考总复习_2025中考复习资料_2025年中考数学一轮知识梳理
专题11锐角三角函数(3大模块知识梳理+9个考点+4个重难点+2个易错点)(解析版)_02中考总复习(2026版更新中)_02-数学-中考总复习_2025中考复习资料_2025年中考数学一轮知识梳理
专题11锐角三角函数(3大模块知识梳理+9个考点+4个重难点+2个易错点)(解析版)_02中考总复习(2026版更新中)_02-数学-中考总复习_2025中考复习资料_2025年中考数学一轮知识梳理
专题11锐角三角函数(3大模块知识梳理+9个考点+4个重难点+2个易错点)(解析版)_02中考总复习(2026版更新中)_02-数学-中考总复习_2025中考复习资料_2025年中考数学一轮知识梳理
专题11锐角三角函数(3大模块知识梳理+9个考点+4个重难点+2个易错点)(解析版)_02中考总复习(2026版更新中)_02-数学-中考总复习_2025中考复习资料_2025年中考数学一轮知识梳理
专题11锐角三角函数(3大模块知识梳理+9个考点+4个重难点+2个易错点)(解析版)_02中考总复习(2026版更新中)_02-数学-中考总复习_2025中考复习资料_2025年中考数学一轮知识梳理
专题11锐角三角函数(3大模块知识梳理+9个考点+4个重难点+2个易错点)(解析版)_02中考总复习(2026版更新中)_02-数学-中考总复习_2025中考复习资料_2025年中考数学一轮知识梳理
专题11锐角三角函数(3大模块知识梳理+9个考点+4个重难点+2个易错点)(解析版)_02中考总复习(2026版更新中)_02-数学-中考总复习_2025中考复习资料_2025年中考数学一轮知识梳理
专题11锐角三角函数(3大模块知识梳理+9个考点+4个重难点+2个易错点)(解析版)_02中考总复习(2026版更新中)_02-数学-中考总复习_2025中考复习资料_2025年中考数学一轮知识梳理
专题11锐角三角函数(3大模块知识梳理+9个考点+4个重难点+2个易错点)(解析版)_02中考总复习(2026版更新中)_02-数学-中考总复习_2025中考复习资料_2025年中考数学一轮知识梳理
专题11锐角三角函数(3大模块知识梳理+9个考点+4个重难点+2个易错点)(解析版)_02中考总复习(2026版更新中)_02-数学-中考总复习_2025中考复习资料_2025年中考数学一轮知识梳理
专题11锐角三角函数(3大模块知识梳理+9个考点+4个重难点+2个易错点)(解析版)_02中考总复习(2026版更新中)_02-数学-中考总复习_2025中考复习资料_2025年中考数学一轮知识梳理
专题11锐角三角函数(3大模块知识梳理+9个考点+4个重难点+2个易错点)(解析版)_02中考总复习(2026版更新中)_02-数学-中考总复习_2025中考复习资料_2025年中考数学一轮知识梳理
专题11锐角三角函数(3大模块知识梳理+9个考点+4个重难点+2个易错点)(解析版)_02中考总复习(2026版更新中)_02-数学-中考总复习_2025中考复习资料_2025年中考数学一轮知识梳理
专题11锐角三角函数(3大模块知识梳理+9个考点+4个重难点+2个易错点)(解析版)_02中考总复习(2026版更新中)_02-数学-中考总复习_2025中考复习资料_2025年中考数学一轮知识梳理
专题11锐角三角函数(3大模块知识梳理+9个考点+4个重难点+2个易错点)(解析版)_02中考总复习(2026版更新中)_02-数学-中考总复习_2025中考复习资料_2025年中考数学一轮知识梳理
专题11锐角三角函数(3大模块知识梳理+9个考点+4个重难点+2个易错点)(解析版)_02中考总复习(2026版更新中)_02-数学-中考总复习_2025中考复习资料_2025年中考数学一轮知识梳理
专题11锐角三角函数(3大模块知识梳理+9个考点+4个重难点+2个易错点)(解析版)_02中考总复习(2026版更新中)_02-数学-中考总复习_2025中考复习资料_2025年中考数学一轮知识梳理
专题11锐角三角函数(3大模块知识梳理+9个考点+4个重难点+2个易错点)(解析版)_02中考总复习(2026版更新中)_02-数学-中考总复习_2025中考复习资料_2025年中考数学一轮知识梳理
专题11锐角三角函数(3大模块知识梳理+9个考点+4个重难点+2个易错点)(解析版)_02中考总复习(2026版更新中)_02-数学-中考总复习_2025中考复习资料_2025年中考数学一轮知识梳理
专题11锐角三角函数(3大模块知识梳理+9个考点+4个重难点+2个易错点)(解析版)_02中考总复习(2026版更新中)_02-数学-中考总复习_2025中考复习资料_2025年中考数学一轮知识梳理
专题11锐角三角函数(3大模块知识梳理+9个考点+4个重难点+2个易错点)(解析版)_02中考总复习(2026版更新中)_02-数学-中考总复习_2025中考复习资料_2025年中考数学一轮知识梳理
专题11锐角三角函数(3大模块知识梳理+9个考点+4个重难点+2个易错点)(解析版)_02中考总复习(2026版更新中)_02-数学-中考总复习_2025中考复习资料_2025年中考数学一轮知识梳理
专题11锐角三角函数(3大模块知识梳理+9个考点+4个重难点+2个易错点)(解析版)_02中考总复习(2026版更新中)_02-数学-中考总复习_2025中考复习资料_2025年中考数学一轮知识梳理
专题11锐角三角函数(3大模块知识梳理+9个考点+4个重难点+2个易错点)(解析版)_02中考总复习(2026版更新中)_02-数学-中考总复习_2025中考复习资料_2025年中考数学一轮知识梳理
专题11锐角三角函数(3大模块知识梳理+9个考点+4个重难点+2个易错点)(解析版)_02中考总复习(2026版更新中)_02-数学-中考总复习_2025中考复习资料_2025年中考数学一轮知识梳理
专题11锐角三角函数(3大模块知识梳理+9个考点+4个重难点+2个易错点)(解析版)_02中考总复习(2026版更新中)_02-数学-中考总复习_2025中考复习资料_2025年中考数学一轮知识梳理
专题11锐角三角函数(3大模块知识梳理+9个考点+4个重难点+2个易错点)(解析版)_02中考总复习(2026版更新中)_02-数学-中考总复习_2025中考复习资料_2025年中考数学一轮知识梳理
专题11锐角三角函数(3大模块知识梳理+9个考点+4个重难点+2个易错点)(解析版)_02中考总复习(2026版更新中)_02-数学-中考总复习_2025中考复习资料_2025年中考数学一轮知识梳理
专题11锐角三角函数(3大模块知识梳理+9个考点+4个重难点+2个易错点)(解析版)_02中考总复习(2026版更新中)_02-数学-中考总复习_2025中考复习资料_2025年中考数学一轮知识梳理
专题11锐角三角函数(3大模块知识梳理+9个考点+4个重难点+2个易错点)(解析版)_02中考总复习(2026版更新中)_02-数学-中考总复习_2025中考复习资料_2025年中考数学一轮知识梳理
专题11锐角三角函数(3大模块知识梳理+9个考点+4个重难点+2个易错点)(解析版)_02中考总复习(2026版更新中)_02-数学-中考总复习_2025中考复习资料_2025年中考数学一轮知识梳理
专题11锐角三角函数(3大模块知识梳理+9个考点+4个重难点+2个易错点)(解析版)_02中考总复习(2026版更新中)_02-数学-中考总复习_2025中考复习资料_2025年中考数学一轮知识梳理
专题11锐角三角函数(3大模块知识梳理+9个考点+4个重难点+2个易错点)(解析版)_02中考总复习(2026版更新中)_02-数学-中考总复习_2025中考复习资料_2025年中考数学一轮知识梳理
专题11锐角三角函数(3大模块知识梳理+9个考点+4个重难点+2个易错点)(解析版)_02中考总复习(2026版更新中)_02-数学-中考总复习_2025中考复习资料_2025年中考数学一轮知识梳理
专题11锐角三角函数(3大模块知识梳理+9个考点+4个重难点+2个易错点)(解析版)_02中考总复习(2026版更新中)_02-数学-中考总复习_2025中考复习资料_2025年中考数学一轮知识梳理
专题11锐角三角函数(3大模块知识梳理+9个考点+4个重难点+2个易错点)(解析版)_02中考总复习(2026版更新中)_02-数学-中考总复习_2025中考复习资料_2025年中考数学一轮知识梳理
专题11锐角三角函数(3大模块知识梳理+9个考点+4个重难点+2个易错点)(解析版)_02中考总复习(2026版更新中)_02-数学-中考总复习_2025中考复习资料_2025年中考数学一轮知识梳理
专题11锐角三角函数(3大模块知识梳理+9个考点+4个重难点+2个易错点)(解析版)_02中考总复习(2026版更新中)_02-数学-中考总复习_2025中考复习资料_2025年中考数学一轮知识梳理
专题11锐角三角函数(3大模块知识梳理+9个考点+4个重难点+2个易错点)(解析版)_02中考总复习(2026版更新中)_02-数学-中考总复习_2025中考复习资料_2025年中考数学一轮知识梳理
专题11锐角三角函数(3大模块知识梳理+9个考点+4个重难点+2个易错点)(解析版)_02中考总复习(2026版更新中)_02-数学-中考总复习_2025中考复习资料_2025年中考数学一轮知识梳理
专题11锐角三角函数(3大模块知识梳理+9个考点+4个重难点+2个易错点)(解析版)_02中考总复习(2026版更新中)_02-数学-中考总复习_2025中考复习资料_2025年中考数学一轮知识梳理
专题11锐角三角函数(3大模块知识梳理+9个考点+4个重难点+2个易错点)(解析版)_02中考总复习(2026版更新中)_02-数学-中考总复习_2025中考复习资料_2025年中考数学一轮知识梳理
专题11锐角三角函数(3大模块知识梳理+9个考点+4个重难点+2个易错点)(解析版)_02中考总复习(2026版更新中)_02-数学-中考总复习_2025中考复习资料_2025年中考数学一轮知识梳理
专题11锐角三角函数(3大模块知识梳理+9个考点+4个重难点+2个易错点)(解析版)_02中考总复习(2026版更新中)_02-数学-中考总复习_2025中考复习资料_2025年中考数学一轮知识梳理
专题11锐角三角函数(3大模块知识梳理+9个考点+4个重难点+2个易错点)(解析版)_02中考总复习(2026版更新中)_02-数学-中考总复习_2025中考复习资料_2025年中考数学一轮知识梳理
专题11锐角三角函数(3大模块知识梳理+9个考点+4个重难点+2个易错点)(解析版)_02中考总复习(2026版更新中)_02-数学-中考总复习_2025中考复习资料_2025年中考数学一轮知识梳理
专题11锐角三角函数(3大模块知识梳理+9个考点+4个重难点+2个易错点)(解析版)_02中考总复习(2026版更新中)_02-数学-中考总复习_2025中考复习资料_2025年中考数学一轮知识梳理
专题11锐角三角函数(3大模块知识梳理+9个考点+4个重难点+2个易错点)(解析版)_02中考总复习(2026版更新中)_02-数学-中考总复习_2025中考复习资料_2025年中考数学一轮知识梳理
专题11锐角三角函数(3大模块知识梳理+9个考点+4个重难点+2个易错点)(解析版)_02中考总复习(2026版更新中)_02-数学-中考总复习_2025中考复习资料_2025年中考数学一轮知识梳理
专题11锐角三角函数(3大模块知识梳理+9个考点+4个重难点+2个易错点)(解析版)_02中考总复习(2026版更新中)_02-数学-中考总复习_2025中考复习资料_2025年中考数学一轮知识梳理
专题11锐角三角函数(3大模块知识梳理+9个考点+4个重难点+2个易错点)(解析版)_02中考总复习(2026版更新中)_02-数学-中考总复习_2025中考复习资料_2025年中考数学一轮知识梳理
专题11锐角三角函数(3大模块知识梳理+9个考点+4个重难点+2个易错点)(解析版)_02中考总复习(2026版更新中)_02-数学-中考总复习_2025中考复习资料_2025年中考数学一轮知识梳理
专题11锐角三角函数(3大模块知识梳理+9个考点+4个重难点+2个易错点)(解析版)_02中考总复习(2026版更新中)_02-数学-中考总复习_2025中考复习资料_2025年中考数学一轮知识梳理
专题11锐角三角函数(3大模块知识梳理+9个考点+4个重难点+2个易错点)(解析版)_02中考总复习(2026版更新中)_02-数学-中考总复习_2025中考复习资料_2025年中考数学一轮知识梳理
专题11锐角三角函数(3大模块知识梳理+9个考点+4个重难点+2个易错点)(解析版)_02中考总复习(2026版更新中)_02-数学-中考总复习_2025中考复习资料_2025年中考数学一轮知识梳理
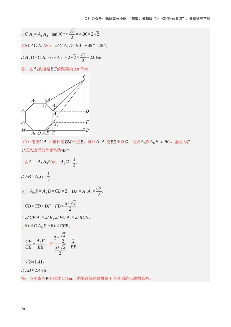
专题11锐角三角函数(3大模块知识梳理+9个考点+4个重难点+2个易错点)(解析版)_02中考总复习(2026版更新中)_02-数学-中考总复习_2025中考复习资料_2025年中考数学一轮知识梳理
专题11锐角三角函数(3大模块知识梳理+9个考点+4个重难点+2个易错点)(解析版)_02中考总复习(2026版更新中)_02-数学-中考总复习_2025中考复习资料_2025年中考数学一轮知识梳理
专题11锐角三角函数(3大模块知识梳理+9个考点+4个重难点+2个易错点)(解析版)_02中考总复习(2026版更新中)_02-数学-中考总复习_2025中考复习资料_2025年中考数学一轮知识梳理
专题11锐角三角函数(3大模块知识梳理+9个考点+4个重难点+2个易错点)(解析版)_02中考总复习(2026版更新中)_02-数学-中考总复习_2025中考复习资料_2025年中考数学一轮知识梳理
专题11锐角三角函数(3大模块知识梳理+9个考点+4个重难点+2个易错点)(解析版)_02中考总复习(2026版更新中)_02-数学-中考总复习_2025中考复习资料_2025年中考数学一轮知识梳理
