当前位置:首页>文档>专项精练第07课幂函数与二次函数-2024年新高考数学一轮复习分层精练(新高考专用)(解析版)_2.2025数学总复习_2024年新高考资料_3.2024专项复习

专项精练第07课幂函数与二次函数-2024年新高考数学一轮复习分层精练(新高考专用)(解析版)_2.2025数学总复习_2024年新高考资料_3.2024专项复习

  • 2026-04-11 12:40:47 2026-03-10 18:14:09

文档预览

专项精练第07课幂函数与二次函数-2024年新高考数学一轮复习分层精练(新高考专用)(解析版)_2.2025数学总复习_2024年新高考资料_3.2024专项复习
专项精练第07课幂函数与二次函数-2024年新高考数学一轮复习分层精练(新高考专用)(解析版)_2.2025数学总复习_2024年新高考资料_3.2024专项复习
专项精练第07课幂函数与二次函数-2024年新高考数学一轮复习分层精练(新高考专用)(解析版)_2.2025数学总复习_2024年新高考资料_3.2024专项复习
专项精练第07课幂函数与二次函数-2024年新高考数学一轮复习分层精练(新高考专用)(解析版)_2.2025数学总复习_2024年新高考资料_3.2024专项复习
专项精练第07课幂函数与二次函数-2024年新高考数学一轮复习分层精练(新高考专用)(解析版)_2.2025数学总复习_2024年新高考资料_3.2024专项复习
专项精练第07课幂函数与二次函数-2024年新高考数学一轮复习分层精练(新高考专用)(解析版)_2.2025数学总复习_2024年新高考资料_3.2024专项复习
专项精练第07课幂函数与二次函数-2024年新高考数学一轮复习分层精练(新高考专用)(解析版)_2.2025数学总复习_2024年新高考资料_3.2024专项复习
专项精练第07课幂函数与二次函数-2024年新高考数学一轮复习分层精练(新高考专用)(解析版)_2.2025数学总复习_2024年新高考资料_3.2024专项复习
专项精练第07课幂函数与二次函数-2024年新高考数学一轮复习分层精练(新高考专用)(解析版)_2.2025数学总复习_2024年新高考资料_3.2024专项复习
专项精练第07课幂函数与二次函数-2024年新高考数学一轮复习分层精练(新高考专用)(解析版)_2.2025数学总复习_2024年新高考资料_3.2024专项复习
专项精练第07课幂函数与二次函数-2024年新高考数学一轮复习分层精练(新高考专用)(解析版)_2.2025数学总复习_2024年新高考资料_3.2024专项复习
专项精练第07课幂函数与二次函数-2024年新高考数学一轮复习分层精练(新高考专用)(解析版)_2.2025数学总复习_2024年新高考资料_3.2024专项复习
专项精练第07课幂函数与二次函数-2024年新高考数学一轮复习分层精练(新高考专用)(解析版)_2.2025数学总复习_2024年新高考资料_3.2024专项复习
专项精练第07课幂函数与二次函数-2024年新高考数学一轮复习分层精练(新高考专用)(解析版)_2.2025数学总复习_2024年新高考资料_3.2024专项复习
专项精练第07课幂函数与二次函数-2024年新高考数学一轮复习分层精练(新高考专用)(解析版)_2.2025数学总复习_2024年新高考资料_3.2024专项复习
专项精练第07课幂函数与二次函数-2024年新高考数学一轮复习分层精练(新高考专用)(解析版)_2.2025数学总复习_2024年新高考资料_3.2024专项复习
专项精练第07课幂函数与二次函数-2024年新高考数学一轮复习分层精练(新高考专用)(解析版)_2.2025数学总复习_2024年新高考资料_3.2024专项复习
专项精练第07课幂函数与二次函数-2024年新高考数学一轮复习分层精练(新高考专用)(解析版)_2.2025数学总复习_2024年新高考资料_3.2024专项复习
专项精练第07课幂函数与二次函数-2024年新高考数学一轮复习分层精练(新高考专用)(解析版)_2.2025数学总复习_2024年新高考资料_3.2024专项复习
