当前位置:首页>文档>素养拓展24立体几何中球与几何体的切接问题(原卷版)_新高考复习资料_2024年新高考资料_一轮复习资料_完一轮复习讲义2024年高考数学高频考点题型归纳与方法总结(新高考)

素养拓展24立体几何中球与几何体的切接问题(原卷版)_新高考复习资料_2024年新高考资料_一轮复习资料_完一轮复习讲义2024年高考数学高频考点题型归纳与方法总结(新高考)

  • 2026-04-24 06:20:14 2026-04-24 06:12:58

文档预览

素养拓展24立体几何中球与几何体的切接问题(原卷版)_新高考复习资料_2024年新高考资料_一轮复习资料_完一轮复习讲义2024年高考数学高频考点题型归纳与方法总结(新高考)
素养拓展24立体几何中球与几何体的切接问题(原卷版)_新高考复习资料_2024年新高考资料_一轮复习资料_完一轮复习讲义2024年高考数学高频考点题型归纳与方法总结(新高考)
素养拓展24立体几何中球与几何体的切接问题(原卷版)_新高考复习资料_2024年新高考资料_一轮复习资料_完一轮复习讲义2024年高考数学高频考点题型归纳与方法总结(新高考)
素养拓展24立体几何中球与几何体的切接问题(原卷版)_新高考复习资料_2024年新高考资料_一轮复习资料_完一轮复习讲义2024年高考数学高频考点题型归纳与方法总结(新高考)
素养拓展24立体几何中球与几何体的切接问题(原卷版)_新高考复习资料_2024年新高考资料_一轮复习资料_完一轮复习讲义2024年高考数学高频考点题型归纳与方法总结(新高考)
素养拓展24立体几何中球与几何体的切接问题(原卷版)_新高考复习资料_2024年新高考资料_一轮复习资料_完一轮复习讲义2024年高考数学高频考点题型归纳与方法总结(新高考)
素养拓展24立体几何中球与几何体的切接问题(原卷版)_新高考复习资料_2024年新高考资料_一轮复习资料_完一轮复习讲义2024年高考数学高频考点题型归纳与方法总结(新高考)
素养拓展24立体几何中球与几何体的切接问题(原卷版)_新高考复习资料_2024年新高考资料_一轮复习资料_完一轮复习讲义2024年高考数学高频考点题型归纳与方法总结(新高考)
素养拓展24立体几何中球与几何体的切接问题(原卷版)_新高考复习资料_2024年新高考资料_一轮复习资料_完一轮复习讲义2024年高考数学高频考点题型归纳与方法总结(新高考)
素养拓展24立体几何中球与几何体的切接问题(原卷版)_新高考复习资料_2024年新高考资料_一轮复习资料_完一轮复习讲义2024年高考数学高频考点题型归纳与方法总结(新高考)
素养拓展24立体几何中球与几何体的切接问题(原卷版)_新高考复习资料_2024年新高考资料_一轮复习资料_完一轮复习讲义2024年高考数学高频考点题型归纳与方法总结(新高考)
素养拓展24立体几何中球与几何体的切接问题(原卷版)_新高考复习资料_2024年新高考资料_一轮复习资料_完一轮复习讲义2024年高考数学高频考点题型归纳与方法总结(新高考)
素养拓展24立体几何中球与几何体的切接问题(原卷版)_新高考复习资料_2024年新高考资料_一轮复习资料_完一轮复习讲义2024年高考数学高频考点题型归纳与方法总结(新高考)
素养拓展24立体几何中球与几何体的切接问题(原卷版)_新高考复习资料_2024年新高考资料_一轮复习资料_完一轮复习讲义2024年高考数学高频考点题型归纳与方法总结(新高考)
素养拓展24立体几何中球与几何体的切接问题(原卷版)_新高考复习资料_2024年新高考资料_一轮复习资料_完一轮复习讲义2024年高考数学高频考点题型归纳与方法总结(新高考)
素养拓展24立体几何中球与几何体的切接问题(原卷版)_新高考复习资料_2024年新高考资料_一轮复习资料_完一轮复习讲义2024年高考数学高频考点题型归纳与方法总结(新高考)
素养拓展24立体几何中球与几何体的切接问题(原卷版)_新高考复习资料_2024年新高考资料_一轮复习资料_完一轮复习讲义2024年高考数学高频考点题型归纳与方法总结(新高考)
