当前位置:首页>文档>专题19抛物线中的定点、定值、定直线问题(解析版)_2.2025数学总复习_2024年新高考资料_3.2024专项复习_2024年新高考数学之圆锥曲线专项重难点突破练(新高考专用)

专题19抛物线中的定点、定值、定直线问题(解析版)_2.2025数学总复习_2024年新高考资料_3.2024专项复习_2024年新高考数学之圆锥曲线专项重难点突破练(新高考专用)

  • 2026-04-01 01:18:30 2026-03-16 14:27:01

文档预览

专题19抛物线中的定点、定值、定直线问题(解析版)_2.2025数学总复习_2024年新高考资料_3.2024专项复习_2024年新高考数学之圆锥曲线专项重难点突破练(新高考专用)
专题19抛物线中的定点、定值、定直线问题(解析版)_2.2025数学总复习_2024年新高考资料_3.2024专项复习_2024年新高考数学之圆锥曲线专项重难点突破练(新高考专用)
专题19抛物线中的定点、定值、定直线问题(解析版)_2.2025数学总复习_2024年新高考资料_3.2024专项复习_2024年新高考数学之圆锥曲线专项重难点突破练(新高考专用)
专题19抛物线中的定点、定值、定直线问题(解析版)_2.2025数学总复习_2024年新高考资料_3.2024专项复习_2024年新高考数学之圆锥曲线专项重难点突破练(新高考专用)
专题19抛物线中的定点、定值、定直线问题(解析版)_2.2025数学总复习_2024年新高考资料_3.2024专项复习_2024年新高考数学之圆锥曲线专项重难点突破练(新高考专用)
专题19抛物线中的定点、定值、定直线问题(解析版)_2.2025数学总复习_2024年新高考资料_3.2024专项复习_2024年新高考数学之圆锥曲线专项重难点突破练(新高考专用)
专题19抛物线中的定点、定值、定直线问题(解析版)_2.2025数学总复习_2024年新高考资料_3.2024专项复习_2024年新高考数学之圆锥曲线专项重难点突破练(新高考专用)
专题19抛物线中的定点、定值、定直线问题(解析版)_2.2025数学总复习_2024年新高考资料_3.2024专项复习_2024年新高考数学之圆锥曲线专项重难点突破练(新高考专用)
专题19抛物线中的定点、定值、定直线问题(解析版)_2.2025数学总复习_2024年新高考资料_3.2024专项复习_2024年新高考数学之圆锥曲线专项重难点突破练(新高考专用)
专题19抛物线中的定点、定值、定直线问题(解析版)_2.2025数学总复习_2024年新高考资料_3.2024专项复习_2024年新高考数学之圆锥曲线专项重难点突破练(新高考专用)
专题19抛物线中的定点、定值、定直线问题(解析版)_2.2025数学总复习_2024年新高考资料_3.2024专项复习_2024年新高考数学之圆锥曲线专项重难点突破练(新高考专用)
专题19抛物线中的定点、定值、定直线问题(解析版)_2.2025数学总复习_2024年新高考资料_3.2024专项复习_2024年新高考数学之圆锥曲线专项重难点突破练(新高考专用)
