当前位置:首页>文档>专题02大气运动规律(分层训练)-高频考点解密2023年高考地理二轮专题复习课件+讲义+分层训练(新高考专用)(原卷版)_9.2025地理总复习_2023年新高考复习资料_二轮复习

专题02大气运动规律(分层训练)-高频考点解密2023年高考地理二轮专题复习课件+讲义+分层训练(新高考专用)(原卷版)_9.2025地理总复习_2023年新高考复习资料_二轮复习

  • 2026-04-15 23:39:25 2026-03-12 08:47:21

文档预览

专题02大气运动规律(分层训练)-高频考点解密2023年高考地理二轮专题复习课件+讲义+分层训练(新高考专用)(原卷版)_9.2025地理总复习_2023年新高考复习资料_二轮复习
专题02大气运动规律(分层训练)-高频考点解密2023年高考地理二轮专题复习课件+讲义+分层训练(新高考专用)(原卷版)_9.2025地理总复习_2023年新高考复习资料_二轮复习
专题02大气运动规律(分层训练)-高频考点解密2023年高考地理二轮专题复习课件+讲义+分层训练(新高考专用)(原卷版)_9.2025地理总复习_2023年新高考复习资料_二轮复习
专题02大气运动规律(分层训练)-高频考点解密2023年高考地理二轮专题复习课件+讲义+分层训练(新高考专用)(原卷版)_9.2025地理总复习_2023年新高考复习资料_二轮复习
专题02大气运动规律(分层训练)-高频考点解密2023年高考地理二轮专题复习课件+讲义+分层训练(新高考专用)(原卷版)_9.2025地理总复习_2023年新高考复习资料_二轮复习
专题02大气运动规律(分层训练)-高频考点解密2023年高考地理二轮专题复习课件+讲义+分层训练(新高考专用)(原卷版)_9.2025地理总复习_2023年新高考复习资料_二轮复习
专题02大气运动规律(分层训练)-高频考点解密2023年高考地理二轮专题复习课件+讲义+分层训练(新高考专用)(原卷版)_9.2025地理总复习_2023年新高考复习资料_二轮复习
专题02大气运动规律(分层训练)-高频考点解密2023年高考地理二轮专题复习课件+讲义+分层训练(新高考专用)(原卷版)_9.2025地理总复习_2023年新高考复习资料_二轮复习
专题02大气运动规律(分层训练)-高频考点解密2023年高考地理二轮专题复习课件+讲义+分层训练(新高考专用)(原卷版)_9.2025地理总复习_2023年新高考复习资料_二轮复习
专题02大气运动规律(分层训练)-高频考点解密2023年高考地理二轮专题复习课件+讲义+分层训练(新高考专用)(原卷版)_9.2025地理总复习_2023年新高考复习资料_二轮复习

