当前位置:首页>文档>专题4.9函数y=Asin(ωx+φ)的图象及应用-重难点题型精讲(举一反三)(新高考地区专用)(解析版)_2.2025数学总复习_2023年新高考资料_一轮复习

专题4.9函数y=Asin(ωx+φ)的图象及应用-重难点题型精讲(举一反三)(新高考地区专用)(解析版)_2.2025数学总复习_2023年新高考资料_一轮复习

  • 2026-04-14 17:19:45 2026-03-18 01:44:36

文档预览

专题4.9函数y=Asin(ωx+φ)的图象及应用-重难点题型精讲(举一反三)(新高考地区专用)(解析版)_2.2025数学总复习_2023年新高考资料_一轮复习
专题4.9函数y=Asin(ωx+φ)的图象及应用-重难点题型精讲(举一反三)(新高考地区专用)(解析版)_2.2025数学总复习_2023年新高考资料_一轮复习
专题4.9函数y=Asin(ωx+φ)的图象及应用-重难点题型精讲(举一反三)(新高考地区专用)(解析版)_2.2025数学总复习_2023年新高考资料_一轮复习
专题4.9函数y=Asin(ωx+φ)的图象及应用-重难点题型精讲(举一反三)(新高考地区专用)(解析版)_2.2025数学总复习_2023年新高考资料_一轮复习
专题4.9函数y=Asin(ωx+φ)的图象及应用-重难点题型精讲(举一反三)(新高考地区专用)(解析版)_2.2025数学总复习_2023年新高考资料_一轮复习
专题4.9函数y=Asin(ωx+φ)的图象及应用-重难点题型精讲(举一反三)(新高考地区专用)(解析版)_2.2025数学总复习_2023年新高考资料_一轮复习
专题4.9函数y=Asin(ωx+φ)的图象及应用-重难点题型精讲(举一反三)(新高考地区专用)(解析版)_2.2025数学总复习_2023年新高考资料_一轮复习
专题4.9函数y=Asin(ωx+φ)的图象及应用-重难点题型精讲(举一反三)(新高考地区专用)(解析版)_2.2025数学总复习_2023年新高考资料_一轮复习
专题4.9函数y=Asin(ωx+φ)的图象及应用-重难点题型精讲(举一反三)(新高考地区专用)(解析版)_2.2025数学总复习_2023年新高考资料_一轮复习
专题4.9函数y=Asin(ωx+φ)的图象及应用-重难点题型精讲(举一反三)(新高考地区专用)(解析版)_2.2025数学总复习_2023年新高考资料_一轮复习
专题4.9函数y=Asin(ωx+φ)的图象及应用-重难点题型精讲(举一反三)(新高考地区专用)(解析版)_2.2025数学总复习_2023年新高考资料_一轮复习
专题4.9函数y=Asin(ωx+φ)的图象及应用-重难点题型精讲(举一反三)(新高考地区专用)(解析版)_2.2025数学总复习_2023年新高考资料_一轮复习
专题4.9函数y=Asin(ωx+φ)的图象及应用-重难点题型精讲(举一反三)(新高考地区专用)(解析版)_2.2025数学总复习_2023年新高考资料_一轮复习
专题4.9函数y=Asin(ωx+φ)的图象及应用-重难点题型精讲(举一反三)(新高考地区专用)(解析版)_2.2025数学总复习_2023年新高考资料_一轮复习
专题4.9函数y=Asin(ωx+φ)的图象及应用-重难点题型精讲(举一反三)(新高考地区专用)(解析版)_2.2025数学总复习_2023年新高考资料_一轮复习
专题4.9函数y=Asin(ωx+φ)的图象及应用-重难点题型精讲(举一反三)(新高考地区专用)(解析版)_2.2025数学总复习_2023年新高考资料_一轮复习
专题4.9函数y=Asin(ωx+φ)的图象及应用-重难点题型精讲(举一反三)(新高考地区专用)(解析版)_2.2025数学总复习_2023年新高考资料_一轮复习
专题4.9函数y=Asin(ωx+φ)的图象及应用-重难点题型精讲(举一反三)(新高考地区专用)(解析版)_2.2025数学总复习_2023年新高考资料_一轮复习
专题4.9函数y=Asin(ωx+φ)的图象及应用-重难点题型精讲(举一反三)(新高考地区专用)(解析版)_2.2025数学总复习_2023年新高考资料_一轮复习
专题4.9函数y=Asin(ωx+φ)的图象及应用-重难点题型精讲(举一反三)(新高考地区专用)(解析版)_2.2025数学总复习_2023年新高考资料_一轮复习
专题4.9函数y=Asin(ωx+φ)的图象及应用-重难点题型精讲(举一反三)(新高考地区专用)(解析版)_2.2025数学总复习_2023年新高考资料_一轮复习
专题4.9函数y=Asin(ωx+φ)的图象及应用-重难点题型精讲(举一反三)(新高考地区专用)(解析版)_2.2025数学总复习_2023年新高考资料_一轮复习
专题4.9函数y=Asin(ωx+φ)的图象及应用-重难点题型精讲(举一反三)(新高考地区专用)(解析版)_2.2025数学总复习_2023年新高考资料_一轮复习
专题4.9函数y=Asin(ωx+φ)的图象及应用-重难点题型精讲(举一反三)(新高考地区专用)(解析版)_2.2025数学总复习_2023年新高考资料_一轮复习
专题4.9函数y=Asin(ωx+φ)的图象及应用-重难点题型精讲(举一反三)(新高考地区专用)(解析版)_2.2025数学总复习_2023年新高考资料_一轮复习
专题4.9函数y=Asin(ωx+φ)的图象及应用-重难点题型精讲(举一反三)(新高考地区专用)(解析版)_2.2025数学总复习_2023年新高考资料_一轮复习