专项精练第07课幂函数与二次函数-2024年新高考数学一轮复习分层精练(新高考专用)(解析版)_2.2025数学总复习_2024年新高考资料_3.2024专项复习
专项精练第07课幂函数与二次函数-2024年新高考数学一轮复习分层精练(新高考专用)(解析版)_2.2025数学总复习_2024年新高考资料_3.2024专项复习
专项精练第07课幂函数与二次函数-2024年新高考数学一轮复习分层精练(新高考专用)(解析版)_2.2025数学总复习_2024年新高考资料_3.2024专项复习
专项精练第07课幂函数与二次函数-2024年新高考数学一轮复习分层精练(新高考专用)(解析版)_2.2025数学总复习_2024年新高考资料_3.2024专项复习
专项精练第07课幂函数与二次函数-2024年新高考数学一轮复习分层精练(新高考专用)(解析版)_2.2025数学总复习_2024年新高考资料_3.2024专项复习
专项精练第07课幂函数与二次函数-2024年新高考数学一轮复习分层精练(新高考专用)(解析版)_2.2025数学总复习_2024年新高考资料_3.2024专项复习
专项精练第07课幂函数与二次函数-2024年新高考数学一轮复习分层精练(新高考专用)(解析版)_2.2025数学总复习_2024年新高考资料_3.2024专项复习
专项精练第07课幂函数与二次函数-2024年新高考数学一轮复习分层精练(新高考专用)(解析版)_2.2025数学总复习_2024年新高考资料_3.2024专项复习
专项精练第07课幂函数与二次函数-2024年新高考数学一轮复习分层精练(新高考专用)(解析版)_2.2025数学总复习_2024年新高考资料_3.2024专项复习
专项精练第07课幂函数与二次函数-2024年新高考数学一轮复习分层精练(新高考专用)(解析版)_2.2025数学总复习_2024年新高考资料_3.2024专项复习
专项精练第07课幂函数与二次函数-2024年新高考数学一轮复习分层精练(新高考专用)(解析版)_2.2025数学总复习_2024年新高考资料_3.2024专项复习
专项精练第07课幂函数与二次函数-2024年新高考数学一轮复习分层精练(新高考专用)(解析版)_2.2025数学总复习_2024年新高考资料_3.2024专项复习
专项精练第07课幂函数与二次函数-2024年新高考数学一轮复习分层精练(新高考专用)(解析版)_2.2025数学总复习_2024年新高考资料_3.2024专项复习
专项精练第07课幂函数与二次函数-2024年新高考数学一轮复习分层精练(新高考专用)(解析版)_2.2025数学总复习_2024年新高考资料_3.2024专项复习
专项精练第07课幂函数与二次函数-2024年新高考数学一轮复习分层精练(新高考专用)(解析版)_2.2025数学总复习_2024年新高考资料_3.2024专项复习
专项精练第07课幂函数与二次函数-2024年新高考数学一轮复习分层精练(新高考专用)(解析版)_2.2025数学总复习_2024年新高考资料_3.2024专项复习

文档信息

文档格式
docx
文档大小
1.686 MB
文档页数
35 页
上传时间
2026-03-10 18:14:09

文档内容

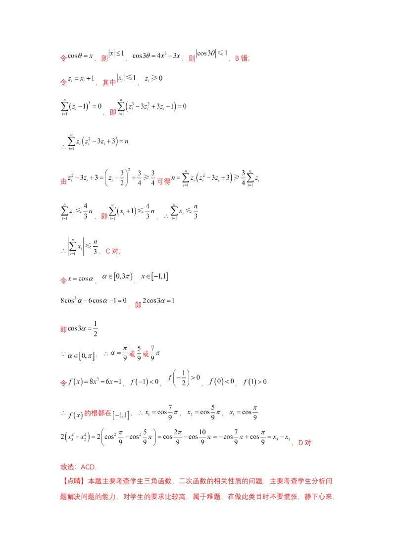
第07课 幂函数与二次函数(分层精练) 【一层练基础】 一、单选题 1.(2022·全国·高一专题练习)若函数 ,则函数 的最小值为( ) A. B. C. D. 2.(2022春·河南新乡·高二校考阶段练习)下列函数中,在 上单调递减的是 ( ) A. B. C. D. 3.(2022春·陕西宝鸡·高一宝鸡市渭滨中学校考阶段练习)已知函数 , ,则( ) A.最大值为2,最小值为1 B.最大值为 ,最小值为1 C.最大值为 ,最小值为1 D.最大值为 ,最小值为 4.(2023·重庆酉阳·重庆市酉阳第一中学校校考一模)若函数 在 上是单调减函数,则 的取值范围是( ) A. B. C. D. 5.(2023·江苏镇江·扬中市第二高级中学校考模拟预测)已知幂函数 在 上是减函数,则 的值为( )A.3 B. C.1 D. 6.