当前位置:首页>文档>微专题直线与抛物线的位置关系学案——2023届高考数学一轮《考点·题型·技巧》精讲与精练_2.2025数学总复习_赠品通用版(老高考)复习资料_一轮复习

微专题直线与抛物线的位置关系学案——2023届高考数学一轮《考点·题型·技巧》精讲与精练_2.2025数学总复习_赠品通用版(老高考)复习资料_一轮复习

  • 2026-04-22 11:30:07 2026-03-20 06:46:42

文档预览

微专题直线与抛物线的位置关系学案——2023届高考数学一轮《考点·题型·技巧》精讲与精练_2.2025数学总复习_赠品通用版(老高考)复习资料_一轮复习
微专题直线与抛物线的位置关系学案——2023届高考数学一轮《考点·题型·技巧》精讲与精练_2.2025数学总复习_赠品通用版(老高考)复习资料_一轮复习
微专题直线与抛物线的位置关系学案——2023届高考数学一轮《考点·题型·技巧》精讲与精练_2.2025数学总复习_赠品通用版(老高考)复习资料_一轮复习
微专题直线与抛物线的位置关系学案——2023届高考数学一轮《考点·题型·技巧》精讲与精练_2.2025数学总复习_赠品通用版(老高考)复习资料_一轮复习
微专题直线与抛物线的位置关系学案——2023届高考数学一轮《考点·题型·技巧》精讲与精练_2.2025数学总复习_赠品通用版(老高考)复习资料_一轮复习
微专题直线与抛物线的位置关系学案——2023届高考数学一轮《考点·题型·技巧》精讲与精练_2.2025数学总复习_赠品通用版(老高考)复习资料_一轮复习
微专题直线与抛物线的位置关系学案——2023届高考数学一轮《考点·题型·技巧》精讲与精练_2.2025数学总复习_赠品通用版(老高考)复习资料_一轮复习
微专题直线与抛物线的位置关系学案——2023届高考数学一轮《考点·题型·技巧》精讲与精练_2.2025数学总复习_赠品通用版(老高考)复习资料_一轮复习
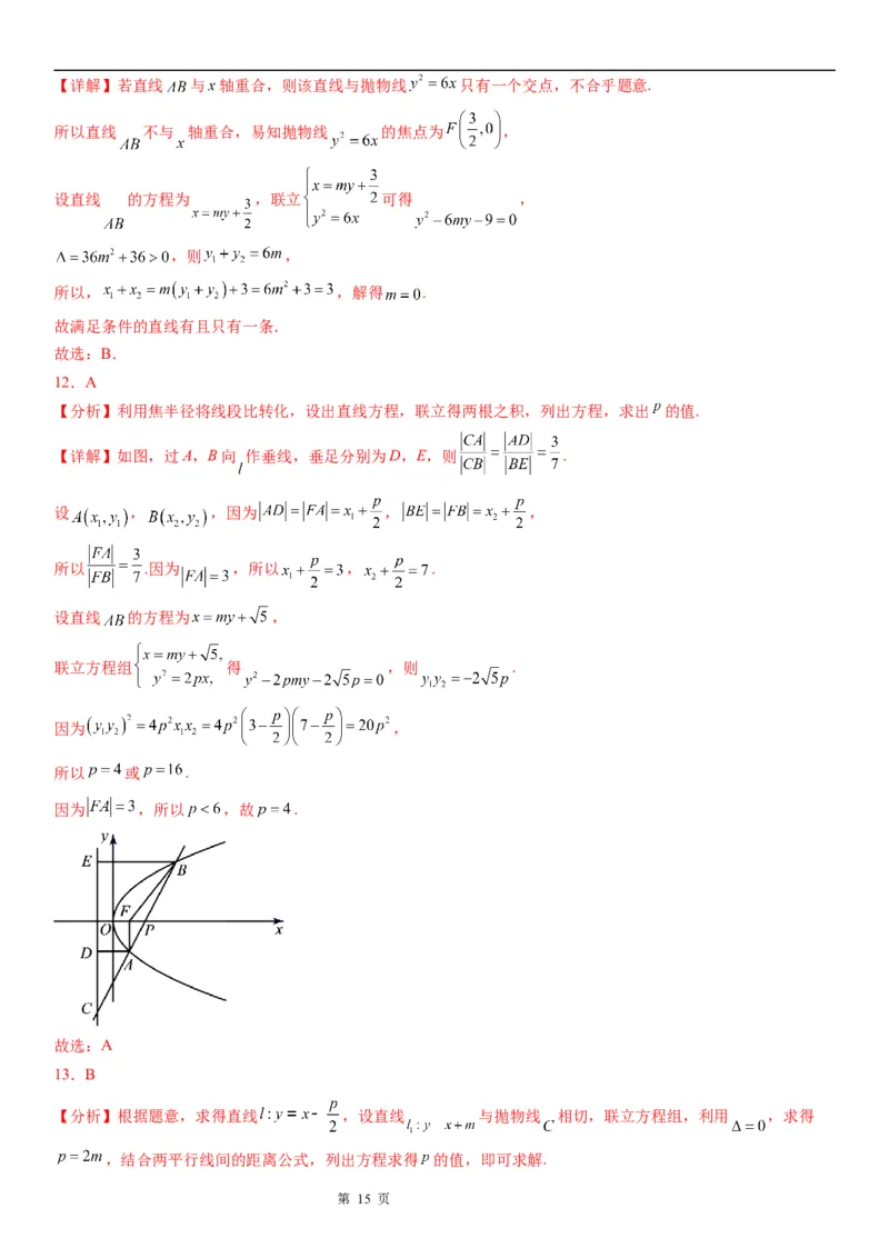
微专题直线与抛物线的位置关系学案——2023届高考数学一轮《考点·题型·技巧》精讲与精练_2.2025数学总复习_赠品通用版(老高考)复习资料_一轮复习
微专题直线与抛物线的位置关系学案——2023届高考数学一轮《考点·题型·技巧》精讲与精练_2.2025数学总复习_赠品通用版(老高考)复习资料_一轮复习
微专题直线与抛物线的位置关系学案——2023届高考数学一轮《考点·题型·技巧》精讲与精练_2.2025数学总复习_赠品通用版(老高考)复习资料_一轮复习
微专题直线与抛物线的位置关系学案——2023届高考数学一轮《考点·题型·技巧》精讲与精练_2.2025数学总复习_赠品通用版(老高考)复习资料_一轮复习
微专题直线与抛物线的位置关系学案——2023届高考数学一轮《考点·题型·技巧》精讲与精练_2.2025数学总复习_赠品通用版(老高考)复习资料_一轮复习
微专题直线与抛物线的位置关系学案——2023届高考数学一轮《考点·题型·技巧》精讲与精练_2.2025数学总复习_赠品通用版(老高考)复习资料_一轮复习
微专题直线与抛物线的位置关系学案——2023届高考数学一轮《考点·题型·技巧》精讲与精练_2.2025数学总复习_赠品通用版(老高考)复习资料_一轮复习
微专题直线与抛物线的位置关系学案——2023届高考数学一轮《考点·题型·技巧》精讲与精练_2.2025数学总复习_赠品通用版(老高考)复习资料_一轮复习
微专题直线与抛物线的位置关系学案——2023届高考数学一轮《考点·题型·技巧》精讲与精练_2.2025数学总复习_赠品通用版(老高考)复习资料_一轮复习
微专题直线与抛物线的位置关系学案——2023届高考数学一轮《考点·题型·技巧》精讲与精练_2.2025数学总复习_赠品通用版(老高考)复习资料_一轮复习
微专题直线与抛物线的位置关系学案——2023届高考数学一轮《考点·题型·技巧》精讲与精练_2.2025数学总复习_赠品通用版(老高考)复习资料_一轮复习
微专题直线与抛物线的位置关系学案——2023届高考数学一轮《考点·题型·技巧》精讲与精练_2.2025数学总复习_赠品通用版(老高考)复习资料_一轮复习
微专题直线与抛物线的位置关系学案——2023届高考数学一轮《考点·题型·技巧》精讲与精练_2.2025数学总复习_赠品通用版(老高考)复习资料_一轮复习
微专题直线与抛物线的位置关系学案——2023届高考数学一轮《考点·题型·技巧》精讲与精练_2.2025数学总复习_赠品通用版(老高考)复习资料_一轮复习
微专题直线与抛物线的位置关系学案——2023届高考数学一轮《考点·题型·技巧》精讲与精练_2.2025数学总复习_赠品通用版(老高考)复习资料_一轮复习
微专题直线与抛物线的位置关系学案——2023届高考数学一轮《考点·题型·技巧》精讲与精练_2.2025数学总复习_赠品通用版(老高考)复习资料_一轮复习
微专题直线与抛物线的位置关系学案——2023届高考数学一轮《考点·题型·技巧》精讲与精练_2.2025数学总复习_赠品通用版(老高考)复习资料_一轮复习
微专题直线与抛物线的位置关系学案——2023届高考数学一轮《考点·题型·技巧》精讲与精练_2.2025数学总复习_赠品通用版(老高考)复习资料_一轮复习
微专题直线与抛物线的位置关系学案——2023届高考数学一轮《考点·题型·技巧》精讲与精练_2.2025数学总复习_赠品通用版(老高考)复习资料_一轮复习
微专题直线与抛物线的位置关系学案——2023届高考数学一轮《考点·题型·技巧》精讲与精练_2.2025数学总复习_赠品通用版(老高考)复习资料_一轮复习
微专题直线与抛物线的位置关系学案——2023届高考数学一轮《考点·题型·技巧》精讲与精练_2.2025数学总复习_赠品通用版(老高考)复习资料_一轮复习
微专题直线与抛物线的位置关系学案——2023届高考数学一轮《考点·题型·技巧》精讲与精练_2.2025数学总复习_赠品通用版(老高考)复习资料_一轮复习
微专题直线与抛物线的位置关系学案——2023届高考数学一轮《考点·题型·技巧》精讲与精练_2.2025数学总复习_赠品通用版(老高考)复习资料_一轮复习
