当前位置:首页>文档>专题12双曲线中的离心率问题(原卷版)_2.2025数学总复习_2024年新高考资料_3.2024专项复习_2024年新高考数学之圆锥曲线专项重难点突破练(新高考专用)

专题12双曲线中的离心率问题(原卷版)_2.2025数学总复习_2024年新高考资料_3.2024专项复习_2024年新高考数学之圆锥曲线专项重难点突破练(新高考专用)

  • 2026-04-03 06:44:47 2026-03-14 03:48:38

文档预览

专题12双曲线中的离心率问题(原卷版)_2.2025数学总复习_2024年新高考资料_3.2024专项复习_2024年新高考数学之圆锥曲线专项重难点突破练(新高考专用)
专题12双曲线中的离心率问题(原卷版)_2.2025数学总复习_2024年新高考资料_3.2024专项复习_2024年新高考数学之圆锥曲线专项重难点突破练(新高考专用)
专题12双曲线中的离心率问题(原卷版)_2.2025数学总复习_2024年新高考资料_3.2024专项复习_2024年新高考数学之圆锥曲线专项重难点突破练(新高考专用)
专题12双曲线中的离心率问题(原卷版)_2.2025数学总复习_2024年新高考资料_3.2024专项复习_2024年新高考数学之圆锥曲线专项重难点突破练(新高考专用)
专题12双曲线中的离心率问题(原卷版)_2.2025数学总复习_2024年新高考资料_3.2024专项复习_2024年新高考数学之圆锥曲线专项重难点突破练(新高考专用)
专题12双曲线中的离心率问题(原卷版)_2.2025数学总复习_2024年新高考资料_3.2024专项复习_2024年新高考数学之圆锥曲线专项重难点突破练(新高考专用)