(2023·全国·高三专题练习)已知幂函数 的图象经过点 与点 , , , ,则( ) A. B. C. D. 7.(2023·河南信阳·信阳高中校考模拟预测)已知幂函数 的图象过点 .设 , , ,则 , , 的大小关系是 ( ) A. B. C. D. 8.(2021·河北衡水·河北衡水中学校考三模)已知 , , ,则实 数 的取值范围为( ) A. B. C. D. 9.(2022秋·江苏连云港·高一期末)已知幂函数 的图象过函数 的图象所经过的定点,则 的值等于( ) A. B. C.2 D. 10.(2023·全国·高三专题练习)若幂函数 满足 , 则下列关于函数 的判断正确的是( ) A. 是周期函数 B. 是单调函数 C. 关于点 对称 D. 关于原点对称 11.(2023·四川南充·阆中中学校考二模)下列函数中,在 上是增函数的是( ) A. B. C. D. 12.(2021春·陕西延安·高二子长市中学校考期末)幂函数 在 为增函数,则 的值是( ) A. B. C. 或 D. 或 13.(2022·全国·高三专题练习)若 则满足 的x的取 值范围是( ) A. B. C. D. 14.(2023·广西·统考模拟预测)已知函数 ,则 ( ) A. B. C.8 D.9 二、多选题 15.(2022秋·高一单元测试)在下列四个图形中,二次函数 与指数函数 的图象可能是( ) A. B.C. D. 16.(2023·全国·高三专题练习)函数 的大致图象可能是( ) A. B. C. D. 三、填空题 17.(2012·江苏·高考真题)已知函数 的值域为 , 若关于x的不等式 的解集为 ,则实数c的值为 . 18.(2020秋·广东阳江·高一阳江市第一中学校考阶段练习)如果二次函数 在区间 上是减函数,那么 的取值范围是 . 19.(2022秋·河南信阳·高一统考期中)函数 是幂函数,且在上是减函数,则实数 . 20.(2020秋·全国·高一专题练习)已知幂函数 的图象关于 轴 对称,且在区间 上为减函数,则 的值为 . 【二层练综合】 一、单选题 1.(2023·全国·高三专题练习)已知函数 的值域为 , 则实数 的取值范围是( ) A. B. C. D. 2.(2019·全国·高三专题练习)定义域为 的函数 满足 ,且当 时, ,则当 时, 的最小值为( ) A. B. C. D. 3.(2023·全国·高一专题练习)函数 ,且 与函数 在同一坐标系内的图象不可能的是( ) A. B. C. D.4.(2023·全国·高三专题练习)已知函数 满足对任意 的实数 ,且 ,都有 成立,则实数 的取值范围为( ) A. B. C. D. 5.(2023·全国·高三专题练习)已知二次函数 的值域为 ,则 的最小值为( ) A. B. C. D. 6.(2022秋·宁夏中卫·高三中宁一中校考阶段练习)“幂函数 在 上为增函数”是“函数 为奇函数”的( )条件 A.充分不必要 B.必要不充分 C.充分必要 D.既不充分也不必要 7.(2023·广东东莞·校考模拟预测)已知函数 ( 且 )的图 象恒过定点 ,点 在幂函数 的图象上,则 ( ) A. B. C. D. 8.(2022·全国·高三专题练习)已知定义在 上的幂函数 ( 为实数)过点 ,记 , , ,则 的大小关系为( ) A. B. C. D. 9.(2010·上海徐汇·统考高考模拟)下列函数中,与幂函数 有相同定义域的是 ( )A. ; B. ; C. ; D. . 10.(2022秋·山西晋城·高三晋城市第一中学校校考阶段练习)若集合 , ,则 ( ) A. B. C. D. 11.(2023·四川·校联考模拟预测)已知 与 都是定义在 上的函数, 是奇函数, 是偶函数,且 , 都不是常数函数,现有下列三 个结论:① ;② 的图象关于直线 对称;③ 与 在 上 的单调性可能相同 其中正确结论的个数为( ) A. B. C. D. 12.(2023春·四川成都·高一校联考期末)幂函数 在区间 上单调递减,则下列说法正确的是( ) A. B. 是减函数 C. 是奇函数 D. 是偶函数 二、多选题 13.(2020秋·安徽安庆·高一桐城市第八中学校考阶段练习)关于 的方程 ,下列命题正确的有( ) A.存在实数 ,使得方程无实根 B.