微专题直线与抛物线的位置关系学案——2023届高考数学一轮《考点·题型·技巧》精讲与精练_2.2025数学总复习_赠品通用版(老高考)复习资料_一轮复习
微专题直线与抛物线的位置关系学案——2023届高考数学一轮《考点·题型·技巧》精讲与精练_2.2025数学总复习_赠品通用版(老高考)复习资料_一轮复习
微专题直线与抛物线的位置关系学案——2023届高考数学一轮《考点·题型·技巧》精讲与精练_2.2025数学总复习_赠品通用版(老高考)复习资料_一轮复习
微专题直线与抛物线的位置关系学案——2023届高考数学一轮《考点·题型·技巧》精讲与精练_2.2025数学总复习_赠品通用版(老高考)复习资料_一轮复习
微专题直线与抛物线的位置关系学案——2023届高考数学一轮《考点·题型·技巧》精讲与精练_2.2025数学总复习_赠品通用版(老高考)复习资料_一轮复习
微专题直线与抛物线的位置关系学案——2023届高考数学一轮《考点·题型·技巧》精讲与精练_2.2025数学总复习_赠品通用版(老高考)复习资料_一轮复习
微专题直线与抛物线的位置关系学案——2023届高考数学一轮《考点·题型·技巧》精讲与精练_2.2025数学总复习_赠品通用版(老高考)复习资料_一轮复习
微专题直线与抛物线的位置关系学案——2023届高考数学一轮《考点·题型·技巧》精讲与精练_2.2025数学总复习_赠品通用版(老高考)复习资料_一轮复习
微专题直线与抛物线的位置关系学案——2023届高考数学一轮《考点·题型·技巧》精讲与精练_2.2025数学总复习_赠品通用版(老高考)复习资料_一轮复习
微专题直线与抛物线的位置关系学案——2023届高考数学一轮《考点·题型·技巧》精讲与精练_2.2025数学总复习_赠品通用版(老高考)复习资料_一轮复习
微专题直线与抛物线的位置关系学案——2023届高考数学一轮《考点·题型·技巧》精讲与精练_2.2025数学总复习_赠品通用版(老高考)复习资料_一轮复习
微专题直线与抛物线的位置关系学案——2023届高考数学一轮《考点·题型·技巧》精讲与精练_2.2025数学总复习_赠品通用版(老高考)复习资料_一轮复习

文档信息

文档格式
docx
文档大小
2.467 MB
文档页数
43 页
上传时间
2026-03-20 06:46:42

文档内容

微专题:直线与抛物线的位置关系 【考点梳理】 解决直线与抛物线公共点(交点)问题,同直线与椭圆、双曲线位置关系问题类似,要注意应用根与系数的关系 及设而不求、整体代换的技巧. 另外,抛物线的几何性质及导数工具等的应用往往能简化运算. 有关直线与抛物线 的弦长问题,要注意直线是否过抛物线的焦点,若过抛物线的焦点,可直接使用公式|AB|=x+x+p,若不过焦点, 1 2 则必须用一般弦长公式. 涉及弦的中点、斜率时,一般用“点差法”求解. 【题型归纳】 题型一:判断直线与抛物线的位置关系 1.直线 与抛物线 的位置关系为( ) A.相交 B.相切 C.相离 D.不能确定 2.抛物线 的焦点为F,A为准线上一点,则线段FA的中垂线与抛物线的位置关系为( ) A.相交 B.相切 C.相离 D.以上都有可能 3.已知抛物线 ,直线 ,则“ ”是“直线l与抛物线C有两个不同交点”的 A.充分而不必要条件 B.必要而不充分条件 C.充分必要条件 D.既不充分也不必要条件 题型二: 求直线与抛物线的交点坐标 4.斜率为 的直线过抛物线 的焦点,且与C交于A,B两点,则三角形 的面积是(O为坐标原 点)( ) A. B. C. D. 5.已知 为坐标原点, 是抛物线 的焦点, 为抛物线上一点,且 ,则 ( ) A. B. C. D. 6.平面直角坐标系 中,双曲线 的渐近线与抛物线 交于点O, A,B,若 的垂心为 的焦点,则 的离心率为( ) 第 1 页 学学科科网网((北北京京))股股份份有有限限公公司司A. B. C. D. 题型三: 求抛物线的切线方程 7.已知抛物线C: ,点M为直线 上一动点,过点M作直线 , 与抛物线C分别切于点A,B, 则 ( ) A.0 B.1 C.-1 D.0或1 8.已知抛物线C: ,A为C上的动点,直线l为C在点A处的切线,则点 到l距离的最小值为 ( ) A. B. C.3 D.4 9.若直线 与曲线 和圆 都相切,则 的方程为( ) A. B. C. D. 题型四: 根据韦达定理求参数 10.已知F是抛物线C: 的焦点,直线 与抛物线C交于A,B两点,且 ,则 ( ) A. B. C. D. 11.过抛物线 的焦点作一条直线与抛物线交于 、 两点,若 ,则这样的直线的条 数为( ) A. B. C. D. 12.已知抛物线 的焦点为F,准线为 ,过 的直线与抛物线交于A,B两点,与准线 交于 C点,若 ,且 ,则 ( ) 第 2 页 学学科科网网((北北京京))股股份份有有限限公公司司A.4 B.12 C.4或16 D.4或12 【双基达标】 13.已知抛物线 的焦点为F,倾斜角为 的直线 过点 ,若 上恰存在3个不同的点到 的距 离为 ,则 的准线方程为( ) A. B. C. D. 14.在平面直角坐标系 中,抛物线 的准线为 与 轴交于点 ,过点 作抛物线的一条切线,切 点为 ,则 的面积为( ) A. B. C.4 D. 15.已知抛物线 的焦点为F,准线为 ,过点F斜率为 的直线 与抛物线C交于点M(M在x 轴的上方),过M作 于点N,连接 交抛物线C于点Q,则 ( ) A. B. C.3 D.2 16.已知抛物线E: 的准线交y轴于点M,过点M作直线l交E于A,B两点,且 ,则直线l的 斜率是( ) A. B. C. D. 17.抛物线方程为 ,任意过点 且斜率不为0的直线和抛物线交于点A,B,已知x轴上存在 一点N(不同于点M),且满足 ,则点N的坐标为( ) A. B. C. D. 18.已知抛物线 的焦点为 ,过点 的直线交抛物线于 , 两点,则 的取值范围是 ( ) 第 3 页 学学科科网网((北北京京))股股份份有有限限公公司司A. B. C. D. 19.已知等边三角形的一个顶点为抛物线 的焦点F,其余两个顶点都在抛物线C上,则该等边三角形的 边长为( ) A. B. C. D. 20.