专题4.9函数y=Asin(ωx+φ)的图象及应用-重难点题型精讲(举一反三)(新高考地区专用)(解析版)_2.2025数学总复习_2023年新高考资料_一轮复习
专题4.9函数y=Asin(ωx+φ)的图象及应用-重难点题型精讲(举一反三)(新高考地区专用)(解析版)_2.2025数学总复习_2023年新高考资料_一轮复习
专题4.9函数y=Asin(ωx+φ)的图象及应用-重难点题型精讲(举一反三)(新高考地区专用)(解析版)_2.2025数学总复习_2023年新高考资料_一轮复习
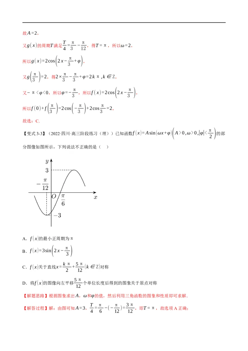
专题4.9函数y=Asin(ωx+φ)的图象及应用-重难点题型精讲(举一反三)(新高考地区专用)(解析版)_2.2025数学总复习_2023年新高考资料_一轮复习

文档信息

文档格式
docx
文档大小
2.115 MB
文档页数
30 页
上传时间
2026-03-18 01:44:36

文档内容

专题 4.9 函数 的图象及应用-重难点题型精讲 1.匀速圆周运动的数学模型 筒车是我国古代发明的一种水利灌溉工具,因其经济又环保,至今还在农业生产中得到使用(图5.6-2). 明朝科学家徐光启在《农政全书》中用图画描绘了筒车的工作原理(图5.6-2). 假定在水流量稳定的情况下,筒车上的每一个盛水筒都做匀速圆周运动. 2. , A对函数 的图象的影响 (1) 对 的图象的影响 函数 (其中 )的图象,可以看作是把正弦曲线 上所有的点向左(当 >0 时) 或向右(当 <0时)平移| |个单位长度而得到(可简记为“左加右减”). (2) 对 的图象的影响 函数 的图象,可以看作是把 的图象上所有点的横坐标缩短(当 >1时)或 伸长(当0< <1时)到原来的 倍(纵坐标不变)而得到. (3) 对 的图象的影响 函数 的图象,可以看作是把 图象上所有点的纵坐标伸长(当A>1时) 或缩短(当00,A>0)的图象,即: 二是由诱导公式将余弦型函数 转化为正弦型函数,即 ,再由 的图象通过变换作图法得到 的图象即可.【题型1 函数 的图象】 【方法点拨】 用“五点法”画函数 (x∈R)的简图,先作变量代换,令X= ,再用方程思想由X 取 来确定对应的x值,最后根据x,y的值描点、连线、扩展,画出函数的图象. π 【例1】(2021·全国·高一专题练习)用五点法作函数f(x)=sin(2x− )的图象时,所取的“五点”是 3 ( ) π 5π 2π 11π 7π A.( ,0),( ,1),( ,0),( ,−1),( ,0) 6 12 3 12 6 π 5π 2π 11π 11π B.( ,0),( ,1),( ,0),( ,−1),( ,0) 6 12 3 12 6 π 5π 2π 11π 7π C.( ,0),( ,1),( ,1),( ,−1),( ,0) 6 12 3 12 6 π 5π 2π 11π 7π D.( ,0),( ,0),( ,0),( ,−1),( ,0) 6 12 3 12 6 π π 【解题思路】令2x- =0可得x= ,再由函数的最小正周期可得选项. 3 6 π π 2π 1 π 【解答过程】令2x- =0可得x= ,又函数的最小正周期为T= =π,则 T= , 3 6 2 4 4 π 5π 2π 11π 7π 所以五点的坐标依次是( ,0),( ,1),( ,0),( ,−1),( ,0). 6 12 3 12 6 故选:A. ( π) 【变式1-1】(2022·全国·高一课时练习)用“五点法”作函数y=cos 4x− 在一个周期内的图像时, 6 第四个关键点的坐标是 (5π ) ( 5π ) A. ,0 B. − ,1 12 12 (5π ) ( 5π ) C. ,1 D. − ,0 12 12 【解题思路】利用余弦函数的五点作图求解即可π 3π 5π (5π ) 【解答过程】令4x− = ,得x= .∴该点坐标为 ,0 . 6 2 12 12 故选A. 【变式1-2】(2022·广东揭阳·高一期末)某同学用“五点法”画函数 π f (x)=Asin(ωx+φ) ( ω>0,|φ|< ) 在某一个周期内的图象时,列表并填入了部分数据,如下表: 2 π 3π ωx+φ 0 π 2π 2 2 π 5π x 3 6 Asin(ωx+φ) 0 5 −5 0 π 根据表格中的数据,函数f (x)的解析式可以是( )A.f (x)=5sin ( 2x− ) B. 6 π f (x)=5sin ( 2x+ ) 6 π π C.f (x)=5sin ( 2x− ) D.f (x)=5sin ( 2x+ ) 3 3 【解题思路】根据函数最值,可求得A值,根据周期公式,可求得ω值,代入特殊点,可求得φ值,即可 得答案. 【解答过程】由题意得最大值为5,最小值为-5,所以A=5, T 5π π π 2π = − = ,解得T=π= ,解得ω=2, 2 6 3 2 ω π π π 又2× +φ= ,解得φ=− , 3 2 6 π 所以f (x)的解析式可以是f (x)=5sin ( 2x− ) , 6 故选:A. ( π) 【变式1-3】(2022·全国·高一课时练习)用五点法作函数y=Asin(ωx+φ) A>0,ω>0,|φ|< 的图象 2 时,得到如下表格: π 2π x 6 3π 3π ωx+φ 0 π 2π 2 2 y 0 4 0 -4 0 π 1 π π 1 则A,ω,φ的值分别为( )A.4,2,− B.4, , C.4,2, D.4, 3 2 3 6 2 π ,− 6 π 【解题思路】由表中数据求出A、T的值,利用周期公式可求ω的值,根据图象过( ,0),即可求得φ的 6 值. 