存在实数 ,使得方程恰有2个不同的实根 C.存在实数 ,使得方程恰有3个不同的实根 D.存在实数 ,使得方程恰有4个不同的实根 14.(2023·全国·高三专题练习)已知 ,则函数 的图象可能是( ) A. B. C. D. 15.(2023·江苏镇江·扬中市第二高级中学校考模拟预测)下列说法正确的是( ) A.函数 的单调增区间为 B.函数 为奇函数 C.幂函数 是减函数 D. 图像关于点 成中心对称 16.(2023·全国·高三专题练习)若a>b>0>c,则( ) A. B. C. D. 三、填空题 17.(2023·辽宁葫芦岛·统考二模)已知函数 ,则关于x的不等式 的解集为 . 18.(2022秋·湖南郴州·高一安仁县第一中学校考阶段练习)若幂函数 在 上为增函数则 . 19.(2022·河南·校联考模拟预测)已知 , ,若对 ,, ,则实数 的取值范围是 . 20.(2023·陕西榆林·校考模拟预测)直线 : 与 , 轴的交点分别是 , , 与函数 , 的图像的交点分别为 , ,若 , 是线段 的三等分点,则 的值为 . 21.(2017·四川绵阳·统考一模) 是定义在 上的偶函数,且 时, ,若对任意的 ,不等式 恒成立,则实数 的取值范围是 . 22.(2022·高一课时练习)已知 .若函数 在 上递减且为偶函数,则 . 【三层练能力】 一、单选题 1.(2015·陕西·高考真题)对二次函数 ( 为非零整数),四位同 学分别给出下列结论,其中有且仅有一个结 论是错误的,则错误的结论是 A. 是 的零点 B.1是 的极值点 C.3是 的极值 D.点 在曲线 上 2.(2022·全国·高三专题练习)已知幂函数 在 上单调递 增,函数 时,总存在 使得 ,则 的取值 范围是( ) A. B. C. D. 二、多选题 3.(2022秋·重庆·高三校联考阶段练习)在三角函数部分,我们研究过二倍角公式,实际上类似的还有三倍角公式,则下列说法中正确的有( ) A. B.存在 时,使得 C.给定正整数 ,若 , ,且 ,则 D.设方程 的三个实数根为 , , ,并且 ,则 三、填空题 4.(2023·四川成都·校考一模)已知函数 ,若存在 ,使得 ,则 的取值范围是 . 5.(2023·全国·高三专题练习)关于x的不等式 ,解集为【一层练基础】参考答案 1.D 【分析】先利用配凑法求出 的解析式,则可求出 的解析式,从而可求出函数的最 小值 【详解】因为 , 所以 . 从而 , 当 时, 取得最小值,且最小值为 . 故选:D 2.D 【分析】根据函数单调性的性质可判断每个选项中函数在 的单调性. 【详解】对于A,当 时, 单调递增,故A错误; 对于B, ,故 在 和 上单调递增,故 B错误; 对于C, 在 上单调递增,故C错误; 对于D, 在 上单调递减,故D正确 故选:D. 【点睛】本题主要考查对函数单调性的判断,根据基本初等函数的复合函数单调性进行判 断即可,属于基础题. 3.B 【分析】利用 化简f(x)解析式,根据二次函数的性质即可求f(x)最值.【详解】 , 时,sinx∈[ ,1], ∴当sinx= 时,f(x)最大值为 ;当sinx=1时,f(x)最小值为1. 故选:B. 4.A 【分析】由求导公式和法则求出 ,由导数与函数单调性的关系,列出不等式进行分离 常数,再构造函数后,利用整体思想和二次函数的性质求出函数的最值,可得a的取值范 围. 【详解】由题意得, , 因为 在[1,+∞)上是单调减函数, 所以 ≤0在[1,+∞)上恒成立, 当 ≤0时,则 在[1,+∞)上恒成立, 即a ,设g(x) , 因为x [1,+∞),所以 (0,1], ∈ ∈ 当 时,g(x)取到最大值是: , 所以a , 所以数a的取值范围是(﹣∞, ] 故选:A 【点睛】关键点点睛:根据求导公式和法则,导数与函数单调性的关系,将问题转化为恒 成立问题,利用分离常数法,求函数值域,属于中档题. 5.C【分析】先根据 是幂函数,由 求得 ,再根据函 数在 上是减函数,确定 的值求解. 【详解】由函数 为幂函数知, ,解得 或 . ∵ 在 上是减函数,而当 时, ,在 是增函数,不符合 题意, 当 时, ,符合题意, ∴ , , ∴ . 