专题19抛物线中的定点、定值、定直线问题(解析版)_2.2025数学总复习_2024年新高考资料_3.2024专项复习_2024年新高考数学之圆锥曲线专项重难点突破练(新高考专用)
专题19抛物线中的定点、定值、定直线问题(解析版)_2.2025数学总复习_2024年新高考资料_3.2024专项复习_2024年新高考数学之圆锥曲线专项重难点突破练(新高考专用)
专题19抛物线中的定点、定值、定直线问题(解析版)_2.2025数学总复习_2024年新高考资料_3.2024专项复习_2024年新高考数学之圆锥曲线专项重难点突破练(新高考专用)
专题19抛物线中的定点、定值、定直线问题(解析版)_2.2025数学总复习_2024年新高考资料_3.2024专项复习_2024年新高考数学之圆锥曲线专项重难点突破练(新高考专用)
专题19抛物线中的定点、定值、定直线问题(解析版)_2.2025数学总复习_2024年新高考资料_3.2024专项复习_2024年新高考数学之圆锥曲线专项重难点突破练(新高考专用)
专题19抛物线中的定点、定值、定直线问题(解析版)_2.2025数学总复习_2024年新高考资料_3.2024专项复习_2024年新高考数学之圆锥曲线专项重难点突破练(新高考专用)
专题19抛物线中的定点、定值、定直线问题(解析版)_2.2025数学总复习_2024年新高考资料_3.2024专项复习_2024年新高考数学之圆锥曲线专项重难点突破练(新高考专用)
专题19抛物线中的定点、定值、定直线问题(解析版)_2.2025数学总复习_2024年新高考资料_3.2024专项复习_2024年新高考数学之圆锥曲线专项重难点突破练(新高考专用)

文档信息

文档格式
docx
文档大小
1.252 MB
文档页数
20 页
上传时间
2026-03-16 14:27:01

文档内容

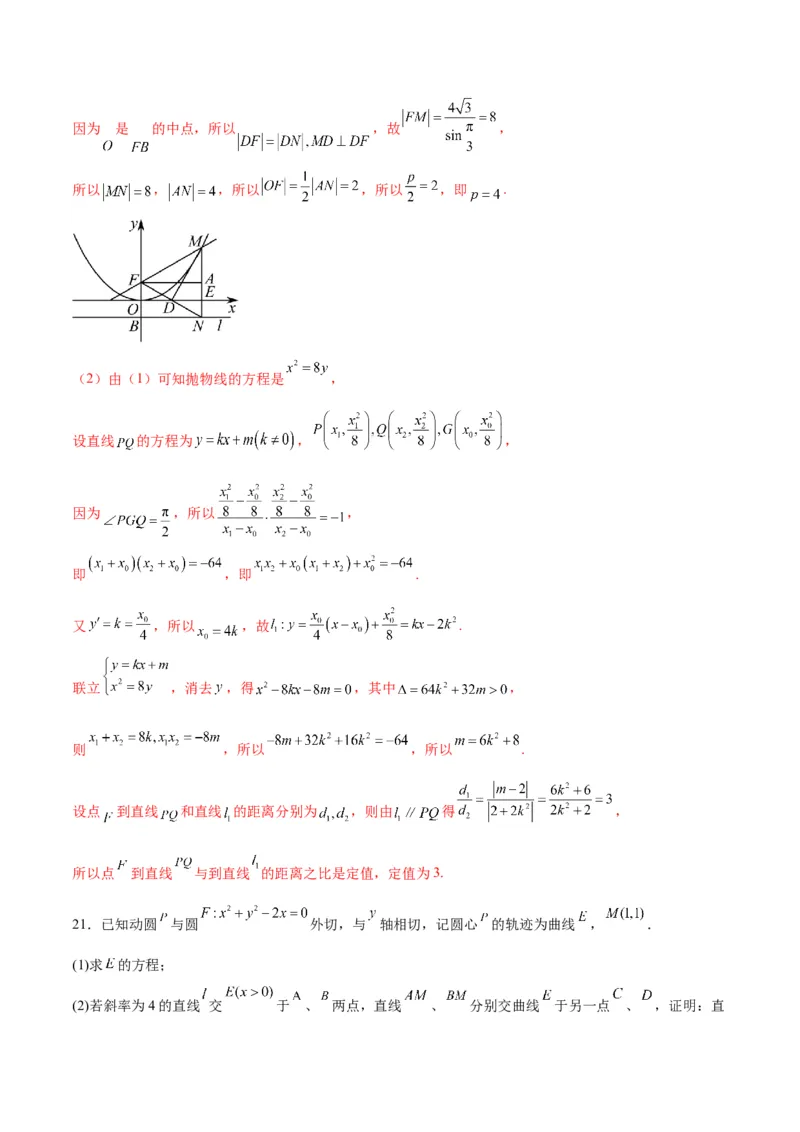
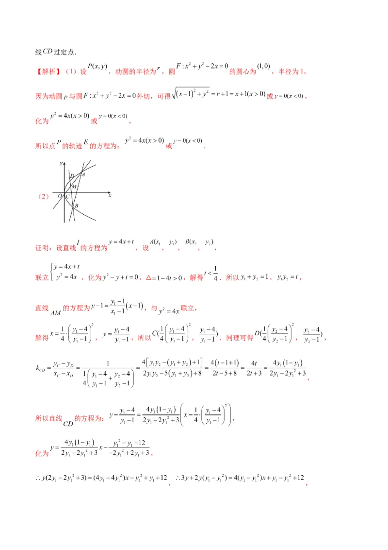
专题19 抛物线中的定点、定值、定直线问题 限时:120分钟 满分:150分 一、单选题:本大题共8小题,每个小题5分,共40分.在每小题给出的选项中,只有一项是符合题目要 求的. 1.已知点 ,过点 作直线l与抛物线 相交于A,B两点,设直线PA,PB的斜率分别 为 , ,则 ( ) A. B. C.2 D.无法确定 【解析】设直线方程为 ,联立抛物线方程可得 , 设 , ,可得 , 则 故选:A 2.已知抛物线 的焦点为 ,点 在抛物线上(异于顶点), (点 为坐标原点),过 点 作直线 的垂线与 轴交于点 ,则 ( ) A.6 B. C.4 D. 【解析】法一:依题意,设 ,由 ,得 为 的中点且 , 则 ,易得直线 的垂线 的方程为 . 令 ,得 ,故 ,由抛物线的定义易知 ,故 ,故选:A. 法二:特殊值法.不妨设 ,则 ,则 ,易得直线 的垂线 的方程为 .令 ,得 ,故 ,又 ,故 .故选:A. 3.