【解答过程】解:由表中的最大值为4,最小值为−4,可得A=4, 2π π 1 2π 由 − = T,则T=π,∴ω= =2, 3 6 2 π π ∵y=4sin(2x+φ),图象过( ,0), 6 π π π ∴0=4sin( ×2+φ),∴ ×2+φ=2kπ,(k∈Z),解得φ=2kπ− , 6 6 3 π π ∵|φ|< ,∴当k=0时,φ=− . 2 3 故选:A. 【题型2 三角函数的图象变换】 【方法点拨】 可以使用“先伸缩后平移”或“先平移后伸缩”两种方法来进行变换. ( π) 【例2】(2022·山西临汾·高三期中)为了得到y=sin3x的图象,只需将y=cos 3x− 的图象( ) 4 3π 7π A.向左平移 个单位长度 B.向左平移 个单位长度 4 12 5π π C.向右平移 个单位长度 D.向右平移 个单位长度 4 4 【解题思路】由函数图像平移的左加右减原则即可求解. ( π) 【解答过程】设f(x)=cos 3x− , 47π 7π π 3π 由f(x+ )=cos[3(x+ )− ]=cos(3x+ )=sin3x得: 12 12 4 2 ( π) 7π 只需将y=cos 3x− 的图象向左平移 个单位长度, 4 12 即可得到y=sin3x的图象. 故选:B. 【变式2-1】(2022·贵州遵义·高三期中(理))为了得到函数y=sinx的图象,只要把函数 π y=sin ( x+ ) 图象上所有的点( ) 3 π π A.向右平移 个单位长度 B.向左平移 个单位长度 6 6 π π C.向右平移 个单位长度 D.向左平移 个单位长度 3 3 【解题思路】根据三角函数图象的平移变换规律,即可判断出答案. π π 【解答过程】因为sinx=sin[(x+ )− ],故为了得到函数y=sinx的图象, 3 3 π π 只要把函数y=sin ( x+ ) 图象上所有的点向右平移 个单位长度, 3 3 故选:C. π 【变式2-2】(2022·天津·高一期末)已知函数f (x)=sin(ωx+φ)(其中ω>0,|φ|< )图像相邻两条 2 π ( π ) 对称轴的距离为 ,一个对称中心为 - ,0 ,为了得到g(x)=sinωx的图像,只需将f (x)的图像 2 6 ( ) π π A.向左平移 个单位 B.向左平移 个单位 6 12 π π C.向右平移 个单位 D.向右平移 个单位 6 12 ( π) 【解题思路】根据三角函数的性质得f (x)=sin 2x+ ,再根据平移变换求解即可. 3 π 2π 【解答过程】解:由题设T=2× =π,所以ω= =2, 2 π 所以,f (x)=sin(2x+φ),( π ) π 因为一个对称中心为 - ,0 ,且|φ|< , 6 2 π π π 所以,将(- ,0)代入可得sin(- +φ)=0,解得φ= , 6 3 3 ( π) [ ( π)] 所以,f (x)=sin 2x+ =sin 2 x+ , 3 6 π 所以,函数f (x)的图像向右平移 个单位可得到g(x)=sin2x的图像. 6 故选:C. ( 2π ) 【变式2-3】(2022·江西·高三阶段练习(文))为了得到函数y=2cos 2x- 的图象,只需将函数 3 y=2sinx的图象( ) 1 π A.所有点的横坐标缩短到原来的 ,纵坐标不变,再向右平移 个单位长度 2 12 π B.所有点的横坐标伸长到原来的2倍,纵坐标不变,再向左平移 个单位长度 6 π C.向右平移 个单位长度,再将所得图象所有点的横坐标伸长到原来的2倍,纵坐标不变 3 π 1 D.向左平移 个单位长度,再将所得图象所有点的横坐标缩短到原来的 ,纵坐标不变 6 2 【解题思路】根据三角函数平移和伸缩变换原则,结合诱导公式可得到结果. 1 π 【解答过程】对于A,将y=2sinx横坐标缩短到原来的 ,可得y=2sin2x;再向右平移 个单位,可 2 12 [ ( π )] ( π) (π 2π ) ( 2π ) 得y=2sin 2 x- =2sin 2x- =2sin +2x- =2cos 2x- ,A正确; 12 6 2 3 3 1 π 对于B,将y=2sinx横坐标伸长到原来的2倍,可得y=2sin x;再向左平移 个单位,可得 2 6 [1( π)] (1 π ) y=2sin x+ =2sin x+ ,B错误; 2 6 2 12 π ( π) 对于C,将y=2sinx向右平移 个单位,可得y=2sin x- ;再将所有点的横坐标伸长到原来的2倍, 3 3(1 π) 可得y=2sin x- ,C错误; 2 3 π ( π) 1 对于D,将y=2sinx向左平移 个单位,可得y=2sin x+ ;再将所有点的横坐标缩短到原来的 , 6 6 2 ( π) (π π) ( π) 可得y=2sin 2x+ =2sin +2x- =2cos 2x- ,D错误. 6 2 3 3 故选:A. 【题型3 由图象确定函数 的解析式】 【方法点拨】 根据部分图象求出解析式中的A, ,即可得解. π π 【例3】(2022·四川省高三阶段练习(文))函数 f (x)=2sin(ωx+φ) (ω>0,- <φ< ) 的部分 2 2 图象如图所示,则ω,φ的值分别是( ) π π A.2,− B.2,− 3 6 π π C.4,− D.4, 6 3 【解题思路】根据周期即可求解ω,代入最高点即可求解φ. (11π 5π) 【解答过程】由图象知函数周期 T=2 − =π, 12 12 2π (5π ) ∴ω= =2, 把 ,2 代入解析式, π 12 ( 5π ) (5π ) 得2=2sin 2× +φ , 即sin +φ =1. 