故选:C. 6.B 【分析】设幂函数 ,依次将点 ,点 坐标代入,可得 ,结合指数函数和对数 函数性质即可得到答案. 【详解】设幂函数 ,因为点 在 的图象上, 所以 , ,即 , 又点 在 的图象上,所以 ,则 , 所以 , , , 所以 , 故选:B 7.D 【分析】根据幂函数的定义求出函数 解析式,再利用幂函数的单调性比较大小而得解. 【详解】因幂函数 的图象过点 ,则 ,且 ,于是得 , ,函数 ,函数 是R上的增函数, 而 ,则有 , 所以 . 故选:D 8.A 【分析】根据指对幂不等式,结合指对幂函数的性质分别求参数a的范围,再取交集即可. 【详解】由 ,得 或 , 由 ,得 , 由 ,得 , ∴当 , , 同时成立时,取交集得 , 故选:A. 9.B 【分析】先根据幂函数定义得 ,再确定 的图像所经过的定点为 ,代入 解得 的值. 【详解】由于 为幂函数,则 ,解得: ,则 ; 函数 ,当 时, , 故 的图像所经过的定点为 , 所以 ,即 ,解得: , 故选:B. 10.C【分析】由题意得 ,利用导数求出方程的根,进而可求出结果. 【详解】由题意得 ,即 ,故 , 令 ,则 ,当 时, ,则 单调递减;当 时, ,则 单调递增;所以 ,因此方程 有唯一解,解为 ,因此 ,所以不是周期函数,不是 单调函数,关于点 对称, 故选:C. 11.C 【解析】对AB:直接判断其单调性; 对C:把 化为 ,判断其单调性; 对D:利用 判断 的单调性. 【详解】本题考查函数的单调性. A项中,函数 在 上单调递减,故A错误; B项中,二次函数 的图像开口向下,对称轴方程为 ,故该函数在 上单调递增,在 上单调递减,故B错误; C项中,函数 ,在 和 上分别单调递增,故C正确; D项中,函数 在 上单调递减,故D错误. 故选:C 【点睛】方法点睛:四个选项互不相关的选择题,需要对各个选项一一验证. 12.B 【分析】由幂函数解析式的形式可构造方程求得 或 ,分别验证两种情况下在 上的单调性即可得到结果. 【详解】 为幂函数, ,解得: 或 ; 当 时, ,则 在 上为减函数,不合题意; 当 时, ,则 在 上为增函数,符合题意; 综上所述: . 故选:B. 13.B 【分析】按 或0, , 和 四种情况,分别化简解出不等式,可得x的 取值范围. 【详解】①当 或0时, 成立; ②当 时, ,可有 ,解得 ; ③当 且 时, 若 ,则 ,解得 若 ,则 ,解得 所以 则原不等式的解为 , 故选:B 14.C 【分析】利用诱导公式化简函数的表达式,利用三角函数和特殊幂函数的奇偶性进行分析, 可得到 ,进而计算得到答案. 【详解】由 ,有 ,可得 .故选:C 15.ABD 【分析】根据 的关系与各图形一个个检验即可判断. 【详解】当 时,A正确;当 时,B正确; 当 时,D正确;当 时,无此选项. 故选:ABD. 16.ABD 【分析】先根据当 时, , 时, ,排除C,再举出适当的 的值,分别得到ABD三个图象. 【详解】由题意知 ,则 ,当 时, , , , 当 时, , , , 所以 的大致图象不可能为C, 而当 为其他值时,A,B,D均有可能出现, 不妨设 ,定义域为 ,此时A选项符合要求; 当 时,定义域为 ,且 , 故函数 为奇函数,所以B选项符合要求, 当 时,定义域为 ,且 , 故函数 为偶函数,所以D选项符合要求. 故选:ABD 17.9. 【详解】∵f(x)=x2+ax+b的值域为[0,+∞),∴Δ=0, ∴b- =0,∴f(x)=x2+ax+ a2= 2.又∵f(x)<c的解集为(m,m+6), ∴m,m+6是方程x2+ax+ -c=0的两根.由一元二次方程根与系数的关系得 解得c=9. 18. 【详解】 在区间 上是减函数,则 ,所以 . 19.2 【分析】根据函数为幂函数求参数m,讨论所求得的m判断函数是否在 上是减 函数,即可确定m值. 【详解】由题设, ,即 ,解得 或 , 当 时, ,此时函数在 上递增,不合题意; 当 时, ,此时函数在 上递减,符合题设. 综上, . 故答案为:2 20.2 【分析】由幂指数为偶数且小于可得. 【详解】 为偶数,且小于0,即 ,解得 ,验证得 . 