当前位置:首页>文档>专题18圆锥曲线的综合应用(解答题)(解析版)_2.2025数学总复习_2024年新高考资料_2.2024二轮复习_2024年高三数学二轮优化提优专题训练

专题18圆锥曲线的综合应用(解答题)(解析版)_2.2025数学总复习_2024年新高考资料_2.2024二轮复习_2024年高三数学二轮优化提优专题训练

  • 2026-04-01 14:23:52 2026-03-16 11:50:06

文档预览

专题18圆锥曲线的综合应用(解答题)(解析版)_2.2025数学总复习_2024年新高考资料_2.2024二轮复习_2024年高三数学二轮优化提优专题训练
专题18圆锥曲线的综合应用(解答题)(解析版)_2.2025数学总复习_2024年新高考资料_2.2024二轮复习_2024年高三数学二轮优化提优专题训练
专题18圆锥曲线的综合应用(解答题)(解析版)_2.2025数学总复习_2024年新高考资料_2.2024二轮复习_2024年高三数学二轮优化提优专题训练
专题18圆锥曲线的综合应用(解答题)(解析版)_2.2025数学总复习_2024年新高考资料_2.2024二轮复习_2024年高三数学二轮优化提优专题训练
专题18圆锥曲线的综合应用(解答题)(解析版)_2.2025数学总复习_2024年新高考资料_2.2024二轮复习_2024年高三数学二轮优化提优专题训练
专题18圆锥曲线的综合应用(解答题)(解析版)_2.2025数学总复习_2024年新高考资料_2.2024二轮复习_2024年高三数学二轮优化提优专题训练
专题18圆锥曲线的综合应用(解答题)(解析版)_2.2025数学总复习_2024年新高考资料_2.2024二轮复习_2024年高三数学二轮优化提优专题训练
专题18圆锥曲线的综合应用(解答题)(解析版)_2.2025数学总复习_2024年新高考资料_2.2024二轮复习_2024年高三数学二轮优化提优专题训练
专题18圆锥曲线的综合应用(解答题)(解析版)_2.2025数学总复习_2024年新高考资料_2.2024二轮复习_2024年高三数学二轮优化提优专题训练
专题18圆锥曲线的综合应用(解答题)(解析版)_2.2025数学总复习_2024年新高考资料_2.2024二轮复习_2024年高三数学二轮优化提优专题训练
专题18圆锥曲线的综合应用(解答题)(解析版)_2.2025数学总复习_2024年新高考资料_2.2024二轮复习_2024年高三数学二轮优化提优专题训练
专题18圆锥曲线的综合应用(解答题)(解析版)_2.2025数学总复习_2024年新高考资料_2.2024二轮复习_2024年高三数学二轮优化提优专题训练
专题18圆锥曲线的综合应用(解答题)(解析版)_2.2025数学总复习_2024年新高考资料_2.2024二轮复习_2024年高三数学二轮优化提优专题训练
专题18圆锥曲线的综合应用(解答题)(解析版)_2.2025数学总复习_2024年新高考资料_2.2024二轮复习_2024年高三数学二轮优化提优专题训练
专题18圆锥曲线的综合应用(解答题)(解析版)_2.2025数学总复习_2024年新高考资料_2.2024二轮复习_2024年高三数学二轮优化提优专题训练
专题18圆锥曲线的综合应用(解答题)(解析版)_2.2025数学总复习_2024年新高考资料_2.2024二轮复习_2024年高三数学二轮优化提优专题训练
专题18圆锥曲线的综合应用(解答题)(解析版)_2.2025数学总复习_2024年新高考资料_2.2024二轮复习_2024年高三数学二轮优化提优专题训练
专题18圆锥曲线的综合应用(解答题)(解析版)_2.2025数学总复习_2024年新高考资料_2.2024二轮复习_2024年高三数学二轮优化提优专题训练
专题18圆锥曲线的综合应用(解答题)(解析版)_2.2025数学总复习_2024年新高考资料_2.2024二轮复习_2024年高三数学二轮优化提优专题训练
专题18圆锥曲线的综合应用(解答题)(解析版)_2.2025数学总复习_2024年新高考资料_2.2024二轮复习_2024年高三数学二轮优化提优专题训练
专题18圆锥曲线的综合应用(解答题)(解析版)_2.2025数学总复习_2024年新高考资料_2.2024二轮复习_2024年高三数学二轮优化提优专题训练
专题18圆锥曲线的综合应用(解答题)(解析版)_2.2025数学总复习_2024年新高考资料_2.2024二轮复习_2024年高三数学二轮优化提优专题训练
专题18圆锥曲线的综合应用(解答题)(解析版)_2.2025数学总复习_2024年新高考资料_2.2024二轮复习_2024年高三数学二轮优化提优专题训练
专题18圆锥曲线的综合应用(解答题)(解析版)_2.2025数学总复习_2024年新高考资料_2.2024二轮复习_2024年高三数学二轮优化提优专题训练
专题18圆锥曲线的综合应用(解答题)(解析版)_2.2025数学总复习_2024年新高考资料_2.2024二轮复习_2024年高三数学二轮优化提优专题训练