文档信息

文档格式
docx
文档大小
0.275 MB
文档页数
6 页
上传时间
2026-03-14 03:48:38

文档内容

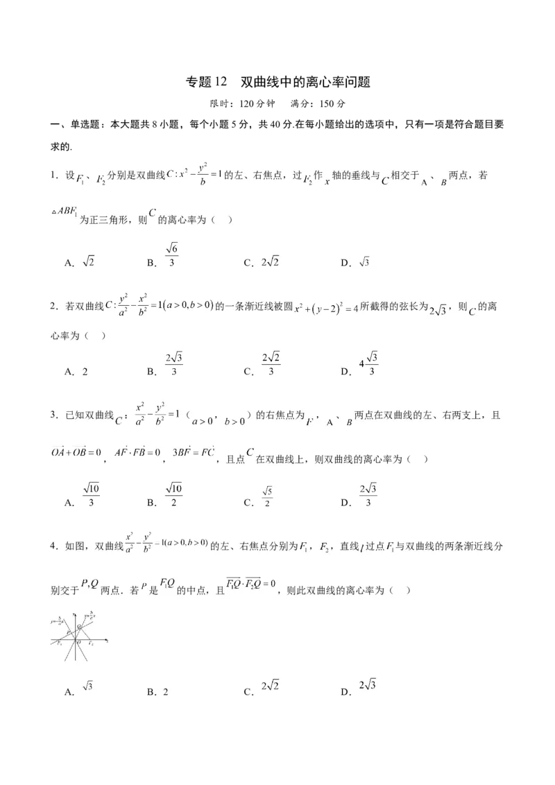
专题12 双曲线中的离心率问题 限时:120分钟 满分:150分 一、单选题:本大题共8小题,每个小题5分,共40分.在每小题给出的选项中,只有一项是符合题目要 求的. 1.设 、 分别是双曲线 的左、右焦点,过 作 轴的垂线与 相交于 、 两点,若 为正三角形,则 的离心率为( ) A. B. C. D. 2.若双曲线 的一条渐近线被圆 所截得的弦长为 ,则 的离 心率为( ) A. B. C. D. 3.已知双曲线 : ( , )的右焦点为 , 、 两点在双曲线的左、右两支上,且 , , ,且点 在双曲线上,则双曲线的离心率为( ) A. B. C. D. 4.如图,双曲线 的左、右焦点分别为 , ,直线 过点 与双曲线的两条渐近线分 别交于 两点.若 是 的中点,且 ,则此双曲线的离心率为( ) A. B.2 C. D.5.已知双曲线 的左、右焦点分别为 , ,若在 上存在点 不是顶点 ,使 得 ,则 的离心率的取值范围为( ) A. B. C. D. 6.已知双曲线 的两个焦点为 ,点 在 上,且 , , 则双曲线 的离心率为( ) A. B. C. D. 7.已知双曲线 的上下焦点分别为 ,点 在 的下支上,过点 作 的一 条渐近线的垂线,垂足为 ,若 恒成立,则 的离心率的取值范围为( ) A. B. C. D. 8.已知双曲线 的左顶点为 ,过 的直线 与 的右支交于点 ,若线段 的中 点在圆 上,且 ,则双曲线 的离心率为( ) A. B. C.2 D.3 二、多选题:本大题共4小题,每个小题5分,共20分.在每小题给出的选项中,只有一项或者多项是符 合题目要求的. 9.双曲线 的离心率为 ,双曲线 的离心率为 ,则 的值不可能是( ) A. B. C. D.10.双曲线 的离心率为e,若过点 能作该双曲线的两条切线,则e可能取值为( ). A. B. C. D.2 11.已知双曲线 的左、右焦点分别为 ,过点 的直线 与圆 相切, 且与 交于 两点,若 ,则 的离心率可能为( ) A. B. C. D. 12.已知 、 是双曲线 ( , )的左、右焦点,过 作双曲线一条渐近线的垂线,垂 足为点 ,交另一条渐近线于点 ,且 ,则该双曲线的离心率为( ). A. B. C. D. 三、填空题:本大题共4小题,每小题5分,共20分.把答案填在答题卡中的横线上. 13.双曲线 的一条渐近线方程为 ,则其离心率是 . 14.已知双曲线方程为 ,左焦点 关于一条渐近线的对称点在另一条渐近线上,则 该双曲线的离心率为 . 15.已知双曲线 的右焦点为 ,直线 与双曲线 交于 两点,与双曲 线 的渐近线交于 两点,若 ,则双曲线 的离心率是 . 16.已知双曲线 的左、右焦点分别为 ,双曲线的左顶点为A,以 为直径的 圆交双曲线的一条渐近线于P,Q两点,其中点Q在y轴右侧,若 ,则该双曲线的离心率的取 值范围是 .四、解答题:本大题共6小题,共70分.解答应写出必要的文字说明、证明过程或演算步骤. 17.已知 , 分别为双曲线 的左、右焦点,P为双曲线右支上的任意一点,当 取最小值时,求双曲线的离心率e的取值范围. 18.已知椭圆 与双曲线 ,有相同的左、右焦点 , ,若点 是 与 在第一象限内的交点,且 ,设 与 的离心率分别为 , ,求 的取值范围. 19.已知双曲线T: 离心率为e,圆O: . (1)若e=2,双曲线T的右焦点为 ,求双曲线方程;(2)若圆O过双曲线T的右焦点F,圆O与双曲线T的四个交点恰好四等分圆周,求 的值; (3)若R=1,不垂直于x轴的直线l:y=kx+m与圆O相切,且l与双曲线T交于点A,B时总有 ,求 离心率e的取值范围. 20.已知点 是双曲线 右支上一点, 、 是双曲线的左、右焦点, , . (1)求双曲线的离心率; (2)设 、 分别是 的外接圆半径和内切圆半径,求 . △ 21.已知双曲线 的左、右焦点分别为 , ,A为双曲线C左支上一点, . (1)求双曲线C的离心率; (2)设点A关于x轴的对称点为B,D为双曲线C右支上一点,直线 与x轴交点的横坐标分别为 , 且 ,求双曲线C的方程.22.已知双曲线 ,若直线 与双曲线 交于 两点,线段 的中点为 ,且 ( 为坐标原点). (1)求双曲线 的离心率; (2)若直线 不经过双曲线 的右顶点 ,且以 为直径的圆经过点 ,证明直线 恒过定点 ,并 求出点 的坐标.