专题11锐角三角函数(3大模块知识梳理+9个考点+4个重难点+2个易错点)(解析版)_02中考总复习(2026版更新中)_02-数学-中考总复习_2025中考复习资料_2025年中考数学一轮知识梳理
专题11锐角三角函数(3大模块知识梳理+9个考点+4个重难点+2个易错点)(解析版)_02中考总复习(2026版更新中)_02-数学-中考总复习_2025中考复习资料_2025年中考数学一轮知识梳理
专题11锐角三角函数(3大模块知识梳理+9个考点+4个重难点+2个易错点)(解析版)_02中考总复习(2026版更新中)_02-数学-中考总复习_2025中考复习资料_2025年中考数学一轮知识梳理
专题11锐角三角函数(3大模块知识梳理+9个考点+4个重难点+2个易错点)(解析版)_02中考总复习(2026版更新中)_02-数学-中考总复习_2025中考复习资料_2025年中考数学一轮知识梳理
专题11锐角三角函数(3大模块知识梳理+9个考点+4个重难点+2个易错点)(解析版)_02中考总复习(2026版更新中)_02-数学-中考总复习_2025中考复习资料_2025年中考数学一轮知识梳理
专题11锐角三角函数(3大模块知识梳理+9个考点+4个重难点+2个易错点)(解析版)_02中考总复习(2026版更新中)_02-数学-中考总复习_2025中考复习资料_2025年中考数学一轮知识梳理
专题11锐角三角函数(3大模块知识梳理+9个考点+4个重难点+2个易错点)(解析版)_02中考总复习(2026版更新中)_02-数学-中考总复习_2025中考复习资料_2025年中考数学一轮知识梳理
专题11锐角三角函数(3大模块知识梳理+9个考点+4个重难点+2个易错点)(解析版)_02中考总复习(2026版更新中)_02-数学-中考总复习_2025中考复习资料_2025年中考数学一轮知识梳理
专题11锐角三角函数(3大模块知识梳理+9个考点+4个重难点+2个易错点)(解析版)_02中考总复习(2026版更新中)_02-数学-中考总复习_2025中考复习资料_2025年中考数学一轮知识梳理
专题11锐角三角函数(3大模块知识梳理+9个考点+4个重难点+2个易错点)(解析版)_02中考总复习(2026版更新中)_02-数学-中考总复习_2025中考复习资料_2025年中考数学一轮知识梳理
专题11锐角三角函数(3大模块知识梳理+9个考点+4个重难点+2个易错点)(解析版)_02中考总复习(2026版更新中)_02-数学-中考总复习_2025中考复习资料_2025年中考数学一轮知识梳理
专题11锐角三角函数(3大模块知识梳理+9个考点+4个重难点+2个易错点)(解析版)_02中考总复习(2026版更新中)_02-数学-中考总复习_2025中考复习资料_2025年中考数学一轮知识梳理
专题11锐角三角函数(3大模块知识梳理+9个考点+4个重难点+2个易错点)(解析版)_02中考总复习(2026版更新中)_02-数学-中考总复习_2025中考复习资料_2025年中考数学一轮知识梳理
专题11锐角三角函数(3大模块知识梳理+9个考点+4个重难点+2个易错点)(解析版)_02中考总复习(2026版更新中)_02-数学-中考总复习_2025中考复习资料_2025年中考数学一轮知识梳理
专题11锐角三角函数(3大模块知识梳理+9个考点+4个重难点+2个易错点)(解析版)_02中考总复习(2026版更新中)_02-数学-中考总复习_2025中考复习资料_2025年中考数学一轮知识梳理
专题11锐角三角函数(3大模块知识梳理+9个考点+4个重难点+2个易错点)(解析版)_02中考总复习(2026版更新中)_02-数学-中考总复习_2025中考复习资料_2025年中考数学一轮知识梳理
专题11锐角三角函数(3大模块知识梳理+9个考点+4个重难点+2个易错点)(解析版)_02中考总复习(2026版更新中)_02-数学-中考总复习_2025中考复习资料_2025年中考数学一轮知识梳理

文档信息

文档格式
docx
文档大小
2.971 MB
文档页数
81 页
上传时间
2026-04-06 05:08:05

文档内容

关注公众号:陆陆高分冲刺 ~领取:最新版“小中高考-总复习”、最新试卷下载 专题 11 锐角三角函数 目录 01 理·思维导图:呈现教材知识结构,构建学科知识体系。 02 盘·基础知识:甄选核心知识逐项分解,基础不丢分。(3大模块知识梳理) 知识模块一:锐角三角函数 知识模块二:解直角三角形 知识模块三:解直角三角形的应用 03 究·考点考法:对考点考法进行细致剖析和讲解,全面提升。(9大基础考点) 考点一:理解锐角三角函数的概念 考点二:求角的三角函数值 考点三:由三角函数求边长 考点四:由特殊角的三角函数值求解 考点五:在平面直角坐标系中求锐角三角函数值 考点六:在网格中求锐角三角函数值 考点七:三角函数综合 考点八:解直角三角形的相关计算 考点九:构造直角三角形求不规则图形的边长或面积 04 破·重点难点:突破重难点,冲刺高分。(4大重难点) 重难点一:运用解直角三角形的知识解决视角相关问题 重难点二:运用解直角三角形的知识解决方向角相关问题 重难点三:运用解直角三角形的知识解决坡角、坡度相关问题 重难点四:12345模型 05 辨·易混易错:点拨易混易错知识点,夯实基础。(2大易错点) 易错点1: 未在直角三角形中求锐角三角函数的值 易错点2: 误认为三角函数值与三角形各边的长短有关 1关注公众号:陆陆高分冲刺 ~领取:最新版“小中高考-总复习”、最新试卷下载 知识模块一:锐角三角函数 知识点一: 正弦,余弦,正切 正弦:在Rt△ABC中,∠C=90°,把锐角A的对边a与斜边c的比叫做 A ∠A的正弦,记作sin A,即 ; 余弦:在Rt△ABC中,∠C=90°,把锐角A的邻边b与斜边c的比叫做 斜边 A的邻边 b c ∠A的余弦,记作cos A,即 ; a 正切:在Rt△ABC中,∠C=90°,把锐角A的对边a与邻边b的比叫做∠A C A的对边 B 2关注公众号:陆陆高分冲刺 ~领取:最新版“小中高考-总复习”、最新试卷下载 的正切,记作tan A,则 【注意】1)正弦、余弦、正切是在直角三角形中进行定义的,本质是两条线段的比,因此没有单位,只 与角的大小有关,而与直角三角形的边长无关. 2)根据定义求三角函数值时,一定根据题目图形来理解,严格按照三角函数的定义求解,有时需要通过 辅助线来构造直角三角形. 3) 表示 ,可以写成 ,不能写成 (正弦、余弦相同). 知识点二: 锐角三角函数 锐角三角函数:锐角A的正弦、余弦、正切都是∠A的三角函数.(其中:0<∠A<90°) 取值范围:在Rt△ABC中,∠C=90°,由于直角边一定比斜边短,故有如下结论: , , . 增减变化:当0°<∠A<90°,sin A,tan A随∠A的增大而增大,cos A随∠A的增大而减小. 【补充】利用锐角三角函数值的增减变化规律可比较锐角的大小. 知识点三: 特殊角的三角函数值 利用三角函数的定义,可求出30°、45°、60°角的各三角函数值,如下表所示: 三角函数值 特殊角 30° 45° 60° sin α cos α tan α 1 知识点四: 锐角三角函数的关系 在Rt△ABC中,若∠C为直角,则∠A与∠B互余时,有以下两种关系: 1)同角三角函数的关系: ① 平方关系:sin2A+cos2A=1; 3关注公众号:陆陆高分冲刺 ~领取:最新版“小中高考-总复习”、最新试卷下载 sin A ② 商数关系:tan A= . cosA 2) 互余两角的三角函数关系: ① 互余关系: sin A = cos(90°-∠A) = cos B,即一个锐角的正弦值等于它的余角的余弦值. sin B = sin(90°-∠A) = cos A,即一个锐角的余弦值等于它的余角的正弦值. ② 倒数关系:tan A•tanB=1 知识模块二:解直角三角形 知识点一: 解直角三角形 定义:一般地,直角三角形中,除直角外,共有五个元素,即三条边和两个锐角.由直角三角形中的已知 元素,求出其余未知元素的过程,叫做解直角三角形. 在解直角三角形的过程中,一般要用到下面一些关系: A 1)直角三角形的五个元素:边:a、b、c,角:∠A、∠B. c b 2)三边之间的关系:a2+b2=c2(勾股定理). a 3)两锐角之间的关系:∠A+∠B=90°. C B a b b a 4)边角之间的关系: sin A = , sin B = , cos A= ,cos B = ,tan A = c c c c a b ,tan B = . b a 【补充】三角函数是连接边与角的桥梁. 5)面积公式 (h为斜边上的高). 知识点二: 解直角三角形的常见类型 已知条件 解法步骤 图示 斜边和一直角边(如c,a) a 由sinA= ,求∠A,∠B=90°-∠A, 两 c 边 A c b a C B 4关注公众号:陆陆高分冲刺 ~领取:最新版“小中高考-总复习”、最新试卷下载 两直角边(如a,b) a 由tanA= ,求∠A,∠B=90°-∠A, b 斜边和一锐角(如c,∠A) ∠B=90°-∠A , 一 一直角边和一锐角(如a,∠A) 边 一 ∠B=90°-∠A, 角 另一直角边和一锐角(如b,∠A) ∠B=90°-∠A, 【注意】已知两个角不能解直角三角形,因为有两个角对应相等的两个三角形相似,但不一定全等,因此 其边的大小不确定. 【总结】在直角三角形中,除直角外的五个元素中,已知其中的两个元素(至少有一条边),可求出其余的 三个未知元素(知二求三). 【已知一边一角的记忆口诀】有斜求对用正弦,有斜求邻用余弦,无斜求对(邻)用正切. 知识模块三:解直角三角形的应用 知识点一:仰角、俯角 视角:视线与水平线的夹角叫做视角. 仰角:在视线与水平线所成的角中,视线在水平线上方的角叫做仰角. 俯角:在视线与水平线所成的角中,视线在水平线下方的角叫做俯角. 【注意】仰角和俯角是相对于水平线而言的,在不同的位置观测,仰角和俯角是不同的. 知识点二:坡度、坡角 h 坡度:坡面的铅直高度h和水平宽度l的比叫做坡面的坡度(或坡比),记作i= . l 坡角:坡面与水平面的夹角α叫做坡角. 【注意】坡度与坡角是两个不同的概念,坡角是两个面的夹角,坡度(用字母i表示)是比;两者之压间的 5关注公众号:陆陆高分冲刺 ~领取:最新版“小中高考-总复习”、最新试卷下载 h 关系是i= ,坡角越大,坡度越大. l 知识点三:方位角、方向角 方位角:从某点的指北方向线按顺时针转到目标方向的水平角叫做方位角,如图①中,目标方向PA,PB, PC的方位角分别为是40°,135°,245°. 方向角:指北或指南方向线与目标方向线所成的小于90°的水平角,叫做方向角,如图②中的目标方向线 OA,OB,OC,OD的方向角分别表示北偏东30°,南偏东45°,南偏西80°,北偏西60°.特别如:东南 方向指的是南偏东45°,东北方向指的是北偏东45°,西南方向指的是南偏西45°,西北方向指的是北 偏西45° 知识点四:解直角三角形实际应用的一般步骤 ①弄清题中名词、术语,根据题意画出图形,建立数学模型; ②将条件转化为几何图形中的边、角或它们之间的关系,把实际问题转化为解直角三角形问题;当有些图 形不是直角三角形时,可适当添加辅助线,把它们分割成直角三角形或矩形. ③选择合适的边角关系式,使运算简便、准确; ④得出数学问题的答案并检验答案是否符合实际意义,从而得到问题的解. 【常见类型】航海、建桥修路、测量楼高、塔高等. 6关注公众号:陆陆高分冲刺 ~领取:最新版“小中高考-总复习”、最新试卷下载 考点一: 理解锐角三角函数的概念 1.(2022·吉林长春·中考真题)如图是长春市人民大街下穿隧道工程施工现场的一台起重机的示意图,该 起重机的变幅索顶端记为点A,变幅索的底端记为点B,AD垂直地面,垂足为点D,BC⊥AD,垂足为 点C.设∠ABC=α,下列关系式正确的是( ) AB BC AB AC A.sinα= B.sinα= C.sinα= D.sinα= BC AB AC AB 【答案】D 【分析】根据正弦三角函数的定义判断即可. 【详解】∵BC AC, ABC是直角⊥三角形, ∴△ABC=α, ∵∠ AC ∴sinα= , AB 故选:D. 【点睛】本题考查了正弦三角函数的定义.在直角三角形中任意锐角∠A的对边与斜边之比叫做∠A的正 弦,记作sin A.掌握正弦三角函数的定义是解答本题的关键. 2.(2024·天 ∠ 津红桥·一模)如图,在RtΔABC中,∠ABC=90°,D为边AB上一点,过点D作 DE⊥AC,垂足为E,则下列结论中正确的是( ) 7关注公众号:陆陆高分冲刺 ~领取:最新版“小中高考-总复习”、最新试卷下载 BC AE BC AB A.sinA= B.cosA= C.tanA= D.tanA= AB AD AD BC 【答案】B 【分析】本题考查解直角三角形,关键是掌握锐角三角函数定义.由锐角的三角函数定义,即可判断. 【详解】解:∵DE⊥AC, ∴∠AED=∠ABC=90°, BC A、sin A= ,故A不符合题意; AC B、结论正确,故B符合题意; CB C、tan A= ,故C不符合题意; AB BC D、tan A= ,故D不符合题意. AB 故选:B. 3.(2024广州市模拟预测)在Rt△ABC中,∠C=90°,各边都扩大2倍,则锐角A的三角函数值 ( ) 1 1 A.扩大2倍 B.不变 C.缩小 D.扩大 2 2 【答案】B 【分析】本题考查的是锐角三角函数的定义,三角形相似的判定和性质,解题的关键是掌握锐角三角函数 的定义,三角形相似的判定和性质,根据三角形相似的判定,可以确定各边扩大后的三角形与原三角形相 似,再根据相似三角形的性质可知锐角A的度数不变,所以锐角A对应的三角函数值就不变. 【详解】解:因为各边扩大后的三角形与原三角形相似,锐角A的度数不变,锐角A对应的三角函数值就 不变. 故选:B. 考点二: 求角的三角函数值 1.(2022·江苏常州·中考真题)如图,在四边形ABCD中,∠A=∠ABC=90°,DB平分∠ADC.若 AD=1,CD=3,则sin∠ABD= . 