设F是抛物线 的焦点,经过点F且斜率为1的直线与C交于A,B两点.若 (O为坐 标原点)的面积为 ,则 ( ) A. B. C.1 D.2 21.过 的直线l与抛物线E: 交于 , 两点,且与E的准线交于点C,点F是E的焦 点,若 的面积是 的面积的3倍,则 ( ) A. B. C. D. 22.已知抛物线 的焦点为F,若斜率为 的直线l过点F,且与抛物线C交于A,B两点,则线段 的 中点到准线的距离为( ) A. B. C. D. 23.已知抛物线 ( )的焦点为 ,点 为抛物线上一点,以 为圆心的圆经过原点 , 且与抛物线的准线相切,切点为 ,线段 交抛物线于点 ,则 ( ) A. B. C. D. 24.已知点F为抛物线C: 的焦点,点 ,若点Р为抛物线C上的动点,当 取得最大值时,点 第 4 页 学学科科网网((北北京京))股股份份有有限限公公司司P恰好在以F, 为焦点的椭圆上,则该椭圆的离心率为( ) A. B. C. D. 25.阿波罗尼斯研究圆锥曲线的光学性质得到:从抛物线的焦点发出的光线或声波在经过抛物线反射后,反射光 线平行于抛物线的对称轴;反之,平行于抛物线对称轴的光线,经抛物线反射后,反射光线经过抛物线的焦点. 设抛物线C: ,一束平行于抛物线对称轴的光线经过 ,被抛物线反射后,又射到抛物线C上的Q点, 则直线FQ的方程为( ) A. B. C. D. 【高分突破】 一、单选题 26.过抛物线 上一点A作x轴的垂线与C交于点P,过点A作y轴的垂线交y轴于点Q,若C的 焦点F是PQ的中点,且 ,则 ( ) A.1 B. C.2 D.3 27.已知抛物线 的焦点为F,直线 的斜率为 且经过点F,直线l与抛物线C交于点A、B两 点(点A在第一象限),与抛物线的准线交于点D,若 ,则以下结论不正确的是( ) A. B.F为 的中点 C. D. 28.过点 与抛物线 只有一个公共点的直线有( ) A.1条 B.2条 C.3条 D.无数条 29.已知抛物线 的焦点 到准线的距离为2,过焦点 的直线与抛物线交于 、 两点,且 ,则点 到 轴的距离为( ) 第 5 页 学学科科网网((北北京京))股股份份有有限限公公司司A.1 B.2 C.3 D.4 30.已知抛物线 ,过点 作抛物线的两条切线 ,点 为切点.若 的面积 不大于 ,则 的取值范围是( ) A. B. C. D. 31.设O为坐标原点,P是以F为焦点的抛物线 上任意一点,M是线段PF上的点,且 ,则直 线OM的斜率的最大值为( ) A.1 B. C. D. 32.已知抛物线 的焦点为 ,准线 与 轴交于点 ,过焦点 的直线交抛物线于 , 两点,分 别过点 , 作准线 的垂线,垂足分别为 , ,如图所示,则 ①以线段 为直径的圆与准线 相切; ②以 为直径的圆经过焦点 ; ③ , , (其中点 为坐标原点)三点共线; ④若已知点 的横坐标为 ,且已知点 ,则直线 与该抛物线相切; 则以上说法中正确的个数为( ) A.1 B.2 C.3 D.4 33.抛物线具有以下光学性质:从焦点发出的光线经抛物线反射后平行于抛物线的对称轴.该性质在实际生产中应 第 6 页 学学科科网网((北北京京))股股份份有有限限公公司司用非常广泛.如图所示,从抛物线 的焦点F发出的两条光线a,b分别经抛物线上的A,B两点反射, 已知两条入射光线与x轴的夹角均为60°,且两条反射光线 和 之间的距离为 ,则 ( ) A.1 B.2 C.3 D.4 34.过点 且与抛物线 只有一个公共点的直线有( ) A.1条 B.2条 C.3条 D.0条 35.平面直角坐标系 中,直线 与抛物线 相交于 两点, 为 的焦点,若 ,则点 到 轴的距离为( ) A.3 B.4 C.5 D.6 36.已知抛物线 ,过抛物线的焦点作 轴的垂线,与抛物线交于 、 两点,点 的坐标为 ,且 为直角三角形,则以直线 为准线的抛物线的标准方程为( ) A. B. C. D. 37.过抛物线 的焦点F作直线l交抛物线C于A,B两点,若点A到抛物线的准线的距离为3,则 ( ) A. B.3 C. D.4 二、多选题 38.在平面直角坐标系xOy中,过抛物线x2=2y的焦点的直线l与抛物线的两个交点A(x,y),B(x,y),则( 1 1 2 2 ) 第 7 页 学学科科网网((北北京京))股股份份有有限限公公司司A.yy= 1 2 B.以AB为直径的圆与直线 相切 C.OA+OB的最小值 D.经过点B与x轴垂直的直线与直线OA交点一定在定直线上 39.关于切线,下列结论正确的是( ) A.过点 且与圆 相切的直线方程为 B.过点 且与抛物线 相切的直线方程为 C.曲线 在点 处的切线的方程是 D.过点 且与曲线 相切的直线方程为 40.已知抛物线 : ,过其准线上的点 作的两条切线,切点分别为 , ,下列说法正确 的是( ) A. B.当 时, C.当 时,直线 的斜率为2 D. 面积的最小值为4 41.已知抛物线C:y2=4x,其焦点为F,P为直线x=﹣2上任意一点,过P作抛物线C的两条切线,切点分别为 A,B,斜率分别为k,k,则( ) 1 2 A. B.|k﹣k|=2 1 2 C.AB过定点 D. 的最小值为8 三、填空题 42.已知抛物线C: 的焦点为F,过点F的直线 与抛物线C交于A(点A在第一象 限),B两点,且 ,则 (O为坐标原点)的面积是______. 43.已知抛物线C: 的焦点为F,过点F的直线l与抛物线C交于A,B两点.点D为 的中点,B,D在y 第 8 页 学学科科网网((北北京京))股股份份有有限限公公司司轴上的投影分别为P,Q,则 的最小值是___________. 44.过直线 上一点P(点P不在x轴上)作抛物线 的两条切线,两条切线分别交x轴于点G, H,则 外接圆面积的最小值为______. 45.已知点A是抛物线 的对称轴与准线的交点,点B为抛物线的焦点,P在抛物线上.在 PAB中, △ ,当m取最小值时,点P恰好在以A,B为焦点的椭圆上,则椭圆的离心率为 ________. 46.过点(0,2)与抛物线 只有一个交点的直线有______条. 47.