当前位置:首页>文档>专题01相似三角形重要模型之(双)A字型与(双)8字型模型解读与提分精练(人教版)(教师版)_初中数学_九年级数学下册(人教版)_常见几何模型全归纳-V13_2025版

专题01相似三角形重要模型之(双)A字型与(双)8字型模型解读与提分精练(人教版)(教师版)_初中数学_九年级数学下册(人教版)_常见几何模型全归纳-V13_2025版

  • 2026-04-06 11:37:01 2026-03-19 23:18:46

文档预览

专题01相似三角形重要模型之(双)A字型与(双)8字型模型解读与提分精练(人教版)(教师版)_初中数学_九年级数学下册(人教版)_常见几何模型全归纳-V13_2025版
专题01相似三角形重要模型之(双)A字型与(双)8字型模型解读与提分精练(人教版)(教师版)_初中数学_九年级数学下册(人教版)_常见几何模型全归纳-V13_2025版
专题01相似三角形重要模型之(双)A字型与(双)8字型模型解读与提分精练(人教版)(教师版)_初中数学_九年级数学下册(人教版)_常见几何模型全归纳-V13_2025版
专题01相似三角形重要模型之(双)A字型与(双)8字型模型解读与提分精练(人教版)(教师版)_初中数学_九年级数学下册(人教版)_常见几何模型全归纳-V13_2025版
专题01相似三角形重要模型之(双)A字型与(双)8字型模型解读与提分精练(人教版)(教师版)_初中数学_九年级数学下册(人教版)_常见几何模型全归纳-V13_2025版
专题01相似三角形重要模型之(双)A字型与(双)8字型模型解读与提分精练(人教版)(教师版)_初中数学_九年级数学下册(人教版)_常见几何模型全归纳-V13_2025版
专题01相似三角形重要模型之(双)A字型与(双)8字型模型解读与提分精练(人教版)(教师版)_初中数学_九年级数学下册(人教版)_常见几何模型全归纳-V13_2025版
专题01相似三角形重要模型之(双)A字型与(双)8字型模型解读与提分精练(人教版)(教师版)_初中数学_九年级数学下册(人教版)_常见几何模型全归纳-V13_2025版
专题01相似三角形重要模型之(双)A字型与(双)8字型模型解读与提分精练(人教版)(教师版)_初中数学_九年级数学下册(人教版)_常见几何模型全归纳-V13_2025版
专题01相似三角形重要模型之(双)A字型与(双)8字型模型解读与提分精练(人教版)(教师版)_初中数学_九年级数学下册(人教版)_常见几何模型全归纳-V13_2025版
专题01相似三角形重要模型之(双)A字型与(双)8字型模型解读与提分精练(人教版)(教师版)_初中数学_九年级数学下册(人教版)_常见几何模型全归纳-V13_2025版
专题01相似三角形重要模型之(双)A字型与(双)8字型模型解读与提分精练(人教版)(教师版)_初中数学_九年级数学下册(人教版)_常见几何模型全归纳-V13_2025版
专题01相似三角形重要模型之(双)A字型与(双)8字型模型解读与提分精练(人教版)(教师版)_初中数学_九年级数学下册(人教版)_常见几何模型全归纳-V13_2025版
专题01相似三角形重要模型之(双)A字型与(双)8字型模型解读与提分精练(人教版)(教师版)_初中数学_九年级数学下册(人教版)_常见几何模型全归纳-V13_2025版
专题01相似三角形重要模型之(双)A字型与(双)8字型模型解读与提分精练(人教版)(教师版)_初中数学_九年级数学下册(人教版)_常见几何模型全归纳-V13_2025版
专题01相似三角形重要模型之(双)A字型与(双)8字型模型解读与提分精练(人教版)(教师版)_初中数学_九年级数学下册(人教版)_常见几何模型全归纳-V13_2025版
专题01相似三角形重要模型之(双)A字型与(双)8字型模型解读与提分精练(人教版)(教师版)_初中数学_九年级数学下册(人教版)_常见几何模型全归纳-V13_2025版
专题01相似三角形重要模型之(双)A字型与(双)8字型模型解读与提分精练(人教版)(教师版)_初中数学_九年级数学下册(人教版)_常见几何模型全归纳-V13_2025版
专题01相似三角形重要模型之(双)A字型与(双)8字型模型解读与提分精练(人教版)(教师版)_初中数学_九年级数学下册(人教版)_常见几何模型全归纳-V13_2025版
专题01相似三角形重要模型之(双)A字型与(双)8字型模型解读与提分精练(人教版)(教师版)_初中数学_九年级数学下册(人教版)_常见几何模型全归纳-V13_2025版
专题01相似三角形重要模型之(双)A字型与(双)8字型模型解读与提分精练(人教版)(教师版)_初中数学_九年级数学下册(人教版)_常见几何模型全归纳-V13_2025版
专题01相似三角形重要模型之(双)A字型与(双)8字型模型解读与提分精练(人教版)(教师版)_初中数学_九年级数学下册(人教版)_常见几何模型全归纳-V13_2025版
专题01相似三角形重要模型之(双)A字型与(双)8字型模型解读与提分精练(人教版)(教师版)_初中数学_九年级数学下册(人教版)_常见几何模型全归纳-V13_2025版
专题01相似三角形重要模型之(双)A字型与(双)8字型模型解读与提分精练(人教版)(教师版)_初中数学_九年级数学下册(人教版)_常见几何模型全归纳-V13_2025版
专题01相似三角形重要模型之(双)A字型与(双)8字型模型解读与提分精练(人教版)(教师版)_初中数学_九年级数学下册(人教版)_常见几何模型全归纳-V13_2025版
专题01相似三角形重要模型之(双)A字型与(双)8字型模型解读与提分精练(人教版)(教师版)_初中数学_九年级数学下册(人教版)_常见几何模型全归纳-V13_2025版
专题01相似三角形重要模型之(双)A字型与(双)8字型模型解读与提分精练(人教版)(教师版)_初中数学_九年级数学下册(人教版)_常见几何模型全归纳-V13_2025版
专题01相似三角形重要模型之(双)A字型与(双)8字型模型解读与提分精练(人教版)(教师版)_初中数学_九年级数学下册(人教版)_常见几何模型全归纳-V13_2025版
专题01相似三角形重要模型之(双)A字型与(双)8字型模型解读与提分精练(人教版)(教师版)_初中数学_九年级数学下册(人教版)_常见几何模型全归纳-V13_2025版
专题01相似三角形重要模型之(双)A字型与(双)8字型模型解读与提分精练(人教版)(教师版)_初中数学_九年级数学下册(人教版)_常见几何模型全归纳-V13_2025版
专题01相似三角形重要模型之(双)A字型与(双)8字型模型解读与提分精练(人教版)(教师版)_初中数学_九年级数学下册(人教版)_常见几何模型全归纳-V13_2025版