素养拓展24立体几何中球与几何体的切接问题(原卷版)_新高考复习资料_2024年新高考资料_一轮复习资料_完一轮复习讲义2024年高考数学高频考点题型归纳与方法总结(新高考)
素养拓展24立体几何中球与几何体的切接问题(原卷版)_新高考复习资料_2024年新高考资料_一轮复习资料_完一轮复习讲义2024年高考数学高频考点题型归纳与方法总结(新高考)
素养拓展24立体几何中球与几何体的切接问题(原卷版)_新高考复习资料_2024年新高考资料_一轮复习资料_完一轮复习讲义2024年高考数学高频考点题型归纳与方法总结(新高考)

文档信息

文档格式
docx
文档大小
1.296 MB
文档页数
16 页
上传时间
2026-04-24 06:12:58

文档内容

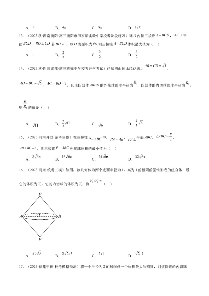
【一轮复习讲义】2024年高考数学高频考点题型归纳与方法总结(新高考通用) 素养拓展 24 立体几何中球与几何体的切接问题(精讲+精 练) 一、知识点梳理 一、外接球 如果一个多面体的各个顶点都在同一个球面上,那么称这个多面体是球的内接多面体,这个球称为多面体 的外接球.解决这类问题的关键是抓住内接的特点,即球心到多面体的顶点的距离等于球的半径.并且还 要特别注意多面体的有关几何元素与球的半径之间的关系,而多面体外接球半径的求法在解题中往往会起 到至关重要的作用. 二、内切球 球的内切问题主要是指球外切多面体与旋转体,解答时首先要找准切点,通过作截面来解决.如果外切的 是多面体,则作截面时主要抓住多面体过球心的对角面来作.当球与多面体的各个面相切时,注意球心到 各面的距离相等即球的半径,求球的半径时,可用球心与多面体的各顶点连接,球的半径为分成的小棱锥 的高,用体积法来求球的半径. 【常用结论】 ①外接球模型一:墙角模型是三棱锥有一条侧棱垂直于底面且底面是直角三角形模型,用构造法(构造 长方体)解决.外接球的直径等于长方体的体对角线长(在长方体的同一顶点的三条棱长分别为a,b,c,外 接球的半径为R,则2R=.),秒杀公式:R2=.可求出球的半径从而解决问题.有以下四种类型: D C D C D C D C 1 1 1 1 1 1 1 1 A B A B A B A B 1 1 1 1 1 1 1 1 D C D C D C D C A B A B A B A B 类型Ⅰ 类型Ⅱ 类型Ⅲ 例外型 ②外接球模型二:三棱锥的三组对棱长分别相等模型,一般用构造法(构造长方体)解决.外接球的直径 等于长方体的体对角线长,即 (长方体的长、宽、高分别为a、b、c).秒杀公式:R2= (三棱锥的三组对棱长分别为x、y、z).可求出球的半径从而解决问题.D C 1 1 A B 1 1 C D A B ③外接球模型三:直棱柱的外接球、圆柱的外接球模型,用找球心法(多面体的外接球的球心是过多面 体的两个面的外心且分别垂直这两个面的直线的交点.一般情况下只作出一个面的垂线,然后设出球心用 算术方法或代数方法即可解决问题.有时也作出两条垂线,交点即为球心.)解决.以直三棱柱为例,模型 如下图,由对称性可知球心O的位置是△ABC的外心O 与△ABC 的外心O 连线的中点,算出小圆O 的 1 1 1 1 2 1 半径AO=r,OO = , . 1 1 A C 1 1 O 2 B 1 h O R h 2 A C r O 1 B ④外接球模型四:垂面模型是有一条侧棱垂直底面的棱锥模型,可补为直棱柱内接于球,由对称性可知 球心O的位置是△CBD的外心O 与△ABD 的外心O 连线的中点,算出小圆O 的半径AO=r,OO = 1 2 2 2 1 1 1 , . D A A 2 O 2 B h h 2 R O R O h h C r 2 D C r 2 D O O 1 1 B B ⑤外接球模型五:有一侧面垂直底面的棱锥型,常见的是两个互相垂直的面都是特殊三角形且平面 ABC⊥平面BCD,如类型Ⅰ,△ABC与△BCD都是直角三角形,类型Ⅱ,△ABC是等边三角形,△BCD 是直角三角形,类型Ⅲ,△ABC与△BCD都是等边三角形,解决方法是分别过△ABC与△BCD的外心作 该三角形所在平面的垂线,交点O即为球心.