专题18圆锥曲线的综合应用(解答题)(解析版)_2.2025数学总复习_2024年新高考资料_2.2024二轮复习_2024年高三数学二轮优化提优专题训练
专题18圆锥曲线的综合应用(解答题)(解析版)_2.2025数学总复习_2024年新高考资料_2.2024二轮复习_2024年高三数学二轮优化提优专题训练
专题18圆锥曲线的综合应用(解答题)(解析版)_2.2025数学总复习_2024年新高考资料_2.2024二轮复习_2024年高三数学二轮优化提优专题训练
专题18圆锥曲线的综合应用(解答题)(解析版)_2.2025数学总复习_2024年新高考资料_2.2024二轮复习_2024年高三数学二轮优化提优专题训练
专题18圆锥曲线的综合应用(解答题)(解析版)_2.2025数学总复习_2024年新高考资料_2.2024二轮复习_2024年高三数学二轮优化提优专题训练
专题18圆锥曲线的综合应用(解答题)(解析版)_2.2025数学总复习_2024年新高考资料_2.2024二轮复习_2024年高三数学二轮优化提优专题训练
专题18圆锥曲线的综合应用(解答题)(解析版)_2.2025数学总复习_2024年新高考资料_2.2024二轮复习_2024年高三数学二轮优化提优专题训练
专题18圆锥曲线的综合应用(解答题)(解析版)_2.2025数学总复习_2024年新高考资料_2.2024二轮复习_2024年高三数学二轮优化提优专题训练
专题18圆锥曲线的综合应用(解答题)(解析版)_2.2025数学总复习_2024年新高考资料_2.2024二轮复习_2024年高三数学二轮优化提优专题训练
专题18圆锥曲线的综合应用(解答题)(解析版)_2.2025数学总复习_2024年新高考资料_2.2024二轮复习_2024年高三数学二轮优化提优专题训练
专题18圆锥曲线的综合应用(解答题)(解析版)_2.2025数学总复习_2024年新高考资料_2.2024二轮复习_2024年高三数学二轮优化提优专题训练
专题18圆锥曲线的综合应用(解答题)(解析版)_2.2025数学总复习_2024年新高考资料_2.2024二轮复习_2024年高三数学二轮优化提优专题训练
专题18圆锥曲线的综合应用(解答题)(解析版)_2.2025数学总复习_2024年新高考资料_2.2024二轮复习_2024年高三数学二轮优化提优专题训练
专题18圆锥曲线的综合应用(解答题)(解析版)_2.2025数学总复习_2024年新高考资料_2.2024二轮复习_2024年高三数学二轮优化提优专题训练
专题18圆锥曲线的综合应用(解答题)(解析版)_2.2025数学总复习_2024年新高考资料_2.2024二轮复习_2024年高三数学二轮优化提优专题训练
专题18圆锥曲线的综合应用(解答题)(解析版)_2.2025数学总复习_2024年新高考资料_2.2024二轮复习_2024年高三数学二轮优化提优专题训练

文档信息

文档格式
docx
文档大小
1.617 MB
文档页数
41 页
上传时间
2026-03-16 11:50:06

文档内容

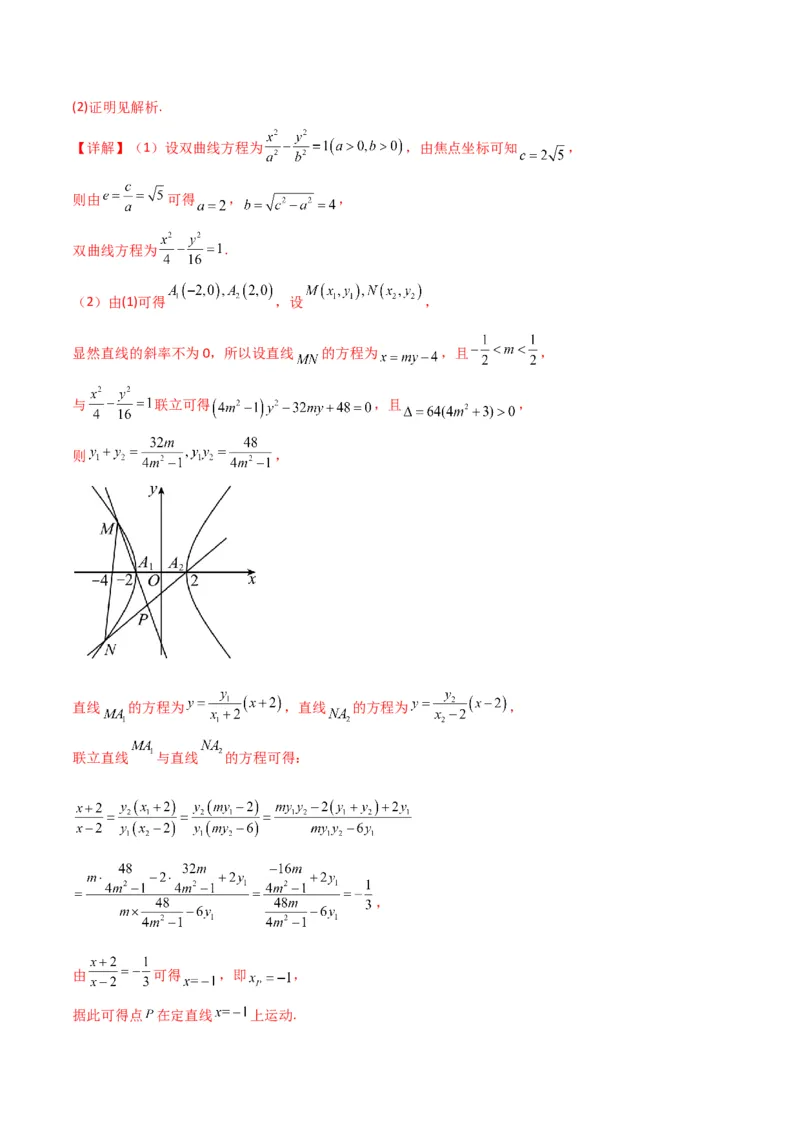
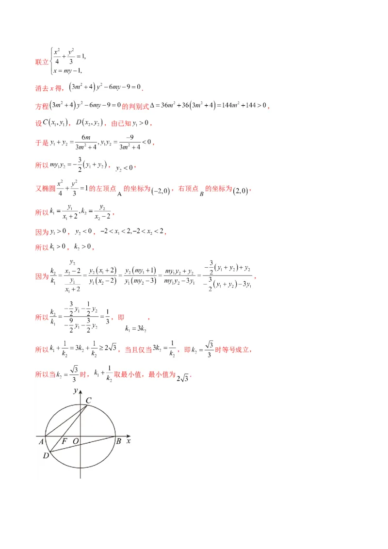
专题18 圆锥曲线的综合应用(解答题) 1、(2023年全国乙卷数学(文)(理))已知椭圆 的离心率是 ,点 在 上. (1)求 的方程; (2)过点 的直线交 于 两点,直线 与 轴的交点分别为 ,证明:线段 的中点为 定点. 【答案】(1) (2)证明见详解 【详解】(1)由题意可得 ,解得 , 所以椭圆方程为 . (2)由题意可知:直线 的斜率存在,设 , 联立方程 ,消去y得: , 则 ,解得 , 可得 , 因为 ,则直线 ,令 ,解得 ,即 , 同理可得 , 则 , 所以线段 的中点是定点 . 2、(2023年新课标全国Ⅱ卷)已知双曲线C的中心为坐标原点,左焦点为 ,离心率为 . (1)求C的方程; (2)记C的左、右顶点分别为 , ,过点 的直线与C的左支交于M,N两点,M在第二象限,直线 与 交于点P.证明:点 在定直线上. 【答案】(1)(2)证明见解析. 【详解】(1)设双曲线方程为 ,由焦点坐标可知 , 则由 可得 , , 双曲线方程为 . (2)由(1)可得 ,设 , 显然直线的斜率不为0,所以设直线 的方程为 ,且 , 与 联立可得 ,且 , 则 , 直线 的方程为 ,直线 的方程为 , 联立直线 与直线 的方程可得: , 由 可得 ,即 , 据此可得点 在定直线 上运动.3、【2022年全国甲卷】设抛物线C:y2=2px(p>0)的焦点为F,点D(p,0),过F的直线交C于M,N两 点.当直线MD垂直于x轴时,|MF|=3. (1)求C的方程; (2)设直线MD,ND与C的另一个交点分别为A,B,记直线MN,AB的倾斜角分别为α,β.当α−β取得最 大值时,求直线AB的方程. 