专题01相似三角形重要模型之(双)A字型与(双)8字型模型解读与提分精练(人教版)(教师版)_初中数学_九年级数学下册(人教版)_常见几何模型全归纳-V13_2025版
专题01相似三角形重要模型之(双)A字型与(双)8字型模型解读与提分精练(人教版)(教师版)_初中数学_九年级数学下册(人教版)_常见几何模型全归纳-V13_2025版
专题01相似三角形重要模型之(双)A字型与(双)8字型模型解读与提分精练(人教版)(教师版)_初中数学_九年级数学下册(人教版)_常见几何模型全归纳-V13_2025版
专题01相似三角形重要模型之(双)A字型与(双)8字型模型解读与提分精练(人教版)(教师版)_初中数学_九年级数学下册(人教版)_常见几何模型全归纳-V13_2025版
专题01相似三角形重要模型之(双)A字型与(双)8字型模型解读与提分精练(人教版)(教师版)_初中数学_九年级数学下册(人教版)_常见几何模型全归纳-V13_2025版
专题01相似三角形重要模型之(双)A字型与(双)8字型模型解读与提分精练(人教版)(教师版)_初中数学_九年级数学下册(人教版)_常见几何模型全归纳-V13_2025版
专题01相似三角形重要模型之(双)A字型与(双)8字型模型解读与提分精练(人教版)(教师版)_初中数学_九年级数学下册(人教版)_常见几何模型全归纳-V13_2025版
专题01相似三角形重要模型之(双)A字型与(双)8字型模型解读与提分精练(人教版)(教师版)_初中数学_九年级数学下册(人教版)_常见几何模型全归纳-V13_2025版
专题01相似三角形重要模型之(双)A字型与(双)8字型模型解读与提分精练(人教版)(教师版)_初中数学_九年级数学下册(人教版)_常见几何模型全归纳-V13_2025版
专题01相似三角形重要模型之(双)A字型与(双)8字型模型解读与提分精练(人教版)(教师版)_初中数学_九年级数学下册(人教版)_常见几何模型全归纳-V13_2025版
专题01相似三角形重要模型之(双)A字型与(双)8字型模型解读与提分精练(人教版)(教师版)_初中数学_九年级数学下册(人教版)_常见几何模型全归纳-V13_2025版
专题01相似三角形重要模型之(双)A字型与(双)8字型模型解读与提分精练(人教版)(教师版)_初中数学_九年级数学下册(人教版)_常见几何模型全归纳-V13_2025版
专题01相似三角形重要模型之(双)A字型与(双)8字型模型解读与提分精练(人教版)(教师版)_初中数学_九年级数学下册(人教版)_常见几何模型全归纳-V13_2025版
专题01相似三角形重要模型之(双)A字型与(双)8字型模型解读与提分精练(人教版)(教师版)_初中数学_九年级数学下册(人教版)_常见几何模型全归纳-V13_2025版
专题01相似三角形重要模型之(双)A字型与(双)8字型模型解读与提分精练(人教版)(教师版)_初中数学_九年级数学下册(人教版)_常见几何模型全归纳-V13_2025版
专题01相似三角形重要模型之(双)A字型与(双)8字型模型解读与提分精练(人教版)(教师版)_初中数学_九年级数学下册(人教版)_常见几何模型全归纳-V13_2025版
专题01相似三角形重要模型之(双)A字型与(双)8字型模型解读与提分精练(人教版)(教师版)_初中数学_九年级数学下册(人教版)_常见几何模型全归纳-V13_2025版
专题01相似三角形重要模型之(双)A字型与(双)8字型模型解读与提分精练(人教版)(教师版)_初中数学_九年级数学下册(人教版)_常见几何模型全归纳-V13_2025版
专题01相似三角形重要模型之(双)A字型与(双)8字型模型解读与提分精练(人教版)(教师版)_初中数学_九年级数学下册(人教版)_常见几何模型全归纳-V13_2025版
专题01相似三角形重要模型之(双)A字型与(双)8字型模型解读与提分精练(人教版)(教师版)_初中数学_九年级数学下册(人教版)_常见几何模型全归纳-V13_2025版

文档信息

文档格式
docx
文档大小
4.683 MB
文档页数
51 页
上传时间
2026-03-19 23:18:46

文档内容

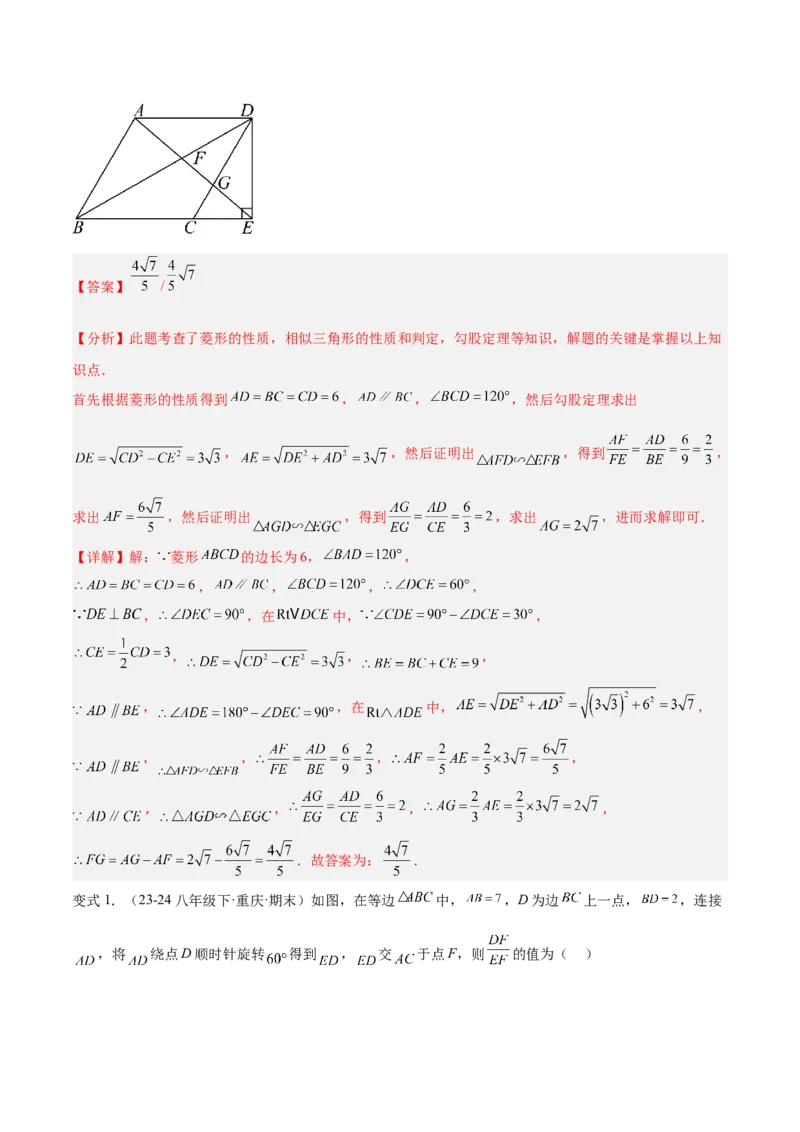
专题 01 相似三角形重要模型之(双)A 字型与(双)8 字型 相似三角形是几何中重要的证明模型之一,是全等三角形的推广,分析图形间的关系离不开数量的计 算。相似和勾股是产生等式的主要依据(其他依据还有面积法,三角函数等),因此要掌握相似三角形的 基本图形,体会其各种演变和联系。相似三角形是初中几何中的重要的内容,常常与其它知识点结合以综 合题的形式呈现,其变化很多,是中考的常考题型。本专题重点讲解相似三角形的(双)A字模型和 (双)8(X)字模型. ....................................................................................................................................................1 模型1.“A”字模型................................................................................................................................................2 模型2.“X”字模型(“8”字模型)..................................................................................................................16 模型3.“AX”字模型(“A8”字模型).............................................................................................................33 ..................................................................................................................................................44 大家在掌握几何模型时,多数同学会注重模型结论,而忽视几何模型的证明思路及方法,导致本末倒 置。要知道数学题目的考察不是一成不变的,学数学更不能死记硬背,要在理解的基础之上再记忆,这样 才能做到对于所学知识的灵活运用,并且更多时候能够启发我们解决问题的关键就是基于已有知识、方法 的思路的适当延伸、拓展,所以学生在学习几何模型要能够做到的就是:①认识几何模型并能够从题目中 提炼识别几何模型;②记住结论,但更为关键的是记住证明思路及方法;③ 明白模型中常见的易错点, 因为多数题目考察的方面均源自于易错点。