类型Ⅳ,△ABC与△BCD都一般三角形,解决方法是过 △BCD的外心O 作该三角形所在平面的垂线,用代数方法即可解决问题.设三棱锥A-BCD的高为h,外 1 接球的半径为R,球心为O.△BCD的外心为O,O 到BD的距离为d,O与O 的距离为m,则解得R. 1 1 1可用秒杀公式:R2=r2+r2-(其中r、r 为两个面的外接圆的半径,l为两个面的交线的长) 1 2 1 2 d A h-m A A A R O C O O 2 O D B O C B O 1 C B C R m O 1 d O 1 r D D B D D 类型Ⅰ 类型Ⅱ 类型Ⅲ 类型Ⅳ ⑥外接球模型六:圆锥、顶点在底面的射影是底面外心的棱锥.秒杀公式:R=(其中h为几何体的高,r 为几何体的底面半径或底面外接圆的圆心) ⑦内切球思路:以三棱锥P-ABC为例,求其内切球的半径. 方法:等体积法,三棱锥P-ABC体积等于内切球球心与四个面构成的四个三棱锥的体积之和; 第一步:先求出四个表面的面积和整个锥体体积; 第二步:设内切球的半径为r,球心为O,建立等式:V P-ABC =V O-ABC +V O-PAB +V O-PAC +V O-PBC ⇒V P-ABC = S ·r+S ·r+S ·r+S ·r=(S +S +S +S )·r; △ABC △PAB △PAC △PBC △ABC △PAB △PAC △PBC 第三步:解出r==. 二、题型精讲精练 【典例1】(2023·浙江·高三校联考期中)正四面体的所有顶点都在同一个表面积是36π的球面上,则该 正四面体的棱长是 . 【答案】 【解析】如图所示:因为正四面体内接于球,则相应的一个正方体内接球,设正方体为 , 则正四面体为 , 设球的半径为R,则 , 解得 , 所以 则正方体的棱长为 , 所以正四面体的棱长为 , 故答案为: 【典例2】(2023·河南·开封高中校考模拟预测)已知四面体ABCD中, , , ,则四面体ABCD外接球的体积为( ) A. B. C. D. 【答案】C 【解析】设四面体 的外接球的半径为 , 则四面体 在一个长宽高为 的长方体中,如图,则 故 , 故四面体ABCD外接球的体积为 , 故选:C 【典例3】(2023·黑龙江齐齐哈尔·高三齐齐哈尔市第八中学校校考阶段练习)设直三棱柱 的所有顶点都在一个表面积是 的球面上,且 ,则此直三棱柱的表面积是 ( ) A. B. C. D. 【答案】D 【解析】设 ,因为 ,所以 . 于是 ( 是 外接圆的半径), . 又球心到平面 的距离等于侧棱长 的一半, 所以球的半径为 . 所以球的表面积为 ,解得 . 因此 . 于是直三棱柱的表面积是. 故选:D. 【典例4】(2023·安徽宣城·高三统考期末)在三棱锥 中,△ABC是边长为3的等边三角形,侧 棱PA⊥平面ABC,且 ,则三棱锥 的外接球表面积为 . 【答案】 【解析】根据已知,底面 是边长为3的等边三角形, 平面 , 可得此三棱锥外接球,即以 为底面以 为高的正三棱柱的外接球. 设正三棱柱的上下底面的中心分别为 ,则外接球的球心 为 的中点, 的外接圆半径为 , , 所以球的半径为 , 所以四面体 外接球的表面积为 , 故答案为: . 【典例5】(2023·四川乐山·高三期末)已知正 边长为1,将 绕 旋转至 ,使得平 面 平面 ,则三棱锥 的外接球表面积为 . 【答案】【解析】如图, 取BC中点G,连接AG,DG,则 , , 分别取 与 的外心E,F分别过E,F作平面ABC与平面DBC的垂线,相交于O,则O为四面体 的球心, 由 , 所以正方形OEGF的边长为 ,则 , 所以四面体 的外接球的半径 , 球O的表面积为 . 故答案为: . 【典例6】(2023·山东滨州·高三校考期中)已知正四棱锥 的底面边长为 ,侧棱长为6,则 该四棱锥的外接球的体积为 . 【答案】 【解析】如图, 是正四棱锥 的高,而 ,则 ,,显然正四棱锥 的外接球的球心O在直线 上, 令 ,则 , 在 中, ,解得 , 所以该四棱锥的外接球体积为 . 