【解析】(1) p 抛物线的准线为x=− ,当MD与x轴垂直时,点M的横坐标为p, 2 p 此时|MF|=p+ =3,所以p=2, 2 所以抛物线C的方程为y2=4x; y2 y2 y2 y2 (2)设M( 1,y ),N( 2,y ),A( 3,y ),B( 4,y ),直线MN:x=my+1, 4 1 4 2 4 3 4 4 x=my+1 由{ 可得y2−4my−4=0,Δ>0,y y =−4, y2=4x 1 2 y −y 4 y −y 4 k = 1 2 = k = 3 4 = 由斜率公式可得 MN y2 y2 y + y , AB y2 y2 y + y , 1− 2 1 2 3− 4 3 4 4 4 4 4 x −2 4(x −2) 直线MD:x= 1 ⋅y+2,代入抛物线方程可得y2− 1 ⋅y−8=0, y y 1 1 Δ>0,y y =−8,所以y =2y ,同理可得y =2y , 1 3 3 2 4 1 4 4 k 所以k = = = MN AB y + y 2(y + y ) 2 3 4 1 2 又因为直线MN、AB的倾斜角分别为α,β, k tanα 所以k =tanβ= MN = , AB 2 2 π 若要使α−β最大,则β∈(0, ), 2tanα−tanβ k 1 1 √2 tan(α−β)= = = ≤ = 设k MN =2k AB =2k>0,则 1+tanαtanβ 1+2k2 1 +2k 2 √1 ⋅2k 4 , k k 1 √2 当且仅当 =2k即k= 时,等号成立, k 2 √2 所以当α−β最大时,k = ,设直线AB:x=√2y+n, AB 2 代入抛物线方程可得y2−4√2y−4n=0, Δ>0,y y =−4n=4 y y =−16,所以n=4, 3 4 1 2 所以直线AB:x=√2y+4. (3 ) 4、【2022年全国乙卷】已知椭圆E的中心为坐标原点,对称轴为x轴、y轴,且过A(0,−2),B ,−1 2 两点. (1)求E的方程; (2)设过点P(1,−2)的直线交E于M,N两点,过M且平行于x轴的直线与线段AB交于点T,点H满足 ⃑MT=⃑TH.证明:直线HN过定点. 【解析】(1) (3 ) 解:设椭圆E的方程为mx2+n y2=1,过A(0,−2),B ,−1 , 2 1 1 则¿,解得m= ,n= , 3 4 y2 x2 所以椭圆E的方程为: + =1. 4 3 (2) 3 2 A(0,−2),B( ,−1),所以AB:y+2= x, 2 3 x2 y2 ①若过点P(1,−2)的直线斜率不存在,直线x=1.代入 + =1, 3 4 2√6 2√6 2 可得M(1, ),N(1,− ),代入AB方程y= x−2,可得 3 3 3 2√6 2√6 T(√6+3, ),由⃑MT=⃑TH得到H(2√6+5, ).求得HN方程: 3 3 2√6 y=(2− )x−2,过点(0,−2). 3 ②若过点P(1,−2)的直线斜率存在,设kx−y−(k+2)=0,M(x ,y ),N(x ,y ). 1 1 2 2联立¿得(3k2+4)x2−6k(2+k)x+3k(k+4)=0, 可得¿,¿, −24k 且x y +x y = (∗) 1 2 2 1 3k2+4 3 y 联立¿可得T( 1+3,y ),H(3 y +6−x ,y ). 2 1 1 1 1 y −y 可求得此时HN:y−y = 1 2 (x−x ), 2 3 y +6−x −x 2 1 1 2 将(0,−2),代入整理得2(x +x )−6(y + y )+x y +x y −3 y y −12=0, 1 2 1 2 1 2 2 1 1 2 将(∗)代入,得24k+12k2+96+48k−24k−48−48k+24k2−36k2−48=0, 显然成立, 综上,可得直线HN过定点(0,−2). 【点睛】 x2 y2 5、【2022年新高考1卷】已知点A(2,1)在双曲线C: − =1(a>1)上,直线l交C于P,Q两点, a2 a2−1 直线AP,AQ的斜率之和为0. (1)求l的斜率; (2)若tan∠PAQ=2√2,求△PAQ的面积. x2 y2 4 1 【解析】(1)因为点A(2,1)在双曲线C: − =1(a>1)上,所以 − =1,解得a2=2,即双曲 a2 a2−1 a2 a2−1 x2 线C: −y2=1 2 易知直线l的斜率存在,设l:y=kx+m,P(x ,y ),Q(x ,y ), 1 1 2 2 联立¿可得,(1−2k2)x2−4mkx−2m2−2=0, 4mk 2m2+2 所以,x +x =− ,x x = ,Δ=16m2k2+4(2m2+2)(2k2−1)>0⇒m2−1+2k2>0. 