当前位置:首页>文档>素养拓展25立体几何中的截面问题(精讲+精练)一轮复习讲义2024年高考数学高频考点题型归纳与方法总结(新高考通用)解析版_2.2025数学总复习_2024年新高考资料_1.2024一轮复习

素养拓展25立体几何中的截面问题(精讲+精练)一轮复习讲义2024年高考数学高频考点题型归纳与方法总结(新高考通用)解析版_2.2025数学总复习_2024年新高考资料_1.2024一轮复习

  • 2026-05-06 09:11:28 2026-03-27 00:14:11

文档预览

素养拓展25立体几何中的截面问题(精讲+精练)一轮复习讲义2024年高考数学高频考点题型归纳与方法总结(新高考通用)解析版_2.2025数学总复习_2024年新高考资料_1.2024一轮复习
素养拓展25立体几何中的截面问题(精讲+精练)一轮复习讲义2024年高考数学高频考点题型归纳与方法总结(新高考通用)解析版_2.2025数学总复习_2024年新高考资料_1.2024一轮复习
素养拓展25立体几何中的截面问题(精讲+精练)一轮复习讲义2024年高考数学高频考点题型归纳与方法总结(新高考通用)解析版_2.2025数学总复习_2024年新高考资料_1.2024一轮复习
素养拓展25立体几何中的截面问题(精讲+精练)一轮复习讲义2024年高考数学高频考点题型归纳与方法总结(新高考通用)解析版_2.2025数学总复习_2024年新高考资料_1.2024一轮复习
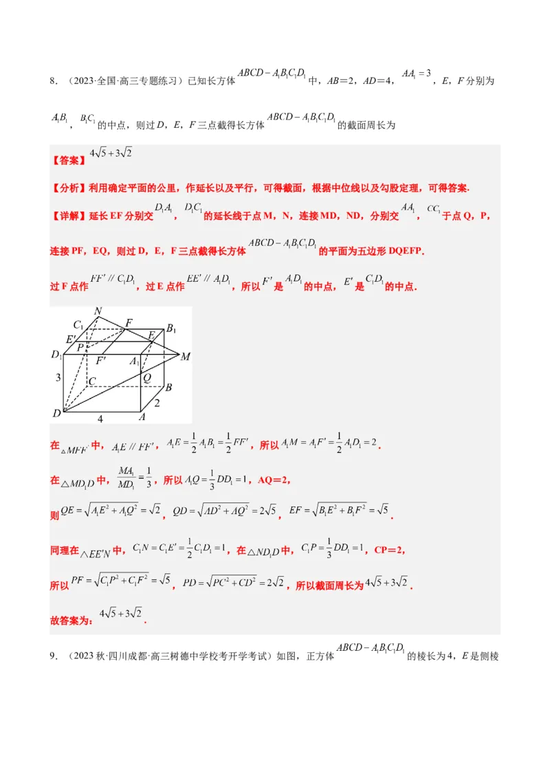
素养拓展25立体几何中的截面问题(精讲+精练)一轮复习讲义2024年高考数学高频考点题型归纳与方法总结(新高考通用)解析版_2.2025数学总复习_2024年新高考资料_1.2024一轮复习
素养拓展25立体几何中的截面问题(精讲+精练)一轮复习讲义2024年高考数学高频考点题型归纳与方法总结(新高考通用)解析版_2.2025数学总复习_2024年新高考资料_1.2024一轮复习
素养拓展25立体几何中的截面问题(精讲+精练)一轮复习讲义2024年高考数学高频考点题型归纳与方法总结(新高考通用)解析版_2.2025数学总复习_2024年新高考资料_1.2024一轮复习
素养拓展25立体几何中的截面问题(精讲+精练)一轮复习讲义2024年高考数学高频考点题型归纳与方法总结(新高考通用)解析版_2.2025数学总复习_2024年新高考资料_1.2024一轮复习
素养拓展25立体几何中的截面问题(精讲+精练)一轮复习讲义2024年高考数学高频考点题型归纳与方法总结(新高考通用)解析版_2.2025数学总复习_2024年新高考资料_1.2024一轮复习
素养拓展25立体几何中的截面问题(精讲+精练)一轮复习讲义2024年高考数学高频考点题型归纳与方法总结(新高考通用)解析版_2.2025数学总复习_2024年新高考资料_1.2024一轮复习
素养拓展25立体几何中的截面问题(精讲+精练)一轮复习讲义2024年高考数学高频考点题型归纳与方法总结(新高考通用)解析版_2.2025数学总复习_2024年新高考资料_1.2024一轮复习
素养拓展25立体几何中的截面问题(精讲+精练)一轮复习讲义2024年高考数学高频考点题型归纳与方法总结(新高考通用)解析版_2.2025数学总复习_2024年新高考资料_1.2024一轮复习
素养拓展25立体几何中的截面问题(精讲+精练)一轮复习讲义2024年高考数学高频考点题型归纳与方法总结(新高考通用)解析版_2.2025数学总复习_2024年新高考资料_1.2024一轮复习
素养拓展25立体几何中的截面问题(精讲+精练)一轮复习讲义2024年高考数学高频考点题型归纳与方法总结(新高考通用)解析版_2.2025数学总复习_2024年新高考资料_1.2024一轮复习
素养拓展25立体几何中的截面问题(精讲+精练)一轮复习讲义2024年高考数学高频考点题型归纳与方法总结(新高考通用)解析版_2.2025数学总复习_2024年新高考资料_1.2024一轮复习
素养拓展25立体几何中的截面问题(精讲+精练)一轮复习讲义2024年高考数学高频考点题型归纳与方法总结(新高考通用)解析版_2.2025数学总复习_2024年新高考资料_1.2024一轮复习
素养拓展25立体几何中的截面问题(精讲+精练)一轮复习讲义2024年高考数学高频考点题型归纳与方法总结(新高考通用)解析版_2.2025数学总复习_2024年新高考资料_1.2024一轮复习
素养拓展25立体几何中的截面问题(精讲+精练)一轮复习讲义2024年高考数学高频考点题型归纳与方法总结(新高考通用)解析版_2.2025数学总复习_2024年新高考资料_1.2024一轮复习
素养拓展25立体几何中的截面问题(精讲+精练)一轮复习讲义2024年高考数学高频考点题型归纳与方法总结(新高考通用)解析版_2.2025数学总复习_2024年新高考资料_1.2024一轮复习
素养拓展25立体几何中的截面问题(精讲+精练)一轮复习讲义2024年高考数学高频考点题型归纳与方法总结(新高考通用)解析版_2.2025数学总复习_2024年新高考资料_1.2024一轮复习
素养拓展25立体几何中的截面问题(精讲+精练)一轮复习讲义2024年高考数学高频考点题型归纳与方法总结(新高考通用)解析版_2.2025数学总复习_2024年新高考资料_1.2024一轮复习
素养拓展25立体几何中的截面问题(精讲+精练)一轮复习讲义2024年高考数学高频考点题型归纳与方法总结(新高考通用)解析版_2.2025数学总复习_2024年新高考资料_1.2024一轮复习