过抛物线 的焦点 的直线l交抛物线 于 两点,若点P关于x轴对称的点为M,则直线 QM的方程可能为 A. B. C. D. 【解析】由题意,抛物线 的焦点为 ,准线方程为 , 设直线 方程为 ,联立方程 ,整理得 , 设 ,则 , , 过 三点向准线作垂线,垂足分别为 ,准线与 轴交于点 , 则 而 ,所以 , 因为 有公共点 ,所以 三点共线,即直线 一定过点 , 由四个选项可知,只有选项 经过点 .故选:D. 4.已知直线l与抛物线 交于不同的两点A,B,O为坐标原点,若直线 的斜率之积为 ,则直线l恒过定点( ) A. B. C. D. 【解析】设直线方程为 , 联立 ,整理得: , 需满足 ,即 ,则 , 由 ,得: , 所以 ,即 ,故 , 所以直线l为: ,当 时, ,即直线l恒过定点 ,故选:A. 5.已知抛物线 的焦点为 ,过 且不与 轴垂直的直线与抛物线相交于 、 两点, 为 轴 上一点,满足 ,则 ( ) A.为定值 B.为定值 C.不是定值,最大值为 D.不是定值,最小值为 【解析】若直线 与 轴重合,此时,直线 与抛物线 只有一个交点,不合乎题意; 由题意, ,设直线 的方程为 ,设点 、 , 联立 可得 , , 由韦达定理可得 ,则 , 所以, , 线段 的中点为 ,所以,直线 的方程为 ,在直线 的方程中,令 ,可得 ,即点 , 所以, ,因此, .故选:A. 6.已知点 ,设不垂直于 轴的直线 与抛物线 交于不同的两点 、 ,若 轴是 的 角平分线,则直线 一定过点( ) A. B. C. D. 【解析】根据题意,直线的斜率不等于零,且直线过的定点应该在 轴上, 设直线为 ,与抛物线方程联立,消元得 , 设 ,由 轴是 的角平分线, ∴ 且 , , ∴ 、 的斜率互为相反数,即 ,整理得 ,即 ,∴ ,解得 ,故直线过定点 .故选:A. 7.已知 、 、 是抛物线 上三个不同的点,且抛物线的焦点 是 的重心,若直线 、 、 的斜率存在且分别为 、 、 ,则 ( ) A.3 B. C.1 D.0 【解析】设 , ,则 , , 两式相减,得 ,则 , 设 ,同理可得 , , 因为焦点 是 的重心,所以 ,则 ,故选:D. 8.已知抛物线的方程为 ,过其焦点F的直线交此抛物线于M.N两点,交y轴于点E,若 , ,则 ( ) A. B. C.1 D. 【解析】根据条件可得F(1,0), 则设直线MN的方程为y=k(x﹣1),M(x,y),N(x,y), 1 1 2 2 所以E(0,﹣k),联立 ,整理可得k2x2﹣(2k2+4)x+k2=0, 则x+x= ,xx=1,因为 , , 1 2 1 2 所以λ(1﹣x)=x,λ(1﹣x)=x,即有λ= ,λ= , 1 1 1 2 2 2 1 2 所以 .故选:D. 二、多选题:本大题共4小题,每个小题5分,共20分.在每小题给出的选项中,只有一项或者多项是符 合题目要求的. 9.如图,过点 作两条直线 和 : ( )分别交抛物线 于 , 和 , (其中 , 位于 轴上方),直线 , 交于点 .则下列说法正确的( ) A. , 两点的纵坐标之积为B.