1 2 2k2−1 1 2 2k2−1y −1 y −1 所以由k +k =0可得, 2 + 1 =0, AP BP x −2 x −2 2 1 即(x −2)(kx +m−1)+(x −2)(kx +m−1)=0, 1 2 2 1 即2kx x +(m−1−2k)(x +x )−4(m−1)=0, 1 2 1 2 2m2+2 ( 4mk ) 所以2k× +(m−1−2k) − −4(m−1)=0, 2k2−1 2k2−1 化简得,8k2+4k−4+4m(k+1)=0,即(k+1)(2k−1+m)=0, 所以k=−1或m=1−2k, 当m=1−2k时,直线l:y=kx+m=k(x−2)+1过点A(2,1),与题意不符,舍去, 故k=−1. (2)不妨设直线PA,PB的倾斜角为α,β(α<β),因为k +k =0,所以α+β=π, AP BP 因为tan∠PAQ=2√2,所以tan(β−α)=2√2,即tan2α=−2√2, 即√2tan2α−tanα−√2=0,解得tanα=√2, 于是,直线PA:y=√2(x−2)+1,直线PB:y=−√2(x−2)+1, 3 联立¿可得, x2+2(1−2√2)x+10−4√2=0, 2 10−4√2 4√2−5 因为方程有一个根为2,所以x = ,y = , P 3 P 3 10+4√2 −4√2−5 同理可得,x = ,y = . Q 3 Q 3 5 16 所以PQ:x+ y− =0,|PQ|= , 3 3 | 5| 2+1− 点A到直线PQ的距离 3 2√2, d= = √2 3 1 16 2√2 16√2 故△PAQ的面积为 × × = . 2 3 3 9 x2 y2 6、【2022年新高考2卷】已知双曲线C: − =1(a>0,b>0)的右焦点为F(2,0),渐近线方程为 a2 b2 y=±√3x.(1)求C的方程; (2)过F的直线与C的两条渐近线分别交于A,B两点,点P(x ,y ),Q(x ,y )在C上,且x >x >0,y >0. 1 1 2 2 1 2 1 过P且斜率为−√3的直线与过Q且斜率为√3的直线交于点M.从下面①②③中选取两个作为条件,证明另 外一个成立: ①M在AB上;②PQ∥AB;③|MA|=|MB|. 注:若选择不同的组合分别解答,则按第一个解答计分. 【解析】(1) b 右焦点为F(2,0),∴c=2,∵渐近线方程为y=±√3x,∴ =√3,∴b=√3a,∴c2=a2+b2=4a2=4,∴ a a=1,∴b=√3. y2 ∴C的方程为:x2− =1; 3 (2)由已知得直线PQ的斜率存在且不为零,直线AB的斜率不为零, 若选由①②推③或选由②③推①:由②成立可知直线AB的斜率存在且不为零; 若选①③推②,则M为线段AB的中点,假若直线AB的斜率不存在,则由双曲线的对称性可知M在x轴上, 即为焦点F,此时由对称性可知P、Q关于x轴对称,与从而x =x ,已知不符; 1 2 总之,直线AB的斜率存在且不为零. 设直线AB的斜率为k,直线AB方程为y=k(x−2), 则条件①M在AB上,等价于y =k(x −2)⇔k y =k2 (x −2); 0 0 0 0 两渐近线的方程合并为3x2−y2=0, 联立消去y并化简整理得:(k2−3)x2−4k2x+4k2=0 x +x 2k2 6k 设A(x ,y ),B(x ,y ),线段中点为N(x ,y ),则x = 3 4= ,y =k(x −2)= , 3 3 3 4 N N N 2 k2−3 N N k2−3 设M(x ,y ), ❑0 0 则条件③|AM|=|BM|等价于(x −x ) 2+(y −y ) 2=(x −x ) 2+(y −y ) 2 , 0 3 0 3 0 4 0 4 移项并利用平方差公式整理得: (x −x )[2x −(x +x )]+(y −y )[2y −(y + y )]=0, 3 4 0 3 4 3 4 0 3 4y −y [2x −(x +x )]+ 3 4[2y −(y + y )]=0,即x −x +k(y −y )=0, 0 3 4 x −x 0 3 4 0 N 0 N 3 4 8k2 即x +k y = ; 0 0 k2−3 由题意知直线PM的斜率为−√3, 直线QM的斜率为√3, ∴由y −y =−√3(x −x ),y −y =√3(x −x ), 1 0 1 0 2 0 2 0 ∴y −y =−√3(x +x −2x ), 1 2 1 2 0 y −y √3(x +x −2x ) 所以直线PQ的斜率m= 1 2=− 1 2 0 , x −x x −x 1 2 1 2 直线PM:y=−√3(x−x )+ y ,即y= y +√3x −√3x, 0 0 0 0 代入双曲线的方程3x2−y2−3=0,即(√3x+ y)(√3x−y)=3中, 得:(y +√3x )[2√3x−(y +√3x )]=3, 0 0 0 0 1 3 解得P的横坐标: x 1 = 2√3 ( y +√3x + y 0 +√3x 0 ) , 0 0 1 3 同理:x =− ( + y −√3x ) , 2 2√3 y −√3x 0 0 0 0 1 ( 3 y ) 3x ∴x −x = 0 + y ,x +x −2x =− 0 −x , 1 2 √3 y2−3x2 0 1 2 0 y2−3x2 0 0 0 0 0 3x ∴m= 0 , y 0 ∴条件②PQ//AB等价于m=k⇔k y =3x , 0 0 综上所述: 条件①M在AB上,等价于k y =k2 (x −2); 0 0 条件②PQ//AB等价于k y =3x ; 0 08k2 