素养拓展25立体几何中的截面问题(精讲+精练)一轮复习讲义2024年高考数学高频考点题型归纳与方法总结(新高考通用)解析版_2.2025数学总复习_2024年新高考资料_1.2024一轮复习
素养拓展25立体几何中的截面问题(精讲+精练)一轮复习讲义2024年高考数学高频考点题型归纳与方法总结(新高考通用)解析版_2.2025数学总复习_2024年新高考资料_1.2024一轮复习
素养拓展25立体几何中的截面问题(精讲+精练)一轮复习讲义2024年高考数学高频考点题型归纳与方法总结(新高考通用)解析版_2.2025数学总复习_2024年新高考资料_1.2024一轮复习
素养拓展25立体几何中的截面问题(精讲+精练)一轮复习讲义2024年高考数学高频考点题型归纳与方法总结(新高考通用)解析版_2.2025数学总复习_2024年新高考资料_1.2024一轮复习
素养拓展25立体几何中的截面问题(精讲+精练)一轮复习讲义2024年高考数学高频考点题型归纳与方法总结(新高考通用)解析版_2.2025数学总复习_2024年新高考资料_1.2024一轮复习
素养拓展25立体几何中的截面问题(精讲+精练)一轮复习讲义2024年高考数学高频考点题型归纳与方法总结(新高考通用)解析版_2.2025数学总复习_2024年新高考资料_1.2024一轮复习
素养拓展25立体几何中的截面问题(精讲+精练)一轮复习讲义2024年高考数学高频考点题型归纳与方法总结(新高考通用)解析版_2.2025数学总复习_2024年新高考资料_1.2024一轮复习
素养拓展25立体几何中的截面问题(精讲+精练)一轮复习讲义2024年高考数学高频考点题型归纳与方法总结(新高考通用)解析版_2.2025数学总复习_2024年新高考资料_1.2024一轮复习
素养拓展25立体几何中的截面问题(精讲+精练)一轮复习讲义2024年高考数学高频考点题型归纳与方法总结(新高考通用)解析版_2.2025数学总复习_2024年新高考资料_1.2024一轮复习
素养拓展25立体几何中的截面问题(精讲+精练)一轮复习讲义2024年高考数学高频考点题型归纳与方法总结(新高考通用)解析版_2.2025数学总复习_2024年新高考资料_1.2024一轮复习
素养拓展25立体几何中的截面问题(精讲+精练)一轮复习讲义2024年高考数学高频考点题型归纳与方法总结(新高考通用)解析版_2.2025数学总复习_2024年新高考资料_1.2024一轮复习
素养拓展25立体几何中的截面问题(精讲+精练)一轮复习讲义2024年高考数学高频考点题型归纳与方法总结(新高考通用)解析版_2.2025数学总复习_2024年新高考资料_1.2024一轮复习
素养拓展25立体几何中的截面问题(精讲+精练)一轮复习讲义2024年高考数学高频考点题型归纳与方法总结(新高考通用)解析版_2.2025数学总复习_2024年新高考资料_1.2024一轮复习
素养拓展25立体几何中的截面问题(精讲+精练)一轮复习讲义2024年高考数学高频考点题型归纳与方法总结(新高考通用)解析版_2.2025数学总复习_2024年新高考资料_1.2024一轮复习
素养拓展25立体几何中的截面问题(精讲+精练)一轮复习讲义2024年高考数学高频考点题型归纳与方法总结(新高考通用)解析版_2.2025数学总复习_2024年新高考资料_1.2024一轮复习
素养拓展25立体几何中的截面问题(精讲+精练)一轮复习讲义2024年高考数学高频考点题型归纳与方法总结(新高考通用)解析版_2.2025数学总复习_2024年新高考资料_1.2024一轮复习
素养拓展25立体几何中的截面问题(精讲+精练)一轮复习讲义2024年高考数学高频考点题型归纳与方法总结(新高考通用)解析版_2.2025数学总复习_2024年新高考资料_1.2024一轮复习
素养拓展25立体几何中的截面问题(精讲+精练)一轮复习讲义2024年高考数学高频考点题型归纳与方法总结(新高考通用)解析版_2.2025数学总复习_2024年新高考资料_1.2024一轮复习
素养拓展25立体几何中的截面问题(精讲+精练)一轮复习讲义2024年高考数学高频考点题型归纳与方法总结(新高考通用)解析版_2.2025数学总复习_2024年新高考资料_1.2024一轮复习
素养拓展25立体几何中的截面问题(精讲+精练)一轮复习讲义2024年高考数学高频考点题型归纳与方法总结(新高考通用)解析版_2.2025数学总复习_2024年新高考资料_1.2024一轮复习
素养拓展25立体几何中的截面问题(精讲+精练)一轮复习讲义2024年高考数学高频考点题型归纳与方法总结(新高考通用)解析版_2.2025数学总复习_2024年新高考资料_1.2024一轮复习
素养拓展25立体几何中的截面问题(精讲+精练)一轮复习讲义2024年高考数学高频考点题型归纳与方法总结(新高考通用)解析版_2.2025数学总复习_2024年新高考资料_1.2024一轮复习
素养拓展25立体几何中的截面问题(精讲+精练)一轮复习讲义2024年高考数学高频考点题型归纳与方法总结(新高考通用)解析版_2.2025数学总复习_2024年新高考资料_1.2024一轮复习
素养拓展25立体几何中的截面问题(精讲+精练)一轮复习讲义2024年高考数学高频考点题型归纳与方法总结(新高考通用)解析版_2.2025数学总复习_2024年新高考资料_1.2024一轮复习
素养拓展25立体几何中的截面问题(精讲+精练)一轮复习讲义2024年高考数学高频考点题型归纳与方法总结(新高考通用)解析版_2.2025数学总复习_2024年新高考资料_1.2024一轮复习
素养拓展25立体几何中的截面问题(精讲+精练)一轮复习讲义2024年高考数学高频考点题型归纳与方法总结(新高考通用)解析版_2.2025数学总复习_2024年新高考资料_1.2024一轮复习