当然,以上三点均属于基础要求,因为题目的多变性,若想在 几何学习中突出,还需做到的是,在平时的学习过程中通过大题量的训练,深刻认识几何模型,认真理解 每一个题型,做到活学活用!【知识储备】A字型和8(X)字型的应用难点在于过分割点(将线段分割的点)作平行线构造模型,有的 是直接作平行线,有的是间接作平行线(倍长中线就可以理解为一种间接作平行线),这一点在模考中无 论小题还是大题都是屡见不鲜的。 模型1.“A”字模型 “A”字模型图形(通常只有一个公共顶点)的两个三角形有一个“公共角”(是对应角),再有一个角相 等或夹这个公共角的两边对应成比例,就可以判定这两个三角形相似。 ①“A”字模型 ②反“A”字模型 ③同向双“A”字模型 ④内接矩形模型 图1 图2 图3 图4 ①“A”字模型 条件:如图1,DE∥BC;结论:△ADE∽△ABC ==。 证明:∵DE∥BC,∴∠ADE=∠ABC,∠AED=∠ACB,∴△ADE∽△⇔ABC,∴==。 ②反“A”字模型 条件:如图2,∠AED=∠B;结论:△ADE∽△ACB ==。 证明:∵∠AED=∠B,∴∠A=∠A,(公共角) ∴△ADE∽△ACB,∴=⇔=。 ③同向双“A”字模型 条件:如图3,EF∥BC; 结论:△AEF∽△ABC,△AEG∽△ABD,△AGF∽△ADC 。 证明:∵EF∥BC,∴∠AEF=∠ABC,∠AFE=∠ACB,∴△A⇔EF∽△ABC, 同理可证:△AEG∽△ABD,△AGF∽△ADC,∴==。④内接矩形模型 条件:如图4,△ABC的内接矩形DEFG的边EF在BC边上,D、G分别在AB、AC边 上,且AM⊥BC;结论:△ADG∽△ABC,△ADN∽△ABM,△AGN∽△ACM 。 证明:∵DEFG是矩形 ∴DG∥EF,∴∠ADG=∠ABC,∠AGD=∠ACB,∴△A⇔DG∽△ABC, 同理可证:△ADN∽△ABM,△AGN∽△ACM,∴ 。 例1.(23-24九年级上·四川德阳·期末)如图, 中, , , 的面积是1,那么 四边形 的面积是( ) A.6 B.8 C.9 D.10 【答案】B 【分析】本题考查了相似三角形的判定与性质,如果两个三角形相似,那么它们的对应角相等,对应边的 比,对应高的比,对应中线的比,对应角平分线的比,对应周长的比都等于相似比;它们对应面积的比等 于相似比的平方. 首先根据 得到 ,然后由 ,可证 ,从而根据相似三角形面积的比等 于相似比的平方可求出 ,进而求解即可. 【详解】∵ ∴ ∵ ∴ ∴ ∴ ∴ ∴四边形 的面积 .故选:B. 例2.(23-24八年级下·福建福州·期末)如图,在 中,点 分别是 上的点,连接 , , ,若 ,则 的长为( )A.4 B.5 C.6 D.2 【答案】C 【分析】本题考查相似三角形的判定与性质.根据已知条件证明 ,利用相似三角形的对应 边成比例求解即可. 【详解】解:∵ , ,∴ , 又∵ ,∴ ,∴ , ∵ ,∴ ,故选:C. 例3.(2023.绵阳市九年级期中)如图,在 中,点 分别在 上,且 . (1)求证: ;(2)若点 在 上, 与 交于点 ,求证: . 【答案】见解析 【详解】解:(1)在△AEF和△ABC中,∵ , ,∴△AEF∽△ABC; (1)∵△AEF∽△ABC,∴∠AEF=∠ABC,∴EF∥BC, ∴△AEG∽△ABD,△AGF∽△ADC, ∴ , ,∴ .例4.(23-24九年级下·湖北武汉·阶段练习)如图,一块材料的形状是锐角三角形 ,把它加工成正方 形零件,使正方形的一边在 上,其余两个顶点分别在 , 上,若 、 、 的面 积分别为4、6、3,则求这个正方形零件的边长是 . 【答案】 【分析】此题主要考查了正方形的性质,相似三角形的判定和性质,解本题的关键是判断出 . 过点 作 ,交 于 ,设 ,易证 ,得 ,根据三角形的面积求得 , , , , ,列出方程即可求解. 【详解】解:过点 作 ,交 于 ,设 , ∵正方形 ,∴ , ,∴ ,∴ , ∵ 、 、 的面积分别为4、6、3, ∴ , , , 则 , , , , , ∴ ,即: ,亦即解得: (负值舍去),经检验 是原方程的解,∴ ,故答案为: . 变式1.(2024·湖南永州·模拟预测)如图: 中, , , ,把边长分别为 , , ,… 的n个正方形依次放在 中;第一个正方形 的顶点分别放在 的各边上; 第二个正方形 的顶点分别放在 的各边上,其他正方形依次放入,则第2024个正方形的 边长 为 . 【答案】 / 【分析】本题主要考查了正方形的性质,相似三角形的性质与判定,图形类的规律型问题.先由正方形的 性质得到 , ,则 , ,即可推出 ,即 ,从而求出 ,同理可证 , 得到 ,即 ,推出 ,即可得到规律可推出第n个正方形的边长 ,由 此即可得到答案. 【详解】解:∵四边形 是正方形,∴ , ,∴ , ∴ ,即 ,∴ ,∴ , 同理可证 , ∴ ,即 ,∴ ,同理可求得 , ∴可以推出第n个正方形的边长为 ,∴第2024个正方形的边长 为 ,故答案为: . 变式2.(2024·山西太原·模拟预测)如图,在 中, , , , .过点B作 的垂线,交 于点G,交 于点F,则 . 【答案】 / 【分析】本题考查了三角形相似的判定及性质,勾股定理,平行四边形的性质,解题的关键是添加辅助线, 构造三角形相似,过 作平行于 的直线交于 于点 ,计算出 ,然后利用勾股定理求解. 【详解】解:过 作平行于 的直线交于 于点 ,如下图: , , , , , , , , ,, , , , , , ,故答案为: . 模型2.“X”字模型(“8”字模型) “8”字模型图形的两个三角形有“对顶角”,再有一个角相等或夹对顶角的两边对应成比例就可以判定这两 个三角形相似. ①“8”字模型 ②反“8”字模型 ③平行双“8”字模型 ④斜双“8”字模型 图1 图2 图3 图4 ①“8”字模型 条件:如图1,AB∥CD;结论:△AOB∽△COD ==。 证明:∵AB∥CD,∴∠A=∠C,∠B=∠D,∴△AO⇔B∽△COD,∴==。 ②反“8”字模型 条件:如图2,∠A=∠D;结论:△AOB∽△DOC ==。 证明:∵∠A=∠D,∴∠AOB=∠DOC,(对顶角)⇔ ∴△AOB∽△DOC,∴==。 ③平行双“8”字模型 条件:如图3,AB∥CD;结论: 。 证明:∵AB∥CD,∴∠A=∠D,∠AEO=∠DFO,∴△AEO∽△DFO,同理可证:△BEO∽△CFO,△ABO∽△DCO,∴ 。 ④斜双“8”字模型 条件:如图4,∠1=∠2;结论:△AOD∽△BOC,△AOB∽△DOC 3=∠4。 