故答案为: 【典例7】(2023·高三课时练习)边长为 的正四面体内切球的体积为( ) A. B. C. D. 【答案】D 【解析】将棱长为 的正四面体 补成正方体 ,则该正方体的棱长为 , , 设正四面体 的内切球半径为 ,正四面体 每个面的面积均为 ,由等体积法可得 ,解得 , 因此,该正四面体的内切球的体积为 . 故选:D. 【题型训练1-刷真题】 一、单选题 1.(2022·全国·统考高考真题)已知正三棱台的高为1,上、下底面边长分别为 和 ,其顶点都在 同一球面上,则该球的表面积为( ) A. B. C. D. 2.(2022·全国·统考高考真题)已知球O的半径为1,四棱锥的顶点为O,底面的四个顶点均在球O的球 面上,则当该四棱锥的体积最大时,其高为( ) A. B. C. D. 3.(2022·全国·统考高考真题)已知正四棱锥的侧棱长为l,其各顶点都在同一球面上.若该球的体积为 ,且 ,则该正四棱锥体积的取值范围是( ) A. B. C. D. 4.(2021·全国·统考高考真题)已知A,B,C是半径为1的球O的球面上的三个点,且 ,则三棱锥 的体积为( ) A. B. C. D. 二、填空题 5.(2023·全国·统考高考真题)已知点 均在半径为2的球面上, 是边长为3的等边三角形, 平面 ,则 .【题型训练2-刷模拟】 一、单选题 1.(2023秋·四川成都·高三四川省成都市新都一中校联考开学考试)边长为1的正方体的外接球表面积为 ( ) A. B. C. D. 2.(2023秋·四川成都·高三树德中学校考开学考试)已知四面体 满足 , , ,且该四面体 的外接球的表面积是( ) A. B. C. D. 3.(2023·全国·高三专题练习)在直三棱柱 中, , ,则 该直三棱柱的外接球的体积为( ) A. B. C. D. 4.(2023秋·四川眉山·高三校考阶段练习)已知圆柱的高为1,它的两个底面的圆周在直径为2的同一个 球的球面上,则该圆柱的体积为( ) A. B. C. D. 5.(2023·河南郑州·校联考二模)如图,在三棱锥 中, , ,平 面 平面ABC,则三棱锥 外接球的表面积为( )A. B. C. D. 6.(2023秋·江苏南通·高三统考开学考试)已知 是边长为4的等边三角形,将它沿中线 折起得 四面体 ,使得此时 ,则四面体 的外接球表面积为( ) A. B. C. D. 7.(2023·山西吕梁·统考二模)在三棱锥 中,已知 底面 , , ,则三棱锥 外接球的体积为( ) A. B. C. D. 8.(2023·四川成都·校联考二模)在三棱锥 中, , , ,平 面 平面 ,若三棱锥 的所有顶点都在球 的表面上,则球 的半径为( ) A. B.3 C. D.4 9.(2023秋·陕西西安·高三校联考开学考试)在三棱锥 中, 是边长为3的等边三角形,侧 棱 平面 ,且 ,则三棱锥 的外接球的表面积为( ) A. B. C. D. 10.(2023春·四川绵阳·高三绵阳南山中学实验学校校考阶段练习)已知四棱锥 的体积是 , 底面 是正方形, 是等边三角形,平面 平面 ,则四棱锥 外接球表面积 为( ) A. B. C. D. 11.(2023·江西南昌·南昌市八一中学校考三模)已知四棱锥 的底面 是矩形,高为 , , , , ,则四棱锥 的外接球的表面积为( ) A. B. C. D. 12.(2023秋·陕西西安·高三校联考开学考试)已知在三棱锥 中, , , 平面 ,则三棱锥 的外接球表面积的最小值为( )A. B. C. D. 13.(2023秋·湖南衡阳·高三衡阳市田家炳实验中学校考阶段练习)球O内接三棱锥 , 平 面 , .若 ,球O表面积为 .则三棱锥 体积最大值为( ) A.1 B. C. D. 14.(2023秋·四川成都·高三树德中学校考开学考试)已知四面体ABCD满足 , , ,且该四面体ABCD的外接球的球半径为 ,四面体的内切球的球半径为 , 则 的值是( ) A. B. C. D. 15.