8关注公众号:陆陆高分冲刺 ~领取:最新版“小中高考-总复习”、最新试卷下载 √6 【答案】 6 【分析】过点D作BC的垂线交于E,证明出四边形ABED为矩形,△BCD为等腰三角形,由勾股定理算 出DE=√5,BD=√6,即可求解. 【详解】解:过点D作BC的垂线交于E, ∴∠DEB=90° ∵∠A=∠ABC=90°, ∴四边形ABED为矩形, ∴DE//AB,AD=BE=1, ∴∠ABD=∠BDE, ∵BD平分∠ADC, ∴∠ADB=∠CDB, ∵AD//BE, ∴∠ADB=∠CBD, CDB= CBD ∴∴∠CD=C∠B=3, ∵AD=BE=1, ∴CE=2, ∴DE=√DC2−CE2=√9−4=√5, ∴BD=√DE2+BE2=√5+1=√6 9关注公众号:陆陆高分冲刺 ~领取:最新版“小中高考-总复习”、最新试卷下载 BE 1 √6 ∴sin∠BDE= = = , BD √6 6 √6 ∴sin∠ABD= , 6 √6 故答案为: . 6 【点睛】本题考查了锐角三角函数、矩形、等腰三角形形、勾股定理、平行线的性质,解题的关键是构造 直角三角形求解. 2.(2024·四川雅安·中考真题)如图,把矩形纸片ABCD沿对角线BD折叠,使点C落在点E处,BE与 AD交于点F,若AB=6,BC=8,则cos∠ABF的值是 . 24 【答案】 25 【分析】本题主要考查矩形的性质、折叠的性质、勾股定理等知识,熟练掌握相关知识点是解题关键. 折叠问题优先考虑利用勾股定理列方程,证BF=DF,再利用Rt△ABF求出边长,从而求解即可. 【详解】解:∵折叠, ∴∠DBC=∠DBF, ∵四边形ABCD是矩形, ∴AD∥BC,AD=BC=8, ∴∠ADB=∠DBC, ∴∠DBF=∠ADB, ∴BF=DF, ∴AF=AD−DF=8−BF, 在Rt△ABF中,AB2+AF2=BF2, ∴62+(8−BF) 2=BF2, 25 解得BF= , 4 AB 24 ∴cos∠ABF= = , BF 25 10关注公众号:陆陆高分冲刺 ~领取:最新版“小中高考-总复习”、最新试卷下载 24 故答案为: . 25 3.(2024·江西·中考真题)将图1所示的七巧板,拼成图2所示的四边形ABCD,连接AC,则 tan∠CAB= . 1 【答案】 /0.5 2 【分析】本题考查了等腰直角三角形的性质,正方形的性质,勾股定理,三角函数,如图1,设等腰直角 △MNQ的直角边为a,利用图形的位置关系求出大正方形的边长和大等腰直角三角形的直角边长,进而根 据正切的定义即可求解,掌握等腰直角三角形和正方形的性质是解题的关键. 【详解】解:如图1,设等腰直角△MNQ的直角边为a,则MQ=√2a,小正方形的边长为a, ∴MP=2a, ∴EM=√(2a) 2+(2a) 2=2√2a, ∴MT=EM=2√2a, ∴QT=2√2a−√2a=√2a, 如图2,过点C作CH⊥AB的延长线于点H,则CH=BD,BH=CD, 由图(1)可得,AB=BD=2√2a,CD=√2a+√2a=2√2a, ∴CH=2√2a,BH=2√2a, ∴AH=2√2a+2√2a=4√2a, CH 2√2a 1 ∴tan∠CAB= = = , AH 4√2a 2 1 故答案为: . 2 11关注公众号:陆陆高分冲刺 ~领取:最新版“小中高考-总复习”、最新试卷下载 考点三: 由三角函数求边长 1.(2023·湖南娄底·中考真题)如图,点E在矩形ABCD的边CD上,将△ADE沿AE折叠,点D恰好落 4 在边BC上的点F处,若BC=10.sin∠AFB= ,则DE= . 5 【答案】5 【分析】利用矩形的性质及折叠的性质可得AD=AF=10,EF=ED,可得 4 AB=AF⋅sin∠AFB=10× =8,BF=√AF2−AB2=6,设DE=x,则CE=CD−DE=8−x,利用 5 勾股定理可得EF2=CF2+CE2,进而可得结果. 【详解】解:∵四边形ABCD是矩形, ∴∠B=∠C=∠D=90°,AB=CD,AD=BC=10, 根据折叠可知,可知AD=AF=10,EF=ED, 4 则,在Rt△ABF中,AB=AF⋅sin∠AFB=10× =8,则CD=8, 5 ∴BF=√AF2−AB2=6,则CF=BC−BF=4, 设DE=x,则CE=CD−DE=8−x, 在Rt△CEF中,EF2=CF2+CE2,即:x2=(8−x) 2+42, 12关注公众号:陆陆高分冲刺 ~领取:最新版“小中高考-总复习”、最新试卷下载 解得:x=5, 即:DE=5, 故答案为:5. 【点睛】本题考查矩形的性质、折叠的性质、解直角三角形,灵活运用折叠的性质得到相等线段是解决问 题的关键. 2.(2024·山东青岛·中考真题)如图,△ABC中,BA=BC,以BC为直径的半圆O分别交AB,AC于 3 点D,E,过点E作半圆O的切线,交AB于点M,交BC的延长线于点N.若ON=10,cos∠ABC= , 5 则半径OC的长为 . 【答案】6 【分析】本题主要考查了切线的性质,解直角三角形,等边对等角,平行线的性质与判定等等,解题的关 键在于证明∠EON=∠ABC,根据等边对等角推出∠A=∠OEC,则可证明AB∥OE得到 ∠EON=∠ABC,再由切线的性质得到∠OEN=90°,则解Rt△EON求出OE的长即可. 【详解】解:如图所示,连接OE, ∵OE=OC,BA=BC, ∴∠A=∠BCA,∠OCE=∠OEC, ∴∠A=∠OEC, ∴AB∥OE, ∴∠EON=∠ABC, ∵MN是⊙O的切线, ∴∠OEN=90°, 13关注公众号:陆陆高分冲刺 ~领取:最新版“小中高考-总复习”、最新试卷下载 OE 3 ∴在Rt△EON中,cos∠EON=cos∠ABC= = , ON 5 3 ∴OE= ON=6, 5 ∴半径OC的长为6, 故答案为:6. 3.(2023·山东·中考真题)如图,△ABC是边长为6的等边三角形,点D,E在边BC上,若 1 ∠DAE=30°,tan∠EAC= ,则BD= . 3 【答案】3−√3 【分析】过点A作AH⊥BC于H,根据等边三角形的性质可得∠BAC=60°,再由AH⊥BC,可得 ∠BAD+∠DAH=30°,再根据∠BAD+∠EAC=30°,可得∠DAH=∠EAC,从而可得 1 DH DH 1 tan∠DAH=tan∠EAC= ,利用锐角三角函数求得AH=AB⋅sin60°=3√3,再由 = = , 3 AH 3√3 3 求得DH=√3,即可求得结果. 【详解】解:过点A作AH⊥BC于H, ∵△ABC是等边三角形, ∴AB=AC=BC=6,∠BAC=60°, ∵AH⊥BC, 1 ∴∠BAH= ∠BAC=30°, 2 ∴∠BAD+∠DAH=30°, ∵∠DAE=30°, ∴∠BAD+∠EAC=30°, ∴∠DAH=∠EAC, 14关注公众号:陆陆高分冲刺 ~领取:最新版“小中高考-总复习”、最新试卷下载 1 ∴tan∠DAH=tan∠EAC= , 3 1 ∵BH= AB=3, 2 √3 ∵ AH=AB⋅sin60°=6× =3√3, 2 DH DH 1 ∴ = = , AH 3√3 3 ∴DH=√3, ∴BD=BH−DH=3−√3, 故答案为:3−√3. 【点睛】本题考查等边三角形的性质、锐角三角函数,熟练掌握等边三角形的性质证明∠DAH=∠EAC 是解题的关键. 考点四: 由特殊角的三角函数值求解 (1) −1 1.(2024·山东青岛·中考真题)计算:√18+ −2sin45°= . 3 【答案】2√2+3/3+2√2 【分析】本题主要考查了二次根式的加减计算,负整数指数幂和求特殊角三角函数值,先计算特殊角三角 函数值,负整数指数幂和化简二次根式,再根据二次根式的加减计算法则求解即可. (1) −1 【详解】解:√18+ −2sin45° 3 √2 =3√2+3−2× 2 =3√2+3−√2 =2√2+3, 故答案为:2√2+3. 15关注公众号:陆陆高分冲刺 ~领取:最新版“小中高考-总复习”、最新试卷下载 2.(2023·山东·中考真题)计算:|√3−2|+2sin60°−20230= . 【答案】1 【分析】根据先计算绝对值,特殊角的三角函数值,零指数幂,再进行加减计算即可. 【详解】解:|√3−2|+2sin60°−20230 √3 =2−√3+2× −1 2 =1 故答案为:1. 【点睛】本题考查了实数的运算,掌握绝对值、特殊角的三角函数值、零指数幂的运算是解题的关键. 3.(2022·黑龙江绥化·中考真题)定义一种运算;sin(α+β)=sinαcosβ+cosαsinβ, sin(α−β)=sinαcosβ−cosαsinβ.例如:当α=45°,β=30°时,sin(45°+30°)= √2 √3 √2 1 √6+√2 × + × = ,则sin15°的值为 . 2 2 2 2 4 √6−√2 【答案】 4 【分析】根据sin(α−β)=sinαcosβ−cosαsinβ代入进行计算即可. 【详解】解:sin15°=sin(45°−30°) =sin45°cos30°−cos45°sin30° √2 √3 √2 1 = × − × 2 2 2 2 √6 √2 = − 4 4 √6−√2 = . 4 √6−√2 故答案为: . 4 【点睛】此题考查了公式的变化,以及锐角三角函数值的计算,掌握公式的转化是解题的关键. 考点五: 在平面直角坐标系中求锐角三角函数值 3 1.(2024·江苏宿迁·中考真题)如图,在平面直角坐标系中,点A在直线y= x上,且点A的横坐标为 4 4,直角三角板的直角顶点C落在x轴上,一条直角边经过点A,另一条直角边与直线OA交于点B,当点 16关注公众号:陆陆高分冲刺 ~领取:最新版“小中高考-总复习”、最新试卷下载 C在x轴上移动时,线段AB的最小值为 . 15 【答案】 4 【分析】利用一次函数求出点A的坐标,利用勾股定理求出OA,当点C在x轴上移动时,作AB与AB'关 于AC对称,且AB'交x轴于点D,由对称性质可知,AB'=AB,∠BAC'=∠DAC',当AB'⊥x 轴于 点D时,AB=AB'=AD+B'D最短,记此时点C所在位置为C',作C'E⊥AB于点E,有DC'=EC', EC' AD 3 设DC'=EC'=m,则OC'=OD−DC'=4−m,利用锐角三角函数sin∠AOD= = = 建立等式 OC' OA 5 求出m,证明△C'DB'∽△ADC',再利用相似三角形性质求出B'D,最后根据AB=AB'=AD+B'D求 解,即可解题. 3 【详解】解:∵点A在直线y= x上,且点A的横坐标为4, 4 ∴点A的坐标为(4,3), ∴OA=5, 当点C在x轴上移动时,作AB与AB'关于AC对称,且AB'交x轴于点D, 由对称性质可知,AB'=AB, 当AB'⊥x 轴于点D时,AB=AB'=AD+B'D最短,记此时点C所在位置为C', 由对称性质可知,∠BAC'=∠DAC', 作C'E⊥AB于点E,有DC'=EC', 设DC'=EC'=m,则OC'=OD−DC'=4−m, 17关注公众号:陆陆高分冲刺 ~领取:最新版“小中高考-总复习”、最新试卷下载 EC' AD 3 ∴sin∠AOD= = = , OC' OA 5 m 3 ∴ = , 4−m 5 3 解得m= , 2 3 经检验m= 是方程的解, 2 ∵∠AC'D+∠DC'B'=90°,∠DAC'+∠AC'D=90°, ∴∠DC'B'=∠DAC', ∵∠C'DB'=∠ADC'=90°, ∴ △C'DB'∽△ADC', B'D DC' ∴ = , DC' AD 3 B'D 2 ∴ = , 3 3 2 3 解得B'D= , 4 3 15 ∴ AB=AB'=3+ = . 4 4 15 故答案为: . 4 【点睛】本题考查了轴对称性质,勾股定理,锐角三角函数,相似三角形性质和判定,角平分线性质,垂 线段最短,一次函数图象上点的坐标特征,解题的关键是根据轴对称性质和垂线段最短找出最短的情况. 2.(2024·吉林长春·中考真题)在平面直角坐标系中,点O是坐标原点,抛物线y=x2+2x+c(c是常 数)经过点(−2,−2).点A、B是该抛物线上不重合的两点,横坐标分别为m、−m,点C的横坐标为 −5m,点C的纵坐标与点A的纵坐标相同,连结AB、AC. 18关注公众号:陆陆高分冲刺 ~领取:最新版“小中高考-总复习”、最新试卷下载 (1)求该抛物线对应的函数表达式; (2)求证:当m取不为零的任意实数时,tan∠CAB的值始终为2; (3)作AC的垂直平分线交直线AB于点D,以AD为边、AC为对角线作菱形ADCE,连结DE. ①当DE与此抛物线的对称轴重合时,求菱形ADCE的面积; ②当此抛物线在菱形ADCE内部的点的纵坐标y随x的增大而增大时,直接写出m的取值范围. 【答案】(1)y=x2+2x−2 (2)见详解 (3) S =9;②m≤−3或−1≤m<0或00时,符合题意;当m继续变大,直至当直线CD经过点F时,符合题意, 过点F作FQ⊥AC于点 m2+2m−2−(−3) Q,由∠CAD=∠FCQ,得到 =2,解得:m=4−√13或m=4+√13(舍),故 −1−(−5m) 04−√13时,发现此时菱形包含了对称轴左侧的抛物线,不符合题意;当m<0时, 19关注公众号:陆陆高分冲刺 ~领取:最新版“小中高考-总复习”、最新试卷下载 符合题意:当m继续变小,直至点A与点F重合,此时m=−1,故−1≤m<0;当m继续变小,直线AE m2+2m−2−(−3) 经过点F时,也符合题意, 过点F作FQ⊥AC于点Q,同上可得, =2,解得: −1−m m=−3或m=−1(舍),当m继续变小时,仍符合题意,因此m≤−3,故m的取值范围为:m≤−3或 −1≤m<0或00时,如图,符合题意, 21关注公众号:陆陆高分冲刺 ~领取:最新版“小中高考-总复习”、最新试卷下载 当m继续变大,直至当直线CD经过点F时,符合题意,如图: 过点F作FQ⊥AC于点Q, ∵四边形ADCE是菱形, ∴DA=DC, ∴∠CAD=∠FCQ, FQ ∴tan∠FCQ=tan∠CAD= =2, CQ m2+2m−2−(−3) ∴ =2, −1−(−5m) 解得:m=4−√13或m=4+√13(舍), ∴04−√13时,如图,发现此时菱形包含了对称轴左侧的抛物线,不符合题意; 22关注公众号:陆陆高分冲刺 ~领取:最新版“小中高考-总复习”、最新试卷下载 当m<0时,如图,符合题意: 当m继续变小,直至点A与点F重合,此时m=−1,符合题意,如图: ∴−1≤m<0; 当m继续变小,直至直线AE经过点F时,也符合题意,如图: 23关注公众号:陆陆高分冲刺 ~领取:最新版“小中高考-总复习”、最新试卷下载 过点F作FQ⊥AC于点Q,同上可得, FQ tan∠FAQ= =2, AQ m2+2m−2−(−3) ∴ =2, −1−m 解得:m=−3或m=−1(舍), 当m继续变小时,仍符合题意,如图: ∴m≤−3, 综上所述,m的取值范围为:m≤−3或−1≤m<0或02时,分别求出点M的坐标即可. 