12 65π π π ∴ +φ= +2kπ(k∈Z),φ=− +2kπ(k∈Z). 6 2 3 π π π 又− <φ< ,∴φ=− . 2 2 3 故选:A. π 【变式3-1】(2022·天津市高三期中)已知函数f (x)=Asin(ωx+φ)+b(其中A>0,ω>0,|φ|< )的 2 部分图像如下图,则f (2023π)=( ) √3 √3 A.−√3−1 B.√3−1 C. D. +1 2 2 【解题思路】由图像最高的与最低点x的距离得出f (x)的周期,通过周期得到ω; 再由函数最小值点的x值与三角函数性质得出φ; 再由图像上两点代入f (x)得出A,b; 通过周期得到f (2023π)=f (0)即可代入f (x)得出答案. 【解答过程】设图中最高点的x=a, 由正弦型函数的性质可得x=a是f (x)的一条对称轴, π π − + 则 12 4 π , a= = 2 12 1 π ( 5π) π 则由图可得 T= − − = , 2 12 12 2 2π 则T= =π, |ω| ∵ω>0, ∴ω=2, 5π ∵A>0,且x=− 为f (x)最小值点的x值, 12( 5π) π π ∴2× − +φ=2kπ− ,即φ=2kπ+ , 12 2 3 π ∵|φ|< , 2 π ∴φ= , 3 ( π) ∴f (x)=Asin 2x+ +b, 3 ( 5π ) ( π ) 由图知f (x)上的点 − ,−3 与 − ,0 , 12 12 ( π) 代入f (x)=Asin 2x+ +b得:¿, 3 化简为¿,解得¿, ( π) 则f (x)=2sin 2x+ −1, 3 ∵f (x)的周期为π, ( π) ∴f (2023π)=f (0)=2sin 2×0+ −1=√3−1. 3 故选:B. 【变式3-2】(2022·江西·高三阶段练习(理))将函数f(x)=Acos(ωx+φ)(A>0,ω>0,−π<φ<0)的 π π 图象上所有点向右平移 个单位长度,得到如图所示的函数y=g(x)的图象,则f(0)+f ( )=( ) 6 3 A.0 B.1 C.2 D.−1 【解题思路】由三角函数的图象变换得到g(x)的解析式,再由其图象性质得出A,ω,φ后计算原式 【解答过程】依题意,g(x)=Acos [ ω ( x− π )+φ ] =Acos ( ωx− ωπ +φ ) , 6 6故A=2, T π π 又g(x)的周期T满足 = − ,得T=π,所以ω=2, 4 3 12 π 所以g(x)=2cos ( 2x− +φ ) , 3 π π π 又g ( )=2,得2× − +φ=2kπ,k∈Z, 3 3 3 π π 又−π<φ<0,所以φ=− ,所以f(x)=2cos ( 2x− ) , 3 3 π π π 所以f(0)+f ( )=2cos ( − )+2cos =2, 3 3 3 故选:C. π 【变式3-3】(2022·四川·高三阶段练习(理))已知函数f (x)=Asin(ωx+φ) ( A>0,ω>0,|φ|< ) 的部 2 分图像如图所示,下列说法不正确的是( ) A.f (x)的最小正周期为π π B.f (x)=3sin ( 2x− ) 3 kπ 5π C.f (x)关于直线x= + (k∈Z)对称 2 12 5π D.将f (x)的图像向左平移 个单位长度后得到的图象关于原点对称 12 【解题思路】根据图象求出A,ω和φ的值,然后利用三角函数的图象和性质即可求解. T π π 3π 【解答过程】解:由图可知A=3, = −(− )= ,即T=π,故选项A正确; 4 6 12 122π 由 =π,可得ω=2,则f(x)=3sin(2x+φ), ω π π π π 因为f(− )=3sin[2×(− )+φ]=3sin(− +φ)=−3,即sin(− +φ)=−1, 12 12 6 6 π π π 所以− +φ=2kπ− ,k∈Z,得φ=2kπ− ,k∈Z, 6 2 3 π π π 因为 |φ|< ,所以φ=− ,所以f(x)=3sin(2x− ),故选项B正确; 2 3 3 π π kπ 5π 由2x− =kπ+ ,k∈Z ,可得x= + (k∈Z), 3 2 2 12 kπ 5π 即f (x)关于直线x= + (k∈Z)对称,故选项C正确; 2 12 5π 5π π π 将f(x)的图象向左平移 个单位长度后得到y=3sin[2(x+ )− ]=3sin(2x+ )=3cos2x, 12 12 3 2 所以f(x)为偶函数,图象不关于原点对称. 故选:D. 【题型4 图象与性质的综合应用】 【方法点拨】 结合具体题目,研究函数 的图象与性质时,可将 看作一个整体,利用换元法和 数 形结合思想灵活求解. 【例4】(2022·山东·高二阶段练习)已知函数f (x)=Asin(ωx+φ)(A>0,ω>0,|φ|<π)的部分图像 如图所示. (1)求f (x)的解析式及对称中心;(α) 4 ( π) (2)若f = ,求cos 2α+ 值; 2 3 3 1 (3)先将f (x)的图像横坐标不变,纵坐标缩短到原来的 倍,得到函数g(x)图像,再将g(x)图像右平移 2 π [ π 3π ] 个单位后得到ℎ (x)的图像,求函数y= ℎ (x)在x∈ , 上的单调减区间. 12 12 4 3 3π ( 5π ) 【解题思路】(1)根据函数图像得A=2, T= ,ω=2,进而根据|φ|<π,再将点 ,2 代入求解 4 4 12 π 得φ=- ,最后求解对称中心即可; 3 ( π) 2 ( π) ( π) (2)结合(1)得sin α- = ,再根据 2α+ -2 α- =π,结合二倍角公式求解即可; 3 3 3 3 [π 3π ] 3π (3)由函数图像平移变换得ℎ (x)=-cos2x,进而得2x∈ , ,再解不等式π≤2x≤ 即可得 6 2 2 答案. 