证明:∵∠1=∠2,∠AOD=∠BOC(对顶角), ∴△AOD⇔∽∠△BOC,∴AO:BO=DO:CO,即 AO:DO=BO:CO; ∵∠AOB=∠DOC(对顶角),∴△AOB∽△DOC,∴∠3=∠4。 例1.(2024·吉林长春·三模)如图,矩形 中, , ,以点 为圆心,适当长为半径画 弧,分别交 , 于点E、F,再分别以点E、F为圆心,大于 长为半径画弧,两弧交于点 ,作 射线 ,过点 作 的垂线分别交 , 于点M、N,则 的长为( ) A. B. C. D.5 【答案】C 【分析】本题考查矩形的性质,相似三角形的判定与性质,勾股定理.证明 ,求出 是解题的关键. 先由由勾股定理求出 ,再证明 ,推出 ,求得 , 即可由勾股定理求出 的长. 【详解】解:在矩形 中, , , , , 平分 , , , , , , , , , , ,, .故选:C. 例2.(23-24九年级上·黑龙江哈尔滨·开学考试)如图,在 中, ,点 为 上一点, 过点 作 的垂线交 的延长线于点 ,若 ,则线段 的长为 . 【答案】 【分析】通过导角证明 ,过点D作 于点F,根据角平分线的性质可得 , ,证明 ,得出 ,设 , ,依次证明 , ,利用相似三角形对应边成比例即可求解. 【详解】解: , ,又 , , , , , , 如图,过点D作 于点F, , , , 在 和 中, , , . , , . , , , , ,设 , , , , , , ,, , , , , , , , , , , , , ,故答案为: . 【点睛】本题考查角平分线性质,相似三角形的判定与性质,勾股定理,全等三角形的判定与性质等,解 题的关键是通过导角证明 . 例3.(23-24九年级上·浙江杭州·期中)如图, 与 交于点O, 过点O,交 于点E,交 于点 , .(1)求证: .(2)若 ,求 . 【答案】(1)见解析;(2) 【分析】(1)证明△OAB∽△ODC,可得出结论; (2) 证得AB//CD,可得 ,则可得结果 . 【详解】证明:(1) . , . (2) 【点睛】本题考查了相似三角形的判定和性质,平行线分线段成比例定理,熟悉并灵活运用以上性质是解 题的关键. 例4.(2024·四川眉山·中考真题)如图,菱形 的边长为6, ,过点 作 ,交 的延长线于点 ,连结 分别交 , 于点 , ,则 的长为 .【答案】 / 【分析】此题考查了菱形的性质,相似三角形的性质和判定,勾股定理等知识,解题的关键是掌握以上知 识点. 首先根据菱形的性质得到 , , ,然后勾股定理求出 , ,然后证明出 ,得到 , 求出 ,然后证明出 ,得到 ,求出 ,进而求解即可. 【详解】解: 菱形 的边长为6, , , , , , , ,在 中, , , , , , ,在 中, , , , , , , , , , .故答案为: . 变式1.(23-24八年级下·重庆·期末)如图,在等边 中, ,D为边 上一点, ,连接 ,将 绕点D顺时针旋转 得到 , 交 于点F,则 的值为( )A.3 B. C. D. 【答案】B 【分析】本题主要考查了等边三角形的性质与判定,旋转的性质,相似三角形的性质与判定,全等三角形 的性质与判定等等,先求出 ,再证明 是等边三角形,进而证明 得到 ;如图所示,过点E作 交 于H, 则可证明 是等边三角形,得到 ,再证明 ,即可得到 . 【详解】解:∵ 是等边三角形, ∴ , , ∵ ,∴ ,由旋转的性质可得 , ∴ 是等边三角形,∴ ,∴ , ∴ ,∴ ,如图所示,过点E作 交 于 H, ∴ ,∴ 是等边三角形,∴ , ∵ ,∴ ,∴ ,故选:B.变式2.(2024·辽宁丹东·二模)阅读与思考: 三角形的重心 定义:三角形三条中线相交于一点,这个交点叫做三角形的重心. 三角形重心的一个重要性质:重心与一边中点的连线的长是对应中线长的 .下面是小明证明性质的过 程. 如图,在 中,D、E分别是边 、 的中点, 、 相交于点G,求证: 证明:连接 ,∵D,E是边 , 的中点, ∴ , (依据1)∴ ∴ (依据2)∴ (1)任务一,在小明的证明过程中,依据1和依据2的内容分别是: 依据1:______________________依据2:______________________ (2)应用①如图,在 中,点G是 中的重心,连接 并延长交 与点E,若 ,求 长. ②在 中,中线 、 相交于点O,若 的面积等于30,求 的面积. 【答案】(1)三角形的中位线定理,相似三角形的性质(2)① ;② 【分析】此题考查了三角形的中位线定理,相似三角形的性质,三角形重心的性质, (1)根据三角形的中位线定理和相似三角形的性质求解即可; (2)①首先根据重心的性质得到 ,然后求解即可;②首先得到点O是 的重心,求出 ,利用重心的性质求解即可. 【详解】(1)依据1:三角形的中位线定理;依据2:相似三角形的性质; (2)①∵G是 的重心,∴ , ∵ ,∴ ∴ ; ②∵中线 、 相交于点O,∴点O是 的重心, ∴ , ∴ 故 . 模型3.“AX”字模型(“A8”字模型) ①一“A”+“8”模型 ②两“A”+“8”模型(反向双“A”字模型) ③四“A”+“8”模型 图1 图2 图3①一“A”+“8”模型 条件:如图1,DE∥BC; 结论:△ADE∽△ABC,△DEF∽△CBF,⇔ 。 证明:∵DE∥BC,∴∠ADE=∠ABC,∠AED=∠ACB,∴△ADE∽△ABC,∴==。 ∵DE∥BC,∴∠FDE=∠FCB,∠DEF=∠CBF,∴△DEF∽△CBF,∴ 。 ∴ 。 ②两“A”+“8”模型 条件:如图2,DE∥AF∥BC; 结论:△DAF∽△DBC,△CAF∽△CED,⇔ 。 证明:∵AF∥BC,∴∠DAF=∠B,∠DFA=∠DCB,∴△DAF∽△DBC,∴ 。 ∵DE∥AF,∴∠CAF=∠E,∠CFA=∠CDE,∴△CAF∽△CED,∴ 。 ,即 ,故 。 两式相加得到: ③四“A”+“8”模型3 条件:如图3,DE∥GF∥BC;结论:AF=AG, 。 证明:同②中的证法,易证: , , ∴ ,即AF=AG,故 。 例1.(2024.湖北九年级期中)如图,△ABC中,D.E分别是AB、AC上的点,且BD=2AD,CE=2AE. (1)求证:△ADE∽△ABC;(2)若DF=2,求FC的长度. 【答案】见解析AD AE 1 【解答】(1)证明:∵BD=2AD,CE=2AE,∴ = = , AB AC 3 又∵∠DAE=∠BAC,∴△ADE∽△ABC; DE AD 1 (2)解:∵△ADE∽△ABC,∴ = = ,∠ADE=∠ABC, BC AB 3 DF DE 2 1 ∴DE∥BC,∴△DEF∽△CBF,∴ = ,即 = ,∴FC=6. CF CB CF 3 例2.(22-23九年级上·上海徐汇·阶段练习)如图, ,如果 , ,那么 . 【答案】10 【分析】分别证明 、 ,利用相似三角形的性质求解即可. 