【详解】(1)解:把A(−1,0),B(3,0)代入y=ax2+bx+3(a≠0)得: ¿, 解得:¿, ∴抛物线的解析式为:y=−x2+2x+3; (2)解:PA−PD存在最大值; 25关注公众号:陆陆高分冲刺 ~领取:最新版“小中高考-总复习”、最新试卷下载 把x=0代入y=−x2+2x+3得:y=3, ∴点C的坐标为(0,3), ∵y=−x2+2x+3=−(x−1) 2+4, ∴抛物线的对称轴为直线x=1, 连接PC、PD、PA,如图所示: ∵点C关于直线l的对称点为点D,点P在直线l上, ∴PC=PD, ∴PA−PC=PA−PD, ∴当PA−PC最大时,PA−PD最大, ∴当点A、C、P三点在同一直线上时,PA−PC最大,即当点P在点P'时,PA−PD最大, ∴PA−PD最大值为:AC=√12+32=√10. (3)解:过点M作ED∥y轴,过点C作CD⊥DE于点D,过点N作NE⊥DE于点E,如图所示: ∵CM⊥MN, ∴∠CMN=90°, MN 2 ∴tan∠MCN= = , CM 3 设点M的坐标为:(m,−m2+2m+3), 26关注公众号:陆陆高分冲刺 ~领取:最新版“小中高考-总复习”、最新试卷下载 ∴DM=|−m2+2m+3−3|=|−m2+2m|,NE=|m−1|, ∵∠CMN=∠NEM=∠CDM=90°, ∴∠DCM+∠CMD=∠CMD+∠NME=90°, ∴∠DCM=∠NME, ∴△CDM∽△MEN, NE MN 2 ∴ = = , DM CM 3 |m−1| 2 = ∴ , |−m2+2m| 3 ∴2|−m2+2m|=3|m−1|, 当m≤0时,−m2+2m≤0,m−1<0,则: 2m2−4m=3−3m, 3 解得:m =−1,m = (舍去), 1 2 2 此时点M坐标为:(−1,0); 当00,m−1≤0,则: −2m2+4m=3−3m, 1 解得:m =3(舍去),m = 1 2 2 (1 15) 此时点M坐标为: , ; 2 4 当10,则: −2m2+4m=3m−3, 3 解得:m = ,m =−1(舍去), 1 2 2 (3 15) 此时点M坐标为: , ; 2 4 当m>2时,−m2+2m<0,m−1>0,则: 2m2−4m=3m−3, 1 解得:m =3,m = (舍去), 1 2 2 此时点M坐标为:(3,0); 27关注公众号:陆陆高分冲刺 ~领取:最新版“小中高考-总复习”、最新试卷下载 (1 15) (3 15) 综上分析可知:点M坐标为:(−1,0)或 , 或 , 或(3,0). 2 4 2 4 【点睛】本题主要考查了二次函数的综合应用,求二次函数解析式,轴对称的性质,两点间距离公式,解 直角三角形的相关计算,解一元二次方程,相似三角形的判定和性质,解题的关键是数形结合,熟练掌握 相关的判定和性质,注意进行分类讨论. 考点六: 在网格中求锐角三角函数值 1.(2024·内蒙古包头·模拟预测)如图,在边长为1的正方形网格中,点A、B、C、D、E都在小正方形 格点的位置上,连接AB,CD相交于点P,根据图中提示所添加的辅助线,可以求得tan∠BPC的值是 ( ) 1 √5 A. B. C.2 D.√5 2 5 【答案】C 【分析】本题考查了三角函数,勾股定理,平行线的性质,解题的关键是数形结合.由题得:CD∥BE, ∠AED=45°,∠BED=45°,根据勾股定理求出AE=2√2,BE=√2,进而求出tan∠ABE=2,即可 求解. 【详解】解:由题得,CD∥BE,∠AED=45°,∠BED=45°, ∴ ∠BPC=∠ABE,∠AEB=90∘, ∵ AE=√22+22=2√2,BE=√12+12=√2, AE 2√2 ∴在Rt△ABE中,tan∠ABE= = =2, BE √2 则tan∠BPC=tan∠ABE=2, 故选:C. 2.(2024·湖北武汉·模拟预测)如图,是由小正方形组成的7×6网格,每个小正方形的顶点叫做格点, △ABC的三个顶点都是格点.仅用无刻度的直尺在给定网格中完成画图,画图过程用虚线表示. 28关注公众号:陆陆高分冲刺 ~领取:最新版“小中高考-总复习”、最新试卷下载 3 (1)在图1中,将线段AB绕点A逆时针旋转90∘得到线段AM;在AC上画点N,使tan∠ABN= ; 4 (2)在图2中,D是BC上任意一点,先画AD的中点E,再在BC上找到一点F,使得∠AFB=∠CFE. 【答案】(1)见解析 (2)见解析 【分析】(1)根据旋转的性质可得线段AM,借助网格中平行线可得比例线段,从而求解. (2)利用矩形MBNA性质,可得AO=BO,四边形AHCG是平行四边形,AO'=CO',即可求解. 本题考查作图——旋转变换,轴对称变换、平行线的性质,解直角三角形,熟练掌握相关知识是解答本题 的关键. 【详解】(1)解:如图1,根据旋转的性质可得线段AM,取格点P,Q,连结PQ交AM于点O, AP 3 AO 3 此时 = ,则 = . QM 1 OM 1 AO AO 3 即 = = , AM AB 4 连结OB交AC于点N, 3 ∴tan∠ABN=tan∠ABO= , 4 则点N即为所求. (2)解:如图2,连结MN,交AB于点O, ∵四边形MBNA是矩形, ∴AO=BO, 29关注公众号:陆陆高分冲刺 ~领取:最新版“小中高考-总复习”、最新试卷下载 AC与HG交于点O', ∵四边形AHCG是平行四边形, ∴AO'=CO', 连结OO'交AD于点E,点E即为所求. 连结BL、KP 交于点Q,连结 CB'、DC'交于点Q', 连结QQ'交G'D于点E',连结AE'交BC于点F, 点F即为所求. 3.(2024·湖北武汉·模拟预测)如图是由边长为1的小正方形构成的网格,点A、D、E、F在格点上,点 B、C是直线EF与网格线的交点.请用无刻度的直尺在给定网格中完成下列画图,画图过程用虚线表示, 画图结果用实线表示. 3 (1)如图1,将线段EF绕着点E逆时针旋转90°得到线段EM,在线段AD上取点P,使得tan∠PFE= , 4 并画出点E关于PF的对称点Q; (2)如图2,在线段AD上画一个点N,使得△ABN∽△DNC. 【答案】(1)见解析 (2)见解析 【分析】(1)根据旋转的性质,作出线段EM,在EM取点G,使EG:GM=3:1,连接FG交AD于点P, 作正方形EMNF,在MN上取点S,使MS:SN=3:1,连接ES,在PF上取点H,延长EH至点K,使 30关注公众号:陆陆高分冲刺 ~领取:最新版“小中高考-总复习”、最新试卷下载 EH=HK,过点K作KL∥FP,交ES与点Q,即可; CD DN (2)在AD上取格点N,使 = =1,即可. AN AB 【详解】(1)解:如图,线段EM,格点P,Q即为所求; 由旋转的性质可知,EF=EM,∠FEM=90°, 由作图和格点中的相似三角形可知:EG:GM=3:1, ∴EG:EM=3:4, EG EG 3 ∴tan∠PFE= = = , EF EM 4 作正方形EMNF,在MN上取点S,使MS:SM=3:1,可得:△EFG≌△MED, ∴∠MES=∠EFG, ∴∠MES+∠EGF=∠GFE+∠EGF=90°, ∴FP⊥ES, 延长EH至点K,使EH=HK,过点K作KL∥FP,交ES与点Q, 由平行线分线段成比例,可知,E,Q关于PF对称; (2)如图,点N即为所求: 31关注公众号:陆陆高分冲刺 ~领取:最新版“小中高考-总复习”、最新试卷下载 CD DN 由作图可知: = =1,∠A=∠D=90°, AN AB ∴△ABN∽△DNC. 【点睛】本题考查无刻度直尺的格点作图,旋转的性质,正方形的性质,全等三角形的判定和性质,相似 三角形的判定和性质,等知识点,熟练掌握相关知识点,是解题的关键. 考点七: 三角函数综合 1.(2022·浙江宁波·中考真题)如图1,⊙O为锐角三角形ABC的外接圆,点D在B´C上,AD交BC于点 E,点F在AE上,满足∠AFB−∠BFD=∠ACB,FG∥AC交BC于点G,BE=FG,连结BD,DG. 设∠ACB=α. (1)用含α的代数式表示∠BFD. (2)求证:△BDE≌△FDG. (3)如图2,AD为⊙O的直径. ①当A´B的长为2时,求A´C的长. ②当OF:OE=4:11时,求cosα的值. α 【答案】(1)∠BFD=90°− 2 (2)见解析 5 (3) 3;②cosα= 8 ① 【分析】(1)根据∠AFB−∠BFD=∠ACB=α,∠AFB+∠BFD=180°即可求解; (2)由(1)的结论,FG∥AC、BE=FG证△BDE≌△FDG(SAS)即可; 3α (3)①通过角的转换得∠ABC=∠ABD−∠DBG= ,即可求A´C的长;②连结BO,证 2 △BDG∽△BOF,设OF=4x,则OE=11x,DE=DG=4kx,由相似的性质即可求解; 32关注公众号:陆陆高分冲刺 ~领取:最新版“小中高考-总复习”、最新试卷下载 【详解】(1)∵∠AFB−∠BFD=∠ACB=α,① 又∵∠AFB+∠BFD=180°,② - ,得2∠BFD=180°−α, ② ① α ∴∠BFD=90°− . 2 α (2)由(1)得∠BFD=90°− , 2 ∵∠ADB=∠ACB=α, α ∴∠FBD=180°−∠ADB−∠BFD=90°− , 2 ∴DB=DF. ∵FG∥AC, ∴∠CAD=∠DFG. ∵∠CAD=∠DBE, ∴∠DFG=∠DBE. ∵BE=FG, ∴△BDE≌△FDG(SAS). (3)①∵△BDE≌△FDG, ∴∠FDG=∠BDE=α, ∴∠BDG=∠BDF+∠EDG=2α. ∵DE=DG, 1 α ∴∠DGE= (180°−∠FDG)=90°− , 2 2 3α ∴在△BDG中,∠DBG=180°−∠BDG−∠DGE=90°− , 2 ∵AD为⊙O的直径, ∴∠ABD=90°. 3α ∴∠ABC=∠ABD−∠DBG= . 2 ∴A´C与A´B的度数之比为3 2. ∴A´C与A´B的长度之比为3∶2, ∵A´B=2, ∶ ∴A´C=3. 33关注公众号:陆陆高分冲刺 ~领取:最新版“小中高考-总复习”、最新试卷下载 ②如图,连结BO. ∵OB=OD, ∴∠OBD=∠ODB=α, ∴∠BOF=∠OBD+∠ODB=2α. ∵∠BDG=2α, ∴∠BOF=∠BDG. α ∵∠BGD=∠BFO=90°− , 2 ∴△BDG∽△BOF, 设△BDG与△BOF的相似比为k, DG BD ∴ = =k. OF BO OF 4 ∵ = , OE 11 ∴设OF=4x,则OE=11x,DE=DG=4kx, ∴OB=OD=OE+DE=11x+4kx, BD=DF=15x+4kx, BD 15x+4kx 15+4k ∴ = = , BO 11x+4kx 11+4k 15+4k 由 =k,得4k2+7k−15=0, 11+4k 5 解得k = ,k =−3(舍), 1 4 2 ∴OD=11x+4kx=16x,BD=15x+4kx=20x, ∴AD=2OD=32x, BD 20x 5 在Rt△ABD中,cos∠ADB= = = , AD 32x 8 34关注公众号:陆陆高分冲刺 ~领取:最新版“小中高考-总复习”、最新试卷下载 5 ∴cosα= . 8 【点睛】本题主要考查圆的性质、三角函数、三角形的全等、三角形的相似,掌握相关知识并灵活应用是 解题的关键. 2.(2022·甘肃武威·中考真题)已知正方形ABCD,E为对角线AC上一点. (1)【建立模型】如图1,连接BE,DE.求证:BE=DE; (2)【模型应用】如图2,F是DE延长线上一点,FB⊥BE,EF交AB于点G. ①判断△FBG的形状并说明理由; ②若G为AB的中点,且AB=4,求AF的长. (3)【模型迁移】如图3,F是DE延长线上一点,FB⊥BE,EF交AB于点G,BE=BF.求证: ¿=(√2−1)DE. 【答案】(1)见解析 (2) 等腰三角形,见解析;②√13 (3)①见解析 【分析】(1)根据正方形的性质,证明△ABE≅ADE(SAS)即可. (2)①根据(1)的证明,证明∠FBG= FGB即可. ②过点F作FH⊥AB,垂足为H.利用三∠角函数求得FH,AH的长度即可. (3)证明 ¿=EF−FG=√2BE−BF=√2DE−DE=(√2−1)DE即可. 【详解】(1))证明:∵四边形ABCD为正方形,AC为对角线, ∴AB=AD,∠BAE=∠DAE=45°. ∵AE=AE, ∴△ABE≅ADE(SAS), BE=DE. ∴(2)①△FBG为等腰三角形.理由如下: 35关注公众号:陆陆高分冲刺 ~领取:最新版“小中高考-总复习”、最新试卷下载 ∵四边形ABCD为正方形, ∴∠GAD=90°, ∠AGD+∠ADG=90°. ∴∵FB⊥BE, ∴∠FBG+∠EBG=90°, 由(1)得∠ADG=∠EBG, ∴∠AGD=∠FBG, 又∵∠AGD=∠FGB, ∴∠FBG=∠FGB, ∴△FBG为等腰三角形. ②如图1,过点F作FH⊥AB,垂足为H. ∵四边形ABCD为正方形,点G为AB的中点,AB=4, ∴AG=BG=2,AD=4. 由①知FG=FB, ∴GH=BH=1, AH=AG+GH=3. ∴在Rt△FHG与Rt△DAG中, ∵∠FGH=∠DGA, ∴tan∠FGH=tan∠DGA, FH AD 4 ∴ = = , GH AG 2 FH=2. ∴ 在Rt△AHF中,AF=√AH2+FH2=√9+4=√13. (3)如图2,∵FB⊥BE, ∠FBE=90°. ∴ 36关注公众号:陆陆高分冲刺 ~领取:最新版“小中高考-总复习”、最新试卷下载 在Rt△EBF中,BE=BF, EF=√2BE. ∴由(1)得BE=DE, 由(2)得FG=BF, ¿=EF−FG=√2BE−BF=√2DE−DE=(√2−1)DE. ∴ 【点睛】本题考查了正方形的性质,等腰三角形的判定和性质,三角函数的应用,勾股定理,熟练掌握正 方形的性质,勾股定理和三角函数是解题的关键. 