【点睛】幂函数 中,当 为奇数时,函数为奇函数,当 为偶数时,函数为偶函 数;当 时,在第一象限内函数为增函数,当 时,在第一象限内函数为减函数.【二层练综合】参考答案 1.D 【分析】求出函数 在 时值的集合, 函数 在 时值的集合, 再由已知并借助集合包含关系即可作答. 【详解】当 时, 在 上单调递增, , , 则 在 上值的集合是 , 当 时, , , 当 时, ,当 时, ,即 在 上单调递减,在 上单调递增, , ,则 在 上值的集合为 , 因函数 的值域为 ,于是得 ,则 , 解得 , 所以实数 的取值范围是 . 故选:D 2.A 【分析】求出函数 在 上的解析式,利用二次函数的基本性质可求得函数 在 上的最小值. 【详解】当 时, , 由题意可得 ,所以,当 时, . 故选:A. 3.D 【分析】利用对数函数及二次函数的性质逐项分析即得. 【详解】对于A,由对数函数图象可知 ,又函数 ,对称轴为 <1, 对应方程的两个根为0, ,由图知 ,从而 ,选项A可能; 对于B,由对数函数图象可知 ,又函数 ,对称轴为 <1,对应方程 的两个根为0, ,由图知 ,从而 ,选项B可能; 对于C,由对数函数图象可知 ,又函数 ,对称轴为 >1,对应方 程的两个根为0, ,由图知 ,从而 ,选项B可能; 对于D,由对数函数图象可知 ,又函数 ,对称轴为 <1,对应 方程的两个根为0, ,由图知 ,从而 ,选项D不可能. 故选:D. 4.D 【分析】根据题意,令 , ,进而将问题转化为函数 在 上 单调递增,且函数 为减函数,进而得 ,再解不等式组即可得答案. 【详解】解:因为对任意的实数 ,且 ,都有 成立, 所以,对任意的实数 ,且 , ,即函数 是 上的减函数. 因为 , 令 , ,要使 在 上单调递减, 所以, 在 上单调递增. 另一方面,函数 为减函数, 所以, ,解得 , 所以实数a的取值范围是 . 故选:D. 5.B 【分析】由二次函数的值域可得出 ,可得出 ,则有 ,利用 基本不等式可求得结果. 【详解】若 ,则函数 的值域为 ,不合乎题意, 因为二次函数 的值域为 ,则 , 且 ,所以, ,可得 ,则 ,所以, ,当且仅当 时,等号成立, 因此, 的最小值为 . 故选:B. 6.A 【分析】要使函数 是幂函数,且在 上为增函数,求出 , 可得函数 为奇函数,即充分性成立;函数 为奇函数,求出 , 故必要性不成立,可得答案. 【详解】要使函数 是幂函数,且在 上为增函数, 则 ,解得: ,当 时, , , 则 ,所以函数 为奇函数,即充分性成立; “函数 为奇函数”, 则 ,即 , 解得: ,故必要性不成立, 故选:A. 7.B 【分析】令对数的真数等于0,求得x、y的值,可得图象经过的定点坐标.再根据在幂函 数y=f(x)的图象上,求出函数f(x)的解析式,从而求出 的值. 【详解】∵已知a>0且a≠1,对于函数 ,令x﹣1=1,求得x=2,y , 可得它的图象恒过定点P(2,4), ∵点P在幂函数y=f(x)=xn 的图象上,∴2n ,∴n ,∴f(x)则f(2) ,故 故选B. 【点睛】本题主要考查对数函数的图象经过定点问题,求函数值,属于基础题. 8.A 【分析】首先求出 ,得到函数的单调性,再利用对数函数的图象性质得到 ,即得解. 【详解】由题得 . 函数 是 上的增函数. 因为 , , 所以 , 所以 , 所以 . 故选:A 【点睛】方法点睛:比较对数式的大小,一般先利用对数函数的图象和性质比较每个式子 和零的大小分成正负两个集合,再利用对数函数的图象和性质比较同类数的大小. 9.A 【分析】由题知幂函数 ,定义域为 ,再依次讨论各选项即可得答案. 【详解】解:幂函数 ,定义域为 , 对于A选项, 定义域为 ,故正确; 对于B选项, 定义域为 ,故错误; 对于C选项, 定义域为 ,故错误;对于D选项, 定义域为 ,故错误; 故选:A 10.A 【分析】先解出集合A、B,再求 . 【详解】因为 , ,所以 . 故选:A. 11.D 【分析】根据奇函数的性质及赋值法得到 ,从而判断①正确;根据偶函数的 性质得到 ,从而判断②正确;取 ,判断 两者的单调性,从而判断③正确. 