【详解】解:∵ ∴ , ,∴ ∴ , ∵ , ,∴ ,则 , ∵ ∴ , ∴ , ∴ ,∴ ,故答案为:10. 【点睛】本题考查相似三角形的判定与性质、平行线的性质,熟练掌握相似三角形的判定与性质是解答的 关键. 例3.(2024·湖北·模拟预测)(1)【问题背景】如图1, , 与 相交于点E,点F在 上.求证: ;小雅同学的想法是将结论转化为 来证明,请你按照小雅的思路完成原题的证明过程. (2)【类比探究】如图2, , , , 与 相交于点G,点H在 上, .求证: . (3)【拓展运用】如图3,在四边形 中, ,连接 , 交于点M,过点M作 , 交 于点E,交 于点F,连接 交于点N,过点N作 ,交 于点G,交 于点 H,若 , ,直接写出 的长. 【答案】(1)见解析;(2)见解析;(3) 【分析】(1)由 ,可证 ,则 ,同理可得: ,则 ,两边同时除以 ,可得 . (2)由 , , , ,可得 , ,证明 ,则 ,同理, ,则 ,两 边同时除以 得, ,进而可得 ; (3)由(1)可知, , ,则 ,解得, , 则 ,计算求解即可.【详解】(1)证明:∵ ,∴ ,∴ .同理可得: , ∴ ,两边同时除以 ,得 . (2)证明:∵ , , , ,∴ , , ∵ ,∴ ,∴ ,同理, , ∴ ,∴ , 两边同时除以 得, ,∴ ; (3)解:由(1)可知, , , ∴ ,解得, ,∴ ,解得, ,∴ . 【点睛】本题考查了相似三角形的判定与性质,等式的性质,平行线的判定.解题的关键在于明确相似三 角形的判定条件. 变式1.(2024·安徽合肥·模拟预测)如图,在 中, , ,点D为 的中点,点M 在 边上,且满足 , ,垂足为N,交 于点P. (1) 的值为 ;(2) 的值为 . 【答案】 【分析】此题考查了相似三角形的判定与性质,锐角三角函数的应用,熟记相似三角形的判定与性质是解 题的关键.(1)设 ,则 ,根据勾股定理求出 ,再根据余弦定义求解即可; (2)延长 ,交 的延长线于点E,过点A作 交 的延长线于点F,结合直角三角形的性 质求出 , ,则 ,根据相似三角形的性质得出 , 设 ,则 , ,根据比例的性质求出 ,根据平行线的性质推出 , ,根据相似三角形的性质等量代换求解即可. 【详解】解:(1)∵ ,设 ,则 ,∴ , ∵ ,∴ ,∵点D为 的中点,∴ , ∵ ,∴ ,∴ ,故答案为: ; (2)如图,延长 ,交 的延长线于点E,过点A作 交 的延长线于点F, ∵ , 于N,∴ , ,∴ , 又∵ ,∴ ,∴ , 设 ,则 , ,∴ ,∴ , ∵ ,∴ , , ∴ , ,∴ ,∴ ,故答案为: . 变式2.(2024·江苏泰州·三模)综合与实践 在初中物理学中,凸透镜成像原理与相似三角形有密切的联系.请耐心阅读以下材料: 【光学模型】如图1,通过凸透镜光心 的光线 ,其传播方向不变,经过焦点 的光线 经凸透镜折射后平行于主光轴 沿 射出,与光线 交于点 ,过点 作主光轴 的垂线段 ,垂足为 ,即可得出物体 所成的像 . 【模型验证】设焦点 到光心的距离 称为焦距,记为 ;物体 到光心的距离 称为物距,记为 ; 像 到光心的距离 称为像距,记为 . 已知 , ,当 时,求证: . 证明:∵ , ,∴ 又∵ ,∴ , ∴ ,即 ,同理可得 , ∴ ,即 ① ,∴ ② , ∴ ,∴ ,即 . 请结合上述材料,解决以下问题: (1)请补充上述证明过程中①②所缺的内容(用含 的代数式表示);(2)若该凸透镜 的焦距为20 ,物 体距凸透镜 的距离为30 ,物高为10 ,则物体 所成的像 的高度为__________ ; (3)如图2,由物理学知识知“经过点 且平行于主光轴 的光线 经凸透镜 折射后经过点 ”,小 明在做凸透镜成像实验时,不断改变物距发现光线 始终经过主光轴 上一定点.若该凸透镜 的焦 距为20 ,物高为10 ,试说明这一物理现象. 【答案】(1)① ② (2)20(3)见解析 【分析】本题主要考查了相似三角形的应用,理解题意,熟练掌握相似三角形的判定与性质是解题关键. (1)分别证明 , ,由相似三角形的性质可得 ,整理可得,等号两边同时除以 ,即可获得答案; (2)结合(1),首先解得 ,结合 ,代入数值求解即可; (3)设 与 交于点 ,证明四边形 为矩形,易得 ,再证明 ,由相似 三角形的性质可得 ,结合(1)可得 ,等号两边同时加1,整理可得 ,结合 可得出 ,即可说明这一物理现象. 【详解】(1)证明:∵ , ,∴ 又∵ ,∴ ,∴ ,即 , 同理可得 ,∴ ,即 ,∴ , ∴ ,∴ ,即 .故答案为:① ;② ; (2)由(1)可知, , , 当 , , 时,可得 ,解得 , ∴可有 ,解得 ,即物体 所成的像 的高度为 .故答案为:20; (3)如下图,设 与 交于点 ,根据题意, , ∵ ,∴ ,∴四边形 为矩形,∴ , ∵ , ,∴ , ∴ ,即 ,由(1)可知, ,∴ , ∴ ,∴ ,即 ,∴ , ∵ ,∴ , ∴小明在做凸透镜成像实验时,不断改变物距,光线 始终经过主光轴 上一定点,该定点透镜为焦 点. 1.(2022·湖南怀化·中考真题)如图,△ABC中,点D、E分别是AB、AC的中点,若S ADE=2,则 △S ABC=_____. △ 【答案】8 【分析】根据三角形中位线定理求得DE∥BC, ,从而求得△ADE∽△ABC,然后利用相似三角形 的性质求解. 【详解】解:∵D、E分别是AB、AC的中点,则DE为中位线, 所以DE∥BC, 所以△ADE∽△ABC∴ ∵S =2,∴S =8故答案为:8. ADE ABC △ △ 【点睛】本题考查中位线及平行线性质,本题难度较低,主要考查学生对三角形中位线及平行线性质等知 识点的掌握. 2.(23-24九年级下·云南昆明·阶段练习)如图,在 中,D,E分别为 , 上的三等分点,若 ,则 ( ) A. B. C. D. 【答案】A 【分析】根据 ,得到 ,得到 ,结合D,E分别为 , 上的三等分点,得到 ,继而得到 即 解答即可. 本题考查了三角形相似的判定和性质,熟练掌握判定和性质是解题的关键. 【详解】∵ , ∴ , ∴ , ∵D,E分别为 , 上的三等分点, ∴ , ∴ 即 . 故选:A. 3.(2024九年级下·浙江·专题练习)如图,在平行四边形 中,点E是 上一点, ,连 接 交 于点G,延长 交 的延长线于点F,则 的值为( ) A. B. C. D. 【答案】A 【分析】本题考查了相似三角形的判定与性质,平行四边形的性质,解决本题的关键是利用平行四边形的 性质对边平行而构建相似三角形. 先根据平行四边形的性质得到 ,则可判断 , ,于是根据相似三角形 的性质和 即可得结果. 【详解】解:∵四边形 为平行四边形, , ,∴,∴ , , ,∴ ,∴ .故选:A. 4.