设F为抛物线C: 的焦点,过F且倾斜角为30°的直线交C于A,B两点,O为坐标原点,则 的面 积为______. 48.过抛物线C: 的准线l上一点P作C的切线PA,PB,切点分别为A,B,设弦AB的中点为Q,则 的最小值为______. 49.已知抛物线 的焦点为 ,定点 ,若直线 与抛物线 相交于 、 两点(点 在 、 中间),且与抛物线 的准线交于点 ,若 ,则 的长为______. 四、解答题 50.已知抛物线 的焦点为 ,点 在抛物线 上,且 点的纵坐标为4, . (1)求抛物线 的方程; (2)过点 作直线交抛物线 于 两点,试问抛物线 上是否存在定点 使得直线 与 的斜率互为倒 数?若存在求出点 的坐标,若不存在说明理由. 51.在直角坐标系 中,曲线 的参数方程为 (t为参数),曲线 的参数方程为 (s为参 数). (1)写出 的普通方程; 第 9 页 学学科科网网((北北京京))股股份份有有限限公公司司(2)以坐标原点为极点,x轴正半轴为极轴建立极坐标系,曲线 的极坐标方程为 ,求 与 交点 的直角坐标,及 与 交点的直角坐标. 52.已知抛物线 的焦点为 ,且 与圆 上点的距离的最小值为 . (1)求 ; (2)若点 在 上, 是 的两条切线, 是切点,求 面积的最大值. 53.已知抛物线 的焦点为F, 为E上一点. (1)求E的方程及F的坐标; (2)设斜率为1的直线l与E交于A,B两点,若 ,求l的方程. 54.已知抛物线C: 的焦点为F,过焦点F且垂直于x轴的直线交C于H,I两点,O为坐标原点, 的周长为 . (1)求抛物线C的方程; (2)过点F作抛物线C的两条互相垂直的弦AB,DE,设弦AB,DE的中点分别为P,Q,试判断直线PQ是否过定 点?若过定点.求出其坐标;若不过定点,请说明理由. 第 10 页 学学科科网网((北北京京))股股份份有有限限公公司司参考答案 1.A 【分析】直线 过定点 ,在抛物线 内部,即可得出结论. 【详解】直线 过定点 , ∵ , ∴ 在抛物线 内部, ∴直线 与抛物线 相交, 故选:A. 2.B 【分析】求出直线AF的中垂线方程,代入 ,可得 ,即可得出结论. 【详解】设 , ,则 的中点坐标为 , ,所以中垂线的斜率为 ,所以直 线 的中垂线方程为 ,代入 ,可得 ∴ ,∵线段FA的中垂线与抛物线相切. 故选:B 3.A 【分析】设直线l与抛物线C有两个不同交点,把联立直线与抛物线方程消去y得 得m∈R,再利用充分必要条件的定义判断得解. 【详解】设直线l与抛物线C有两个不同交点,把联立直线与抛物线方程消去y得 所以 ,所以m∈R, 因为“ ”是“m∈R”的充分非必要条件, 所以“ ”是“直线l与抛物线C有两个不同交点”的充分非必要条件, 故选A 【点睛】本题主要考查直线和抛物线的位置关系,考查充分必要条件的判定,意在考查学生对这些知识的理解掌 握水平和分析推理能力. 4.B 【分析】写出直线方程,联立抛物线方程,求出A,B两点坐标,进而求出AB的长,再求出原点到直线距离,求 出三角形面积. 【详解】抛物线 的焦点坐标为 , 则斜率为 的直线方程为: ,与抛物线方程联立得: , 设 ,不妨设 , , 则 , 第 11 页点O到直线AB的距离为 , 所以△AOB的面积为 故选:B 5.C 【分析】不妨设点 为第一象限内一点,将直线 的方程与抛物线方程联立,求出点 的坐标,然后利用 抛物线的定义可求得 . 【详解】不妨设点 为第一象限内一点,则直线 的斜率为 ,直线 的方程为 , 联立 ,解得 ,即点 , 所以, . 故选:C. 6.A 【分析】由双曲线的渐近线方程与抛物联立,求得A的坐标,然后根据 的垂心为 的焦点,由 求解 【详解】解:如图所示: 双曲线 的渐近线方程为 ,与抛物线 联立,解得 或 , 所以 , , 因为 的垂心为 的焦点, 第 12 页所以 , 即 ,即 , 所以 , 故选:A 7.A 【分析】设切点 和 ,利用导数的几何意义求出切线 、 的方程,进而 是方程 的两实根,求出 , 根据平面向量的坐标表示化简计算 即可. 【详解】由 ,得 ,则 , 设 , ,所以 , 得切线 的方程为 ,即 , 切线 的方程为 ,即 , 又两条切线过切点 ,有 、 , 所以 是方程 即 的两实根, 得 , 又 , 所以 将 代入上式,得 . 故选:A 8.B 【分析】设 ,根据条件求出抛物线在点 处的切线方程,再求点 到直线 的距离及其最小值. 【详解】因为点 在抛物线C: 上,故可设 , 因为抛物线 在点 处的切线不为0, 故可设抛物线 在点 处的切线方程为 , 第 13 页所以 有且只有一组解, 所以方程 只有一个根, 所以 ,故 , 所以抛物线 在点 处的切线 的方程为: , 所以 到直线 的距离 所以 ,当且仅当 时等号成立, 所以点 到l距离的最小值为 . 故选:B. 9.A 【分析】设切线方程,利用判别式法解决直线与曲线 相切问题,再根据点到直线距离解决与圆相切问题,进 而得解. 【详解】由已知得直线 的斜率存在, 设直线 : , 联立方程 ,即 , 故 , 故圆心 到直线的距离 , 解得 , 故切线方程为 ,或 , 所以A选项正确; 故选:A. 10.A 【分析】设出交点坐标,将直线方程和抛物线方程联立,利用韦达定理写出 ,根据抛物线的定义 可知 ,结合已知条件 ,即可得出正确选项. 【详解】设 , ,由 ,得 ,则 . 又 ,即 . 故选:A. 11.B 【分析】分析可知直线 不与 轴重合,可设该直线的方程为 ,与抛物线的方程联立,列出韦达定理, 由 可求得 的值,即可得出结论. 第 14 页【详解】若直线 与 轴重合,则该直线与抛物线 只有一个交点,不合乎题意. 所以直线 不与 轴重合,易知抛物线 的焦点为 , 设直线 的方程为 ,联立 可得 , ,则 , 所以, ,解得 . 故满足条件的直线有且只有一条. 故选:B. 12.A 【分析】利用焦半径将线段比转化,设出直线方程,联立得两根之积,列出方程,求出 的值. 【详解】如图,过A,B向 作垂线,垂足分别为D,E,则 . 设 , ,因为 , , 所以 .因为 ,所以 , . 设直线 的方程为 , 联立方程组 得 ,则 . 因为 , 所以 或 . 因为 ,所以 ,故 . 