【解答过程】(1) 解:由图可知,A=2, 3 T= 5π - ( - π) = 3π ,即T=π= 2π ,解得ω=2, 4 12 3 4 ω 所以f (x)=2sin(2x+φ), ( 5π ) ( 5π ) 5π π 再将点 ,2 代入得2=2sin +φ ,即 +φ= +2kπ,k∈Z, 12 6 6 2 π 因为|φ|<π,所以φ=- , 3 ( π) 所以f (x)=2sin 2x- . 3 π π kπ 令2x- =kπ,k∈Z,解得x= + ,k∈Z, 3 6 2 (π kπ ) 所以,f (x)的对称中心为 + ,0 ,k∈Z 6 2 (2) ( π) 解:由(1)知f (x)=2sin 2x- , 3 (α) ( π) 4 ( π) 2 所以f =2sin α- = ,即sin α- = , 2 3 3 3 3( π) ( π) 因为 2α+ -2 α- =π, 3 3 所以cos ( 2α+ π) =cos [ π+2 ( α- π)] =-cos [ 2 ( α- π)] =2sin2( α- π) -1=- 1 . 3 3 3 3 9 (3) 1 ( π) 解:将f (x)的图像横坐标不变,纵坐标缩短到原来的 倍得g(x)=sin 2x- , 2 3 π ( π π) 再将g(x)图像右平移 个单位后得到ℎ (x)的图像,故ℎ (x)=sin 2x- - =-cos2x, 12 6 3 [ π 3π ] [π 3π ] 因为x∈ , ,所以2x∈ , , 12 4 6 2 3π π 3π 所以令π≤2x≤ ,解得 ≤x≤ , 2 2 4 [ π 3π ] [π 3π ] 所以,函数y= ℎ (x)在x∈ , 上的单调减区间为 , . 12 4 2 4 【变式4-1】(2022·江西·高二阶段练习)已知函数f (x)=Asin(ωx+φ)(A>0,ω>0,|φ|<π)的部分图 2 象如图所示,将函数f (x)的图象上所有点的横坐标变为原来的 ,纵坐标不变,再将所得函数图象向右平 3 π 移 个单位长度,得到函数g(x)的图象. 6 (1)求函数g(x)的解析式; [ π] 2 (2)若对于∀x∈ 0, ,[g(x)] −mg(x)−3≤0恒成立,求实数m的取值范围. 3 【解题思路】(1)先根据函数图象求出f (x)的解析,再利用图象变换规律可求出g(x)的解析式; [ π] π [π 7π] (2)由x∈ 0, ,得3x+ ∈ , ,从而可得g(x)∈[−1,2],然后分g(x)=0, 3 6 6 6g(x)∈[−1,0)和g(x)∈(0,2]求解即可. 【解答过程】(1) T 5π π π 由f (x)的图象可得A=2, = − ( − )= , 2 12 12 2 2π 所以T=π,所以 =π,得ω=2, ω 所以f (x)=2sin(2x+φ)(|φ|<π), (5π ) 因为f (x)的图象过 ,−2 , 12 ( 5π ) (5π ) 所以2sin 2× +φ =−2,所以sin +φ =−1, 12 6 5π π 4π 所以 +φ=2kπ− ,k∈Z,得φ=2kπ− ,k∈Z, 6 2 3 2π 因为|φ|<π,所以φ= , 3 2π 所以f (x)=2sin ( 2x+ ) , 3 2 将函数f (x)的图象上所有点的横坐标变为原来的 ,纵坐标不变,可得 3 y=2sin ( 2× 3 x+ 2π) =2sin ( 3x+ 2π ) , 2 3 3 π 再将所得函数图象向右平移 个单位长度,得 6 y=2sin [ 3 ( x− π )+ 2π] =2sin ( 3x+ π ) , 6 3 6 π 所以g(x)=2sin ( 3x+ ) 6 (2) [ π] π [π 7π] 由x∈ 0, ,得3x+ ∈ , , 3 6 6 6 所以sin ( 3x+ π ) ∈ [ − 1 ,1 ] , 6 2 π 所以2sin ( 3x+ ) ∈[−1,2], 6 所以g(x)∈[−1,2],当g(x)=0时,−3≤0恒成立, 当g(x)∈[−1,0)时,则由[g(x)] 2 −mg(x)−3≤0, 3 得m≤g(x)− , g(x) 3 因为函数y=x− 在[−1,0)上为增函数, x [ 3 ] 3 所以 g(x)− =−1− =2 g(x) −1 min 所以m≤2, 当g(x)∈(0,2],则由[g(x)] 2 −mg(x)−3≤0, 3 得m≥g(x)− , g(x) 3 因为函数y=x− 在(0,2]上为增函数, x [ 3 ] 3 1 所以 g(x)− =2− = g(x) 2 2 max 1 所以m≥ , 2 1 综上 ≤m≤2, 2 [1 ] 即实数m的取值范围为 ,2 . 2 π 【变式4-2】(2022·河南安阳·高三阶段练习(文))函数f (x)=Asin(ωx+φ) ( A>0,ω>0,|φ|< ) 的部 2 分图象如图所示. (1)求函数f(x)的解析式,并求出f(x)图象的对称轴方程.(2)是否存在实数a,使得函数F(x)=f(x)−a在[0,nπ](n∈N∗)上恰有2023个零点?若存在,求出a和 对应的n的值;若不存在,请说明理由. π ( ) 【解题思路】(1)由图可得T=π,由周期公式可得由图可得ω,f (x)的图象过点 ,1 可得φ,求出 12 f (x)的解析式可得对称轴方程; (2)由(1)可得y=f (x)的图象与直线y=a在[0,nπ](n∈N*)上恰有2023个交点,分a<−1或a>1、 √3 √3 √3 a=−1或a=1、−11时,y=f (x)的图象与直线y=a在[0,nπ](n∈N*)上无交点. ②当a=−1或a=1时,y=f (x)的图象与直线y=a在[0,π]上仅有一个交点,且在区间(0,π)内部,根据周 期性,在区间((k−1)π,kπ](k=2,3,⋯,n)上各有一个交点. 