文档信息

文档格式
docx
文档大小
2.473 MB
文档页数
10 页
上传时间
2026-03-12 08:47:21

文档内容

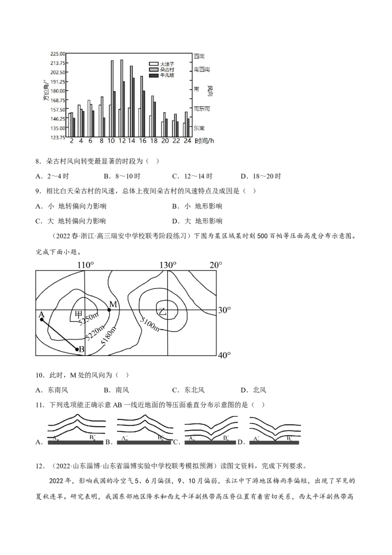
解密 02 大气运动规律 A 组 基础练 (2022春·浙江·高三瑞安中学校联考阶段练习)大气流过地面时,地面上各种粗糙物体会使大气流动 受阻,导致气流向上传递到一定高度,从而影响不同高度风速。该风速会随气象、地形、地面粗糙度等因 素而变化。图1和图2分别为黑龙江省内4个气象观测站年平均风速垂直分布图及该省不同高度月平均风 速比较图。完成下面小题。 1.图1中从地面到300m高度,风速垂直递增率最大的是( ) A.哈尔滨 B.嫩江 C.齐齐哈尔 D.伊春 2.图2中影响900m高度一年中夏季风速最小的主要因素是( ) ①地形②南北温差③城市建筑④高空偏西风 A.①② B.②③ C.①③ D.②④ (2022春·陕西·高三校联考阶段练习)气象学上将冷空气在山谷或盆地底部汇集的现象称为“冷湖效 应”,“冷湖效应”自地面向上消散。下图示意2021年2月23~24日我国北方某峡谷“冷湖效应”出现前 后大气温度随海拔的变化。据此完成下面小题。 3.该地“冷湖效应”消散可能开始于( )A.23日17时 B.23日19时 C.24日8时 D.24日10时 4.此次“冷湖效应”发生时,可能出现( ) ①露水浓重②地面结霜③逆温层④对流雨 A.①② B.①④ C.②③ D.③④ 5.“冷湖效应”消散方向形成的主要原因是( ) A.地面是近地面大气主要的直接热源 B.地势低洼,冷空气易集聚 C.地面辐射不断释放能量,地面温度太低 D.近地面摩擦力大,风速小 (2022春·江苏·高三校联考阶段练习)下图为“9月4日8时台风‘轩岚诺’中心附近风力与风向示意 图”。随后,该台风以15~20千米/小时的速度向偏北方向移动。据此完成下面小题。 6.此时,台风中心位于( ) A.上海东部海面 B.台湾东北洋面 C.浙江沿海海面 D.苏北沿海海面 7.未来24小时,上海市天气变化最可能是( ) A.大风渐止 B.风向转为西北 C.雨量渐增 D.气温大幅回升 8.此次台风给长江三角洲沿海地区带来的主要影响是( ) A.加快河道淤积 B.加速植物生长 C.减轻海水倒灌 D.缓解高温旱情 (2022春·辽宁大连·高三校联考期中)内蒙古阿拉善盟位于内蒙古自治区最西部,2019年某日遭遇近 10年最强沙尘暴天气过程,下图示意阿拉善盟拐子湖气象站(41°22′N,102°22′E,海拔960m)该日 近地面气象要素变化。据此完成下面小题。9.图中曲线( ) A.①代表极大风速 B.②代表气温 C.③代表气压 D.④代表能见度 10.沙尘暴最强的时段为( ) A.8-14时 B.14-20时 C.18-24时 D.22-24时 11.推测该次沙尘暴发生的月份是( ) A.2月 B.5月 C.8月 D.11月 (2022春·重庆·高二校联考阶段练习)下图示意1月份南极附近海平面平均气压分布(单位:hPa)。 据此完成下面小题。 12.1月份船只从乌斯怀亚到长城站途中( )A.顺风顺水 B.顺风逆水 C.逆风顺水 D.逆风逆水 13.据图推测,虚线L处天气系统与甲、乙两地天气特点为( ) A.高压脊,甲地晴朗 B.冷锋,乙地阴雨 C.低压槽,乙地阴雨 D.暖锋,甲地阴雨 (2022春·山西运城·高二校考阶段练习)“海浩”是指海面上出现“白茫茫云雾”的现象。下图为 2021年1月7日青岛经历寒潮天气时海面出现的“海浩”奇观(海面云雾主要由冰晶组成)。据此完成下 面小题。 14.此次“海浩”现象的发生条件是( ) A.冷锋过境前;水温高于气温 B.冷锋过境后;水温高于气温 C.冷锋过境前;水温低于气温 D.冷锋过境后;水温低于气温 15.与“海浩”现象的产生关联性最小的是( ) A.低空水汽量多 B.海面气温低 C.天气晴朗微风 D.昼夜温差小 B 组 提升练 (2022春·全国·高三校联考阶段练习)“静”是冬季云贵高原锋面系统的主体特征,在“静”背景下 锋面的移动往往会伴随转折性甚至灾害性天气。