素养拓展25立体几何中的截面问题(精讲+精练)一轮复习讲义2024年高考数学高频考点题型归纳与方法总结(新高考通用)解析版_2.2025数学总复习_2024年新高考资料_1.2024一轮复习
素养拓展25立体几何中的截面问题(精讲+精练)一轮复习讲义2024年高考数学高频考点题型归纳与方法总结(新高考通用)解析版_2.2025数学总复习_2024年新高考资料_1.2024一轮复习
素养拓展25立体几何中的截面问题(精讲+精练)一轮复习讲义2024年高考数学高频考点题型归纳与方法总结(新高考通用)解析版_2.2025数学总复习_2024年新高考资料_1.2024一轮复习
素养拓展25立体几何中的截面问题(精讲+精练)一轮复习讲义2024年高考数学高频考点题型归纳与方法总结(新高考通用)解析版_2.2025数学总复习_2024年新高考资料_1.2024一轮复习
素养拓展25立体几何中的截面问题(精讲+精练)一轮复习讲义2024年高考数学高频考点题型归纳与方法总结(新高考通用)解析版_2.2025数学总复习_2024年新高考资料_1.2024一轮复习
素养拓展25立体几何中的截面问题(精讲+精练)一轮复习讲义2024年高考数学高频考点题型归纳与方法总结(新高考通用)解析版_2.2025数学总复习_2024年新高考资料_1.2024一轮复习
素养拓展25立体几何中的截面问题(精讲+精练)一轮复习讲义2024年高考数学高频考点题型归纳与方法总结(新高考通用)解析版_2.2025数学总复习_2024年新高考资料_1.2024一轮复习
素养拓展25立体几何中的截面问题(精讲+精练)一轮复习讲义2024年高考数学高频考点题型归纳与方法总结(新高考通用)解析版_2.2025数学总复习_2024年新高考资料_1.2024一轮复习
素养拓展25立体几何中的截面问题(精讲+精练)一轮复习讲义2024年高考数学高频考点题型归纳与方法总结(新高考通用)解析版_2.2025数学总复习_2024年新高考资料_1.2024一轮复习
素养拓展25立体几何中的截面问题(精讲+精练)一轮复习讲义2024年高考数学高频考点题型归纳与方法总结(新高考通用)解析版_2.2025数学总复习_2024年新高考资料_1.2024一轮复习
素养拓展25立体几何中的截面问题(精讲+精练)一轮复习讲义2024年高考数学高频考点题型归纳与方法总结(新高考通用)解析版_2.2025数学总复习_2024年新高考资料_1.2024一轮复习
素养拓展25立体几何中的截面问题(精讲+精练)一轮复习讲义2024年高考数学高频考点题型归纳与方法总结(新高考通用)解析版_2.2025数学总复习_2024年新高考资料_1.2024一轮复习
素养拓展25立体几何中的截面问题(精讲+精练)一轮复习讲义2024年高考数学高频考点题型归纳与方法总结(新高考通用)解析版_2.2025数学总复习_2024年新高考资料_1.2024一轮复习
素养拓展25立体几何中的截面问题(精讲+精练)一轮复习讲义2024年高考数学高频考点题型归纳与方法总结(新高考通用)解析版_2.2025数学总复习_2024年新高考资料_1.2024一轮复习
素养拓展25立体几何中的截面问题(精讲+精练)一轮复习讲义2024年高考数学高频考点题型归纳与方法总结(新高考通用)解析版_2.2025数学总复习_2024年新高考资料_1.2024一轮复习
素养拓展25立体几何中的截面问题(精讲+精练)一轮复习讲义2024年高考数学高频考点题型归纳与方法总结(新高考通用)解析版_2.2025数学总复习_2024年新高考资料_1.2024一轮复习
素养拓展25立体几何中的截面问题(精讲+精练)一轮复习讲义2024年高考数学高频考点题型归纳与方法总结(新高考通用)解析版_2.2025数学总复习_2024年新高考资料_1.2024一轮复习
素养拓展25立体几何中的截面问题(精讲+精练)一轮复习讲义2024年高考数学高频考点题型归纳与方法总结(新高考通用)解析版_2.2025数学总复习_2024年新高考资料_1.2024一轮复习
素养拓展25立体几何中的截面问题(精讲+精练)一轮复习讲义2024年高考数学高频考点题型归纳与方法总结(新高考通用)解析版_2.2025数学总复习_2024年新高考资料_1.2024一轮复习
素养拓展25立体几何中的截面问题(精讲+精练)一轮复习讲义2024年高考数学高频考点题型归纳与方法总结(新高考通用)解析版_2.2025数学总复习_2024年新高考资料_1.2024一轮复习
素养拓展25立体几何中的截面问题(精讲+精练)一轮复习讲义2024年高考数学高频考点题型归纳与方法总结(新高考通用)解析版_2.2025数学总复习_2024年新高考资料_1.2024一轮复习
素养拓展25立体几何中的截面问题(精讲+精练)一轮复习讲义2024年高考数学高频考点题型归纳与方法总结(新高考通用)解析版_2.2025数学总复习_2024年新高考资料_1.2024一轮复习
素养拓展25立体几何中的截面问题(精讲+精练)一轮复习讲义2024年高考数学高频考点题型归纳与方法总结(新高考通用)解析版_2.2025数学总复习_2024年新高考资料_1.2024一轮复习
素养拓展25立体几何中的截面问题(精讲+精练)一轮复习讲义2024年高考数学高频考点题型归纳与方法总结(新高考通用)解析版_2.2025数学总复习_2024年新高考资料_1.2024一轮复习
素养拓展25立体几何中的截面问题(精讲+精练)一轮复习讲义2024年高考数学高频考点题型归纳与方法总结(新高考通用)解析版_2.2025数学总复习_2024年新高考资料_1.2024一轮复习