3.(2024·四川成都·中考真题)数学活动课上,同学们将两个全等的三角形纸片完全重合放置,固定一个 顶点,然后将其中一个纸片绕这个顶点旋转,来探究图形旋转的性质.已知三角形纸片ABC和ADE中, AB=AD=3,BC=DE=4,∠ABC=∠ADE=90°. 【初步感知】 BD (1)如图1,连接BD,CE,在纸片ADE绕点A旋转过程中,试探究 的值. CE 【深入探究】 (2)如图2,在纸片ADE绕点A旋转过程中,当点D恰好落在△ABC的中线BM的延长线上时,延长ED 交AC于点F,求CF的长. 【拓展延伸】 (3)在纸片ADE绕点A旋转过程中,试探究C,D,E三点能否构成直角三角形.若能,直接写出所有直 角三角形CDE的面积;若不能,请说明理由. 37关注公众号:陆陆高分冲刺 ~领取:最新版“小中高考-总复习”、最新试卷下载 BD 3 70 48 【答案】(1) 的值为 ;(2)CF= ;(3)直角三角形CDE的面积为4或16或12或 . CE 5 39 13 【分析】(1)根据AB=AD=3,BC=DE=4,∠ABC=∠ADE=90°.证明△ADE≌△ABC, AC=AE=√AB2+BC2=√AD2+DE2=5,继而得到∠DAE=∠BAC, BD AB 3 ∠DAE−∠DAC=∠BAC−∠DAC即∠CAE=∠BAD,再证明△CAE∽△BAD,得到 = = . CE AC 5 (2)连接CE,延长BM交CE于点Q,根据(1)得△CAE∽△BAD,得到∠ABD=∠ACE,根据中线BM 1 5 得到BM=AM=CM= AC= ,继而得到∠MBC=∠MCB,结合∠ABD+∠MBC=90°,得到 2 2 ∠ACE+∠MCB=90°即∠BCE=90°,得到AB∥CQ,再证明△ABM≌△CQM,得证矩形ABCQ, 再利用勾股定理,三角形相似的判定和性质计算即可. (3)运用分类思想解答即可. 【详解】(1)∵AB=AD=3,BC=DE=4,∠ABC=∠ADE=90°. ∴△ADE≌△ABC(SAS), ∴AC=AE=√AB2+BC2=√AD2+DE2=5,∠DAE=∠BAC, ∴∠DAE−∠DAC=∠BAC−∠DAC即∠CAE=∠BAD, AB AC ∵ = =1 AD AE ∴△CAE∽△BAD, BD AB 3 ∴ = = . CE AC 5 (2)连接CE,延长BM交CE于点Q,根据(1)得△CAE∽△BAD, ∴∠ABD=∠ACE, ∵BM是中线 38关注公众号:陆陆高分冲刺 ~领取:最新版“小中高考-总复习”、最新试卷下载 1 5 ∴BM=AM=CM= AC= , 2 2 ∴∠MBC=∠MCB, ∵∠ABD+∠MBC=90°, ∴∠ACE+∠MCB=90°即∠BCE=90°, ∴AB∥CQ, ∴∠BAM=∠QCM,∠ABM=∠CQM, ∵¿, ∴△BAM≌△QCM(AAS), ∴BM=QM, ∴四边形ABCQ是平行四边形, ∵∠ABC=90° ∴四边形ABCQ矩形, ∴AB=CQ=3,BC=AQ=4,∠AQC=90°, ∴PQ∥CN,EQ=√AE2−AQ2=3, EP EQ 3 ∴ = = =1, PN QC 3 1 ∴PQ= CN, 2 设PQ=x,CN=2x,则AP=4−x, ∵¿, ∴△EQP≌△ADP(AAS), ∴AP=EP=4−x, ∵EP2=PQ2+EQ2, ∴(4−x) 2=x2+32, 7 解得x= ; 8 25 7 ∴AP=4−x= ,CN=2x= , 8 4 ∵PQ∥CN,AC=5, ∴△APF∽△CNF, 39关注公众号:陆陆高分冲刺 ~领取:最新版“小中高考-总复习”、最新试卷下载 AP AF ∴ = , CN CF AP+CN AF+CF ∴ = , CN CF 25 7 + 8 4 5 ∴ = , 7 CF 4 70 解得CF= . 39 (3)如图,当AD与AC重合时,此时DE⊥AC,此时△CDE是直角三角形, 1 1 1 故S = CD·DE= ×(AC−AD)×DE= ×2×4=4; △CDE 2 2 2 如图,当AD在CA的延长线上时,此时DE⊥AC,此时△CDE是直角三角形, 1 1 1 故S = CD·DE= ×(AC+AD)×DE= ×8×4=16; △CDE 2 2 2 如图,当DE⊥EC时,此时△CDE是直角三角形, 过点A作AQ⊥EC于点Q, ∵AE=AC=5, 40关注公众号:陆陆高分冲刺 ~领取:最新版“小中高考-总复习”、最新试卷下载 1 ∴EQ=QC= EC, 2 ∵AQ⊥EC,DE⊥EC,DE⊥AD, ∴四边形ADEQ是矩形, 1 ∴AD=EQ=QC= EC=3, 2 ∴EC=6, 1 1 故S = EC·DE= ×6×4=12; △CDE 2 2 如图,当DC⊥EC时,此时△CDE是直角三角形,过点A作AQ⊥EC于点Q,交DE于点N, 1 ∴EQ=QC= EC=x,NQ∥CD, 2 EN EQ ∴ = =1, DN QC 1 1 ∴DN=EN= DE=2,QN= DC, 2 2 ∵∠∧=∠ENQ,∠ADN=∠EQN=90°, ∴∠DAN=∠QEN, ∴tan∠DAN=tan∠QEN, QN DN 2 ∴ = = , EQ AD 3 2 ∴QN= x, 3 4 ∴DC= x,CE=2x, 3 ∵ED2=DC2+EC2, ∴42=(2x) 2+ (4x) 2 , 3 36 ∴x2= , 13 41关注公众号:陆陆高分冲刺 ~领取:最新版“小中高考-总复习”、最新试卷下载 6√13 解得x= ; 13 1 1 4 4 4 36 48 故S = EC·DC= ×2x× x= x2= × = . △CDE 2 2 3 3 3 13 13 48 综上,直角三角形CDE的面积为4或16或12或 . 13 【点睛】本题考查了旋转的性质,三角形相似的判定和性质,三角形中位线定理的判定和应用,三角形全 等的判定和性质,三角函数的应用,勾股定理,熟练掌握三角函数的应用,三角形相似的判定和性质,矩 形的判定和性质,中位线定理是解题的关键. 考点八: 解直角三角形的相关计算 1.(2024·山西·中考真题)如图,在 ▱ABCD中,AC为对角线,AE⊥BC于点E,点F是AE延长线上 一点,且∠ACF=∠CAF,线段的延长线交于点G.若AB=√5,AD=4,tan∠ABC=2,则BG的长 为 . 20√5 20 【答案】 / √5 19 19 【分析】本题主要考查了平行四边形的性质、解直角三角形的应用、相似三角形的判定和性质等知识点, 正确地添加辅助线构造相似三角形并利用相似三角形的性质进行计算是解题的难点和关键. AE 如图:过点F作FH⊥AC于H,延长AD与GC的延长线交于K,由tan∠ABC= =2得AE=2BE, BE √13 进而得BE=1 ,AE=2,则CE=3,AC=√13,再由∠ACF=∠CAF得FA=FC,则AH=CH= , 2 1 1 AF⋅CE 3AF 13 由S = AC·FH= AF·CE,得FH= = ,在Rt△AFH中由勾股定理得AF= ,则 △FAC 2 2 AC √13 4 5 39 19 EF=AF−AE= ,证明△FCE∽△FKA得AK= ,则DK=AK−AD= ,再证明 4 5 5 42关注公众号:陆陆高分冲刺 ~领取:最新版“小中高考-总复习”、最新试卷下载 39√5 △KDC∽△KAG得AG= ,由此可得BG的长. 19 【详解】解:如图:过点F作FH⊥AC于H,延长AD与GC的延长线交于K, ∵四边形ABCD为平行四边形, ∴AB=CD=√5,BC=AD=4,AB∥CD,BC∥AD, 又∵AE⊥BC, AE 在Rt△ABE中,tan∠ABC= =2, BE ∴AE=2BE, 由勾股定理得:AE2+BE2=AB2,即(2BE) 2+BE2=(√5) 2 , ∴BE=1, ∴AE=2BE=2, ∴CE=BC−BE=3, 在Rt△ACE中,由勾股定理得: AC=√AE2+CE2=√13, ∵∠ACF=∠CAF, ∴FA=FC, ∵FH⊥AC, 1 √13 ∴AH=CH= AC= , 2 2 1 1 ∵S = AC⋅FH= AF⋅CE, △FAC 2 2 AF⋅CE 3AF ∴FH= = , AC √13 在Rt△AFH中,由勾股定理得:AF2−FH2=AH2,即AF2− (3AF) 2 = (√13) 2 , √13 2 43关注公众号:陆陆高分冲刺 ~领取:最新版“小中高考-总复习”、最新试卷下载 13 ∴AF= , 4 5 ∴EF=AF−AE= , 4 ∵BC∥AD, ∴△FCE∽△FKA, 5 13 ∴EF:AF=CE:AK,即 : =3:AK, 4 4 39 ∴AK= , 5 19 ∴DK=AK−AD= , 5 ∵AB∥CD, ∴△KDC∽△KAG, 19 39 ∴DK:AK=CD:AG,即 : =√5:AG, 5 5 39√5 ∴AG= , 19 39√5 20√5 ∴BG=AG−AB= −√5= . 19 19 20√5 故答案为: . 19 2.(2024·宁夏·中考真题)如图,⊙O是△ABC的外接圆,AB为直径,点D是△ABC的内心,连接AD 并延长交⊙O于点E,过点E作⊙O的切线交AB的延长线于点F. (1)求证:BC∥EF; 1 (2)连接CE,若⊙O的半径为2,sin∠AEC= ,求阴影部分的面积(结果用含π的式子表示). 2 【答案】(1)见解析 44关注公众号:陆陆高分冲刺 ~领取:最新版“小中高考-总复习”、最新试卷下载 2π (2)2√3− 3 【分析】本题考查了三角形的内切圆与内心,三角函数的定义,圆周角定理,三角形的外接圆与外心,扇 形面积的计算. (1)连接OE,交BC于点G,根据等腰三角形的性质得到∠OAE=∠OEA,由D为△ABC的内心,得 到∠OAE=∠CAE,求得OE∥AC,根据圆周角定理得到∠∠ACB=90°,求得∠BGO=90°,根据切 线的性质得到∠FEO=90°,根据平行线的判定定理得到结论; (2)根据三角函数的定义得到∠AEC=30°,求得∠ABC=∠AEC=30°,求得 EF=OE⋅tan60°=2√3,根据扇形和三角形的面积公式即可得到结论. 【详解】(1)证明:连接OE,交BC于点G, ∵OA=OE , ∴∠OAE=∠OEA, 又∵D为△ABC的内心, ∴∠OAE=∠CAE, ∴∠OEA=∠CAE, ∴OE∥AC, 又∵AB为⊙O的直径, ∴∠ACB=90°, ∴∠BGO=90° 又∵EF为⊙O的切线且OE为⊙O的半径, ∴∠FEO=90°, ∴∠BGO=∠FEO, ∴BC∥EF; 1 (2)解:∵sin∠AEC= , 2 ∴∠AEC=30°, ∴∠ABC=∠AEC=30°, 45关注公众号:陆陆高分冲刺 ~领取:最新版“小中高考-总复习”、最新试卷下载 ∴∠BOE=60°,∠EFO=30°, ∴EF=OE⋅tan60°=2√3, ∴S =S −S 阴影部分 △EFO 扇形BOE 1 60×π×22 = ×2×2√3− 2 360 2π =2√3− . 3 3.(2023·四川绵阳·中考真题)如图,在⊙O中,点A,B,C,D为圆周的四等分点,AE为切线,连接 ED,并延长交⊙O于点F,连接BF交AC于点G. (1)求证:AD平分∠CAE; (2)求证:△ADE≌△ABG; (3)若AE=3,AG=3GC,求cos∠CBF的值. 【答案】(1)见解析 (2)见解析 3√10 (3)cos∠CBF= 10 【分析】本题考查全等三角形的判定与性质、、切线的性质和解直角三角形,证明△ADE≌△ABG实际 解题的关键. (1)利用圆周四等分点得到∠COD=∠BOC=90°,再根据切线的性质得到∠CAE=90°,所以 ∠DAE=45°,从而即可解题; (2)根据圆内接四边形的性质证明∠ADE=∠ABG,则可利用“ASA”判断△ADE≌△ABG; (3)过点G作GH⊥BC于点H,如图,先利用△ADE≌△ABG得到AE=AG=3,DE=BG,所以 GC=1,AC=4,然后利用解直角三角形解题即可. 【详解】(1)证明:连接BD. ∵点A,B,C,D为圆周的四等分点, ∴AC⊥BD,即圆心角∠COD=∠BOC=90°. ∵C´D=C´D, 46关注公众号:陆陆高分冲刺 ~领取:最新版“小中高考-总复习”、最新试卷下载 1 1 ∴∠CAD= ∠COD= ×90°=45°. 2 2 ∵AE为⊙O的切线, ∴∠CAE=90°, ∴∠DAE=∠CAE−∠CAD=90°−45°=45°. ∴∠DAE=∠CAD. ∴AD平分∠CAE. (2)∵B´C=B´C, 1 1 ∠BAC= ∠BOC= ×90°=45°. 2 2 ∴ ∴∠BAC=∠DAE. 在四边形ABFD中,∠ABF+∠BFD+∠FDA+∠DAB=360°. ∵BD为直径, ∴∠BFD+∠DAB=90°+90°=180°, ∴∠ABG+∠ADF=360°−180°=180°. ∵∠ADE+∠ADF=180°, ∴∠ADE=∠ABG. ∵点A,B,C,D为圆周的四等分点, ∴A´D=A´B, ∴AD=AB. 在△AED和△ABG中, ¿ ∴△ADE≌△ABG(ASA). (3)连接CF, ∵AE=3, 由(2)中△ADE≌△ABG,得AE=AG=3,DE=BG. 又AG=3GC, 47关注公众号:陆陆高分冲刺 ~领取:最新版“小中高考-总复习”、最新试卷下载 即AG=3GC=3, ∴GC=1, ∴AC=AG+GC=3GC+GC=4GC=4. ∴⊙O的半径为2. ∴在△BOG中,BG=√BO2+GO2=√22+12=√5. 过点G作GH⊥BC于点H. 由题意得∠ACB=45°, ∴△CGH为等腰直角三角形, √2 √2 ∴GH= CG= . 2 2 在△BGH中,BH=√BG2−GH2= √ (√5) 2 − (√2) 2 = 3√2 , 2 2 3√2 BH 2 3√10. ∴cos∠CBF=cos∠GBH= = = BG √5 10 4.(2023·浙江绍兴·中考真题)(1)一副直角三角尺如图1所示,中间各有一个直径为4cm的圆洞,现将三 角尺a的30°角的那一头插入三角尺b圆洞内,如图2所示.则三角尺a通过三角尺b圆洞的那一部分的最大 面积为 cm2.(不计三角尺的厚度) (2)如图3,矩形ABCD中,点E是边AB中点,点P是边AD上一动点,沿直线PE将△APE翻折,点A落在 点F处.