条件③|AM|=|BM|等价于x +k y = ; 0 0 k2−3 选①②推③: 2k2 8k2 由①②解得:x = ,∴x +k y =4x = ,∴③成立; 0 k2−3 0 0 0 k2−3 选①③推②: 2k2 6k2 由①③解得:x = ,k y = , 0 k2−3 0 k2−3 ∴k y =3x ,∴②成立; 0 0 选②③推①: 2k2 6k2 6 由②③解得:x = ,k y = ,∴x −2= , 0 k2−3 0 k2−3 0 k2−3 ∴k y =k2 (x −2),∴①成立. 0 0 题型一 圆锥曲线中的最值问题 1-1、(2023·江苏连云港·统考模拟预测)已知椭圆E: 的焦距为 ,且经过点 . (1)求椭圆E的标准方程: (2)过椭圆E的左焦点 作直线l与椭圆E相交于A,B两点(点A在x轴上方),过点A,B分别作椭圆的 切线,两切线交于点M,求 的最大值. 【分析】(1)由待定系数法求解析式; (2)设出直线方程,由韦达定理法及导数法求得两切线方程,即可联立两切线方程解得交点M,再由弦长公式及两点距离公式表示出 ,进而讨论最值. 【详解】(1)由题意得 ,所以 ,即椭圆方程为 ; (2)当直线l斜率为0时,A,B分别为椭圆的左右顶点,此时切线平行无交点.故设直线l: , 由 ,得 . , , . 不妨设 在x轴上方,则 在x轴下方. 椭圆在x轴上方对应方程为 , , 则A处切线斜率为 ,得切线方程为 ,整理得 . 同理可得B处的切线方程为 . 由 得 , 代入①得 ,所以 .因为 ,所以 设 ,则 ,则 , 当且仅当 ,即 时, 的最大值是2. 另解:当直线l的斜率存在时,设l: , 由 得 , 所以 , , , 椭圆在x轴上方的部分方程为 , , 则过 的切线方程为 , 即 , 同理可得过 的切线方程为 . 由 得 设 ,则 ,所以直线l的方程为 ,所以 . , 令 ,则 ,所以 , 当 时,即 时, 取得最大值,为2. 1-2、(2023·江苏南京·校考一模)在平面直角坐标系 中,已知椭圆 的左、右 焦点分别 、 焦距为2,且与双曲线 共顶点.P为椭圆C上一点,直线 交椭圆C于另一点 Q. (1)求椭圆C的方程; (2)若点P的坐标为 ,求过P、Q、 三点的圆的方程; (3)若 ,且 ,求 的最大值. 【答案】(1) ;(2) ;(3) 【分析】(1)由焦距为2得到 ,再由双曲线的顶点求出 ,得到 ,椭圆方程; (2)求出 的方程,与椭圆方程联立后得到点Q的坐标,待定系数法求出圆的方程; (3)设 , ,由向量共线得到 ,将 两点坐标代入椭圆方程中,求出 ,从而表达出 ,结合基本不等式求出最值.【详解】(1)双曲线 的顶点坐标为 ,故 , 由题意得 ,故 , 故椭圆的方程为 . (2)因为 , ,所以 的方程为 , 由 ,解得点Q的坐标为 . 设过P,Q, 三点的圆为 , 则 ,解得 , , , 所以圆的方程为 ; (3)设 , , 则 , , 因为 ,所以 ,即 , 所以 ,解得 , 所以 ,因为 ,所以 ,当且仅当 , 即 时,取等号. 最大值为 1-3、(2023·黑龙江·黑龙江实验中学校考一模)已知椭圆 经过点 ,且椭 圆的长轴长为 . (1)求椭圆 的方程; (2)设经过点 的直线 与椭圆 相交于 、 两点,点 关于 轴的对称点为 ,直线 与 轴相 交于点 ,求 的面积 的取值范围. 【答案】(1) ;(2) 【分析】(1)根据已知条件可得出 的值,将点 的坐标代入椭圆 的方程,可得出 ,即可得出椭圆 的方程; (2)分析可知直线 不与 轴重合,设直线 的方程为 ,设点 、 ,将直 线 的方程与椭圆 的方程联立,列出韦达定理,写出直线 的方程,可求得点 的坐标,利用三角形的 面积公式以及对勾函数的单调性可求得 的取值范围. 【详解】(1)解:因为椭圆 的长轴长为 ,则 , 将点 的坐标代入椭圆 的方程可得 ,可得 , 所以,椭圆 的标准方程为 . (2)解:若 与 轴重合,则 不存在, 设直线 的方程为 ,设点 、 , 若 ,则点 与点 重合,不合乎题意,所以, , 联立 可得 ,, 由韦达定理可得 , , 易知点 , , 直线 的方程为 , 将 代入直线 的方程可得 ,即点 , , 所以, , 令 ,则函数 在 上为增函数, 所以, ,所以, . 故 的面积 的取值范围是 . 题型二 圆锥曲线中的定点问题 2-1、(2023·江苏南通·统考一模)已知双曲线 的左顶点为 ,过左焦点 的直线与 交于 两点.当 轴时, , 的面积为3. (1)求 的方程; (2)证明:以 为直径的圆经过定点. 【答案】(1) ;(2)见解析【分析】(1)根据题意,可得 , ,进而求解; (2)设 方程为 , ,联立直线和双曲线方程组,可得 ,以 为直径的圆的方程为 ,由对称性知以 为直径的圆必过 轴上的定点,进而得到 ,进而求解. 【详解】(1)当 轴时, 两点的横坐标均为 , 代入双曲线方程,可得 , ,即 , 由题意,可得 ,解得 , , , 双曲线 的方程为: ; (2)方法一:设 方程为 , ,以 为直径的圆的方程为 , 由对称性知以 为直径的圆必过 轴上的定点,令 ,可得 , 而 , , 对 恒成立, , 以 为直径的圆经过定点 ; 方法二:设 方程为 , 由对称性知以 为直径的圆必过 轴上的定点. 