素养拓展25立体几何中的截面问题(精讲+精练)一轮复习讲义2024年高考数学高频考点题型归纳与方法总结(新高考通用)解析版_2.2025数学总复习_2024年新高考资料_1.2024一轮复习
素养拓展25立体几何中的截面问题(精讲+精练)一轮复习讲义2024年高考数学高频考点题型归纳与方法总结(新高考通用)解析版_2.2025数学总复习_2024年新高考资料_1.2024一轮复习
素养拓展25立体几何中的截面问题(精讲+精练)一轮复习讲义2024年高考数学高频考点题型归纳与方法总结(新高考通用)解析版_2.2025数学总复习_2024年新高考资料_1.2024一轮复习
素养拓展25立体几何中的截面问题(精讲+精练)一轮复习讲义2024年高考数学高频考点题型归纳与方法总结(新高考通用)解析版_2.2025数学总复习_2024年新高考资料_1.2024一轮复习

文档信息

文档格式
docx
文档大小
5.376 MB
文档页数
73 页
上传时间
2026-03-27 00:14:11

文档内容

【一轮复习讲义】2024年高考数学高频考点题型归纳与方法总结(新高考通用) 素养拓展 25 立体几何中的截面问题(精讲+精 练) 一、知识点梳理 一、截面问题的理论依据 (1)确定平面的条件 ①不在同一平面的三点确定一个平面;②两条平行线确定一个平面 (2)如果两个不重合的平面有一个公共点,那么它们相交于过此点的一条直线 (3)如果一条直线上的两点在一个平面内,那么这条直线上所有的点都在这个平面内 (4)如果一条直线平行于一个平面,且经过这条直线的平面与这个平面相交,那么这条直线就和交线平行 (5)如果两个平面平行,第三个平面和它们相交,那么两条交线平行 二、截面问题的基本思路 1.定义相关要素 ①用一个平面去截几何体,此平面与几何体的交集,叫做这个几何体的截面. ②此平面与几何体表面的交集(交线)叫做截线. ③此平面与几何体的棱(或面)的交集(交点)叫做实截点. ④此平面与几何体的棱(或面)的延长线的交点叫做虚截点. ⑤截面中能够确定的一部分平面叫做截小面. 2.作截面的基本逻辑:找截点→连截线→围截面 3.作截面的具体步骤 (1)找截点:方式1:延长截小面上的一条直线,与几何体的棱、面(或其延长部分)相交,交点即截点 方式2:过一截点作另外两截点连线的平行线,交几何体的棱于截点 (2)连截线:连接同一平面内的两个截点,成截线 (3)围截面:将各截线首尾相连,围成截面 三、作截面的几种方法 (1)直接法:有两点在几何体的同一个面上,连接该两点即为几何体与截面的交线,找截面实际就是找 交线的过程。 (2)延长线法:同一个平面有两个点,可以连线并延长至与其他平面相交找到交点。 (3)平行线法:过直线与直线外一点作截面,拖直线所在的面与点所在的平面平行,可以通过过点找直 线的平行线找到几何体的截面的交线。 模型演练:如下图E、F是几等分点,不影响作图。可以先默认为中点,等完全理解了,再改成任意等分 点方法:两点成线相交法或者平行法 特征:1.三点中,有两点连线在表面上.本题如下图是EF(这类型的关键); 2.“第三点”是在外棱上,如C ,注意:此时合格C 点特殊,在于它是几何体顶点,实际上无论它在何处, 1 1 只要在棱上就可以. 方法一:相交法,做法如下图. 方法二:平行线法,做法如下图. 四、正方体中的基本截面类型二、题型精讲精练 【典例1】用一个平面去截正方体,所得截面不可能是( ) A.直角三角形 B.直角梯形 C.正五边形 D.正六边形 【答案】ABC 【分析】 根据正方体的几何特征,我们可分别画出用一个平面去截正方体得到的几何体的图形,然后逐一与四个答 案中的图形进行比照,即可判断选项. 【详解】 当截面为三角形时,可能出现正三角形,但不可能出现直角三角形; 截面为四边形时,可能出现矩形,平行四边形,等腰梯形,但不可能出现直角梯形; 当截面为五边形时,不可能出现正五边形; 截面为六边形时,可能出现正六边形, 故选:ABC. 【典例2】已知正四棱柱 中, , ,则该四棱柱被过点 ,C, E的平面截得的截面面积为______. 【答案】 【分析】在 上取点 ,使得 ,连接 ,则四边形 是平行四边形, 由勾股定理可得 ,再结合余弦定理与面积公式即可求解 【详解】由题意,正四棱柱 中, , ,可得 ,在 上取点 ,使得 ,连接 ,则有 , 所以四边形 是平行四边形,由勾股定理可得 , 所以 ,所以 ,所以四边形 是平 行四边形的面积为 ,故答案为: 【典例3】如图,在正方体 中, , 为棱 的中点, 为棱 的四等分点 (靠近点 ),过点 作该正方体的截面,则该截面的周长是___________. 【答案】 【分析】首先根据面面平行的性质定理作出过点 的正方体的截面,从而求截面的周长. 【详解】如图,取 的中点 ,取 上靠近点 的三等分点 ,连接 ,易证 ,则五边形 为所求截面. 因为 ,所以 , 则 , 故该截面的周长是 .故答案为: . 【典例4】已知三棱锥 的所有棱长均相等,四个顶点在球 的球面上,平面 经过棱 , , 的中点,若平面 截三棱锥 和球 所得的截面面积分别为 , ,则 ( ) A. B. C. D. 【答案】B 【分析】根据平面截三棱锥 所得三角形为正三角,即可求出三角形面积及外接圆面积,即可求解. 【详解】设平面 截三棱锥 所得正三角边长为a,截面圆的半径为r,则 , 由正弦定理可得 , , ,故选:B 【题型训练-刷模拟】 1 . 截面形状问题 一、单选题1.(2023·全国·高三专题练习)用一平面去截一长方体,则截面的形状不可能是( ) A.四边形 B.五边形 C.六边形 D.七边形 【答案】D 【分析】用平面去截正方体时最多和六个面相交得六边形. 