此时y=f (x)的图象与直线y=a在[0,nπ](n∈N*)上恰有2023个交点,则n=2023. √3 √3 ③当−10,ω>0, π 0<φ< )的图象如图所示. 2 (1)求函数f (x)的解析式及其对称轴方程; π (2)若f (x)的图象向右平移 个单位,再将所有点的横坐标伸长到原来的2倍,得到函数y=g(x)的图象, 6 当x∈[0,π]时,方程g(x)=2a有两个不等的实根x ,x ,求实数a的取值范围. 1 2 (π ) 【解题思路】(1)由图知A、T及ω,代入 ,0 及φ的范围可得φ,再由整体代入法可得f (x)的对称轴 6 方程; (2)由图象平移规律可得g(x),根据x的范围可得g(x)范围,转化为y=g(x)的图象与直线y=2a有两个不同的交点可得答案. 【解答过程】(1) 1 5π π 2π 由图知,A=2, T= − ,所以T=π,ω= =2, 4 12 6 T ( π ) (π ) π π 由2sin 2× +φ =2,即sin +φ =1,故 +φ=2kπ+ ,k∈Z, 6 3 3 2 π ( π) π 所以φ=2kπ+ ,∈Z,又φ∈ 0, ,所以φ= , 6 2 6 ( π) 故f (x)=2sin 2x+ , 6 π π π kπ 令2x+ = +kπ则x= + (k∈Z), 6 2 6 2 π kπ 所以f (x)的对称轴方程为x= + (k∈Z). 6 2 (2) ( π) 由题意可得g(x)=2sin x− , 6 π [−π 5π] 因为x∈[0,π],所以x− ∈ , , 6 6 6 ( π) 所以g(x)=2sin x− ∈[−1,2], 6 所以方程g(x)=2a有两个不等实根时, y=g(x)的图象与直线y=2a有两个不同的交点, 1 作图可得1≤2a<2,所以 ≤a<1. 2 [1 ) 故实数a的取值范围为 ,1 . 2 【题型5 函数的零点(方程的根)的问题】 【方法点拨】 函数的零点(方程的根)的个数可转化为两个函数图象的交点个数,利用函数 的图象与 性质以及数形结合思想进行解题. π 1 【例5】(2022·广西北海·一模(理))已知函数f (x)=cos ( ωx− ) − (ω>0),将f (x)的图象上所有 3 21 点的横坐标缩短为原来的 ,纵坐标不变,得到函数g(x)的图象,已知g(x)在[0,π]上恰有5个零点,则 2 的取值范围是( ) [ 8) ( 7] ( 8] [ 7) A. 2, B. 2, C. 2, D. 2, 3 3 3 3 【解题思路】求得g(x)=cos( 2ωx− π ) − 1 ,换元转化为cost= 1 在t∈ [ − π ,2πω− π] 上恰有5个 3 2 2 3 3 不相等的实根,结合y=cost的性质列出不等式求解. π 1 π 【解答过程】g(x)=cos( 2ωx− ) − ,令t=2ωx− ,由题意g(x)在[0,π]上恰有5个零点,即 3 2 3 1 [ π π] cost= 在t∈ − ,2πω− 上恰有5个不相等的实根,由y=cost的性质可得 2 3 3 11π π 13π 7 ≤2πω− < ,解得2≤ω< . 3 3 3 3 故选:D. ( π) 【变式5-1】(2022·辽宁沈阳·高三阶段练习)已知函数f(x)=sin(ωx+φ) ω>0,0<φ< 的部分图像如 2 [π ] 图所示,其中B,C两点的纵坐标相等,若函数g(x)=f (ax)(a>0)在 ,π 上恰有3个零点,则实数a的 3 取值范围是( ) [3 7) (5 ) [3 7) (5 17) [11 7) (5 ) A. , ∪ ,3 B. , ∪ , C. , ∪ ,3 D. 2 3 2 2 3 2 6 6 3 2 [11 7) (5 17) , ∪ , 6 3 2 6 【解题思路】根据函数的部分图像及周期公式求出函数f (x)的解析式,进而得到g(x),根据已知条件得出 2π T≤ <2T,再结合g(x)有三个零点即可求解. 3π 2π + 【解答过程】由题意知,BC//x轴,所以f (x)的图像的一条对称轴方程为 2 3 7π, x= = 2 12 7π π π 1 2π − = = ⋅ ,所以ω=2. 12 3 4 4 ω π π π π 由于f (x)的图像过 ( ,0 ) 由2× +φ=π+2kπ,k∈Z ,且0<φ< ,得φ= , 3 3 2 3 π 所以f (x)=sin ( 2x+ ) . 3 π 故g(x)=f (ax)=sin ( 2ax+ ) 3 [π ] π [2aπ π π] 2π π 4π 因为x∈ ,π ,所以2ax+ ∈ + ,2aπ+ ,其中 ≤π− < 3 3 3 3 3 2a 3 2a 3 4π 2aπ π 7π 10π π 19π 解得 ≤a<3,则 ≤ + < , ≤2aπ+ < , 2 3 3 3 3 3 3 3 [4π 19π ) 因为y=sinx在 , 上的零点为2π,3π,4π,5π,6π, 3 3 [π ] 且g(x)在 ,π 内恰有3个零点,所以¿或¿, 3 [11 7) (5 17) 解得a∈ , ∪ , . 