故选:A 13.B 【分析】根据题意,求得直线 ,设直线 与抛物线 相切,联立方程组,利用 ,求得 ,结合两平行线间的距离公式,列出方程求得 的值,即可求解. 第 15 页【详解】由题意,抛物线 的焦点为 , 因为直线 的倾斜角为 ,所以直线 , 设直线 与抛物线 相切, 联立方程组 ,可得 , 则 ,解得 ,且 , 故两平行线间的距离 ,解得 , 所以抛物线的方程为 ,则准线方程为 . 故选:B. 14.A 【分析】由题可得 ,可设切线 ,联立抛物线方程可得 ,即求. 【详解】∵抛物线 的准线为 , ∴ ,设过点 作抛物线的一条切线方程为 , 由 ,得 , ∴ ,解得 , ∴ ,解得 ,即 , ∴ 的面积为 . 故选:A. 15.D 【分析】设出直线 ,与抛物线联立,可求出 点坐标,在利用抛物线的定义可得 , 第 16 页再利用抛物线的对称性求出 ,则 可求. 【详解】如图:相关交点如图所示, 由抛物线 ,得 , 则 , 与抛物线 联立得 , 即 , 解得 , 又 则 为等边三角形 , , 由抛物线的对称性可得 , 故选:D. 16.B 【分析】首先根据抛物线方程求出准线方程,即可得到 的坐标,设直线 为 , , , 联立直线与抛物线方程,消元、列出韦达定理,根据 ,即可得到 ,从而求出 、 ,从而求 出 . 【详解】解:抛物线 的准线为 ,所以 , 由题意可知直线 的斜率存在, 第 17 页故设直线 为 , , , 则 ,即 , 所以 , , 因为 ,即 , 所以 , 所以 或 , 所以 . 故选:B 17.A 【分析】设该直线方程为 ,当 时,联立 消去 ,得 ,设 则 由 化简计算可得 ,即可求得 时,可验证依然成立. 【详解】 直线过 且斜率不为0, 设该直线方程为 ,当 时,联立 消去 ,得 , 恒成立,设 则 , 即 即 ,则 , 即 则 , 即 所以 , 即 当 时, 两点关于 轴对称,显然 恒成立. 综上所述, . 故选:A. 18.B 【分析】当直线斜率存在时,设直线方程,联立方程组,结合根与系数关系可得 ,进而求得取值范围, 第 18 页当斜率不存在是,可得 , 两点坐标,进而可得 的值. 【详解】当直线斜率存在时,设直线方程为 , , , 联立方程 ,得 , 恒成立, 则 , , , , , 所以 , 当直线斜率不存在时,直线方程为 , 所以 , , , 综上所述: , 故选:B. 19.D 【分析】根据题意求出其余两个顶点坐标,然后由抛物线定义求其边长 【详解】根据抛物线与等边三角形的性质知 ,其余两个顶点分别在在 上, , 联立解得 ,根据抛物线的定义得其边长为 . 故选:D 20.B 【分析】设直线方程,联立抛物线方程消元,利用韦达定理可得 ,然后数形结合可知 ,计算可得. 【详解】由题知,直线AB方程为: ,即 代入 ,整理得 设 ,则 所以, 解得 . 第 19 页故选:B 21.A 【分析】现根据所给条件面积之间的关系推出 ,再根据抛物线的几何性质推得 ,设 直线方程联立抛物线方程,整理得到 ,联立可解得答案. 【详解】如图示:过点 作 垂直于准线,垂足为 ,作 垂直于准线,垂足为 , 由 的面积是 的面积的3倍可知, , 而 ,则 , 故 , 根据抛物线性质可知 , 所以 ,即 , 显然过 的直线l的斜率存在,设为 , 则直线方程为 ,和抛物线方程 联立, 第 20 页整理得: 所以 ,结合 式,得 , 解得 ,故 , 故选:A. 22.A 【分析】设 ,由直线方程与抛物线方程联立消去 后利用韦达定理得 ,从而可得 中点 横坐标,也即可求得中点到准线的距离. 【详解】由题意抛物线标准方程为 , , ,∴焦点为 ,准线方程为 , 直线 方程为 ,代入抛物线方程整理得 ,设 ,则 ,设 中点为 ,则 , ∴ 到准线的距离为 . 故选:A. 【点睛】本题考查直线与抛物线相交弦中点问题,解题时直线方程与抛物线方程联立方程组消元后应用韦达定理 可得中点坐标. 23.B 【分析】根据题意 , ,解得 ,过点 向抛物线的准线作垂线,则 ,计算得到答案. 【详解】根据题意, ,又 ,解得 , , 则抛物线方程为 ,所以 , , , 设 ,过点 向抛物线的准线作垂线, 垂足为 ,根据抛物线的定义可知, ,因为 , 所以 . 故选: . 第 21 页24.D 【分析】过点P引抛物线准线的垂线,交准线于D,根据抛物线的定义可知 ,记 ,根据题意,当 最小,即直线 与抛物线相切时满足题意,进而解出此时P的坐标, 解得答案即可. 【详解】如图,易知点 在抛物线C的准线 上,作PD垂直于准线,且与准线交于点D,记 ,则 . 由抛物线定义可知, .由图可知,当 取得最大值时, 最小,此时直线 与抛物线 相切,设切线方程为 ,代入抛物线方程并化简得: , ,方程化为: ,代入抛物线方程解 得: ,即 ,则 , . 于是,椭圆的长轴长 ,半焦距 ,所以椭圆的离心率 . 故选:D. 25.D 【分析】由题设可得 ,由三点共线结合斜率两点式求直线FQ的斜率,进而利用点斜式写出直线方程. 第 22 页【详解】设过 平行于抛物线对称轴的直线与抛物线交于点P,易知 . 将 代入抛物线方程得 ,即 , 又焦点为F ,且P,F,Q三点共线,则 , 由点斜式方程化简得 . 故选:D 26.C 【分析】根据题意作图象,由图象及条件可得 点横坐标,代入抛物线方程求出A点纵坐标,利用勾股定理列出 方程求解. 【详解】如图, 因为 是直角三角形 斜边的中点, 所以 ,故 ,代入 可得 , 在直角三角形 中,由勾股定理可得 , 解得 , 故选:C 27.D 【分析】设出直线 的方程,并与抛物线方程联立,求得 两点的坐标,根据 求得 ,求得 点的坐标, 从而确定正确选项. 【详解】依题意 ,设直线 的方程为 , 由 消去 并化简得 , 解得 , 所以 , 第 23 页所以 ,A选项正确. 直线 的方程为 , 令 ,则 ,故 , 由于 , ,所以 是 的中点,B选项正确, , , ,C选项正确,D选项错误. 故选:D 28.C 【分析】由已知,根据题意,过点 分别从与 轴平行,直线斜率不存在,直线斜率存在三种情况分别求解出 满足题意的直线,然后即可做出判断. 