【详解】 如图,用平面去截正方体时最多和六个面相交得六边形, 因此截面的形状可能有:三角形、四边形、五边形、六边形, 不可能为七边形, 故选:D. 2.(2023·全国·高三专题练习)已知在正方体 中, , , 分别是 , , 的 中点,则过这三点的截面图的形状是( ) A.三角形 B.四边形 C.五边形 D.六边形 【答案】D 【分析】利用平行画出截面,进而判断出正确答案. 【详解】分别取 、 、 的中点 、 、 ,连接 、 、 , 在正方体 中, , , 分别是 , , 的中点, , , , 六边形 是过 , , 这三点的截面图, 过这三点的截面图的形状是六边形. 故选:D3.(2023·全国·高三专题练习)已知在长方体 中, ,点 , , 分别 在棱 , 和 上,且 , , ,则平面 截长方体所得的截面形状为 ( ) A.三角形 B.四边形 C.五边形 D.六边形 【答案】C 【分析】连接 并延长交 的延长线于点 ,连接 并延长交 于点 , 过点 作 交 于点 ,连接 ,即可得到截面图形,从而得解. 【详解】如图连接 并延长交 的延长线于点 ,连接 并延长交 于点 , 过点 作 交 于点 ,连接 , 则五边形 即为平面 截该长方体所得的截面多边形. 其中因为 , , , 所以 ,则 ,所以 , 又 ,所以 ,所以 , 则 , 显然 ,则 ,所以 .故选:C 4.(2023秋·江苏南京·高三统考开学考试)在正方体 中,过点B的平面 与直线 垂 直,则 截该正方体所得截面的形状为( ) A.三角形 B.四边形 C.五边形 D.六边形 【答案】A 【分析】作出辅助线,证明出 ⊥平面 ,所以 ⊥ ,同理可证明 ⊥ ,得到 ⊥平面 ,故平面 即为平面 ,得到截面的形状. 【详解】连接 , 因为 ⊥平面 , 平面 , 所以 ⊥ , 又四边形 为正方形,所以 ⊥ , 又 , 平面 , 所以 ⊥平面 , 因为 平面 , 所以 ⊥ ,同理可证明 ⊥ , 因为 , 平面 , 故 ⊥平面 , 故平面 即为平面 , 则 截该正方体所得截面的形状为三角形. 故选:A 5.(2023·河南·模拟预测)在正方体 中,M,N分别为AD, 的中点,过M,N, 三点的平面截正方体 所得的截面形状为( ) A.六边形 B.五边形 C.四边形 D.三角形 【答案】B 【分析】在 上取点 ,且 ,取 中点为 ,在 上取点 ,且 .通过 ,可得 ,进而得出 , .通过证明 ,得出 .同理得出 ,即可得出正方体的截面图形.【详解】 在 上取点 ,且 ,取 中点为 ,连接 . 在 上取点 ,且 ,连结 . 因为 , , 所以 ,所以 . 又 ,所以 ,所以 , 所以, . 因为 分别为 的中点,所以 ,且 . 根据正方体的性质,可知 ,且 , 所以, ,且 , 所以,四边形 是平行四边形, 所以, ,所以 . 同理可得, . 所以,五边形 即为所求正方体的截面. 故选:B. 6.(2023·全国·高三专题练习)在如图所示的棱长为20的正方体 中,点 为 的中点,点 在侧面 上,且到 的距离为6,到 的距离为5,则过点 且与 垂直的正方体截面的 形状是( ) A.三角形 B.四边形 C.五边形 D.六边形 【答案】B 【分析】根据线面垂直的判定与性质,以及正方体的截面的性质、平面的基本性质,即可求解. 【详解】如图所示,过点 作 分别交 于点 ,因为 ,可得 , 在正方体 中, 平面 ,所以 又 ,所以 平面 , 平面 ,所以 过 作 交于 点 ,则 ,设 则 ,所以 ,即 ,则 所以 A B C D 1 1 1 1 在正方形 中,取 的中点 ,连接 则 与 ,则 所以 ,即 取 的中点 ,过 作 交 于点 ,连接 ,则 A B C D 1 1 1 1 又 平面 ,所以 ,由所以 平面 ,所以 又 ,所以 平面 连接 ,过 作 ,由 ,则 ,所以 (且 ) 连接 ,则四边形 为梯形,所以 平面 所以截面的形状为四边形边形 . 故选:B. 7.(2023·上海·高三统考学业考试)如图是长方体被一平面所截得到的几何体,四边形 为截面,长 方形 为底面,则四边形 的形状为( ) A.梯形 B.平行四边形 C.可能是梯形也可能是平行四边形 D.不确定 【答案】B 【分析】根据长方体的性质,结合面面平行的性质有 ,即知 的形状. 【详解】由长方体的性质:各对面平行,易知 , ∴ 为平行四边形.故选:B 2 . 求截面的面积 一、单选题 1.(2022春·山西朔州·高一校考阶段练习)在正方体 中,棱长为3,E为棱 上靠近 的三等分点,则平面 截正方体 的截面面积为( ) A. B. C. D. 【答案】C 【分析】根据题意运用基本事实作出截面,根据截面的几何特征求其面积即可. 【详解】延长 交于点 ,连接 交 于点 ,如图, 在正方体 中,面 面 , 面 面 ,面 面 ,又 四边形 是梯形,且为平面 截正方体 的截面. 又 ,在等腰梯形 中,过 作 ,. 故选:C. 2.(2022秋·安徽合肥·高三统考期末)已知正方体 的棱长为2,M、N分别为 、 的中点,过 、 的平面所得截面为四边形,则该截面最大面积为( ) A. B. C. D. 【答案】D 【分析】画出图形,可得最大面积的截面四边形为等腰梯形 ,根据梯形的面积公式求解即可. 【详解】如图所示,最大面积的截面四边形为等腰梯形 , 其中 ,高为 , 故面积为 . 故选:D. 3.(2023·安徽蚌埠·统考一模)如图,正方体 的一个截面经过顶点 及棱 上一点 ,截面将正方体分成体积比为 的两部分,则 的值为( )A. B. C. D. 【答案】C 【分析】画出截面,得到截面把正方体分为三棱台 和另一几何体,根据棱台体积公式求出 ,进而求出 的值. 