(22-23九年级上·山东青岛·期末)如图,在正方形 中, 为 的中点, 为 的中点, 的延长线与 的延长线交于点 , 与 相交于点 .若 ,则 的长为: . 【答案】10 【分析】根据正方形的性质可求出 , ,则有点 为 的中点, 是 的中线,再证 ,根据三角形相似的性质可求出 的长,由此即可求解. 【详解】解:∵正方形 中, 为 的中点, 为 的中点, ∴ , , , ∴ , ∴ , ∵ , ∴ ,即 ; ∵ 为 的中点,即 , , , ∴ , ∴ , ∴点 为 的中点, 在 中, 是 的中线, ∴ , ∵ ,即 , , ∴ ,且 , , ∴ ,即 , ∴ ,∴ , ∵ , ∴ , 故答案为: . 【点睛】本题主要考查正方形的性质,三角形的全等的判定和性质,直角三角形斜边中线等于斜边一半, 三角形的相似的判定和性质,直角三角形的勾股定理,掌握正方形的性质,三角形全等,相似的判定和性 质,勾股定理是解题的关键. 5.(23-24八年级下·上海闵行·期末)已知:如图.正方形 的边长为 ,点 是边 上一点, 与对角线 交于点 ,如果 ,那么线段 长为 . 【答案】 【分析】本题考查正方形的性质,相似三角形的判定与性质,勾股定理.熟练掌握相关性质与判定是解题 的关键. 先证明 ,得到 ,设 ,则 ,从而求得 , ,再用勾股定理求出x值,即可求解. 【详解】解:∵正方形 , ∴ , , , ∴ , ∴ , 设 ,则 , ∴ ,解得: , ∴ , 在 中,由勾股定理,得 , ∴ , 解得: 或 , 经检验, 是原方程的解也符合题意, 是原方程的解,但不符合题意,舍去, ∴ . 故答案为: . 6.(2022·河北·中考真题)如图是钉板示意图,每相邻4个钉点是边长为1个单位长的小正方形顶点,钉 点A,B的连线与钉点C,D的连线交于点E,则 (1)AB与CD是否垂直?______(填“是”或“否”);(2)AE=______. 【答案】 是 ## 【分析】(1)证明 ACG≌ CFD,推出∠CAG=∠FCD,证明∠CEA=90°,即可得到结论; (2)利用勾股定理△求得AB的△长,证明 AEC∽△BED,利用相似三角形的性质列式计算即可求解. 【详解】解:(1)如图:AC=CF=2,C△G=DF=1,∠ACG=∠CFD=90°, ∴ ACG≌ CFD, ∴∠CAG=∠FCD, ∵△∠ACE+∠△FCD=90°,∴∠ACE+∠CAG=90°, ∴∠CEA=90°,∴AB与CD是垂直的,故答案为:是; (2)AB= 2 ,∵AC∥BD,∴ AEC∽△BED, △ ∴ ,即 ,∴ ,∴AE= BE= .故答案为: .【点睛】本题考查了相似三角形的判定和性质,全等三角形的判定和性质,解答本题的关键是明确题意, 找出所求问题需要的条件. 7.(2021·江苏南京·中考真题)如图, 与 交于点O, ,E为 延长线上 一点,过点E作 ,交 的延长线于点F. (1)求证 ; (2)若 ,求 的长. 【答案】(1)证明见解析;(2) 【分析】(1)直接利用“AAS”判定两三角形全等即可; (2)先分别求出BE和DC的长,再利用相似三角形的判定与性质进行计算即可. 【详解】解:(1)∵ , 又∵ , ∴ ; (2)∵ , ∴ , , ∵ , ∴ , ∴ ,∴ , ∴ , ∴ 的长为 . 【点睛】本题考查了全等三角形的判定与性质、平行线分线段成比例的推论、相似三角形的判定与性质等, 解决本题的关键是牢记相关概念与公式,能结合图形建立线段之间的关联等,本题较基础,考查了学生的 几何语言表达和对基础知识的掌握与应用等. AB 1 8. (2022·浙江九年级期中)如图,已知AB∥CD,AC与BD相交于点E,点F在线段BC上, = , CD 2 BF 1 = .(1)求证:AB∥EF;(2)求S :S :S . CF 2 ABE EBC ECD △ △ △ 【答案】见解析 AB BE 1 【解析】(1)证明:∵AB∥CD,∴ = = , CD ED 2 BF 1 BE BF ∵ = ,∴ = ,∴EF∥CD,∴AB∥EF. CF 2 ED FC (2)设△ABE的面积为m. S AB 1 ∵AB∥CD,∴△ABE∽△CDE,∴ △ABE =( )2= ,∴S =4m, S CD 4 CDE △EDC △ AE AB 1 ∵ = = ,∴S =2m, CE CD 2 BEC △ ∴S :S :S =m:2m:4m=1:2:4. ABE EBC ECD 9.△(2022·△广西贵港△·中考真题)已知:点C,D均在直线l的上方, 与 都是直线l的垂线段,且 在 的右侧, , 与 相交于点O. (1)如图1,若连接 ,则 的形状为______, 的值为______;(2)若将 沿直线l平移,并以 为一边在直线l的上方作等边 . ①如图2,当 与 重合时,连接 ,若 ,求 的长; ②如图3,当 时,连接 并延长交直线l于点F,连接 .求证: . 【答案】(1)等腰三角形, (2)① ;②见解析 【分析】(1)过点C作CH⊥BD于H,可得四边形ABHC是矩形,即可求得AC=BH,进而可判断△BCD 的形状,AC、BD都垂直于l,可得△AOC∽△BOD,根据三角形相似的性质即可求解. (2)①过点E作 于点H,AC,BD均是直线l的垂线段,可得 ,根据等边三角形的性质 可得 ,再利用勾股定理即可求解. ②连接 ,根据 ,得 ,即 是等边三角形,把 旋转得 ,根据30°角所对的直角边等于斜边的一般得到 ,则可得 ,根据三角形相似的性质即可求证结论. (1)解:过点C作CH⊥BD于H,如图所示: ∵AC⊥l,DB⊥l,CH⊥BD,∴∠CAB=∠ABD=∠CHB=90°,∴四边形ABHC是矩形,∴AC=BH, 又∵BD=2AC,∴AC=BH=DH,且CH⊥BD,∴ 的形状为等腰三角形,∵AC、BD都垂直于l,∴△AOC∽△BOD, ,即 , ,故答案为:等腰三角形, . (2)①过点E作 于点H,如图所示: ∵AC,BD均是直线l的垂线段,∴ ,∵ 是等边三角形,且 与 重合, ∴∠EAD=60°,∴ ,∴ ,∴在 中, , , 又∵ , ,∴ ,∴ , 又 ,∴ , 又由(1)知 ,∴ ,则 ,∴在 中,由勾股定理得: . ②连接 ,如图3所示:∵ ,∴ , ∵ 是等腰三角形,∴ 是等边三角形,又∵ 是等边三角形, ∴ 绕点D顺时针旋转 后与 重合,∴ , 又∵ ,∴ , ∴ ,∴ ,又 ,∴ , ∴ ,∴ . 【点睛】本题考查了矩形的判定及性质、三角形相似的判定及性质、等边三角形的判定及性质、勾股定理 的应用,熟练掌握三角形相似的判定及性质和勾股定理的应用,巧妙借助辅助线是解题的关键. 10.(2024·陕西西安·模拟预测)在一个周末晚上,甲和乙两位同学借鉴课本中《海岛算经》所学的测量 方法,利用灯光下的影子长来测量一路灯高度.