点 在定直线 上 C.点 与抛物线上各点的连线中, 最短 D.无论 旋转到什么位置,始终有 【解析】设点 , 将直线l的方程 代入抛物线方程 得: .则 ,故A正确; 由题得 ,则 , , 直线 的方程为 ,直线 的方程为 , 消去y得 ,将 代入上式得 ,故点Q在直线 上,故B正确; 设抛物线上任一点 ,则 ,当 时, 最小,此 时 ,即 最短,故C正确; 因为 ,但 ,所以D错误. 故选:ABC. 10.已知抛物线 ,过其准线上的点 作 的两条切线,切点分别为A、B,下列说 法正确的是( ) A. B.当 时, C.当 时,直线AB的斜率为2 D.直线AB过定点 【解析】因为 为准线上的点,所以 ,解得 ,故A错;根据抛物线方程得到 ,则 ,设切点坐标为 , , 则 ,整理得 ,同理得 , 所以 , 为方程 的解, , 所以 ,则 ,故B正确; 由B选项得 ,所以 ,故C错; 由B选项得 ,又 ,联立得 , 同理得 ,所以直线AB的方程为 ,恒过点 ,故D正确. 故选:BD. 11.已知抛物线 的焦点为 ,准线为 , 、 是 上异于点 的两点( 为坐标原点)则下列 说法正确的是( ) A.若 、 、 三点共线,则 的最小值为 B.若 ,则 的面积为 C.若 ,则直线 过定点 D.若 ,过 的中点 作 于点 ,则 的最小值为【解析】对于A选项,易知抛物线 的焦点为 , 当直线 与 轴重合时,直线 与抛物线 只有一个公共点,不合乎题意, 设直线 的方程为 ,设点 、 , 联立 可得 , , 由韦达定理可得 , ,则 , 易知 , ,所以, , 当且仅当 时,等号成立,故 的最小值为 ,A对; 对于B选项,设点 , ,可得 ,所以, , 则 ,所以, ,B对; 对于C选项,易知 的斜率存在,设直线 的方程为 , 设点 、 ,由于直线 不过原点,所以, , 联立 可得 , , 由韦达定理可得 ,所以, , 因为 ,则 ,解得 , 所以,直线 的方程为 ,故直线 过定点 ,C错; 对于D选项,过点 作 于点 ,过点 作 于点 , 设 , ,所以 , 因为, 所以 ,则 的最小值为 ,当且仅当 时,等号成立,D对. 故选:ABD. 12.已知抛物线 , 为 轴正半轴上一点,则( ) A.存在点 ,使得过点 任意作弦 ,总有 为定值 B.不存在点 ,使得过点 任意作弦 ,有 为定值 C.存在点 ,使得过点 任意作弦 ,总有 为定值 D.不存在点 ,使得过点 任意作弦 ,有 为定值 【解析】设 , , , 由 ,可得 ,则有 , 所以 , ,所以 + , 所以当且仅当 时, , 即存在点 ,使得 为定值 ,故A正确,B错误; 由题意可得 , , 所以 , 如果 为定值,则必有 ,而此方程组无解, 所以 不为定值,故C错误,D正确. 故选:AD. 三、填空题:本大题共4小题,每小题5分,共20分.把答案填在答题卡中的横线上. 13.设A、B为抛物线 上的点,且 (O为原点),则直线 必过的定点坐标为 . 【解析】设直线 的方程为 ,联立方程组 ,解得 ,即 , 因为 ,则 的方程为 , 联立方程组 ,解得 ,即 , 可得直线 的方程为 ,令 ,可得 ,即直线 必经过定点 . 