图从26°N处两类锋线在不同经度上的频率和锋线附近平 均变温两个维度展现云贵高原准“静”止锋的“动”态特征。据此完成下面小题。1.图示反映出云贵高原冷锋、暖锋的移动方向分别是( ) A.自南向北、自北向南 B.自北向南、自南向北 C.自西向东、自东向西 D.自东向西、自西向东 2.与暖锋相比,云贵高原冷锋对温度的影响幅度更大,主要取决于( ) A.地形 B.纬度 C.大气环流 D.海陆分布 (2022春·湖南湘西·高三统考竞赛)倒暖锋是在北半球,由北向偏南方向逆行的暖锋;倒暖锋是我国 某地区特有的天气现象,一般出现在寒潮过境之后的两三天之内,自北向南依次产生降水,同时出现北部 气温高于南部气温的反常现象。下图为某次倒暖锋过境时近地面气压形势图,据此完成下面小题。 3.该地区出现倒暖锋的必要条件是( ) A.有暖湿气流从附近海上吹来 B.该地区气温较高,形成暖气团 C.该地区地形平坦,缺少地形阻挡 D.寒潮过境带来一定的降水 4.倒暖锋形成时,该地区自北向南依次产生降水的原因是( ) A.寒潮自北向南移动造成的 B.与暖湿气流的来源有关 C.北部受高大山脉阻挡 D.该地区地形平坦,抬升作用弱(2022春·天津河西·高三天津市新华中学校考阶段练习)鄂西南山区某地2016年11月由于冷锋过境 带来降水,并逐渐由降雨向降雪转变,持续时间较长。下图示意本次降水过程的天气要素变化。据此完成 下面小题。 5.8日下午由降雨转向降雪主要是因为( ) A.冷气团持续侵袭 B.上升气流增强 C.降水量波动上升 D.水汽含量下降 6.推测冷锋过境开始的时间大约是在( ) A.7日14时~20时 B.7日20时~8日02时 C.8日08时~14时 D.9日08时~14时 7.与8日相比,9日( ) A.气温下降明显 B.平均风速较大 C.空气质量较差 D.午后对流较强 (2022春·重庆·高三校联考阶段练习)图左为云南省东南部蒙自盆地东坡的地形剖面图。图右为2017 年6月在牛儿坡、朵古村和大洼子三个气象站测得的风向数据统计图,以正北方向为初始方向,以顺时针 转过的角度为方位角。据此完成下面小题。8.朵古村风向转变最显著的时段为( ) A.2~4时 B.8~10时 C.12~14时 D.18~20时 9.相比白天朵古村的风速,总体上夜间朵古村的风速特点及成因是( ) A.小 地转偏向力影响 B.小 地形影响 C.大 地转偏向力影响 D.大 地形影响 (2022春·浙江·高三瑞安中学校联考阶段练习)下图为某区域某时刻500百帕等压面高度分布示意图。 完成下面小题。 10.此时,M处的风向为( ) A.东南风 B.南风 C.东北风 D.北风 11.下列选项能正确示意AB一线近地面的等压面垂直分布示意图的是( ) A. B. C. D. 12.(2022·山东淄博·山东省淄博实验中学校联考模拟预测)读图文资料,完成下列要求。 2022年,影响我国的冷空气5、6月偏强,9、10月偏弱,长江中下游地区梅雨季偏短,出现了罕见的 夏秋连旱。研究表明,我国东部地区降水和西太平洋副热带高压脊位置有着密切关系,西太平洋副热带高压脊位置主要取决于其自身和冷空气强度。下图示意正常年份西太平洋副热带高压脊北进南退与雨区位置。 (1)在上图中找出我国正常年份梅雨的合理位置,并在相应虚线框内填涂阴影。 (2)归纳上图中四个雨区共同的位置特征并说明原因。 (3) 从副热带高压脊位置变动角度。说明2022年长江中下游地区夏秋连旱的原因。 13.(2022春·山东·高二沂水县第一中学校联考期末)阅读图文材料,完成下列要求。 来自太平洋的气流越过哥伦比亚的西科迪勒拉山脉,气流快速下沉形成“泻风”。“泻风”常出现在 夏半年的下午。形成“泻风”的气流在近海地区、西科迪勒拉山脉、中科迪勒拉山脉分别形成对流中心, 对流云体垂直向上发展。左图示意哥伦比亚“泻风”所在区域的位置,右图示意该区域夏半年气流及对流 云团分布。(1)哥伦比亚能够出现较典型的“泻风”,据此简述西科迪勒拉山脉的地形特征。 (2)分析西科迪勒拉山脉的“泻风”常出现在夏半年的下午的原因。 (4) 与西科迪勒拉山脉相比,更高的中科迪勒拉山脉对流云团的发展高度反而更低,对此做出合理解释。