如图,在一水平的人行道路上,当甲走到点 处时,乙测 得甲直立时身高 的影子 长是 ,然后甲从 出发沿 方向继续向前走 到点 处时,乙测 得甲直立时身高 的影子 长是 .已知甲同学直立时的身高为 ,求路灯离地面的高度 . 【答案】路灯离地面的高度 为【分析】本题考查了相似三角形的应用,设 , ,由题意得出 ,推出 , ,由相似三角形的性质列式计算即可得出答案. 【详解】解:设 , , ∵ , , , ∴ , ∴ , , ∴ , , ∴ , , 解得: , ∴路灯离地面的高度 为 . 11.(23-24八年级下·山东烟台·期中)如图, , 于点D, , 交 于点 P, .若 ,求 的长. 【答案】 【分析】本题主要考查了等腰三角形的性质,平行线分线段成比例的应用,证明 ,结合 ,可得 , ,从而得到 ,据此可得答案. 【详解】解:∵ , , ∴ , ∵ , ∴ , ∴ , ∵ , ,∴ , ∴ , ∴ , ∵ , ∴ . 12.(2023·浙江·九年级专题练习)已知:如图,四边形ABCD是平行四边形,在边AB的延长线上截取 BE=AB,点F在AE的延长线上,CE和DF交于点M,BC和DF交于点N,联结BD. (1)求证:△BND∽△CNM; (2)如果AD2=AB•AF,求证:CM•AB=DM•CN. 【答案】(1)见解析;(2)见解析 【分析】(1)利用平行四边形的性质得AB=CD,AB∥CD,再证明四边形BECD为平行四边形得到 BD∥CE,根据相似三角形的判定方法,由CM∥DB可判断△BND∽△CNM; (2)先利用AD2=AB•AF可证明△ADB∽△AFD,则∠1=∠F,再根据平行线的性质得∠F=∠4, ∠2=∠3,所以∠3=∠4,加上∠NMC=∠CMD,于是可判断△MNC∽△MCD,所以MC:MD=CN:CD, 然后利用CD=AB和比例的性质即可得到结论. 【详解】证明:(1)∵四边形ABCD是平行四边形, ∴AB=CD,AB∥CD, 而BE=AB, ∴BE=CD, 而BE∥CD, ∴四边形BECD为平行四边形, ∴BD∥CE, ∵CM∥DB,∴△BND∽△CNM; (2)∵AD2=AB•AF, ∴AD:AB=AF:AD, 而∠DAB=∠FAD, ∴△ADB∽△AFD, ∴∠1=∠F, ∵CD∥AF,BD∥CE, ∴∠F=∠4,∠2=∠3, ∴∠3=∠4, 而∠NMC=∠CMD, ∴△MNC∽△MCD, ∴MC:MD=CN:CD, ∴MC•CD=MD•CN, 而CD=AB, ∴CM•AB=DM•CN. 【点睛】本题考查了三角形相似的判定与性质:在判定两个三角形相似时,应注意利用图形中已有的公共 角、公共边等隐含条件,以充分发挥基本图形的作用,寻找相似三角形的一般方法是通过作平行线构造相 似三角形.在运用相似三角形的性质时主要利用相似比计算线段的长.也考查了平行四边形的判定与性质. 13.(2024·上海市九年级期中)如图,在△ABC中,点D在边AB上,点E、点F在边AC上,且DE BC, .(1)求证:DF BE;(2)如且AF=2,EF=4,AB=6 .求证△ADE∽△AEB.【分析】(1)由题意易得 ,则有 ,进而问题可求证; (2)由(1)及题意可知 ,然后可得 ,进而可证 ,最后问题可求证. 【详解】解:(1)∵DE BC,∴ , ∵ ,∴ ,∴DF BE; (2)∵AF=2,EF=4, ∴由(1)可知, ,AE=6, ∵AB=6 ,∴ , ∴ , ∴ , ∵∠A=∠A,∴△ADE∽△AEB. 【点睛】本题主要考查相似三角形的判定,熟练掌握相似三角形的判定方法是解题的关键. 14.(22-23九年级上·江苏淮安·阶段练习)【结论提出】:三角形的角平分线分对边所成的两条线段的比 等于夹这个角的两条边的比. (1)【思路说明】已知:如图1, 中, 平分 交 于D.试说明: .理由:过 点C作 ,交BA延长线于点E,易得 ______,由 , 平分 可得 ______,代入上式得 .(2)【直接应用】如图2, 中, , 平分 交 于D,若 ,在不 添加辅助线的情况下直接写出 ______. (3)如图3,若四边形 为矩形, ,将 沿 翻折得到 ,延长 、 分别 交 于M、H两点,当 时. ①求 的长; ②直接写出 ______; (4)【拓展延伸】如图4,若四边形 是边长为6的菱形, ,当点E为 边的三等分点时, 将 沿 翻折得到 ,直线 与 所在直线交于点P、与 所在直线交于点Q,请直接写出 的长______. 【答案】(1) ; (2) (3) ;(4) 或 【分析】(1)根据平行线分线段成比例,以及平行线的性质和角平分线的定义作答即可; (2)由三角形的角平分线分对边所成的两条线段的比等于夹这个角的两条边的比,求出 与 的比值, 再利用勾股定理进行计算即可; (3)①设 利用翻折的性质和勾股定理进行求解即可; ②证明 ,得到 平分 ,利用结论即可得解; (4)分 和 两种情况进行求解.过点 作 ,利用角平分线的结论,以及勾 股定理求出 ,再利用菱形的对边平行得到 ,利用相似比进行计算即可. 【详解】(1)解:∵ , ∴ , , ∵ 平分 , ∴ , ∴ , ∴ , ∴ ; (2)解:∵ 平分 , 由(1)知: , 设 , ∵ , , ∴ ,即: , 解得: , ∴ ; (3)解:①∵四边形 是矩形, ∴ ,∵翻折, ∴ , ∴ , ∵ , 设 ,则: , 在 中: , ∴ ,解得: , ∴ ; ②在 和 中, , , ,即 平分 , ; (4)解:当 时, ∵四边形 为边长为6的菱形, ,点E为 边的三等分点, ∴ , ∴ , ∵翻折, ∴ , ∴ , ∴ 平分 , ∴ ,即 , ∴ , ∴ , 过点 作 , ∵ ,, , , , 即: , 解得: 或 , 当 时, ,不符合题意. 当 时, , ∵ , 即: 当 时:如图5,过点 作 交 的延长线于点 , 同理可证: , 即:, , , 即: , 解得: 或 , 当 时, 不符合题意, 当 时, ,即: 综上所述,CP的长为 或 . 【点睛】本题考查三角形的角平分线分对边所成的两条线段的比等于夹这个角的两条边的比.熟练掌握结 论,做题过程中合理应用是解题的关键.同时考查了矩形的性质,菱形的性质,勾股定理,相似三角形的 判定和性质,综合性很强,属于中考常考题型.15.(2023·湖北武汉·统考模拟预测)问题背景:如图1,在四边形 中,点F,E,G分别在 上, , ,求证: 尝试应用:如图 2, 是 的中线,点E在 上,直线 交 于点G,直线 交 于点F, 若 ,求 的值. 迁移拓展:如图3,在等边 中,点D在 上,点E在 上,若 , ,直接 写出 的值.(用含m的式子表示) 【答案】问题背景:见解析;尝试应用: ;迁移拓展: 【分析】问题背景:根据 , ,推出 ,根据对应边成比例即 可得到结论; 尝试应用:延长 至D,使得 ,连接 , 证得四边形 是平行四边形,得到 ,由图(1)得, ,即可得到 ,利用 , 得到 ; 迁移拓展:过点E作 ,交 于点M,交 于点N,得到 也是等边三角形,推出 ,证明 ,得到 ,即 ,由图(1)可得 ,设 ,则 ,求出 ,即可得到 .