【详解】设正方体棱长为1, , 如图所示,该截面把正方体分为几何体 和另一几何体, 由面面平行的性质可知: , 延长 ,相交于点 ,则 平面 ,且 平面 , 又平面 平面 ,所以 在直线 上,即 三线共点, 所以几何体 为三棱台, 其中三棱台 上底面积是 ,下底面积为 ,高等于1, 所以 ,解得: , 所以 . 故选:C 4.(2023春·全国·高一专题练习)已知三棱锥 的所有棱长均为3,球O与棱PA,PB,PC都相切, 且平面ABC被球O截得的截面面积为 ,则球O的半径为( ). A.1 B. C. D. 或 【答案】B 【分析】过点P向底面ABC作垂线,垂足为 ,连接 ,由球O截平面ABC所得的截面面积为 , 得截面圆的半径为 ,设球O的半径为R,得 ,过O作PA的垂线,垂足为D,得 ∽ ,可得 ,进而求得 . 【详解】过点P向底面ABC作垂线,垂足为 ,连接 ,则球心O在线段 或其延长线上, 为正 的中心,则 , . 设球O的半径为R,因为球O截平面ABC所得的截面面积为 , 所以截面圆的半径为 ,所以 , . 过O作PA的垂线,垂足为D,则 , ∽ ,所以 .①当点O在线段 上时, ,即 , 则 ,且 ,解得 ; ②当点O在线段 的延长线上时, ,即 , 则 ,且 ,解得 或 , 当 时,点O, 重合,此时点O不在线段 的延长线上,故舍去;当 时,切点D不在棱 PA上,不符合题意. 综合①②可知, , 故选:B. 5.(2023·吉林通化·梅河口市第五中学校考模拟预测)若球 是正三棱锥 的外接球, ,点 在线段 上, ,过点 作球 的截面,则所得的截面中面积最小的截 面的面积为( )A. B. C. D. 【答案】A 【分析】设 是球心, 是等边三角形 的中心,在三角形 中,有 ,可求得 ,再利用 可得过 且垂直 的截面圆最小即可. 【详解】 如图所示,其中 是球心, 是等边三角形 的中心, 可得 , , 设球的半径为 ,在三角形 中,由 , 即 ,解得 ,即 , 所以 , 因为在 中, , , 所以, , , 由题知,截面中面积最小时,截面圆与 垂直, 设过 且垂直 的截面圆的半径为 ,则 , 所以,最小的截面面积为 . 故选:A 6.(2023·四川内江·四川省内江市第六中学校考模拟预测)已知球O是正三棱锥 (底面是正三角 形,顶点在底面的射影为底面中心)的外接球, , ,点E是线段BC的中点,过点E作 球O的截面,则所得截面面积的最小值是( ) A. B. C. D.【答案】A 【分析】如图, 是 在底面的射影,求出底面外接圆的半径和几何体外接球的半径,当截面垂直于 时截面面积最小,求出截面圆的半径即得解. 【详解】如图: 是 在底面的射影,由正弦定理得, 的外接圆半径 . 由勾股定理得棱锥的高 设球 的半径为 , 则 ,解得 , 所以 ,即 与 重合, 所以当过点E作球O的截面垂直于 时,截面面积最小, 此时截面半径为 ,截面面积为 .故选:A. 7.(2023秋·湖南长沙·高三长沙一中校考阶段练习)如图,在棱长为1的正方体 中, 分别为棱 的中点,过 作该正方体外接球的截面,所得截面的面积的最小值为( )A. B. C. D. 【答案】C 【分析】易得正方体外接球的球心在其中心点 处,要使过 的平面截该球得到的截面面积最小,则截 面圆的圆心为线段 的中点 求解. 【详解】解:如图, 正方体外接球的球心在其中心点 处,球的半径 , 要使过 的平面截该球得到的截面面积最小,则截面圆的圆心为线段 的中点 , 连接 ,则 , 所以 , 此时截面圆的半径 , 此时,截面面积的最小值 . 故选:C. 8.(2023·四川成都·校联考模拟预测)在三棱锥 中, 平面 , , ,,点F为棱AV上一点,过点F作三棱锥 的截面,使截面平行于直线VB和AC, 当该截面面积取得最大值时, ( ) A. B. C. D. 【答案】B 【分析】通过作平行线作出题中的截面,并结合线面平行以及线面垂直说明其为矩形,利用三角形相似表 示出矩形的两边长,并求得其面积表达式,结合二次函数性质确定截面面积取得最大值时参数的值,解直 角三角形即可求得答案. 【详解】根据题意,在平面VAC内,过点F作 ,交VC于点E; 在平面VBC内,过点E作 ,交BC于点Q; 在平面VAB内,过点F作 ,交AB于点D,连接DQ,如图所示, 因为 ,则 ∽ ,设其相似比为k,即 , 则 ; 又因为 , , , 由余弦定理得, ,则 ,即 . 又 平面 , 平面 ,所以 , .又 ,则 , . 因为 ,则 ∽ ,则 , 因为 ,所以 ,即 , 同理可得 ,即 , 因为 , ,则 , 故四边形 为平行四边形;而 平面 , 平面 , 故 平面 ,同理 平面 , 即四边形 为截面图形; 又 平面 , 平面 ,则 , 又 ,所以 . 故平行四边形 为矩形,则 , 所以当 时, 有最大值 ,则 , 在 中, , 故选:B 9.(2023·安徽合肥·统考一模)已知正方体 的棱长为4,M,N分别是侧面 和侧面 的中心,过点M的平面 与直线ND垂直,平面 截正方体 所得的截面记为S,则S的面积为 ( ) A. B. C. D. 【答案】C 【分析】建立空间直角坐标系,利用空间向量确定截面形状,再计算截面面积作答. 【详解】正方体 的棱长为4,建立如图所示的空间直角坐标系,侧面 的中心 ,侧面 的中心 ,而 ,有 , 显然点M在平面 与平面 的交线上,设 为这条交线上任意一点, ,而 平面 ,则 , 即 ,令 ,得点 ,令 ,得点 ,连 , 平面 与平面 必相交,设 为这条交线上任意一点, , 由 ,即 ,令 ,得点 ,连 , A B C D 1 1 1 1 因为平面 平面 ,则平面 与平面 的交线过点G,与直线FE平行, 过G作 交 于 , , 由 得 ,即 ,显然平面 与平面 都相交, 则平面 与直线 相交,令交点为 , ,由 得 , 连接 得截面五边形 ,即截面 为五边形 , ,取 中点 ,连接 ,则 , 在 中, , 的面积 ,在 中, , 边 上的高 , 梯形 面积 , 所以S的面积为 . 