已知AB=6,AD=4,连结CF,CE. ①当AP=4时,CF= ; ②当△CEF为直角三角形时,AP= . 48关注公众号:陆陆高分冲刺 ~领取:最新版“小中高考-总复习”、最新试卷下载 2√37 9 【答案】 8+4√3 1或 5 4 【分析】(1)四边形OACB是三角尺a通过三角尺b圆洞的最大图形,过点A作AD⊥BC于点D, OF⊥AD于点F,延长BO交CA于点E,把穿过圆洞的四边形分成一个直角三角形和一个直角梯形,利 用锐角三角函数分别求出AD、CD、BD的长度,根据S =S +S 求出穿过圆洞的最大 四边形OACB △ADC 梯形OADB 面积; (2)①点P与点D重合,过点F作MN∥AD,可得△DMF∽△FNE,利用相似三角形的性质把各边用含x 的代数式表示出来,再利用勾股定理列出关于x的方程,解方程求出x的值,再利用勾股定理求出CF的长 度; ②当△CEF为直角三角形时,分两种情况:一种情况是当∠FEC=90°时,另一种情况是当∠EFC=90° 时,分别利用勾股定理列方程求解. 【详解】(1)解:如下图所示,四边形OACB是三角尺a通过三角尺b圆洞的最大图形, ∵圆洞的最大直径为4cm, ∴OA=OB=2cm,∠C=30°,OA⊥CA,OB⊥CB, 过点A作AD⊥BC于点D,OF⊥AD于点F,延长BO交CA于点E, 则有∠FAO=∠AOE=30°, 1 1 ∴OF= AO= ×2=1, 2 2 则AF=√AO2−FO2=√22−12=√3, ∴AD=AF+DF=√3+2, 49关注公众号:陆陆高分冲刺 ~领取:最新版“小中高考-总复习”、最新试卷下载 AD √3 ∵tan30°= = , CD 3 ∴CD=√3AD=√3(2+√3)=3+2√3, CB=CD+DB=CD+FO=3+2√3+1=4+2√3, 1 1 7 S = AD·CD= ×(3+2√3)×(2+√3)=6+ √3, △ADC 2 2 2 1 1 1 S = (BO+AD)·BD= ×(2+2+√3)×1=2+ √3, 梯形BOAD 2 2 2 7 1 ∴S =S +S =6+ √3+2+ √3=8+4√3, 四边形OACB △ADC 梯形OADB 2 2 故答案为:8+4√3; (2)①如下图所示,当AP=4时,点P与点D重合,过点F作MN∥AD, ∵AB=6,点E为AB的中点, 1 ∴AE= AB=3, 2 ∵四边形ABCD是矩形, ∴∠A=∠B=90°, ∴PE=√AE2+AP2=√32+42=5, ∵MN∥AD, ∴∠ENF=∠DMN=90°, ∴∠MDF+∠MFD=90°, 又∵∠DFE=∠A=90°, ∴∠EFN+∠MFD=90°, ∴∠FEN=∠MFD, ∴△DMF∽△FNE, DF FM DM ∴ = = , EF EN FN 50关注公众号:陆陆高分冲刺 ~领取:最新版“小中高考-总复习”、最新试卷下载 4 FM DM ∴ = = , 3 EN FN 设EN=3x,则FM=4x, ∴FN=4−4x, 在Rt△FEN中,EF2=EN2+FN2, ∴(3x) 2+(4−4x) 2=32, 7 解得:x= 或1(舍去), 25 7 7 21 7 28 当x= 时,EN=3× = ,FM=4× = , 25 25 25 25 25 21 54 MC=NB=AB−AE−EN=6−3− = , 25 25 ∴CF=√CM2+FM2= √ (54) 2 + (28) 2 = 2√37 , 25 25 5 2√37 故答案为: ; 5 ②如下图所示,当∠FEC=90°时, 过点F作FH⊥AB, 则有△FHE∽△EBC, FH HE EF 3 ∴ = = = , BE BC EC 5 9 12 ∴FH= ,HE= , 5 5 12 3 ∴AH=AB−BE−EH=6−3− = , 5 5 过点P作PQ⊥FH,则四边形APQH为矩形,QH=AP, 9 3 ∴FQ=FH−QH=FH−AP= −AP,PQ=AH= ,PF=AP, 5 5 在△PFQ中,PQ2+FQ2=PF2, 51关注公众号:陆陆高分冲刺 ~领取:最新版“小中高考-总复习”、最新试卷下载 ∴ (3) 2 + (9 −AP ) 2 =AP2 , 5 5 解得:AP=1; 如下图所示,当∠EFC=90°时,EF=AE=3,PF=AP,∠PFE=∠A=90°, ∴点P、F、C在一条线上, 则PC=PF+CF=AP+CF,DP=AD−AP=4−AP, 在Rt△BEC中,CE=√BC2+BE2=√42+32=5, 在Rt△CFE中,CF=√CE2−EF2=√52−32=4, ∴PC=PF+CF=AP+4, 在Rt△DPC中,DP2+DC2=PC2, ∴(4−AP) 2+62=(AP+4) 2, 整理得:16AP=36, 9 解得:AP= , 4 9 综上所述当AP= 或1时△CEF为直角三角形. 4 【点睛】本题主要考查了解直角三角形、相似三角形的判定与性质、勾股定理.解决本题的关键是作辅助 线构造相似三角形和全等三角形. 考点九: 构造直角三角形求不规则图形的边长或面积 1.(2024·广东广州·一模)已知在四边形ABCD中,∠BAD=75°,∠ABC=∠ADC=90°, AB=BC=4√2. 52关注公众号:陆陆高分冲刺 ~领取:最新版“小中高考-总复习”、最新试卷下载 (1)CD的长是 ; (2)若E是CD边上一个动点,连接AE,过点D作DF⊥AE,垂足为点F,在AF上截取FP=FD,当 △PBC的面积最小时,点P到BC的距离是 . 【答案】 4 4√2−√6/−√6+4√2 【分析】(1)连接AC,根据条件易知△ABC是等腰直角三角形,所以求得AC=8,再利用 ∠BAD=75°求得∠CAD=30°,在Rt△ACD中即可求出CD的长; (2)连接DP,过点P作PG⊥BC于点G,当点O、P、G共线时,PG的长最小,则△PBC的面积最小. 【详解】(1)解:连接AC, 在Rt△ABC中,∠ABC=90°,AB=BC=4√2, ∴∠BAC=45°,AC=√AB2+BC2=√(4√2) 2+(4√2) 2=8, ∵∠BAD=75°, ∴∠CAD=75°−45°=30°, 1 1 ∴在Rt△ACD中,CD= AC= ×8=4; 2 2 故答案为:4 √3 (2)在Rt△ACD中,易得AD=AC⋅cos30°=8× =4√3, 2 连接DP,由题意可知△PDF是等腰直角三角形, ∴∠FPD=45°, ∴∠APD=135°, ∴点P是△APD外接圆的A´D上的一个动点, 作△APD的外接圆⊙O,连接OA,OP,OD,得∠AOD=90°, 53关注公众号:陆陆高分冲刺 ~领取:最新版“小中高考-总复习”、最新试卷下载 ∴△AOD是等腰直角三角形, √2 √2 ∴OA= AD= ×4√3=2√6, 2 2 过点P作PG⊥BC于点G,当点O、P、G共线时,PG的长最小,则△PBC的面积最小, 当点O、P、G共线时,OG∥AB, ∴∠AOP=180°−∠BAD−∠OAD=180°−75°−45°=60°, ∴△AOP是等边三角形,AP=OA=2√6, 过点P作PH⊥AB于点H, ∴四边形PGBH是矩形, ∵∠PAH=∠APO=60°, 1 ∴AH= AP=√6,BH=AB−AH=4√2−√6, 2 则PG=BH=4√2−√6, 故点P到BC的距离是4√2−√6. 故答案为:4√2−√6 【点睛】本题属于四边形综合题,考查了等腰直角三角形的性质和面积最小问题,解题的关键是学会添加 常用辅助线,学会用转化的思想思考问题. 2.(2023·安徽·二模)如图,已知:AB是⊙O的直径,点C在圆上,AB=10,AC=6,点C、E分别在 AB两侧,且E为半圆AB的中点. 54关注公众号:陆陆高分冲刺 ~领取:最新版“小中高考-总复习”、最新试卷下载 (1)求△ABC的面积; (2)求CE的长. 【答案】(1)24 (2)7√2 【分析】(1)由直径所对的圆周角是直角可以得到∠ACB=90°,根据勾股定理求BC长,然后求出面积 即可; (2)连AE,过点A作AD⊥AC于点D,则∠ACE=45°,解直角三角形解题即可. 【详解】(1)解:∵AB是⊙O的直径, ∴∠ACB=90°, ∴BC=√AB2−AC2=√102−62=8, 1 1 ∴S = AC×BC= ×6×8=24, △ABC 2 2 (2)连AE,过点A作AD⊥AC于点D, E为半圆AB的中点, ∵ 1 ∴∠ACE=∠ECB= ∠ACB=45°, 2 AD ∵sin∠ACE= , AC √2 ∴AD=CD=AC×sin∠ACE=6× =3√2, 2 又∵∠E=∠B, ∴tan∠E=tan∠B, AD AC 3 ∴ = = , DE BC 4 ∴DE=4√2, ∴CE=DE+DC=4√2+3√2=7√2. 55关注公众号:陆陆高分冲刺 ~领取:最新版“小中高考-总复习”、最新试卷下载 【点睛】本题考查解直角三角形,直径所对的圆周角是直角,圆周角定理,能作辅助线构造直角三角形是 解题的关键. 3.(2022·浙江宁波·模拟预测)如图,在Rt△ABC中,CD是斜边AB上的高,将得到的两个△ACD和 △BCD按图①、图②、图③三种方式放置,设三个图中阴影部分的面积分别为S ,S ,S ,若S =S , 1 2 3 1 2 则S 与S 之间的关系是( ) 1 3 A.S =1.5S B.S =2S C.S =3S D.S =3.5S 1 3 1 3 1 3 1 3 【答案】A 【分析】分析题意,过点F作EF⊥BD,交BD于点E,是在各自图形中找到面积表达式,利用已知的等 量关系,结合所给的图及直角三角形高线性质,找出S 与S 得关系,即可解决问题. 1 3 【详解】解:如图②所示,过点F作EF⊥BD,交BD于点E, S =S −S ' 1 ΔBCD ΔAC'D 1 1 = ×BD×CD− ×AD'×C'D' 2 2 1 = ×(BD−AD')×CD 2 56关注公众号:陆陆高分冲刺 ~领取:最新版“小中高考-总复习”、最新试卷下载 1 S = C'D'×FE, 2 2 ∵S =S , 1 2 ∴EF=BD−AD'=DD' 1 ∴S = ×CD×DD', 1 2 1 S = BD'×D'K, 3 2 由题目中所给的图及直角三角形高线性质可知: C'K=1.5D'K,DD'=0.6BD, C'K+D'K=C'D'=2.5D'K, 1 ∴S1= ×2.5D'K×0.6B'D, 2 ∴S =1.5S . 1 3 故选:A. 【点睛】本题考查对于三角形面积公式的运用,解题关键是在各自图形中找到面积表达式,利用已知的等 量关系,结合所给的图及直角三角形高线性质,找出S 与S 得关系. 1 3 4.(2021·江苏连云港·中考真题)我市的前三岛是众多海钓人的梦想之地.小明的爸爸周末去前三岛钓鱼, 将鱼竿AB摆成如图1所示.已知AB=4.8m,鱼竿尾端A离岸边0.4m,即AD=0.4m.海面与地面AD平 行且相距1.2m,即DH=1.2m. (1)如图1,在无鱼上钩时,海面上方的鱼线BC与海面HC的夹角∠BCH=37°,海面下方的鱼线CO与 海面HC垂直,鱼竿AB与地面AD的夹角∠BAD=22°.求点O到岸边DH的距离; (2)如图2,在有鱼上钩时,鱼竿与地面的夹角∠BAD=53°,此时鱼线被拉直,鱼线BO=5.46m,点 3 4 O恰好位于海面.求点O到岸边DH的距离.(参考数据:sin37°=cos53°≈ ,cos37°=sin53°≈ , 5 5 3 3 15 2 tan37°≈ ,sin22°≈ ,cos22°≈ ,tan22°≈ ) 4 8 16 5 57关注公众号:陆陆高分冲刺 ~领取:最新版“小中高考-总复习”、最新试卷下载 【答案】(1)8.1m;(2)4.58m 【分析】(1)过点B作BF⊥CH,垂足为F,延长AD交BF于点E,构建Rt△ABE和Rt△BFC,在 Rt△ABE中,根据三角函数的定义与三角函数值求出BE,AE;再用BE+EF求出BF,在Rt△BFC中,根据 三角函数的定义与三角函数值求出FC,用CF+AE−AD=CH; (2)过点B作BN⊥OH,垂足为N,延长AD交BN于点M,构建Rt△ABM和Rt△BNO,在Rt△ABM 中,根据53°和AB的长求出BM和AM,利用BM+MN求出BN,在Rt△BNO中利用勾股定理求出ON,最 后用HN+ON求出OH. 【详解】 (1)过点B作BF⊥CH,垂足为F,延长AD交BF于点E, 则AE⊥BF,垂足为E. AE AE 由cos∠BAE= ,∴cos22°= , AB 4.8 15 AE ∴ = ,即AE=4.5, 16 4.8 ∴DE=AE−AD=4.5−0.4=4.1, 58关注公众号:陆陆高分冲刺 ~领取:最新版“小中高考-总复习”、最新试卷下载 BE BE 由sin∠BAE= ,∴sin22°= , AB 4.8 3 BE ∴ = ,即BE=1.8, 8 4.8 ∴BF=BE+EF=1.8+1.2=3. BF 3 又tan∠BCF= ,∴tan37°= , CF CF 3 3 ∴ = ,即CF=4, 4 CF ∴CH=CF+HF=CF+DE=4+4.1=8.1, 即C到岸边的距离为8.1m. (2)过点B作BN⊥OH,垂足为N,延长AD交BN于点M, 则AM⊥BN,垂足为M. AM AM 3 AM 由cos∠BAM= ,∴cos53°= ,∴ = , AB 4.8 5 4.8 即AM=2.88,∴DM=AM−AD=2.88−0.4=2.48. BM BM 4 BM 由sin∠BAM= ,∴sin53°= ,∴ = , AB 4.8 5 4.8 即BM=3.84,∴BN=BM+MN=3.84+1.2=5.04. ∴ON=√OB2−BN2=√5.462−5.042=√4.41=2.1, ∴OH=ON+HN=ON+DM=4.58, 即点O到岸边的距离为4.58m. 【点睛】本题以钓鱼为背景,考查了学生运用三角函数知识解决实际问题的能力,解题关键在于构造合适 的直角三角形,运用三角函数的运算,根据一边和一角的已知量,求其他边;再根据特殊的几何位置关系 求线段长度. 、 重难点一: 运用解直角三角形的知识解决视角相关问题 1.(2024·山西·中考真题)研学实践:为重温解放军东渡黄河“红色记忆”,学校组织研学活动.