【详解】问题背景:如图(1),证明:∵ , , ∴ , ∴ , ∴ ; 尝试应用:如图(2), 解:延长 至D,使得 ,连接 , ∵ 是 的中线, ∴ , ∵ , ∴四边形 是平行四边形, ∴ , 由图(1)得, , ∴ , ∴ , ∵ , ∴ ; 迁移拓展:如图(3),过点E作 ,交 于点M,交 于点N, ∵ 是等边三角形, ∴ , ∵ , ∴ , ∴ 也是等边三角形, ∴ ∴ , 又∵ ∴ ∴ ,即 , ∴ 由图(1)可得 , 设 ,则 , ∴ , ∴ , ∴ . 【点睛】此题考查了相似三角形的判定和性质,应用类比的方法解决问题,正确掌握相似三角形的判定和 性质及类比方法是解题的关键. 16.(2023·浙江杭州·统考中考真题)在边长为 的正方形 中,点 在边 上(不与点 , 重合),射线 与射线 交于点 . (1)若 ,求 的长. (2)求证: . (3)以点 为圆心, 长为半径画弧,交线段 于点 .若 ,求 的长. 【答案】(1) (2)见解析 (3) 【分析】(1)证明 ,利用相似三角形的对应边成比例求解; (2)证明 ,利用相似三角形的对应边成比例证明; (3)设 ,则 , ,在 中,利用勾股定理求解. 【详解】(1)解:由题知, , 若 ,则 . 四边形 是正方形, , 又 , , , 即 ,. (2)证明: 四边形 是正方形, , , , , , . (3)解:设 , 则 , . 在 中, , 即 , 解得 . . 【点睛】本题考查了相似三角形的性质与判定,勾股定理的应用,正方形的性质等,熟练掌握相关性质定 理是解题的关键. 17.(2022·四川内江·中考真题)如图,在矩形ABCD中,AB=6,BC=4,点M、N分别在AB、AD上, 且MN⊥MC,点E为CD的中点,连接BE交MC于点F. (1)当F为BE的中点时,求证:AM=CE;(2)若 =2,求 的值;(3)若MN∥BE,求 的值. 【答案】(1)见解析(2) (3) 【分析】(1)根据矩形的性质,证明△BMF≌ △ECF,得BM=CE,再利用点E为CD的 中点,即可证明结论; (2)利用△BMF∽△ECF,得 ,从而求出BM的长,再利用△ANM∽△BMC ,得 ,求出AN的长,可得答案; (3)首先利用同角的余角相等得 ∠CBF= ∠CMB,则tan∠CBF =tan∠CMB,得 ,可得BM的长,由(2)同理可得答案. (1)证明:∵F为BE的中点,∴BF=EF,∵四边形ABCD是矩形,∴AB∥CD,AB=CD ∴∠BMF=∠ECF,∵∠BFM=∠EFC,∴△BMF≌△ECF(AAS),∴BM=CE, ∵点E为CD的中点,∴CE= CD,∵AB=CD,∴ , ∴ ,∴AM=CE; (2)∵∠BMF=∠ECF,∠BFM=∠EFC,∴△BMF∽△ECF,∴ , ∵CE=3,∴BM= ,∴AM= ,∵CM⊥MN,∴∠CMN=90°,∴∠AMN+∠BMC=90°, ∵∠AMN+∠ANM=90°,∴∠ANM=∠BMC, ∵∠A=∠MBC,∴△ANM∽△BMC,∴ ,∴ ,∴ , ∴DN=AD﹣AN=4﹣ = ,∴ ; (3)∵MN∥BE,∴∠BFC=∠CMN,∴∠FBC+∠BCM=90°, ∵∠BCM+∠BMC=90°,∴∠CBF=∠CMB,∴tan∠CBF=tan∠CMB, ∴ ,∴ ,∴ ,∴ , 由(2)同理得, ,∴ ,解得:AN= , ∴DN=AD﹣AN=4﹣ = ,∴ .【点睛】本题是相似形综合题,主要考查了矩形的性质,全等三角形的判定与性质,相似三角形的判定与 性质,三角函数等知识,求出BM的长是解决(2)和(3)的关键. 18.(2024•重庆中考模拟)问题提出:如图1,D、E分别在△ABC的边AB、AC上,连接DE,已知线段 AD=a,DB=b,AE=c,EC=d,则S ,S 和a,b,c,d之间会有怎样的数量关系呢? ADE ABC △ △ 问题解决:探究一:(1)看到这个问题后,我们可以考虑先从特例入手,找出其中的规律.如图2,若 DE∥BC,则∠ADE=∠B,且∠A=∠A,所以△ADE∽△ABC,可得比例式: 而根据相似三角 形面积之比等于相似比的平方.可得 .根据上述这两个式子,可以推出:. (2)如图3,若∠ADE=∠C,上述结论还成立吗?若成立,请写出证明过程;着不成立,请说明理由. 探究二:回到最初的问题,若图1中没有相似的条件,是否仍存在结论: ?方法回顾: 两个三角形面积之比,不仅可以在相似的条件下求得,当两个三角形的底成高具有一定的关系时,也可以 解决.如图4,D在△ABC的边上,做AH⊥BC于H,可得: .借用这个结论, 请你解决最初的问题. 延伸探究:(1)如图5,D、E分别在△ABC的边AB、AC反向延长线上,连接DE,已知线段AD=a, AB=b,AE=c,AC=d,则 .(2)如图6,E在△ABC的边AC上,D在AB反向延长线上, 连接DE,已知线段AD=a,AB=b,AE=c,AC=d, . 结论应用:如图7,在平行四边形ABCD中,G是BC边上的中点,延长GA到E,连接DE交BA的延长线 于F,若AB=5,AG=4,AE=2, ABCD的面积为30,则△AEF的面积是 . ▱ 【答案】探究一:(2)见解析;延伸探究:(1) ;(2) ;结论应用: 【分析】问题解决:探究一(2):参照(1)中证明方法解答即可; 探究二,过D、B点分别作 ,垂足分别为M、N,然后按照探究一中方法证明即可; 延伸探究:(1)过D、B点分别作 ,垂足分别为M、N,然后按照探究一中方法证明即可; (2)过D、B点分别作 ,垂足分别为M、N,然后按照探究一中方法证明即可; 结论应用:取AD的中点M,连接GM并延长交DE于点N,连接DG,可得 ,根据题意,进而得 出 ,根据AM=DM, ,可得FN=DN,根据AE=2,AG=4, ,可得FN=2EF,进而可得ED=5EF,即可得出 . 【详解】解:问题解决:探究一: (2)成立,理由如下:∵∠ADE=∠C,∠A=∠A,∴ ,∴ , ∴ ; 探究二:过D、B点分别作 ,垂足分别为M、N, ∵ ,∴ ,∴ , ; 延伸探究:(1)过D、B点分别作 ,垂足分别为M、N, ∵ ,∴ ,∴ , ; (2)过D、B点分别作 ,垂足分别为M、N,∵ ,∴ ,∴ , ; 结论应用:取AD的中点M,连接GM并延长交DE于点N,连接DG, ∴AM=DM, ,∵AE=2,AG=4,∴ , ∵AM=DM, ,∴FN=DN,∵AE=2,AG=4, , ∴ ,即:FN=2EF,∴ED=5EF,∴ . 【点睛】本题考查了相似三角形的判定与性质,平行线分线段成比例等知识点,熟练运用相似三角形的性 质是解题的关键.