故选:C 【点睛】方法点睛:作截面的常用三种方法:直接法,截面的定点在几何体的棱上;平行线法,截面与几 何体的两个平行平面相交,或者截面上有一条直线与几何体的某个面平行;延长交线得交点,截面上的点 中至少有两个点在几何体的同一平面上. 10.(2023·辽宁沈阳·东北育才学校校考模拟预测)在三棱锥 中, ,平面 平面 ,三棱锥 的所有顶点都 在球 的球面上, 分别在线段 上运动(端点除外), .当三棱锥 的体积最 大时,过点 作球 的截面,则截面面积的最小值为( ) A. B. C. D. 【答案】C 【分析】取 的中点 ,证得 为球心,利用二次函数求出三棱锥 的体积最大时 的取值,当 垂直于截面时,截面圆的面积最小,求得截面圆的半径. 【详解】如图,取 的中点 ,连接 ,因为 ,所以 ,即 为球心, 则球 的半径 ,又 ,所以 , 又平面 平面 ,平面 平面 平面 . 所以 平面 , 设 ,则 ,所以 , 所以三棱锥 的体积 . 当 时, 取得最大值 , 由于 ,在 中,由余弦定理得: 根据球的性质可知,当 垂直于截面时,截面圆的面积最小, 设此时截面圆的半径为 ,所以 . 则截面面积的最小值为 . 故选:C. 11.(2023·江苏·高一专题练习)已知正四棱锥 的底面边长为2,侧棱长为 ,SC的中点为 E,过点E做与SC垂直的平面 ,则平面 截正四棱锥 所得的截面面积为( ) A. B. C. D. 【答案】A 【分析】根据题意垂直关系可得平面 截正四棱锥 所得的截面面为四边形 ,结合根据相似 求长度,进而根据面积公式即可求解.【详解】连接 , 由题意可得: ,即 为等边三角形, 且E为SC的中点,可得 , 故 平面 , 连接 ,设 ,连接 , 可得 平面 , 且 平面 ,则 , , 平面 ,所以 平面 , 平面 ,则 , 在直线 取一点 ,连接 ,使得 , 在 中, , 因为 ,可得 , 故 , 同理在棱 取一点 ,使得 ,连接 ,则 , 故平面 截正四棱锥 所得的截面面为四边形 , 因为 ,则 // , 由 ,可得 , 所以四边形 的面积 . 故选:A. 12.(2023春·湖北武汉·高一武汉市第十一中学校考阶段练习)已知正四棱锥 的体积为 ,底面 的面积为 ,点 、 分别为 、 的中点,点 为 的靠近点 的三等分点,过点 、 、 的平面将该四棱锥分成上、下两部分,截面形状为四边形,则该四边形的面积为( ) A. B. C. D. 【答案】C 【分析】连接 、 ,设 ,连接 ,连接 并延长交 于点 ,连接 、 、 、 ,在 中,过点 作 交 于点 ,交 于点 ,过点 作 交 于 点 ,证明出 ,计算出 、 的长,进而可求得截面四边形的面积. 【详解】连接 、 ,设 ,连接 , 易知 为正四棱锥 的高,连接 交 于点 . 因为点 、 分别为 、 的中点,则 , 因为 ,所以, 为 的中点. 连接 并延长交 于点 ,连接 、 、 、 , 因为四边形 为正方形,则 , 因为 平面 , 平面 ,所以, , 因为 , 、 平面 ,所以, 平面 , 因为 平面 ,所以, ,则 , 四边形 为所求的截面四边形,如图1. 因为正四棱锥 的体积为 ,底面 的面积为 ,所以底面 是边长为 的正方形,则 , 由 ,可得 , 在 中,过点 作 交 于点 ,交 于点 , 过点 作 交 于点 ,如图2. 因为 ,则 . 又 为 的中点, 为 的中点,所以 , , , , 所以 , , 则 , ,所以 , 故 ,所以 ,则 , 得 . 故四边形 的面积为 , 故选:C. 【点睛】方法点睛:用一个平面去截几何体,此平面与几何体的交集叫做这个几何体的截面,利用平面的 性质确定截面形状是解决截面问题的关键. (1)平面的四个公理及推论;(2)直线和平面平行的判定和性质; (3)两个平面平行的性质; (4)球的截面的性质. 二、填空题 13.(2023春·河北保定·高一定州一中校考阶段练习)在棱长为2的正方体 中,若E为棱 的中点,则平面 截正方体 的截面面积为 . 【答案】 【分析】作出截面截面 , 为 的中点,则可得截面 是边长为 的菱形,求出其面积即 可. 【详解】如图,在正方体 中, 平面 平面 , 平面 与平面 的交线必过 且平行于 , 故平面 经过 的中点 ,连接 ,得截面 , 易知截面 是边长为 的菱形,其对角线 , ,截面面积 . 故答案为: .14.(2022·广西桂林·校联考二模)在三棱锥ABCD中,对棱 ,当平面α与三棱锥ABCD的某组对棱均平行时,则三棱 锥ABCD被平面α所截得的截面面积最大值为 . 【答案】3 【分析】每组对棱棱长相等,所以可以把三棱锥ABCD放入长方体中,设长宽高分别为x,y,z,求出 ,由线面平行得线线平行,证明当 是所在棱中点时面积最大,按截面与哪对棱平行分类讨 论求得截面面积的最大值. 【详解】因为每组对棱棱长相等,所以可以把三棱锥ABCD放入长方体中,设长宽高分别为x,y,z,则 ,则 . 当平面α与三棱锥ABCD的对棱AB,CD均平行时,截而为四边形EFGH, , , 设 ,则 , ,同理 , (或其补角)是异面直线 所成的角, ,其中 为定值, , 时, 取得最大值,即截面 面积最大,此时 是所 在棱中点, 由长方体性知最大面积为长方体上下底面面积的一半 , 同样地,当平面a与三棱锥ABCD的对棱AC,BD均平行时,截面最大面积为 ;当平面α与三棱 锥ABCD的对棱AD,BC均平行时,截面最大面积为 . 故答案为:3.15.