同学们 来到毛主席东渡黄河纪念碑所在地,在了解相关历史背景后,利用航模搭载的3D扫描仪采集纪念碑的相 59关注公众号:陆陆高分冲刺 ~领取:最新版“小中高考-总复习”、最新试卷下载 关数据. 数据采集:如图,点A是纪念碑顶部一点,AB的长表示点A到水平地面的距离.航模从纪念碑前水平地面 的点M处竖直上升,飞行至距离地面20米的点C处时,测得点A的仰角∠ACD=18.4°;然后沿CN方向 继续飞行,飞行方向与水平线的夹角∠NCD=37°,当到达点A正上方的点E处时,测得AE=9米;… 数据应用:已知图中各点均在同一竖直平面内,E,A,B三点在同一直线上.请根据上述数据,计算纪 念碑顶部点A到地面的距离AB的长(结果精确到1米.参考数据:sin37°≈0.60,cos37°≈0.80, tan37°≈0.75,sin18.4°≈0.32,cos18.4°≈0.95,tan18.4°≈0.33). 【答案】点A到地面的距离AB的长约为27米 【分析】本题考查解直角三角形的应用—仰角俯角问题、锐角三角函数,解答本题的关键是明确题意,利 用数形结合的思想解答. 延长CD交AB于点H,根据矩形的性质得到CM=HB=20,解直角三角形即可得到结论. 【详解】解:延长CD交AB于点H, 由题意得,四边形CMBH为矩形, ∴CM=HB=20, 在Rt△ACH中,∠AHC=90°,∠ACH=18.4°, AH ∴ tan∠ACH= , CH AH AH AH ∴ CH= = ≈ , tan∠ACH tan18.4° 0.33 在Rt△ECH中,∠EHC=90°,∠ECH=37°, EH ∴ tan∠ECH= , CH EH EH EH ∴ CH= = ≈ , tan∠ECH tan37° 0.75 设AH=x米. ∵AE=9, ∴EH=x+9, 60关注公众号:陆陆高分冲刺 ~领取:最新版“小中高考-总复习”、最新试卷下载 x x+9 ∴ = , 0.33 0.75 解得x≈7.1, ∴AB=AH+HB≈7.1+20=27.1≈27(米); 答:点A到地面的距离AB的长约为27米. 2.(2024·西藏·中考真题)在数学综合实践活动中,次仁和格桑自主设计了“测量家附近的一座小山高 度”的探究作业.如图,次仁在A处测得山顶C的仰角为30°;格桑在B处测得山顶C的仰角为45°.已 知两人所处位置的水平距离MN=210米,A处距地面的垂直高度AM=30米,B处距地面的垂直高度 BN=20米,点M,F,N在同一条直线上,求小山CF的高度.(结果保留根号) 【答案】(100√3−70)米 【分析】本题主要考查了矩形的判定和性质,解直角三角形的应用,证明四边形AMFD和四边形BNFE为 矩形,得出DF=AM=30米,BN=EF=20米,MF=AD,FN=BE,设CD=x,则 CD x AD= = =√3x CE=CD+DE=(x+10)米,解直角三角形得出 tan30° √3 , 3 CE x+10 BE= = =x+10,根据MN=210米,得出√3x+x+10=210,求出x=100√3−100,最后 tan45° 1 得出答案即可. 【详解】解:根据题意可得:∠AMF=∠DFM=∠ADF=90°,∠BEF=∠EFN=∠BNF=90°, ∴四边形AMFD和四边形BNFE为矩形, 61关注公众号:陆陆高分冲刺 ~领取:最新版“小中高考-总复习”、最新试卷下载 ∴DF=AM=30米,BN=EF=20米,MF=AD,FN=BE, ∴DE=DF−EF=30−20=10(米), 设CD=x,则CE=CD+DE=(x+10)米, ∵∠CAD=30°,∠ADC=90°, CD x AD= = =√3x ∴ tan30° √3 , 3 ∵∠CBE=45°,∠CEB=90°, CE x+10 ∴BE= = =x+10, tan45° 1 ∴MF=AD=√3x,FN=BE=x+10, ∵MN=210米, ∴√3x+x+10=210, 解得:x=100√3−100, ∴CF=CD+DF=100√3−100+30=(100√3−70)米. 3.(2024·山东潍坊·中考真题)在光伏发电系统运行时,太阳能板(如图1)与水平地面的夹角会对太阳 辐射的接收产生直接影响.某地区工作人员对日平均太阳辐射量y(单位:kW⋅h⋅10−1 ⋅m−2 ⋅d−1)和太 阳能板与水平地面的夹角x°(0≤x≤90)进行统计,绘制了如图2所示的散点图,已知该散点图可用二次函 数刻画. (1)求y关于x的函数表达式; (2)该地区太阳能板与水平地面的夹角为多少度时,日平均太阳辐射量最大? (3)图3是该地区太阳能板安装后的示意图(此时,太阳能板与水平地面的夹角使得日平均太阳辐射量最 大),∠AGD为太阳能板AB与水平地面GD的夹角,CD为支撑杆.已知AB=2m,C是AB的中点, CD⊥GD.在GD延长线上选取一点M,在D,M两点间选取一点E,测得EM=4m,在M,E两点处分 62关注公众号:陆陆高分冲刺 ~领取:最新版“小中高考-总复习”、最新试卷下载 别用测角仪测得太阳能板顶端A的仰角为30°,45°,该测角仪支架的高为1m.求支撑杆CD的长.(精 确到0.1m,参考数据:√2≈1.414,√3≈1.732) 1 3 【答案】(1)y=− x2+ x+40 100 5 (2)30° (3)6.0 【分析】本题主要考查待定系数法求二次函数解析式以及二次函数的图像和性质,解直角三角形,熟练掌 握二次函数的图像和性质是解题的关键. (1)设y关于x的函数表达式为y=ax2+bx+c,将图中的点代入即可求出答案; (2)求出二次函数的对称轴,在对称轴处取最值; (3)延长NF与过点A作AH⊥GM的线交于点H,令FH=a,根据三角函数进行计算,求出 GC=AG−CA=4√3+5即可得到答案. 【详解】(1)解:设y关于x的函数表达式为y=ax2+bx+c, 将(0,40),(10,45),(30,49)代入, 得¿, 解得¿, 1 3 ∴y=− x2+ x+40; 100 5 3 b 5 (2)解:根据函数解析式得函数对称轴x=− =− =30, 2a 1 − ×2 100 故阳能板与水平地面的夹角为30度时,日平均太阳辐射量最大; 1 3 1 (3)解:y=− x2+ x+40=− (x−30) 2+49, 100 5 100 延长NF与过点A作AH⊥GM的线交于点H,令FH=a, ∴AH=a,AN=2AH=2a, ∴HN=√AN2−AH2=√3a≈1.7a, ∵HN=HF+FN=4+a, ∴√3a=4+a, ∴a=2√3+2, ∴AN=4√3+4, 63关注公众号:陆陆高分冲刺 ~领取:最新版“小中高考-总复习”、最新试卷下载 延长AN交GM与J点, ∵∠AJG=∠AGJ, ∴AJ=AG, NM ∵AJ=AN+ =4√3+6, cos60° ∴AG=4√3+6, ∴GC=AG−CA=4√3+5, CG 5 ∴CD=CGsin30°= = +2√3≈2.5+2×1.732≈6.0. 2 2 重难点二: 运用解直角三角形的知识解决方向角相关问题 1.(2024·海南·中考真题)木兰灯塔是亚洲最高、世界第二高的航标灯塔,位于海南岛的最北端,是海南 岛东北部最重要的航标.某天,一艘渔船自西向东(沿AC方向)以每小时10海里的速度在琼州海峡航行, 如图所示. 航行记录记录一:上午8时,渔船到达木兰灯塔P北偏西60°方向上的A处. 记录二:上午8时30分,渔船到达木兰灯塔P北偏西45°方向上的B处. 记录三:根据气象观测,当天凌晨4时到上午9时,受天文大潮和天气影响,琼州海峡C点周围5海里 内,会出现异常海况,点C位于木兰灯塔P北偏东15°方向. 请你根据以上信息解决下列问题: 64关注公众号:陆陆高分冲刺 ~领取:最新版“小中高考-总复习”、最新试卷下载 (1)填空:∠PAB=________°,∠APC=________°,AB= ________海里; (2)若该渔船不改变航线与速度,是否会进入“海况异常”区,请计算说明. (参考数据:√2≈1.41,√3≈1.73,√6≈2.45) 【答案】(1)30;75;5 (2)该渔船不改变航线与速度,会进入“海况异常”区 【分析】本题主要考查了方位角的计算,解直角三角形的实际应用,三角形内角和定理: (1)根据方位角的描述和三角形内角和定理可求出两个角的度数,根据路程等于速度乘以时间可以计算 出对应线段的长度; PD (2)设PD=x海里,先解Rt△PDB得到BD=x,再解Rt△APD得到AD= =√3x海里, tanA PD AP= =2x海里,据此可得x+5=√3x,解得AP=2x=(5√3+5)海里;证明∠C=∠APC,则 sinA AC=AP=(5√3+5)海里;再求出上午9时时船与C点的距离即可得到结论. 【详解】(1)解:如图所示,过点P作PD⊥AC于D, 由题意得,∠APD=60°,∠BPD=45°,∠CPD=15° , ∴∠PAB=90°−∠APD=30°,∠APC=∠APD+∠CPD=75°; ∵一艘渔船自西向东(沿AC方向)以每小时10海里的速度在琼州海峡航行,上午8时从A出发到上午8 时30分到达B, ∴AB=10×0.5=5海里. (2)解:设PD=x海里, 在Rt△PDB中,BD=PD⋅tan∠DPB=x海里, PD PD 在Rt△APD中,AD= =√3x海里,AP= =2x海里, tanA sinA ∵AD=AB+BD, 65关注公众号:陆陆高分冲刺 ~领取:最新版“小中高考-总复习”、最新试卷下载 ∴x+5=√3x, 5 5√3+5 解得x= = , √3−1 2 ∴AP=2x=(5√3+5)海里, ∵∠C=180°−∠A−∠APC=75°, ∴∠C=∠APC, ∴AC=AP=(5√3+5)海里; 上午9时时,船距离A的距离为10×1=10海里, ∵5√3+5−10=5√3−5≈5×1.73−5=3.65<5, ∴该渔船不改变航线与速度,会进入“海况异常”区. 2.(2024·四川资阳·中考真题)如图,某海域有两灯塔A,B,其中灯塔B在灯塔A的南偏东30°方向,且 16√3 A,B相距 海里.一渔船在C处捕鱼,测得C处在灯塔A的北偏东30°方向、灯塔B的正北方向. 3 (1)求B,C两处的距离; (2)该渔船从C处沿北偏东65°方向航行一段时间后,突发故障滞留于D处,并发出求救信号.此时,在灯 塔B处的渔政船测得D处在北偏东27°方向,便立即以18海里/小时的速度沿BD方向航行至D处救援,求 渔政船的航行时间. (注:点A,B,C,D在同一水平面内;参考数据:tan65°≈2.1,tan27°≈0.5) 【答案】(1)B,C两处的距离为16海里 7√5 (2)渔政船的航行时间为 小时 12 【分析】本题考查了解直角三角形的实际应用,解题的关键是正确画出辅助线,构造直角三角形. 66关注公众号:陆陆高分冲刺 ~领取:最新版“小中高考-总复习”、最新试卷下载 AB (1)根据题意易得AC=AB,则CE=BE,再求出BE=CE= =8(海里),即可解答; cos30° (2)过点D作DF⊥BC于点F,设CF=x海里,则DF=CFtan65°=2.1x, DF=BFtan27°=0.5(16+x),则2.1x=0.5(16+x),求出x=5,进而得出BF=BC+CF=21海里, 21√5 DF=CFtan65°=10.5海里,根据勾股定理可得:BD=√DF2+BF2= (海里),即可解答. 2 【详解】(1)解:过点A作AE⊥BC于点E, ∵灯塔B在灯塔A的南偏东30°方向,C处在灯塔A的北偏东30°方向、灯塔B的正北方向. ∴∠ACE=∠ABE=30°, ∴AC=AB, ∵AE⊥BC, ∴CE=BE, 16√3 ∵AB= 海里, 3 AB ∴BE=CE= =8(海里), cos30° ∴BC=8×2=16(海里), B,C两处的距离为16海里. ∴ (2)解:过点D作DF⊥BC于点F, 设CF=x海里, ∵∠DCF=65°, ∴DF=CFtan65°=2.1x, 由(1)可知,BC=16海里, ∴BF=(16+x)海里, ∵∠DBF=27°, 67关注公众号:陆陆高分冲刺 ~领取:最新版“小中高考-总复习”、最新试卷下载 ∴DF=BFtan27°=0.5(16+x), ∴2.1x=0.5(16+x), 解得:x=5, ∴BF=BC+CF=21海里,DF=CFtan65°=10.5海里, 21√5 根据勾股定理可得:BD=√DF2+BF2= (海里), 2 21√5 7√5 ∴渔政船的航行时间为 ÷18= (小时), 2 12 7√5 答:渔政船的航行时间为 小时. 12 3.(2024·江苏连云港·中考真题)图1是古代数学家杨辉在《详解九章算法》中对“邑的计算”的相关研 究.数学兴趣小组也类比进行了如下探究:如图2,正八边形游乐城A A A A A A A A 的边长为 1 2 3 4 5 6 7 8 √2 km,南门O设立在A A 边的正中央,游乐城南侧有一条东西走向的道路BM,A A 在BM上(门宽 2 6 7 6 7 及门与道路间距离忽略不计),东侧有一条南北走向的道路BC,C处有一座雕塑.在A 处测得雕塑在北 1 偏东45°方向上,在A 处测得雕塑在北偏东59°方向上. 2 68关注公众号:陆陆高分冲刺 ~领取:最新版“小中高考-总复习”、最新试卷下载 (1)∠C A A =__________°,∠C A A =__________°; 1 2 2 1 (2)求点A 到道路BC的距离; 1 (3)若该小组成员小李出南门O后沿道路MB向东行走,求她离B处不超过多少千米,才能确保观察雕塑不 会受到游乐城的影响?(结果精确到0.1km,参考数据:√2≈1.41,sin76°≈0.97,tan76°≈4.00, sin59°≈0.86,tan59°≈1.66) 【答案】(1)∠C A A =90°,∠C A A =76° 1 2 2 1 (2)2.0千米 (3)2.4km 【分析】本题考查正多边形的外角,解直角三角形,相似三角形的判定和性质: (1)求出正八边形的一个外角的度数,再根据角的和差关系进行求解即可; √2 (2)过点A 作A D⊥BC,垂足为D,解Rt△C A A ,求出C A =A A ⋅tan76°≈ ×4.00=2√2, 1 1 2 1 1 1 2 2 √2 解Rt△C A D,求出A D=C A ⋅cos45°=2√2× =2.0km,即可; 1 1 1 2 (3)连接C A 并延长交BM于点E,延长A A 交BE于点G,过点A 作A F⊥BC,垂足为F,解 8 1 8 8 8 Rt△A A G,求出A G,证明Rt△C A F∽Rt△CEB,列出比例式进行求解即可. 