(2023·河南开封·统考三模)在三棱锥 中, , 平面ABC, , ,则三棱锥 外接球体积的最小值为( ) A. B. C. D. 16.(2023·河南·统考三模)如图,该几何体为两个底面半径为1,高为1的相同的圆锥形成的组合体,设 它的体积为V,它的内切球的体积为V,则 ( ) 1 2 A. B. C. D. 17.(2023·福建宁德·校考模拟预测)将一个半径为2的球削成一个体积最大的圆锥,则该圆锥的内切球的半径为( ) A. B. C. D. 18.(2023·全国·高三专题练习)已知四棱锥 的各棱长均为2,则其内切球表面积为( ) A. B. C. D. 19.(2023·全国·高三专题练习)若一个正三棱柱存在外接球与内切球,则它的外接球与内切球体积之比 为( ) A. B. C. D. 20.(2023·湖北·统考二模)已知直三棱柱 存在内切球,若 ,则该三 棱柱外接球的表面积为( ) A. B. C. D. 21.(2023春·贵州·高三校联考期中)已知正三棱锥P—ABC的底面边长为3,高为 ,则三棱锥P— ABC的内切球的表面积为( ) A. B. C. D. 22.(2023·全国·高三专题练习)已知圆台 的下底面半径是上底面半径的2倍,其内切球的半径为 , 则该圆台的体积为( )A. B. C. D. 23.(2023·广东深圳·高三深圳外国语学校校考阶段练习)已知正三棱锥 中, ,其内 切球半径为r,外接球半径为 ,则 ( ) A. B. C. D. 24.(2023秋·浙江丽水·高三浙江省丽水中学校联考期末)将菱形 沿对角线 折起,当四面体 体积最大时,它的内切球和外接球表面积之比为( ) A. B. C. D. 二、填空题 25.(2023·全国·高三专题练习)在矩形 中, , , 平面 , ,四棱 锥 的外接球的表面积为 . 26.(2023秋·四川眉山·高三校考开学考试)已知正三棱柱 的底面边长为6,三棱柱的高为 ,则该三棱柱的外接球的表面积为 . 27.(2023秋·重庆·高三统考阶段练习)正三棱锥 底面边长为 为 的中点,且 , 则正三棱锥 外接球的体积为 . 28.(2023·河南·统考模拟预测)在菱形ABCD中, , ,AC与BD的交点为G,点M,N分 别在线段AD,CD上,且 , ,将 沿MN折叠到 ,使 ,则 三棱锥 的外接球的表面积为 . 29.(2023秋·河北秦皇岛·高三校联考开学考试)三棱锥 中, 在底面的射影 为 的内心,若 , ,则四面体 的外接球表面积为 . 30.(2023秋·湖北·高三孝感高中校联考开学考试)在 中, , ,将 绕着边BC逆时针旋转 后得到 ,则三棱锥 的外接球的表面积为 . 31.(2023春·江西南昌·高三南昌市八一中学校考阶段练习)四棱锥 中,底面 为菱形, 底面 , ,若 , ,则三棱锥 的外接球表面积为 . 32.(2023·四川绵阳·绵阳南山中学实验学校校考模拟预测)在边长为2的正方形 中, 分别为 线段 , 的中点,连接 ,将 分别沿 折起,使 三点 重合,得到三棱锥 ,则该三棱锥外接球的表面积为 . 33.(2023秋·河南周口·高三校联考阶段练习)已知一个圆台内切球的半径为 ,圆台的表面积为 , 则这个圆台的体积为 . 34.(2023·全国·高三专题练习)已知圆锥的底面半径为2,高为 ,则该圆锥的内切球表面积为 . 35.(2023·全国·高三专题练习)已知三棱锥 的所有棱长都相等,现沿 三条侧棱剪 开,将其表面展开成一个平面图形,若这个平面图形外接圆的半径为 ,则三棱锥 的内切球的 体积为 36.(2023·湖南长沙·雅礼中学校考模拟预测)如图,四边形 为平行四边形, , , ,现将 沿直线 翻折,得到三棱锥 ,若 ,则三棱锥 的内切 球表面积为 .37.(2023·全国·高三专题练习)已知菱形ABCD的边长为1, ,将 沿AC翻折,当三棱 锥 表面积最大时,其内切球表面积为 . 38.(2023·全国·河南省实验中学校考模拟预测)已知四棱锥的各个顶点都在同一个球面上.若该球的体 积为 ,则该四棱锥体积的最大值是 .