设以 为直径的圆过 , , 而 , ,,即 对 恒成立, ,即以 为直径的圆经过定点 . 2-2、(2023·山西·统考一模)双曲线 的左、右顶点分别为 , ,焦点到渐近线 的距离为 ,且过点 . (1)求双曲线 的方程; (2)若直线 与双曲线 交于 , 两点,且 ,证明直线 过定点. 【答案】(1) ;(2)见解析 【分析】(1)根据双曲线过点 和焦点到渐近线的距离为 列出方程组,解之即可; (2)设直线 的斜率为 ,由题意直线 的斜率为 ,将直线方程与双曲线方程联立,利用韦达定理 求出 , 两点的坐标,再求出 , 两点所在的直线方程即可求解. 【详解】(1)由双曲线 可得渐近线为 , 不妨取渐近线 即 由焦点到渐近线的距离为 可得 ,即 由题意得 ,得 , 从而双曲线 的方程为 . (2)设直线 的斜率为 ,则直线 的斜率为 , 由题意可知:直线 的方程为 ,直线 的方程为 ,联立直线 与双曲线方程 得 , 于是 ,从而 ,从而 , 联立直线 与双曲线方程 得 , 于是 ,从而 ,从而 , 于是 , 从而 , 化简得 ,从而 过定点 . 题型三 圆锥曲线中的定值问题 3-1、(2023·江苏南通·统考模拟预测)已知 , , 三个点在椭圆 ,椭 圆外一点 满足 , ,( 为坐标原点). (1)求 的值; (2)证明:直线 与 斜率之积为定值. 【答案】(1) ;(2)证明见解析 【分析】(1)设 ,根据向量关系用 表示 ,代入椭圆方程即可求解; (2)用 表示 ,代入斜率公式即可求解.【详解】(1)设 ,因为 ,所以 解得 , 又因为 ,所以 解得 , 因为点 在椭圆上, 所以 , 即 . (2)设直线 与 斜率分别为 , 是定值. 3-2、(2022·山东青岛·高三期末)已知 为坐标原点,点 在椭圆 上,椭 圆 的左右焦点分别为 ,且 . (1)求椭圆 的标准方程; (2)若点 在椭圆 上,原点 为 的重心,证明: 的面积为定值. 【解析】(1) 由椭圆 的左右焦点分别为 ,且 , 可知: ,即 ① ,将 代入方程 得: ②, ① ②联立解得 , ② 故椭圆的标准方程为 . (2) 证明:设 , 当直线 斜率不存在时,即 , 由原点 为 的重心,可知 故可得此时有 ,该点在椭圆上,则 , 不妨取 ,则有 ,或 , 则此时 ; 当直线 斜率存在时,不妨设 方程为 , 则联立 ,整理得: , 且需满足 , 则 , 2m 所以y + y =k(x +x )−2m= , 1 2 1 2 1+4k2 由原点 为 的重心知,x =−(x +x ),y =−(y + y ) , 0 1 2 0 1 2 故 坐标为 ,代入到 中,8km 2 −2m 2 化简得:( ) +4( ) =4 ,即4m2=1+4k2 , 1+4k2 1+4k2 又原点 为 的重心,故 到直线 的距离为原点 到直线 距离的3倍, 3|m| 所以d= , √1+k2 √ −8km 2 4(m2−1) 而|P P |=√1+k2|x −x |=√1+k2 ( ) −4× 1 2 1 2 1+4k2 1+4k2 4√4k2+1−m2 4√4m2−m2 = √1+k2× =√1+k2× 1+4k2 1+4k2 4√3|m| = √1+k2× , 1+4k2 1 1 4√3|m| 3|m| 因此S = ×|P P |×d= ×√1+k2× × △P 0 P 1 P 2 2 1 2 2 1+4k2 √1+k2 6√3|m|2 6√3|m|2 3√3 = = = , (1+4k2 ) 4m2 2 综合上述可知: 的面积为定值. 题型四 圆锥曲线中的角度问题 4-1、(2023·江苏南京·南京市秦淮中学校考模拟预测)设抛物线 的焦点为F,点 , 过F的直线交C于M,N两点.当直线MD垂直于x轴时, . (1)求C的方程; (2)设直线 与C的另一个交点分别为A,B,记直线 的倾斜角分别为 .当 取得最 大值时,求直线AB的方程. 【答案】(1) ;(2) . 【分析】(1)由抛物线的定义可得 ,即可得解;(2)法一:设点的坐标及直线 ,由韦达定理及斜率公式可得 ,再由差角的正切 公式及基本不等式可得 ,设直线 ,结合韦达定理可解. 【详解】(1)抛物线的准线为 ,当 与x轴垂直时,点M的横坐标为p, 此时 ,所以 , 所以抛物线C的方程为 ; (2)[方法一]:【最优解】直线方程横截式 设 ,直线 , 由 可得 , , 由斜率公式可得 , , 直线 ,代入抛物线方程可得 , ,所以 ,同理可得 , 所以 又因为直线MN、AB的倾斜角分别为 ,所以 , 若要使 最大,则 ,设 ,则 ,当且仅当 即 时,等号成立, 所以当 最大时, ,设直线 , 代入抛物线方程可得 , ,所以 , 所以直线 . 4-2、(2023·江苏徐州·徐州市第七中学校考一模)已知双曲线 的实轴长为4,左、右 顶点分别为 ,经过点 的直线 与 的右支分别交于 两点,其中点 在 轴上方.