【详解】对于①:由 是奇函数,即 ,取 得 , 则 ,正确; 对于②:由 是偶函数,得 ,则 的图象关于直线 对称, 正确; 对于③:取 ,则 与 在 上都单调递增,正确 故选:D. 12.C 【分析】根据幂函数的定义及单调性可判断AB,再由奇函数的定义判断CD. 【详解】函数 为幂函数,则 ,解得 或 .当 时, 在区间 上单调递增,不满足条件,排除A; 当 时, 在区间 上单调递减,满足题意. 函数 在 和 上单调递减,但不是减函数,排除B; 因为函数定义域关于原点对称,且 , 所以函数 是奇函数,不是偶函数,故C正确,D错误. 故选:C. 13.AB 【解析】通过换元法,设 ,方程化为关于 的二次方程 的根的情况 进行分类讨论. 【详解】设 ,方程化为关于 的二次方程 . 当 时,方程 无实根,故原方程无实根. 当 时,可得 ,则 ,原方程有两个相等的实根 . 当 时,方程 有两个实根 ,由 可知, , . 因为 ,所以 无实根, 有两个不同的实根. 综上可知:A,B项正确,C,D项错误. 故选:AB 【点睛】此题考查方程的根的问题,利用换元法讨论二次方程的根的分布,涉及分类讨论 思想. 14.ABC 【分析】令 ,先分析函数 的奇偶性,再分情况讨论 的奇偶性, 然后逐项分析四个选项即可求解. 【详解】令 ,则 ,故 为偶函数. 当 时,函数 为偶函数,且其图象过点 ,显然四个选项都不满足.当 为偶数且 时,易知函数 为偶函数, 所以函数 为偶函数,其图象关于 轴对称,则选项 , 符合; 若 为正偶数,因为 , 则 ,当 时, ,所以函数 在 上单调递增,又因为函数 为偶函数,所以函数 在 上 单调递减,选项 符合;若 为负偶数,易知函数 的定 义域为 ,排除选项 . 当 为奇数时,易知函数 为奇函数, 所以函数 为奇函数,其图象关于坐标原点对称,则选项 符合, 若 为正奇数,因为 , 则 ,当 时, ,所以函数 在 上单调递增,又因为函数 为奇函数,所以函数 在 上 单调递增,选项 符合; 若 为负奇数,函数 的定义域为 , 不妨取 ,则 ,当 时, ; 当 时, ;当 时, ; 当 时, ;当 时, ;当 趋向于正无穷时,因为指数函数的增长速率比幂函数的快,所以 趋向于正无穷; 所以 内 先减后增,故选项 符合. 故选: . 15.ABD 【分析】利用函数性质相关的定义以及复合函数的同增异减性质逐项分析. 【详解】对于A, , 是减函数, 在 是减函 数, 在 是增函数,根据复合函数同增异减的性质,在 时是增函数,正 确; 对于B, ,是奇函数,正确; 对于C, ,当 时, 并且是减函数, 所以 是增函数,错误; 对于D, ,相当于函数 先向左平移2个单位,再向上平 移2个单位, 而 是关于原点对称的,所以 是关于 对称的,正确; 故选:ABD. 16.ABD 【分析】利用作差法可判断AB,根据幂函数单调性可判断C,根据基本不等式可判断D. 【详解】A: , ∵ , , , ,故A正确;B: , ∵ ,∴ , ,故B正确; C: 时, 在 单调递减,∵ ,故C错误; D:∵a>b>0>c,∴-c>0,∴ ,∵a≠b,故等号取不到, 故 ,故D正确. 故选:ABD. 17. 【分析】分析函数 的性质,借助函数单调性和代入求解不等式作答. 【详解】当 时, 在 上单调递减,在 上单调递增, 当 时, 是增函数,且 , 因此函数 在 上单调递减,在 上单调递增,而 , 则当 ,即 时,恒有 成立,则 , 当 时, ,不等式化为 ,解得 , 则 , 所以不等式 的解集为 . 故答案为: 18.3 【解析】利用幂函数的定义与性质求得 ,将 代入,利用对数的运算法则化简得解. 【详解】 在 上为增函数, ,解得 (舍去), 故答案为:3. 【点睛】正确理解幂函数的定义求得 的值和熟练运用对数恒等式是关键. 19. 【分析】根据 , , ,由 求解. 【详解】因为对 , , , 所以只需 即可, 因为 , , 所以 , , 由 , 解得 故答案为: . 【点睛】本题主要考查不等式恒能成立问题以及函数的最值的求法,属于中档题. 20. 【分析】求出点 、 的坐标,代入相应的幂函数解析式,求出 、 的值,即可得解. 【详解】直线 与 、 轴的交点分别是 、 , 因为 , 是线段 的三等分点,可得 , ,且 与函数 、 的图像交点分别是 、 ,其中 , 所以 ,解得 ,所以, . 