6 3 2 6 故选:D. π 【变式5-2】(2022·全国·高三阶段练习(理))函数f (x)=2(cosx+sinx)⋅cosx−1的图象向左平移 24 [11π 19π] 个单位得到g(x)的图象,且当x∈ , 时,关于x的方程g(x)−a=0有三个不等实根,则实数a 24 12 的取值范围为( ) A.[−1,0] B.(−√2,−1] C.[−1,√2] D.[−√2,−1] π π 【解题思路】先将f (x)化为f (x)=√2sin ( 2x+ ) ,即可得g(x)=√2sin ( 2x+ ) ,讨论g(x)单调性和 4 3 取值范围即可求出. π 【解答过程】因为f (x)=2(cosx+sinx)⋅cosx−1=√2sin ( 2x+ ) , 4所以g(x)=√2sin ( 2 ( x+ π )+ π) =√2sin ( 2x+ π ) . 24 4 3 [11π 19π] π [5π 7π] 因为x∈ , ,所以2x+ ∈ , . 24 12 3 4 2 π [5π 3π] 当2x+ ∈ , 时,g(x)递减且g(x)∈[−√2,−1]; 3 4 2 π (3π 5π] 当2x+ ∈ , 时,g(x)递增且g(x)∈(−√2,√2]; 3 2 2 π (5π 7π] 当2x+ ∈ , 时,g(x)递减且g(x)∈[−√2,√2). 3 2 2 因为g(x)−a=0有个不等实根,所以a∈(−√2,−1]. 故选:B. π 【变式5-3】(2022·湖南省高三阶段练习)将函数f (x)=sinx的图象先向右平移 个单位长度,再把所得 3 1 函数图象的横坐标变为原来的 (ω>0) 倍,纵坐标不变,得到函数g(x)的图象,若函数g(x)在 ω π 3π ( , ) 上没有零点,则ω的取值范围是( ) 2 2 A. (0, 2 ] ∪ [2 , 8 ] B. (0, 8 ] C. (0, 2 )∪ [8 ,1 ] D.(0,1] 9 3 9 9 9 9 π 【解题思路】先由三角函数图象平移规则求得函数g(x)=sin(ωx- ),再利用正弦曲线的零点即可求 3 得ω的取值范围. π π 【解答过程】将函数f (x)=sinx的图象先向右平移 个单位长度,得到y=sin(x- ), 3 3 1 再把所得函数图象的横坐标变为原来的 (ω>0) 倍,纵坐标不变, ω π 得到函数g(x)=sin(ωx- ), 3 由函数g(x)在 ( π , 3π ) 上没有零点,则 T ≥ 3π - π ,则T≥2π, 2 2 2 2 2 2π 由 ≥2π ,可得0<ω≤1, ωπ 3π 假设函数g(x)在 ( , ) 上有零点, 2 2 π kπ π 则ωx- =kπ,k∈Z,则x= + ,k∈Z, 3 ω 3ω π kπ π 3π 2k 2 2 1 由 < + < ,可得 + <ω<2k+ ,k>- ,k∈Z, 2 ω 3ω 2 3 9 3 3 又0<ω≤1,则ω∈( 2 , 2 )∪( 8 ,1 ] , 9 3 9 则由函数g(x)在 ( π , 3π ) 上没有零点,且0<ω≤1,可得ω∈(0, 2 ] ∪ [2 , 8 ] , 2 2 9 3 9 故选:A. 【题型6 三角函数模型】 【方法点拨】 利用三角函数模型解决实际问题时,首先寻找与角有关的信息,确定选用正弦、余弦还是正切型函数模型; 其次是寻找数据,建立函数解析式并解题;最后将所得结果“翻译”成实际答案,要注意根据实际作答. 【例6】(2022·全国·高三专题练习)一半径为2m的水轮(如图所示),水轮圆心O离水面1m,已知水轮 逆时针转动,每3s转一圈,且当水轮上点P从水中浮现时(图中点P )开始计算时间. 0 (1)试建立适当的坐标系,将点P距离水面的高度 ℎ(m)表示为时间t(s)的函数; (2)点P第一次到达最高点大约要多长时间? 【解题思路】(1)以水轮所在平面与水面的交线为x轴,以过点O且与水面垂直的直线为y轴,建立如图 ( π ) 所示的直角坐标系,进而设ℎ =Asin(ωt+φ)+k − <φ<0 ,再求解析式即可; 2 (2π π) (2)令2sin t− +1=3,解得t=1+3k,k∈Z,进而当k=0时,P第一次到达最高点,求得对 3 6 应值即可. 【解答过程】(1)解:以水轮所在平面与水面的交线为x轴,以过点O且与水面垂直的直线为y轴,建立 如图所示的直角坐标系,( π ) 设ℎ(t)=Asin(ωt+φ)+k A>0,ω>0,− <φ<0 ,则A=2,k=1, 2 2π 2π ∵T=3= ,∴ω= , ω 3 (2π ) ∴ℎ =2sin t+φ +1, 3 1 ∵t=0时,ℎ =0,∴0=2sinφ+1,∴sinφ=− , 2 π π ∵− <φ<0,∴φ=− , 2 6 (2π π) ∴ℎ(t)=2sin t− +1. 3 6 (2π π) (2π π) (2)解:令2sin t− +1=3,得sin t− =1, 3 6 3 6 2π π π ∴ t− = +2kπ,k∈Z,∴t=1+3k,k∈Z, 3 6 2 ∴当k=0时,P第一次到达最高点, ∴点P第一次到达最高点大约要1s. 【变式6-1】(2022·全国·高三专题练习)建设生态文明是关系人民福祉、关乎民族未来的长远大计.某市 通宵营业的大型商场,为响应国家节能减排的号召,在气温低于0°C时,才开放中央空调,否则关闭中央 空调.如图是该市冬季某一天的气温(单位:°C)随时间t(0≤t≤24,单位:小时)的大致变化曲线, ( 2π ) 若该曲线近似满足f (t)=Asin ωt− +b(A>0,ω>0)关系. 3(1)求y=f (t)的表达式; (2)请根据(1)的结论,求该商场的中央空调在一天内开启的时长. 