7 8 8 8 360° 【详解】(1)解:∵正八边形的一个外角的度数为: =45°, 8 ∴∠C A A =45°+45°=90°,∠C A A =180°−45°−59°=76°; 1 2 2 1 故答案为:90,76; (2)过点A 作A D⊥BC,垂足为D. 1 1 √2 在Rt△C A A 中,A A = ,∠C A A =76°, 2 1 2 1 2 2 1 69关注公众号:陆陆高分冲刺 ~领取:最新版“小中高考-总复习”、最新试卷下载 √2 ∴C A =A A ⋅tan76°≈ ×4.00=2√2. 1 1 2 2 在Rt△C A D中,∠C A D=90°−45°=45°, 1 1 √2 ∴A D=C A ⋅cos45°=2√2× =2.0km. 1 1 2 答:点A 到道路BC的距离为2.0千米. 1 (3)连接C A 并延长交BM于点E,延长A A 交BE于点G,过点A 作A F⊥BC,垂足为F. 8 1 8 8 8 ∵正八边形的外角均为45°, 1 ∴在Rt△A A G中,A G= . 7 8 8 2 1 ∴FB=A G= . 8 2 √2 又∵A F=A D=CD=2,DF=A A = , 8 1 1 8 2 5+√2 ∴CB=CD+DF+FB= . 2 ∵∠CF A =∠B,∠FC A =∠BCE, 8 8 ∴Rt△C A F∽Rt△CEB, 8 √2 2+ CF A F 2 2 ∴ = 8 ,即 = , CB EB 5+√2 EB 2 ∵√2≈1.41, ∴EB≈2.4km. 答:小李离点B不超过2.4km,才能确保观察雕塑不会受到游乐城的影响. 70关注公众号:陆陆高分冲刺 ~领取:最新版“小中高考-总复习”、最新试卷下载 重难点三: 运用解直角三角形的知识解决坡角、坡度相关问题 1.(2023·江苏泰州·中考真题)如图,堤坝AB长为10m,坡度i为1:0.75,底端A在地面上,堤坝与对 面的山之间有一深沟,山顶D处立有高20m的铁塔CD.小明欲测量山高DE,他在A处看到铁塔顶端C刚 好在视线AB上,又在坝顶B处测得塔底D的仰角α为26°35'.求堤坝高及山高DE.(sin26°35'≈0.45, cos26°35'≈0.89,tan26°35'≈0.50,小明身高忽略不计,结果精确到1m) 【答案】堤坝高为8米,山高DE为20米. 【分析】过B作BH⊥AE于H,设BH=4x,AH=3x,根据勾股定理得到AB=√AH2+BH2=5x=10, 求得AH=6,BH=8,过B作BF⊥CE于F,则EF=BH=8,BF=EH,设DF=a,解直角三角形即 可得到结论. 【详解】解:过B作BH⊥AE于H, ∵坡度i为1:0.75, ∴设BH=4x,AH=3x, ∴AB=√AH2+BH2=5x=10, ∴x=2, ∴AH=6,BH=8, 过B作BF⊥CE于F, 71关注公众号:陆陆高分冲刺 ~领取:最新版“小中高考-总复习”、最新试卷下载 则EF=BH=8,BF=EH, 设DF=a, ∵α=26°35'. DF a ∴BF= = =2a, tan26°35' 0.5 ∴AE=6+2a, ∵坡度i为1:0.75, ∴CE:AE=(20+a+8):(6+2a)=1:0.75, ∴a=12, ∴DF=12(米), ∴DE=DF+EF=12+8=20(米), 答:堤坝高为8米,山高DE为20米. 【点睛】本题考查了解直角三角形的应用-俯角仰角,解直角三角形的应用-坡角坡度,正确地作出辅助线 是解题的关键. 2.(2023·湖北·中考真题)为了防洪需要,某地决定新建一座拦水坝,如图,拦水坝的横断面为梯形 ABCD,斜面坡度i=3:4是指坡面的铅直高度AF与水平宽度BF的比.已知斜坡CD长度为20米, ∠C=18°,求斜坡AB的长.(结果精确到米)(参考数据: sin18°≈0.31,cos18°≈0.95,tan18°≈0.32) 【答案】斜坡AB的长约为10米 【分析】过点D作DE⊥BC于点E,在Rt△DEC中,利用正弦函数求得DE=6.2,在Rt△ABF中,利用 勾股定理即可求解. 【详解】解:过点D作DE⊥BC于点E,则四边形ADEF是矩形, 在Rt△DEC中,CD=20,∠C=18°, DE=CD⋅sin∠C=20×sin18°≈20×0.31=6.2. 72关注公众号:陆陆高分冲刺 ~领取:最新版“小中高考-总复习”、最新试卷下载 ∴AF=DE=6.2. AF 3 ∵ = , BF 4 5 5 ∴在Rt△ABF中,AB=√AF2+BF2= AF= ×6.2≈10(米). 3 3 答:斜坡AB的长约为10米. 【点睛】此题考查的是解直角三角形的应用-坡度坡角问题,掌握坡度坡角的概念、熟记锐角三角函数的定 义是解题的关键. 3.(2023·四川内江·中考真题)某中学依山而建,校门A处有一坡角α=30°的斜坡AB,长度为30米, 在坡顶B处测得教学楼CF的楼顶C的仰角∠CBF=45°,离B点4米远的E处有一个花台,在E处测得C 的仰角∠CEF=60°,CF的延长线交水平线AM于点D,求DC的长(结果保留根号). 【答案】DC的长为(21+2√3)米 【分析】作BN⊥AM于点N,首先根据坡度求出BN,并通过矩形的判定确定出DF=BN,然后通过解 三角形求出CF,即可相加得出结论. 【详解】解:如图所示,作BN⊥AM于点N,则由题意,四边形BNDF为矩形, 73关注公众号:陆陆高分冲刺 ~领取:最新版“小中高考-总复习”、最新试卷下载 BN ∵在Rt△ABN中,sin∠BAN= ,∠BAN=α=30°,AB=30, AB 1 ∴BN=AB·sin30°=30× =15, 2 ∵四边形BNDF为矩形, ∴DF=BN=15, 由题意,∠CBF=45°,∠CEF=60°,∠CFB=90°,BE=4, ∴△CBF为等腰直角三角形,BF=CF, 设BF=CF=x,则EF=BF−BE=x−4, CF 在Rt△CEF中,tan∠CEF= , EF x x ∴tan60°= ,即:√3= , x−4 x−4 解得:x=6+2√3,经检验,x=6+2√3是上述方程的解,且符合题意, ∴BF=CF=6+2√3, ∴DC=CF+DF=6+2√3+15=21+2√3, ∴DC的长为(21+2√3)米. 【点睛】本题考查解直角三角形的应用,准确构造出直角三角形并求解是解题关键. 重难点四: 12345模型 1.(2021·北京丰台·一模)如图所示的网格是正方形网格,则∠BAC+∠CDE= (点A,B,C, D,E是网格线交点). 【答案】45° 【分析】连接AD,计算证明△ADC是等腰直角三角形,证明∠BAC+ CDE= ACD,即可求解. 【详解】连接AD,如图: ∠ ∠ 74关注公众号:陆陆高分冲刺 ~领取:最新版“小中高考-总复习”、最新试卷下载 ∵AD2=12+32=10,CD2=12+32=10,AC2=22+42=20, 10+10=20即AD2+CD2=AC2, ADC是等腰直角三角形,且∠ADC=90°, ∴△ACD=45°, ∴∠BAC= ACF,∠CDE= DCF, ∵∠BAC+∠CDE= ACF +∠DCF= ACD=45°, ∴故∠答案为∠:45°.∠ ∠ ∠ 【点睛】本题考查了勾股定理的逆定理,勾股定理,等腰直角三角形的判定和性质,正确作出辅助线是解 题的关键. 2.(2023·山东滨州·模拟预测)如图,在矩形ABCD中,AB=2,BC=4,点E、F分别在BC、CD上,若 AE=√5,∠EAF=45°,则AF的长为 . 4√10 【答案】 3 【分析】取AB的中点M,连接ME,在AD上截取ND=DF,设DF=DN=x,则NF=√2x,再利用矩形的性 质和已知条件证明△AME FNA,利用相似三角形的性质:对应边的比值相等可求出x的值,在直角三角 形ADF中利用勾股定理即∽可△求出AF的长. 【详解】解:取AB的中点M,连接ME,在AD上截取ND=DF,设DF=DN=x, ∵四边形ABCD是矩形, 75关注公众号:陆陆高分冲刺 ~领取:最新版“小中高考-总复习”、最新试卷下载 D= BAD= B=90°,AD=BC=4, ∴∠NF=√∠2x,A∠N=4﹣x, ∴AB=2, ∵AM=BM=1, ∴AE=√5,AB=2, ∵BE=1, ∴ ME=√BM2+BE2=√2, ∴ EAF=45°, ∵∠MAE+ NAF=45°, ∴∠MAE+∠AEM=45°, ∵∠MEA=∠NAF, ∴∠AME ∠ FNA, ∴△AM ∽M△E ∴ = , FN AN 1 √2 ∴ = , √2x 4−x 4 解得:x= 3 4√10 AF=√AD2+DF2= 3 ∴ 4√10 故答案为 . 3 【点睛】本题考查了矩形的性质、相似三角形的判断和性质以及勾股定理的运用,正确添加辅助线构造相 似三角形是解题的关键. 3.(2022·四川乐山·中考真题)如图,在Rt△ABC中,∠C=90°,BC=√5,点D是AC上一点,连接 1 1 BD.若tan∠A= ,tan∠ABD= ,则CD的长为( ) 2 3 A.2√5 B.3 C.√5 D.2 76关注公众号:陆陆高分冲刺 ~领取:最新版“小中高考-总复习”、最新试卷下载 【答案】C 【分析】先根据锐角三角函数值求出AC=2√5,再由勾股定理求出AB=5,过点D作DE⊥AB于点E,依 1 1 3 据三角函数值可得DE= AE,DE= BE,从而得BE= AE,再由AE+BE=5得AE=2,DE=1,由勾股 2 3 2 定理得AD=√5,从而可求出CD. 【详解】解:在Rt△ABC中,∠C=90°,BC=√5, BC 1 ∴tan∠A= = AC 2 ∴AC=2BC=2√5, 由勾股定理得,AB=√AC2+BC2=√ (2√5) 2+(√5) 2=5 过点D作DE⊥AB于点E,如图, 1 1 ∵tan∠A= ,tan∠ABD= , 2 3 DE 1 DE 1 ∴ = , = , AE 2 BE 3 1 1 ∴DE= AE,DE= BE, 2 3 1 1 ∴ AE= BE 2 3 3 ∴BE= AE 2 ∵AE+BE=5, 3 ∴AE+ AE=5 2 ∴AE=2, DE=1, ∴在Rt ΔADE中,AD2=AE2+DE2 ∴AD=√AE2+DE2=√22+12=√5 77关注公众号:陆陆高分冲刺 ~领取:最新版“小中高考-总复习”、最新试卷下载 ∵AD+CD=AC=2√5, ∴CD=AC−AD=2√5−√5=√5, 故选:C 【点睛】本题主要考查了勾股定理,由锐角正切值求边长,正确作辅助线求出DE的长是解答本题的关键. 4.(2020·吉林长春·二模)如图,正方形ABCD中,AB=8,G是BC的中点.将△ABG沿AG对折至 △AFG,延长GF交DC于点E,则DE的长是( ) 4 8 A. B.2 C. D.3 3 3 【答案】C 【分析】连接AE,由折叠的性质可得AF=AB=AD,BG=GF,易证Rt ADE Rt AFE,得到DE=EF,设 DE=x,在Rt CEG中利用勾股定理建立方程求解. △ ≌ △ 【详解】解:△如图所示,连接AE, ∵四边形ABCD为正方形, AB=BC=CD=AD=8,∠B= C= D=90° ∴G为BC的中点 ∠ ∠ ∵BG=GC=4 ∴由折叠的性质可得AF=AB=8,BG=GF=4, 在Rt ADE和Rt AFE中, △ △ 78关注公众号:陆陆高分冲刺 ~领取:最新版“小中高考-总复习”、最新试卷下载 AE=AE,AF=AD=8 ∵Rt ADE Rt AFE(HL) ∴DE△=EF ≌ △ ∴设DE=EF=x,则EC=8-x 在Rt CEG中, △ GC2+EC2=GE2,即42+(8−x) 2=(4+x) 2 8 解得x= 3 故选:C. 【点睛】本题考查正方形中的折叠问题,利用正方形的性质证明DE=EF,然后利用勾股定理建立方程是解 题的关键. 易错点1: 未在直角三角形中求锐角三角函数的值 1. 在等腰三角形ABC中,AB=AC=5,BC=6,求sinB,cosB,tanB. 4 3 4 【答案】sinB= ,cosB= ,tanB= 5 5 3 【分析】过A作AD BC于D,根据等腰三角形的性质求出BD,解直角三角形求出即可. 【详解】解:过A作⊥AD BC于D, ⊥ 则∠ADB=90°, AB=AC,BC=6,AD BC, ∵BD=DC=3, ⊥ ∴ BD 3 cosB= = , AB 5 79关注公众号:陆陆高分冲刺 ~领取:最新版“小中高考-总复习”、最新试卷下载 在直角三角形ABD中,AD=√AB2−BD2=√52−32=4 , AD 4 AD 4 ∴sinB= = ,tanB= = . AB 5 BD 3 【点睛】本题考查了解直角三角形,等腰三角形的性质的应用,能构造直角三角形是解此题的关键. 易错点2: 误认为三角函数值与三角形各边的长短有关 1.(2021·广西钦州·一模)在Rt ABC中,锐角A的对边和斜边同时扩大100倍,sinA的值( ) A.扩大100倍 B.缩小 △ C.不变 D.不能确定 【答案】C 【分析】分别求出扩大前后sinA的值,由此即可得到答案. 【详解】解:设Rt ABC中,锐角A的对边和斜边的长分别为a、c,则扩大100倍后的对边和斜边的长分 别为100a,100c,△ a 100a a ∵扩大前sinA= ,扩大后sinA= = , c 100c c sinA的值不变, ∴故选C. 【点睛】本题主要考查了求正弦值和分式的性质,熟练掌握直角三角形正弦值=对边÷斜边是解题的关键. 2.在Rt△ABC中,∠C=90°,若△ABC的三边都放大2倍,则cosA的值( ) A.缩小2倍 B.放大2倍 C.不变 D.无法确定 【答案】C ∠A的对边 【分析】本题考查了锐角三角函数,在直角三角形中cos∠A= ,因为三角形三边都放大2倍, 斜边 所以∠A的对边与斜边同时放大2倍,它们的比值仍然不变. 【详解】解:∵三角形三边都放大2倍, ∴∠A的对边与斜边同时放大2倍, 2×∠A的对边 ∠A的对边 ∴cos∠A= = , 2×斜边 斜边 ∴cos∠A的值不变. 故选:C. 80关注公众号:陆陆高分冲刺 ~领取:最新版“小中高考-总复习”、最新试卷下载 81