故答案为: . 21. 【分析】根据题意求得 ,把不等式转化为 ,即 ,结合 题意,分 、 和 ,三种情况讨论,即可求解. 【详解】由题意,当 时,则 , 因为函数 为偶函数,可得 , 因为 时, ,所以 , 又由 ,即 ,即 ,即 , 因为 时,不等式 恒成立, 当 时, ,满足条件; 当 时,不等式解得 或 ,则满足 或 ,解得 ; 当 时,不等式解得 或 ,则满足 或 ,解得 , 综上可得 或 或 ,即实数 的取值范围是 . 故答案为: . 22. 【解析】根据题意,由幂函数的单调性分析可得 、 或 ,据此验证函数 的 奇偶性,即可得答案.【详解】解:根据题意,函数 为幂函数, 若函数 在 上递减,必有 ,则 、 或 , 当 时, ,为偶函数,符合题意, 当 时, ,为奇函数,不符合题意, 当 时, ,为非奇非偶函数,不符合题意; 则 ; 故答案为: . 【点睛】本题考查幂函数的性质,注意幂函数的单调性以及奇偶性的分析,属于基础题. 【三层练能力】参考答案 1.A 【详解】若选项A错误时,选项B、C、D正确, ,因为 是 的极值点, 是 的极值,所以 ,即 ,解得: ,因为点 在曲线 上,所以 ,即 ,解得: ,所以 , ,所以 ,因为 ,所 以 不是 的零点,所以选项A错误,选项B、C、D正确,故选A. 【考点定位】1、函数的零点;2、利用导数研究函数的极值. 2.D 【详解】试题分析:由已知 ,得 或 .当 时, ,当时, .又 在 单调递增,∴ .∴ 在 上的值域为 , 在 上的值域为 ,∴ ,∴ ,即 .故选D. 考点:1、幂函数的定义和性质;2、函数的单调性及值域. 【方法点睛】本题主要考查幂函数的定义和性质,函数的单调性及函数的值域的求法,属 于难题.求函数值域的常见方法有 ①配方法:若函数为一元二次函数,常采用配方法求函 数求值域,其关键在于正确化成完全平方式,并且一定要先确定其定义域;②换元法:常 用代数或三角代换法,用换元法求值域时需认真分析换元参数的范围变化;③不等式法: 借助于基本不等式 求函数的值域,用不等式法求值域时,要注意基本不等式的使用条件 “一正、二定、三相等”;④单调性法:首先确定函数的定义域,然后准确地找出其单调区 间 ,最后再根据其单调性求凼数的值域,⑤图象法:画出函数图象,根据图象的最高和最 低点求最值,本题主要是利用方法④求出两函数值域后再根据题意解答的. 3.ACD 【分析】利用两角和的余弦公式及二倍角公式展开化简 即可判断选项A;令 , 则 ,根据三角函数的有界性得到 ,进而判断B选项;令 ,其中 , ,问题转化为 ,根据二次函数的最值证明上式 成立即可;求解方程 得到 或 或 ,比较大小得到 , , ,再验证 是否成立即可. 【详解】 ,A对令 ,则 , ,则 ,B错; 令 ,其中 , ,即 ∴ 由 可得 ,即 ,∴ ∴ ,C对; 令 , , ,即 即 ∵ ,∴ 或 或 令 , , , , ∴ 的根都在 ,∴ , , ,D对 故选:ACD. 【点睛】本题主要考查学生三角函数,二次函数的相关性质的问题,主要考查学生分析问 题解决问题的能力,对学生的要求比较高,属于难题,在做此类目时不要慌张,静下心来,慢慢分析就可以找到题目的突破口. 4. 【分析】由分段函数解析式,可分 、 、 三种情况分别写出 与 ,结合 ,可得 关于 的表达式,再由函数的单调性求 解 的取值范围. 【详解】当 时,则 , 可得 ,即 ,求得 , 则 , 函数 在 上递增, ; 当 时, , ,可知不存在 ,使得 ; 当 时,则 , 由 ,得 , 令 , ,则 , , , ,则 ,即 ,函数 在 上单调递增,可得 , 即 . 综上所述, 的取值范围是 . 故答案为: . 【点睛】关键点睛:本题的关键通过分 、 以及 进行讨论, 通过构造函数利用其单调性得到范围. 5. 【分析】利用 的单调性,讨论 的大小关系,判断原不等式是否成立,即可 得解集. 【详解】由题设, ,而 在R上递增, 当 即 时, ,原不等式不成立; 当 即 时, ,原不等式恒成立. 综上,解集为 . 故答案为: 【点睛】关键点点睛:注意构造 ,根据幂函数的单调性,讨论 大 小关系求解集.