【详解】由已知,可得 ①当直线过点 且与 轴平行时,方程为 ,与抛物线 只有一个公共点; ②当直线斜率不存在时,方程为 ,与抛物线 只有一个公共点; ③当直线斜率存在时,设直线方程为 ,由 可得, , ,解得 ,故直线方程 . 所以存在3条直线 , , 满足过点 与抛物线 只有一个公共点. 故选:C. 29.B 【分析】可设出直线方程与抛物线方程联立,得出 ,再由焦半径公式表示出 ,得到 ,结 合这两个关系式可求解 【详解】已知焦点F到准线的距离为2,得 ,可得 设 ( ), , 与抛物线方程 联立可得: , , ① 又 , , ② 根据①②解得 , 点A到y轴的距离为2. 故选:B 30.C 第 24 页【分析】由题意,设 ,直线 的方程为 ,则由点到直线的距离公式求出点 到直 线 的距离 ,再联立直线 与抛物线方程,由韦达定理及弦长公式求出 ,进而可得 ,结合 即可得答案. 【详解】解:因为抛物线 的性质:在抛物线上任意一点 处的切线方程为 , 设 , 所以在点 处的切线方程为 ,在点B处的切线方程为 , 因为两条切线都经过点 , 所以 , , 所以直线 的方程为 ,即 , 点 到直线 的距离为 , 联立直线 与抛物线方程有 ,消去 得 , 由 得, ,由韦达定理得 , 所以弦长 , 所以 , 整理得 ,即 ,解得 ,又 所以 . 故选:C. 31.C 【分析】设出 ,P点坐标,根据 及抛物线方程,得到 ,从而表达出直线OM的斜 率,利用基本不等式求出最大值. 【详解】因为 ,设 ,显然当 时, ,当 时, ,则要想求解直线OM的 斜率的最大值,此时 ,设 ,因为 ,所以 ,即 , 解得: ,由于 ,所以 ,即 ,由于 ,则 第 25 页,当且仅当 ,即 时,等号成立,故直线OM 的斜率的最大值为 . 故选:C 32.D 【解析】由抛物线的性质可判断①;连接 ,结合抛物线的性质可得 ,即可判断②;设直线 ,与抛物线方程联立,结合韦达定理、向量共线可判断③;求出直线 的方程,联立方程组即可 判断④. 【详解】对于①,设 ,则 , 所以线段 的中点到准线的距离为 , 所以以线段 为直径的圆与准线 相切,故①正确; 对于②,连接 ,如图, 因为 , , 所以 ,所以 , 所以 即 , 所以以 为直径的圆经过焦点 ,故②正确; 对于③,设直线 , , 将直线方程代入抛物线方程化简得 , ,则 , 又 , 第 26 页因为 , , 所以 ,所以 , , 三点共线,故③正确; 对于④,不妨设 ,则 , 则直线 ,代入抛物线方程化简得 , 则 , 所以直线 与该抛物线相切,故④正确. 故选:D. 【点睛】关键点点睛:①将点在圆上转化为垂直关系,将直线与圆相切转化为圆心到直线的距离,将点共线转化 为向量共线; ②设直线方程,联立方程组解决直线与抛物线交点的问题. 33.B 【分析】写出直线AF、BF的方程,求出 , ,由 ,解出p. 【详解】抛物线 的焦点 . 由 ,所以直线AF的方程为 ,即 , 联立 ,得 ,解得: 或 ,可得: . 同理直线BF的方程为 ,即 , 联立 ,解得: . 所以 ,解得: . 故选:B 34.B 【分析】过 的直线的斜率存在和不存在两种情况分别讨论即可得出答案. 【详解】易知过点 ,且斜率不存在的直线为 ,满足与抛物线 只有一个公共点. 当直线的斜率存在时,设直线方程为 ,与 联立得 , 第 27 页当 时,方程有一个解,即直线与扰物线只有一个公共点. 故满足题意的直线有2条. 故选:B 35.B 【分析】根据题意画出图形,抛物线的准线为 ,直线 恒过定点 ,过 分别 作 于 , 于 ,根据抛物线的定义和已知条件可得点 为 的中点,进而可得点 的横坐标为 1,则 从 而可求出答案 【详解】解:设抛物线 的准线为 ,直线 恒过定点 , 如图过 分别作 于 , 于 , 因为 ,所以 , 所以点 为 的中点,连接 ,则 , 所以 ,所以点 的横坐标为1, 所以 , 所以点 到 轴的距离为4, 故选:B 【点睛】关键点点睛:此题考查直线与抛物线的位置关系,考查抛物线的定义的应用,解题的关键是根据题意画 出图形,灵活运用抛物线的定义,考查计算能力,属于中档题 36.B 【分析】设点 位于第一象限,求得直线 的方程,可得出点 的坐标,由抛物线的对称性可得出 , 进而可得出直线 的斜率为 ,利用斜率公式求得 的值,由此可得出以直线 为准线的抛物线的标准方程. 【详解】设点 位于第一象限,直线 的方程为 ,联立 ,可得 , 所以,点 . 为等腰直角三角形,由抛物线的对称性可得出 ,则直线 的斜率为 ,即 , 第 28 页解得 . 因此,以直线 为准线的抛物线的标准方程为 . 故选:B. 【点睛】本题考查抛物线标准方程的求解,考查计算能力,属于中等题. 37.A 【分析】求出抛物线C的焦点坐标及准线方程,根据给定条件求出点A的横坐标, 设出直线l的方程并与抛物线方程联立,求出B的横坐标即可计算作答. 【详解】抛物线 的焦点 ,准线为: ,设点 , 依题意, ,解得 ,显然,直线l的斜率存在且不为0,设其方程为 , 由 消去y并整理得: ,则有 ,于是得 , 因此, , 所以 . 故选:A 38.BD 【分析】设出直线方程,与抛物线联立,利用韦达定理即可依次判断. 【详解】由题可得焦点为 ,显然直线斜率存在,设直线方程为 , 联立方程 ,可得 ,则 , 则 ,故A错误; 根据抛物线的定义可得线段 的中点到准线 的距离为 , 所以以AB为直径的圆与直线 相切,故B正确; 当直线 与 轴平行时, , ,故C错误; 直线 的方程为 ,与 的焦点坐标为 , 因为 ,所以 ,即经过点B与x轴垂直的直线与直线OA交点一定在定直线 上,故D正确. 故选:BD. 39.ABD 【分析】对于A:利用圆的切线性质和直线垂直的斜率关系求得切线的斜率,然后利用直线方程的点斜式写出直 线的方程,从而判定A;对于B:利用点斜式设出切线方程,利用判别式等于零求得斜率,进而得到抛物线的切线 第 29 页方程,进而判定B;对于C:利用导数求得函数 在点 处的切线的斜率,进而写出切线的方程,从而 判定C;对于D:设出切线横坐标,利用导数的几何意义求得切线方程,根据切线经过坐标原点,代入求得切点的 横坐标,进而得到切线的方程,从而判定D. 