当 轴时, (1)设直线 的斜率分别为 ,求 的值; (2)若 ,求 的面积. 【答案】(1) ;(2) 【分析】(1)法一:根据实轴长,求得a值,根据题意,求得 ,可得b值,即可得曲线C方 程,设直线方程为 ,与双曲线联立,根据韦达定理,可得 表达式,代入 ,化简整理, 即可得答案. 法二:由题意,求得a,b的值,即可得曲线C方程,设 方程为 ,与双曲线联立,根据韦达 定理,可得 表达式,代入 ,化简整理,即可得答案.(2)法一:因为 ,根据二倍角的正切公式,结合 及 ,化简计算,可得 ,进而可得 方程,与曲线C联立,可得M点坐标,即可得直线 的方程,根据面积公式,即可得答案. 法二:设 ,由 ,结合二倍角正切公式,可得 的值,进而可得直线 方程,与曲线C联立,可得 ,同理可得 ,代入面积公式,即可得答案. 【详解】(1)法一: 因为 ,所以 ,令 得 , 所以 ,解得 , 所以 的方程为 显然直线 与 轴不垂直,设其方程为 , 联立直线 与 的方程 ,消去 得 , 当 时, , 设 ,则 . 因为 , 所以 . 法二: 由题意得 ,解得 ,双曲线 的方程为 . 设 方程为 , 联立 ,可得 , , , , . (2)法一: 因为 , 所以 , 又因为 , 所以 ,即 ,(※) 将 代入(※)得 , 因为 在 轴上方,所以 ,所以直线 方程为 , 联立 与直线 方程 ,消去 得, , 解得 或 (舍),所以 , 代入 ,得 ,所以直线 方程为 ,联立 与直线 方程 ,消去 得, , 解得 或 , 所以 的面积为 . 法二: 设 ,由 ,可得 , ,解得 , 方程 , 联立 ,可得 ,解得 , 同理联立 ,解得 , . 题型五 圆锥曲线中的探索性问题 5-1、(2023·江苏泰州·泰州中学校考一模)已知椭圆 的左右焦点分别为 , , 离心率是 ,P为椭圆上的动点.当 取最大值时, 的面积是 (1)求椭圆的方程: (2)若动直线l与椭圆E交于A,B两点,且恒有 ,是否存在一个以原点O为圆心的定圆C, 使得动直线l始终与定圆C相切?若存在,求圆C的方程,若不存在,请说明理由 【答案】(1) ;(2)存在,【分析】(1)根据余弦定理和基本不等式确定点P为椭圆短轴端点时, 取最大值,再根据三角形 面积及 ,求得 , , ,即可得到答案; (2)对直线的斜率分存在和不存在两种情况讨论,当直线斜率存在时,设直线 的方程为 , , ,利用向量数量积的坐标运算及韦达定理可得 ,即可得到答案; 【详解】(1)依题意可得 , 设 ,由余弦定理可知: , 所以 , 当且仅当 (即P为椭圆短轴端点)时等号成立,且 取最大值; 此时 的面积是 , 同时 ,联立 和 解得 , , , 所以椭圆方程为 . (2)当直线l斜率不存在时,直线l的方程为 , 所以 , ,此时 , 当直线 的斜率存在时,设直线 的方程为 , , , 原点O到直线1的距离为d,所以 , 整理得 ,由 ,可得 , , , , ,恒成立, 即 恒成立 , 所以 ,所以 , 所以定圆C的方程是 所以当 时 , 存在定圆C始终与直线l相切 , 其方程是 . 5-2、(2023·安徽·统考一模)我们约定,如果一个椭圆的长轴和短轴分别是另一条双曲线的实轴和虚轴, 则称它们互为“姊妺”圆锥曲线.已知椭圆 ,双曲线 是椭圆 的“姊妺”圆锥曲 线, 分别为 的离心率,且 ,点 分别为椭圆 的左、右顶点. (1)求双曲线 的方程; (2)设过点 的动直线 交双曲线 右支于 两点,若直线 的斜率分别为 .(i)试探究 与 的比值 是否为定值.若是定值,求出这个定值;若不是定值,请说明理由; (ii)求 的取值范围. 【答案】(1) ;(2)(i) 为定值 ;(ii) ; 【分析】(1)根据“姊妺”圆锥曲线的定义设出双曲线方程 ,利用 求得参数b的值, 即得答案. (2)(i)设 ,直线 的方程为 ,联立双曲线方程,可得根与系数的关系,结 合 的表达式,化简即可得出结论;(ii)设直线 ,代入双曲线方程,根据韦达定理可 解得 ,结合A在双曲线右支,可得 ,即可求得 的范围,同理求得 的范围,结 合二次函数性质,即可求得答案. 【详解】(1)由题意可设双曲线 , 则 ,解得 , 所以双曲线 的方程为 . (2)(i)设 ,直线 的方程为 , 由 ,消元得 .则 ,且 , ; 或由韦达定理可得 ,即 , , 即 与 的比值为定值 . (ii)设直线 ,代入双曲线方程并整理得 , 由于点 为双曲线的左顶点,所以此方程有一根为 ,. 由韦达定理得: ,解得 .因为点A在双曲线的右支上,所以 , 解得 ,即 , 同理可得 , 由(i)中结论可知 , 得 ,所以 , 故 , 设 ,其图象对称轴为 , 则 在 上单调递减,故 , 故 的取值范围为 . 另解:由于双曲线 的渐近线方程为 , 如图,过点 作两渐近线的平行线 与 ,由于点A在双曲线 的右支上, 所以直线 介于直线 与 之间(含 轴,不含直线 与 ),所以 . 同理,过点 作两渐近线的平行线 与 ,由于点 在双曲线 的右支上, 所以直线 介于直线 与 之间(不含 轴,不含直线 与 ), 所以 . 