14.已知抛物线 和直线 ,点 为直线 上的动点(不在 轴上),以点 为圆心且过原点 的圆与直线 交于 , 两点,若直线 , 与 的另一个交点分别为 , ,记 直线 , 的斜率分别为 , ,则 . 【解析】如图,设直线 , 的方程分别为 , ,则 , , , 因为 为圆的直径, ,所以 . 联立 ,消去 得 , , ,同理可得 , , , , .15.已知AB,CD是过抛物线 焦点F且互相垂直的两弦,则 的值为 . 【解析】由题设,直线 、 的斜率一定存在, 设 为 , , ,联立抛物线方程,可得 且 , ∴ , ,而 , , ∴ , 由 ,设 为 , , ,联立抛物线, 可得 ,同理有 , ,∴ , 综上, . 16.经过抛物线 的焦点 的直线交此抛物线于 , 两点,抛物线在 , 两点处的切线相交 于点 ,则点 必定在直线 上.(写出此直线的方程) 【解析】抛物线 中 ,焦点为 ,设直线 方程为 ,代入抛物线整理得 ,设 , ,则 , . 由 得 ,∴过 点切线斜率为 ,切线方程为 ,即 , 同理过 点切线方程为 ,两式相除得 ,整理得 , 解得 ,所以点 在准线 上.四、解答题:本大题共6小题,共70分.解答应写出必要的文字说明、证明过程或演算步骤. 17.已知抛物线 , , 是C上两个不同的点. (1)求证:直线 与C相切; (2)若O为坐标原点, ,C在A,B处的切线交于点P,证明:点P在定直线上. 【解析】(1)联立 得 ,因为 在C上,则 , 所以 ,因此直线 与C相切. (2)由(1)知,设 ,切线 的方程为 ,切线 的方程为 , 联立 得 ,因为 , ,所以 . 又因为 ,所以 , 解得 ,所以 .故点P在定直线 上. 18.设抛物线 的焦点为F,过F且斜率为1的直线l与E交于A,B两点,且 . (1)求抛物线E的方程; (2)设 为E上一点,E在P处的切线与x轴交于Q,过Q的直线与E交于M,N两点,直线PM和PN 的斜率分别为 和 .求证: 为定值. 【解析】(1)由题意, ,直线l的方程为 ,代入 ,得 .于是 ,∴焦点弦 ,解得p=2.故抛物线E的方程为 . (2)因 在E上,∴m=2.设E在P处的切线方程为 ,代入 ,得.由 ,解得t=1, ∴P处的切线方程为y=x+1,从而得 . 易知直线MN的斜率存在,设其方程为 ,设 , . 将 代入 ,得 . 于是 , ,且 , . ∴ . 故 为定值2. 19.已知过点 的直线交抛物线 于A,B两点,且 (点O为坐标原点),M, N,P是抛物线上横坐标不同的三点,直线MP过定点 ,直线NP过定点 . (1)求该抛物线的标准方程; (2)证明:直线MN过定点. 【解析】(1)设直线AB方程为 , , , 联立得 ,消x得 ,得 , , 因为 ,所以 ,即 , , 所以抛物线的解析式为: .(2)设 , , , 因为M、P、C三点共线,所以 ,即 ,① 因为N、P、D三点共线,所以 ,即 ,② 直线MN方程为: ,即 ③ 由①②得 ,即 , 代入③得 ,所以直线MN过定点 . 