【详解】对于A:易知点 为圆 上的点,记坐标 对应的点为 , 圆的圆心为 ,则直线 的斜率为 , 又∵圆上的切线与圆的半径垂直,∴切线的斜率为 , ∴切线方程为 ,整理得: ,故A正确; 对于B:过点 且与抛物线 相切的直线斜率显然存在,设为 , 由抛物线的方程得 ,代入切线方程并整理得 , , 对于C:解得 ,∴切线方程为 ,即 ,故B正确; 函数 的导函数为 , ,∴函数 的图象在点 处的切线的方程是 ,即 .故C错误; 对于D:函数 的导函数为 ,过点 且与曲线 相切的直线与函数 的图象的切点为 , 则切线斜率 ,∴切线方程为 , ∵切线经过点(0,0),∴ ,解得 , ∴过点 且与曲线 相切的直线方程为 ,即为 ,故D正确. 故选:ABD. 40.ABD 【分析】选项A:由点 在准线上,可求出 ,从而可判断; 选项B:设直线 与抛物线方程联立,由韦达定理可判断; 选项C:设 , 分别求出 , 方程,根据方程结构可判断; 选项D:先同C求得直线 的方程 ,再表达出 的面积关于 的表达式,进而求得面积的最大 值即可 【详解】对A,易知准线方程为 ,∴ , : ,故选项A正确. 对B,设直线 ,代入 ,得 ,当直线与 相切时,有 ,即 , 第 30 页设 , 斜率分别为 , ,易知 , 是上述方程两根,故 ,故 .故选项B正确. 对C,设 , ,其中 , .则 : ,即 .代入点 , 得 ,同理可得 , 故 : ,故 . 故选项C不正确. 对D,同C,切线方程 : ; : ,代入点 有 , ,故直线 的方程为 ,即 ,联立 有 ,则 ,故 ,又 到 的距离 ,故 ,故当 时 的面积小值为 ,故D正确; 故选:ABD 41.AC 【解析】设 , 则y2=4x,y2=4x,对抛物线的方程两边求导,可得切线的斜率、切线的 1 1 2 2 方程,联立两切线方程求得P的横坐标,可判断A;由切线的斜率相减,化简可判断B;求得AB的直线方程,结 合恒过定点,可判断C;由抛物线的定义和基本不等式可判断D. 【详解】由题意可得 ,抛物线的准线方程为 ,设 , 则 , ,由y2=4x得 ,求导得 , 所以 ,所以过A的切线的方程为x﹣x= , 1 化为x= y ① ,同理可得过B的切线方程为x= y ② , 由①②解得x= ,由P的横坐标为 ,即 ,则 , kk= ,故A正确; 1 2 因为|k﹣k|= = 不为定值,故B错误; 1 2 因为AB的直线方程为y﹣y= ,即y=y+ x , 1 1 整理得y= ,所以AB恒过定点 ,故C正确; 将 转化为到准线的距离,即 =(x+1)(x+1)=xx+(x+x)+1= +1+ =5+ 1 2 1 2 1 2 第 31 页≥5+2 =9,当且仅当|y|=|y|时取得等号,所以 的最小值为9,故D错误. 1 2 故选:AC. 【点睛】关键点点睛:本题考查了直线与抛物线的位置关系,解题关键是找到过A、B两点的切线斜率与方程得到 ,然后利用此结论表示各个选项可得出判断,考查了学生分析问题、解决问题的能力,属于中档题. 42. ## 【分析】计算出 ,联立直线和抛物线得到 与 ,结合 求出 ,进而求出 的面积. 【详解】由题意可得 ,则 ,解得: ,故直线 的方程为 . 联立 整理 . 设 , ,则 , . 因为 ,所以 ,所以 ,则 ,解得: , 从而 ,故 的面积是 故答案为: . 43. 【分析】设直线l的方程为 , , ,与抛物线方程联立,利用韦达定理求出两根之和及 两根之积,进而可得 的中点 及 , 的坐标,由均值不等式求得 的最小值. 【详解】如图,设直线l的方程为 , , , 联立 ,整理得 , 则 , , 因为D为 的中点,所以 , 则 , , 从而 , 第 32 页当且仅当 , 即 , 或 , 时,等号成立. 故答案为: . 44. ## 【分析】利用抛物线定义、导数几何意义、四边形外接圆等,数形结合解决本题简单快捷. 【详解】抛物线 的焦点为 , 如图,设切点 , 直线PA、PB与x轴分别交于G、H,连接PF、GF、HF. 由 ,可得 ,则 则 , 直线PA方程为 ,即 ,则 直线PB方程为 ,即 ,则 由 ,可知 由 ,可知 第 33 页则P、G、F、H四点在以线段PF为直径的圆上,此圆即为 的外接圆. 点F到直线 的距离为 则 ,则 的外接圆半径 故 的外接圆面积 即 的外接圆面积的最小值为 故答案为: 45. 【分析】作 垂直于准线于H,然后结合抛物线的定义可以得到 ,进一步判断出当直线AP 与抛物线相切时,PAH最小,然后结合直线与抛物线相切求得答案. 【详解】如图,作 垂直于准线于H,∵ ,∴ ,根据抛物线的定 义有 ,∴ ,当m最小时, 最小. 故当直线AP与抛物线相切时,PAH最小.易知点A(0,2),设直线AP方程为 ,联立 , , . 此时,椭圆中 , 椭圆离心率 . 故答案为: . 46.3 【分析】分当直线的斜率不存在和当直线的斜率存在时,两种情况讨论求解. 【详解】当直线的斜率不存在时,该直线方程为 与抛物线相切,只有一个交点, 第 34 页当直线的斜率存在时,设直线方程为 ,代入抛物线 , 消去y得: , 当 时,直线方程为 ,与抛物线只有一个交点 , 当 时, ,解得 ,此时直线与抛物线相切,只有一个交点, 所以过点(0,2)与抛物线 只有一个交点的直线有3条 故答案为:3 【点睛】本题主要考查了直线与抛物线的位置关系,还考查了分类讨论的思想和运算求解的能力,属于中档题. 47. ##2.25## 【分析】求出直线 的方程,与抛物线方程联立后得到两根之和,结合焦点弦弦长公式求出 ,用点到直线距 离公式求高,进而求出三角形面积. 【详解】易知抛物线中 ,焦点 ,直线 的斜率 ,故直线 的方程为 ,代人抛 物线方程 ,整理得 . 设 ,则 ,由抛物线的定义可得弦长 ,原点 到直线 的距离 , 所以 的面积 . 故答案为: 48.2 【分析】利用导数求出抛物线在A和B的切线方程,根据切线过P得A和B满足的方程,从而求得AB所在直线方 程,联立直线AB方程与抛物线方程求出Q点坐标,从而求出 的表达式,根据表示式即可求其最小值. 【详解】 , 设 , , ,则 , , 则切线 : , ∵切线PA过P,∴ , 同理, , ∴直线AB方程为: . 