【解题思路】(1)根据三角函数的图像即可求y=f (t)的表达式; (2)根据正弦函数的图像与性质解f (t)<0,结合0≤t≤24即可求解. ( 2π ) 【解答过程】解:(1)因为f (t)=Asin ωt− +b(A>0,ω>0)图像上最低点坐标为(2,−4),与之相邻 3 的最高点坐标为(14,12), 12−(−4) T 所以A= =8, =14−2=12,b=−4+A=−4+8=4, 2 2 2π π 所以T= =24,解得ω= . ω 12 (π 2 ) 所以f(t)=8sin t− π +4,0≤t≤24. 12 3 (π 2 ) (2)由(1)得,8sin t− π +4<0, 12 3 (π 2 ) 1 所以sin t− π <− , 12 3 2 7π π 2π 11π 所以 +2kπ< t− < +2kπ,k∈Z, 6 12 3 6 解得22+24k0,ω>0),根据所给条件求出A、b、ω、φ,即可得到函数解析式; (2)由(1)中的解析式ℎ(t)=17,结合正弦函数的性质计算可得; |( π ) [ π ]| (3)依题意可得ℎ,ℎ,从而得到高度差函数H= 30sin t+32 − 30sin (t+8)+32 ,利用两 1 5 12 12 角和差的正弦公式化简,再结合正弦函数的性质求出函数取得最大值时t的值,即可得解; 【解答过程】(1) 设1号座舱与地面的距离h与时间t的函数关系的解析式为ℎ(t)=Asin(ωt+φ)+b(A>0,ω>0,t≥0) 则A=30,b=32, ∴ℎ(t)=30sin(ωt+φ)+32(ω>0), 2π π 依题意T=24min,∴ω= = (rad/min), T 12 当t=0时,ℎ(t)=32∴φ=0, π ∴ℎ(t)=30sin t+32(t≥0). 12 (2) π 令ℎ(t)=17,即30sin t+32=17, 12 π 1 ∴sin t=− , 12 2 π ∵0≤t≤24,∴0≤ t≤2π , 12π 7π π 11π ∴ t= 或 t= , 12 6 12 6 解得t=14或t=22, ∴t=14或t=22时,1号座舱与地面的距离为17米. (3) π π 依题意ℎ =30sin t+32,ℎ =30sin (t+8)+32, 1 12 5 12 ∴H= |( 30sin π t+32 ) − [ 30sin π (t+8)+32 ]| 12 12 | π (π 2π )| = 30sin t−30sin t+ 12 12 3 |3 π √3 π | =30 sin t− cos t 2 12 2 12 =30√3 | sin ( π t− π )| , 12 6 π π π 令 t− = +kπ,k∈Z ,解得t=8+12k(k∈N), 12 6 2 所以当t=8+12k(k∈N)时,H取得最大值. 【变式6-3】(2022·浙江省高二开学考试)摩天轮是一种大型转轮状的机械建筑设施,游客坐在摩天轮的 座舱里慢慢往上转,可以从高处俯瞰四周景色,如图,该摩天轮轮盘直径为120米,设置有36个座舱,游 客在座舱转到距离地面最近的位置进舱,当到达最高点时距离地面140米,匀速转动一周大约需要30分钟, 当游客甲坐上摩天轮的座舱开始计时.(1)经过t分钟后游客甲距离地面的高度为H米,已知H关于t的函数关系式满足H(t)=Asin(ωt+φ)+B π (其中A>0,ω>0,|φ|≤ ),求摩天轮转动一周的解析式H(t); 2 (2)游客甲坐上摩天轮后多长时间,距离地面的高度第一次恰好达到50米? (3)若游客乙在游客甲之后进入座舱,且中间间隔5个座舱,在摩天轮转动一周的过程中,记两人距离地面 的高度差为ℎ米,求ℎ的最大值. 【解题思路】对于小问1,根据离地面的最大值140米、最小值20米和周期为30分钟,求出A、B、ω,再 代入点(0,20)解得φ. 对于小问2,令H(t)=50,解出t即得答案. 对于小问3,根据题意,计算甲乙二人时间差,得到二人距离地面的高度表达式H 、H , 1 2 写出两人距离地面的高度差为ℎ =|H 1 −H 2 |米,由时间t的取值范围,化简求出ℎ最大值. 【解答过程】(1) π 由题意,H(t)=Asin(ωt+φ)+B(其中A>0,ω>0,|φ|≤ ) 2 摩天轮的最高点距离地面为140米,最低点距离地面为140−120=20米, 所以¿,得A=60,B=80, 2π π 又函数周期为30分钟,所以ω= = , 30 15 ( π ) H(t)=60sin t+φ +80, 15 ( π ) 又H(0)=60sin ×0+φ +80=20, 15 π π 所以sinφ=−1,又|φ|≤ ,所以φ=− , 2 2( π π) 所以H(t)=60sin t− +80,0≤t≤30. 15 2 (2) ( π π) π H(t)=60sin t− +80=−60cos t+80, 15 2 15 π π 1 π π 所以−60cos t+80=50,整理cos t= ,因为0≤t≤30,所以0≤ t≤ , 15 15 2 15 2 π π 所以 t= ,解得t=5(分钟). 15 3 (3) π 经过t分钟后甲距离地面的高度为H =−60cos t+80, 1 15 30 乙与甲间隔的时间为 ×6=5分钟, 36 π 所以乙距离地面的高度为H =−60cos (t−5)+80,5≤t≤30, 2 15 所以两人离地面的高度差 | π π | | ( π π)| ℎ =|H −H |= −60cos t+60cos (t−5) =60 sin t− ,5≤t≤30, 1 2 15 15 15 6 π π π 3π 当 t− = 或 时,即t=10或25分钟时,ℎ取最大值为60米. 15 6 2 2