由(i)中结论可知 , 得 ,所以 , 故 1、(2023·安徽安庆·校考一模)已知椭圆 的焦点分别为 , ,且 ,上顶 点为 . (1)求椭圆的标准方程; (2)点 在椭圆上,若 ,求 的大小.【答案】(1) ;(2) 【分析】(1)由焦点和顶点坐标可得c和b的值,结合 得到a,从而得到椭圆方程;(2)由点 在 椭圆上和椭圆定义,得到 ,然后利用余弦定理计算即可. 【详解】(1)由已知得 , ,又 ∴ ∴椭圆的标准方程为 (2)点 在椭圆上∵ , ∴ ∴ ∴ 2、(2023·黑龙江大庆·统考一模)已知双曲线 与椭圆 有相同的焦点,且焦点到渐近线的距离 为2.(1)求双曲线 的标准方程; (2)设 为双曲线 的右顶点,直线 与双曲线 交于不同于 的 , 两点,若以 为直径的圆经过点 且 于 ,证明:存在定点 ,使得 为定值. 【分析】(1)由已知可设,双曲线 的标准方程为 ,根据条件列出a,c关系式, 解出代入方程即可; (2)对直线的斜率能否为0进行讨论.斜率不为0时,设 的方程为 ,联立直线与椭圆的方程,有 垂直关系时,在圆锥曲线中常用向量法,化简得到m,k的关系式;斜率不存在时,写出直线方程,验证 即可. 【详解】(1)设双曲线 的标准方程为 ,焦点为 , , 因为双曲线 与椭圆 有相同的焦点,所以 . 因为焦点到渐近线的距离为2,所以 ,从而 , 故双曲线 的标准方程为 (2)证明:设 , . ①当直线 的斜率存在时,设 的方程为 , 联立方程组 化简得 , 则 ,即 , 且 因为 , 所以, 化简得 所以 或 ,且均满足 . 当 时,直线 的方程为 ,直线 过定点 ,与已知矛盾; 当 时,直线 的方程为 ,过定点 ②当直线 的斜率不存在时,由对称性,不妨设DE方程为:y=x-1,联立方程组 ,得 得 , ,此时直线 过定点 因为 ,所以点 在以 为直径的圆上, 为该圆的圆心, 为该圆的半径,故存在定点 ,使得 为定值 . 3、(2022·南京9月学情【零模】)(本小题满分12分)在平面直角坐标系xOy中,椭圆C:(a>b>0)的左, 右顶点分别为A,B.F是椭圆的右焦点,=3,·=3. (1)求椭圆C的方程; (2)不过点A的直线l交椭圆C于M,N两点,记直线l,AM,AN的斜率分别为k,k ,k .若k(k +k)= 1 2 1 2 1,证明直线l过定点,并求出定点的坐标. 【考点】圆锥曲线中椭圆的标准方程、直线与椭圆的位置关系:定点问题 【解析】 (1)由题意,知A(-a,0),B(a,0),F(c,0). 因为=3,·=3, 所以…………………………………………………………………2分 解得从而b2=a2-c2=3. 所以椭圆C的方程.…………………………………………………………4分 (2)设直线l的方程为y=kx+m,M(x,y),N(x,y). 1 1 2 2 因为直线l不过点A,因此-2k+m≠0. 由得(. 则,xx=.…………………………………………………………6分 1 2 所以k+k=+= 1 2 = ==. 由k(k+k)=1,可得3k=m-2k,即m=5k.……………………………………………10分 1 2 故l的方程为y=kx+5k,恒过定点(-5,0).……………………………………………12分4、(2022·山东枣庄·高三期末)如图, 为椭圆 的左顶点,过原点且异于 轴的直线与椭圆 交于 两点,直线 与圆 的另一交点分别为 . 5、(2023·山西晋中·统考三模)椭圆 的左、右顶点分别为 ,过左焦点 的 直线与椭圆交于 两点(其中 点位于x轴上方),当 垂直于 轴时, . (1)求椭圆的方程; (2)记直线 的斜率分别为 ,求 的最小值. 【答案】(1) (2) . 【详解】(1)因为椭圆 的左焦点为 , 所以 , 将 代入 ,得 , 故 , 解得 , , ∴椭圆方程为 . (2)因为直线 过点 ,且点 位于x轴上方, 所以直线 斜率不为0,设直线 的方程为 ,联立 消去x得, . 方程 的判别式 , 设 , ,由已知 , 于是 , 所以 , , 又椭圆 的左顶点 的坐标为 ,右顶点 的坐标为 , 所以 , 因为 , , , 所以 , , 因为 , 所以 ,即 , 所以 ,当且仅当 ,即 时等号成立, 所以当 时, 取最小值,最小值为 .6、(2022·江苏苏州·高三期末)在平面直角坐标系 中,已知点 , ,直线 与直线 的斜率之积为 ,记动点 的轨迹为曲线 . (1)求曲线 的方程; (2)若点 为曲线 上的任意一点(不含短轴端点),点 ,直线 与直线 交于点 ,直线 与 轴交于点 ,记直线 的斜率为 ,直线 的斜率为 ,求证: 为定值. 【答案】(1) (2)证明见解析 【解析】 【分析】 (1)设 ,直接根据条件列方程,注意挖去两点,即可得到答案; (2)设 ,直线 方程为 ,将 , 用 表示,进行计算可得 为定值; (1) 设 , , , , , 曲线 的方程为 . (2) 设 ,直线 方程为 直线 方程为: , 方程为: 在 方程中令 ,联立 , , 为定值.