第 35 页由 得, , 则 , , 则 , 则 , 即 最小值为2. 故答案为:2. 49. 【分析】分别过点 、 作 、 垂直于抛物线 的准线于 、 ,则 ,求出直线 的方程,可 求得抛物线 的焦点 的坐标,可得出抛物线 的标准方程,再将直线 的方程与抛物线 的方程联立,求出 点 的纵坐标,利用抛物线的定义可求得线段 的长. 【详解】如图,分别过点 、 作 、 垂直于抛物线 的准线于 、 ,则 , 由 得 ,所以, ,又 , 所以,直线 的方程为 ,所以, ,则 , 则抛物线 的方程为 , 设点 的纵坐标为 ,由 ,得 或 , 因为点 在 、 之间,则 , 所以, . 第 36 页故答案为: . 50.(1) (2)存在, 【分析】(1)利用抛物线的焦半径公式求得点 的横坐标,进而求得p,可得答案; (2)根据题意可设直线方程,和抛物线方程联立,得到根与系数的关系式,利用直线 与 的斜率互为倒数列 出等式,化简可得结论. (1) (1) 则 , , , , 故C的方程为: ; (2) 假设存在定点 ,使得直线 与 的斜率互为倒数, 由题意可知,直线AB的斜率存在,且不为零, , , { Δ>0 , ,所以 y + y =4m , 1 2 y y =−16m 1 2 即 或 , , , 则 , , 使得直线 与 的斜率互为倒数. 51.(1) ; (2) 的交点坐标为 , , 的交点坐标为 , . 【分析】(1)消去 ,即可得到 的普通方程; 第 37 页(2)将曲线 的方程化成普通方程,联立求解即解出. (1)因为 , ,所以 ,即 的普通方程为 . (2)因为 ,所以 ,即 的普通方程为 ,由 ,即 的普通方程为 .联立 ,解得: 或 ,即交点坐标为 , ;联立 ,解得: 或 ,即交点坐标为 , . 52.(1) ;(2) . 【分析】(1)根据圆的几何性质可得出关于 的等式,即可解出 的值; (2)设点 、 、 ,利用导数求出直线 、 ,进一步可求得直线 的方程,将直线 的方程与抛物线的方程联立,求出 以及点 到直线 的距离,利用三角形的面积公式结合二次函数的基 本性质可求得 面积的最大值. 【详解】(1)[方法一]:利用二次函数性质求最小值 由题意知, ,设圆M上的点 ,则 . 所以 . 从而有 . 因为 ,所以当 时, . 又 ,解之得 ,因此 . [方法二]【最优解】:利用圆的几何意义求最小值 抛物线 的焦点为 , , 所以, 与圆 上点的距离的最小值为 ,解得 ; (2)[方法一]:切点弦方程+韦达定义判别式求弦长求面积法 抛物线 的方程为 ,即 ,对该函数求导得 , 设点 、 、 , 第 38 页直线 的方程为 ,即 ,即 , 同理可知,直线 的方程为 , 由于点 为这两条直线的公共点,则 , 所以,点A、 的坐标满足方程 , 所以,直线 的方程为 , 联立 ,可得 , 由韦达定理可得 , , 所以, , 点 到直线 的距离为 , 所以, , , 由已知可得 ,所以,当 时, 的面积取最大值 . [方法二]【最优解】:切点弦法+分割转化求面积+三角换元求最值 同方法一得到 . 过P作y轴的平行线交 于Q,则 . . P点在圆M上,则 . 故当 时 的面积最大,最大值为 . [方法三]:直接设直线AB方程法 设切点A,B的坐标分别为 , . 设 ,联立 和抛物线C的方程得 整理得 . 第 39 页判别式 ,即 ,且 . 抛物线C的方程为 ,即 ,有 . 则 ,整理得 ,同理可得 . 联立方程 可得点P的坐标为 ,即 . 将点P的坐标代入圆M的方程,得 ,整理得 . 由弦长公式得 . 点P到直线 的距离为 . 所以 , 其中 ,即 . 当 时, . 【整体点评】(1)方法一利用两点间距离公式求得 关于圆M上的点 的坐标的表达式,进一步转化 为关于 的表达式,利用二次函数的性质得到最小值,进而求得 的值;方法二,利用圆的性质, 与圆 上点的距离的最小值,简洁明快,为最优解;(2)方法一设点 、 、 ,利用导数求得两切线方程,由切点弦方程思想得到直线 的坐标满足方程 ,然手与 抛物线方程联立,由韦达定理可得 , ,利用弦长公式求得 的长,进而得到面积关于 坐标的表达式,利用圆的方程转化得到关于 的二次函数最值问题;方法二,同方法一得到 , ,过P作y轴的平行线交 于Q,则 .由 求得面积关于 坐 标的表达式,并利用三角函数换元求得面积最大值,方法灵活,计算简洁,为最优解;方法三直接设直线 ,联立直线 和抛物线方程,利用韦达定理判别式得到 ,且 .利用点 在圆 上,求得 的关系,然后利用导数求得两切线方程,解方程组求得P的坐标 ,进而利用弦长公 式和点到直线距离公式求得面积关于 的函数表达式,然后利用二次函数的性质求得最大值; 53.() , ;(2) 或 . 【解析】(1)根据 为抛物线 上一点,代入抛物线方程求解. (2)设直线l的方程为 ,联立 ,根据 ,结合韦达定理求解. 第 40 页【详解】(1)因为 为抛物线 上一点, 所以 , 解得 , 所以抛物线的方程是 ,焦点的坐标是 ; (2)设直线l的方程为 ,直线与E交于 两点, 由 ,得 , 则 , ,即 , 因为 , 所以 , 即 , 即 , 所以 , 即 , 解得 或 ,成立 所以直线l的方程是 或 . 54.(1) (2)直线PQ过定点 【分析】(1)将 代入抛物线 中,得出 的长度,再由勾股定理得出 ,结合条件建立关于 的方程,得出答案. (2)由题意设直线AB的方程为 , , ,联立直线AB的方程与抛物线的方程,由韦达 定理得出 点坐标,同理得出 点坐标,从而得出直线 方程,得出答案. (1) 由题意 ,在 中代入 ,得 ,解得 , 所以 . 由勾股定理得| , 则 的周长为 ,解得 , 第 41 页故抛物线C的方程为 . (2) 由题意可知 ,直线AB的斜率存在,且不为0. 设直线AB的方程为 , , . 联立 消去x,得 , , 则 ,从而 . 因为P是弦AB的中点,所以 ,同理可得 . 当 ,即 时,直线PQ的斜率 , 则直线PQ的方程为 ,即 . 故直线PQ过定点 ; 当 ,即 时,直线PQ的方程为 ,也过点 . 综上所述,直线PQ过定点 . 第 42 页第 43 页