20.已知抛物线 的焦点为 ,准线为 ,过点 且倾斜角为 的直线交抛物线于点 (M在第一象限), ,垂足为 ,直线 交 轴于点 , (1)求 的值. (2)若斜率不为0的直线 与抛物线 相切,切点为 ,平行于 的直线交抛物线 于 两点,且 ,点 到直线 与到直线 的距离之比是否为定值?若是,求出此定值;若不是,请说明理 由. 【解析】(1)如图所示,过点 作 ,垂足为 交 轴于点 , 由题得 ,所以 ,因为 ,所以△ 是等边三角形,因为 是 的中点,所以 ,故 , 所以 , ,所以 ,所以 ,即 . (2)由(1)可知抛物线的方程是 , 设直线 的方程为 , , 因为 ,所以 , 即 ,即 . 又 ,所以 ,故 . 联立 ,消去 ,得 ,其中 , 则 ,所以 ,所以 . 设点 到直线 和直线 的距离分别为 ,则由 得 , 所以点 到直线 与到直线 的距离之比是定值,定值为3. 21.已知动圆 与圆 外切,与 轴相切,记圆心 的轨迹为曲线 , . (1)求 的方程; (2)若斜率为4的直线 交 于 、 两点,直线 、 分别交曲线 于另一点 、 ,证明:直线 过定点. 【解析】(1)设 ,动圆的半径为 ,圆 的圆心为 ,半径为1, 因为动圆 与圆 外切,可得 或 , 化为 或 , 所以点 的轨迹 的方程为: 或 . (2) 证明:设直线 的方程为 ,设 , , , , 联立 ,化为 , ,解得 .所以 , , △ 直线 的方程为 ,与 联立, 解得 , ,所以 , .同理可得 , , , 所以直线 的方程为: , 化为 , , ,根据对应系数相等可得 ,得 ,则 , 所以直线 恒过定点 , . 22.已知抛物线E: (p>0),过点 的两条直线l,l 分别交E于AB两点和C,D两点.当 1 2 l 的斜率为 时, 1 (1)求E的标准方程: (2)设G为直线AD与BC的交点,证明:点G必在定直线上. 【解析】(1)当 的斜率为 时,得 方程为 , 由 ,消元得 , , , ; 由弦长公式得 , 即 ,解得 或 (舍去), 满足 , 从而 的标准方程为 . (2)法一:因为l,l 分别交E于AB两点和C,D两点,所以直线斜率存在 1 2 设直线 的方程为 ,设 , 由 ,消去 得 ,则 . 设直线 的方程为 ,同理 ,消去 得 可得 . 直线 方程为 ,即 , 化简得 ,同理,直线 方程为 , 因为 在抛物线的对称轴上,由抛物线的对称性可知,交点 必在垂直于 轴的直线上,所以只需证 的横坐标为定值即可.由 消去 , 因为直线 与 相交,所以 , 解得 所以点 的横坐标为2,即直线 与 的交点 在定直线 上. 法二:设直线 方程为 ,由 消去 得 , 设 ,则 . 设直线 的方程为 ,同理可得 . 直线 方程为 ,即 , 化简得 ,同理,直线 方程为 ,.因为 在抛物线的对称轴上,由抛物线的对称性可知,交点 必在垂直于 轴的直线上,所以只需证 的横坐标为定值即可.由 消去 , 因为直线 与 相交,所以 , 解得 所以点 的横坐标为2,即直线 与 的交点 在定直线 上.