(2019春·上海·高二上海市新中高级中学校考阶段练习)如图,在正方体 中,AB= 1, 中点为Q,过 三点的截面面积为 . 【答案】 【分析】先作出经过 三点的截面,如图所示为梯形 ,然后求出截面的面积即可 【详解】解:如图所示,取 的中点P,连接 、AQ和 ,∵ 分别是 , 的中点, ∴ ,且 , ∵ ,∴ , 所以四边形 是过 三点的截面,且四边形 是梯形, ∵AB=1, ∴ , , , 且等腰梯形 的高为 , ∴截面面积为 , 故答案为: 16.(2023·江苏常州·江苏省前黄高级中学校考二模)在正四棱台 中, , ,M为棱 的中点,当正四棱台的体积最大时,平面 截该正四棱台的截面面积是 .【答案】 【分析】设 ,上底面和下底面的中心分别为 , ,过 作 ,该四棱台的高 ,可求得该四棱台的体积为 ,利用基本不等式可得该四棱台的体积的最大值,此时 , , .取 , 的中点 , ,连接 , ,可得平面 就是截面, 求解即可. 【详解】设 ,上底面和下底面的中心分别为 , ,过 作 , 该四棱台的高 , 在上下底面由勾股定理可知, . 在梯形 中, , 所以该四棱台的体积为 , 所以 , 当且仅当 ,即 时取等号,此时 , , . 取 , 的中点 , ,连接 , ,显然有 , 由于 平面 , 平面 ,所以 平面 ,因此平面 就是截面. 显然 , 在直角梯形 中, , 因此在等腰梯形 中, , 同理在等腰梯形 中, ,在等腰梯形 中,设 , , 则 , , 所以梯形 的面积为 . 故答案为: . 【点睛】总结点睛: 解决与几何体截面的问题,将空间几何问题转化为平面几何问题求解,其解题思维流程如下: (1)根据空间中的线面关系,找到线线平行或者垂直,进而确定线面以及面面关系, (2)作截面:选准最佳角度做出截面(要使这个截面尽可能多的包含几何体的各种元素以及体现这些元 素的关系),达到空间问题平面化的目的; (3)求长度下结论:根据作出截面中的几何元素,建立关于长度的方程,并求解. 17.(2023·江西吉安·吉安三中校考一模)如图,正方体 的棱长为 为 的中点, 为 棱 上的动点,过点 的平面截该正方体所得的截面记为S,则下列命题正确的是 .(请 写出所有正确命题的编号)①当 时,S为等腰梯形; ②当 时,S与 的交点 满足 ; ③当 时,S为六边形; ④当 时,S的面积为 . 【答案】①②④ 【分析】①作出辅助线,找到S为四边形 ,证明出其为等腰梯形;②作出辅助线,找到S,利用各 边长度与相似,求出 ;③在②的分析基础上,得到S为五边形;④作出辅助线,得到S为菱形, 求出对角线,进而求出面积. 【详解】当 时,S为等腰梯形,理由如下: 如图1,连接 , ,因为 为 的中点, 为 上的中点, 所以 ∥ , 所以四边形 为S,其中 , 所以S为等腰梯形,①正确;当 时,S与 的交点 满足 ,理由如下: 如图2,延长 至点E,使得 ,连接EA,EQ交 于点R, 取AD中点N,DE中点M,连接MQ,MN,PN, 则 ,DN=CP,所以四边形CQMD与四边形PCDN均为平行四边形, 所以MQ∥NP∥CD,且MQ=NP=CD,所以四边形MNPQ为平行四边形, 所以PQ∥MN,由中位线的性质可知:MN∥AE,所以PQ∥AE, 所以四边形AEQP即为S,其中 , 所以 ,所以 ,②正确;当 时,S为五边形,理由如下: 如图3,根据②的分析,随着Q点在图2的基础上沿着 向上移动, 则点E点沿着射线 向上移动,此时AE与 相交于点G, EQ与 相交于点R,连接GR,故所截得的S为五边形,故③错误; 当 时,S的面积为 ,理由如下:如图4,点Q与 重合,此时G为 的中点,可证得: ∥ ,AP∥GQ, 其中 ,所以S为菱形APQG, 且 ,S的面积为 ,④正确. 故答案为:①②④ 3 . 求截面的周长 一、单选题 1.(2023·河南新乡·统考三模)如图,在棱长为2的正方体 中, 是棱 的中点,过 三点的截面把正方体 分成两部分,则该截面的周长为( ) A. B. C. D.【答案】A 【分析】画出截面图形,利用已知条件,转化求解截面周长即可. 【详解】如图,取BC的中点 ,连接EF,AF, , 、 分别为棱 、 的中点,则 ,正方体中 ,则有 ,所以平面 为所 求截面, 因为正方体 的棱长为2,所以 , , ,所以四 边形 的周长为 . 故选:A. 2.(2023春·四川南充·高三阆中中学校考阶段练习)如图,直四棱柱 的所有棱长均为 , , 是侧棱 的中点,则平面 截四棱柱 所得的截面图形的周长是 ( ) A. B. C. D.【答案】D 【分析】利用作延长线找交点法,得出截面图形为梯形 ,求出梯形 周长即为所求. 【详解】连接 与 的延长线交于点 , 连 接 与 交于点 , 因为 , 所以 为 的中点, 则 为 的中点, 所以截面为梯形 , 因为所有棱长均为2, , 所以 , , , , 故梯形 的周长为 . 故选:D. 3.(2023·江西鹰潭·贵溪市实验中学校考模拟预测)已知正方体 的棱长为2,点 为线段 的中点,若点 平面 ,且 平面 ,则平面 截正方体 所得截面的周长为 ( ) A. B. C. D. 【答案】C【分析】记 的中点分别为E,F,先证三角形 即为平面 截正方体所得截面,然后可得周长. 【详解】记 的中点分别为E,F,连接 , 由正方体性质可知, 平面 , 因为 平面 ,所以 又 为正方形,所以 因为 , 平面 ,所以 平面 , 因为 平面 ,所以 因为P,E分别为 的中点,所以 ,所以 , 同理可证, 又 , 平面 所以 平面 , 所以三角形 即为平面 截正方体所得截面, 易知三角形 为正三角形, 所以截面周长为 . 故选:C 4.(2023·全国·高三专题练习)如图,在棱长为2的正方体 中,点P是棱AB上的动点,过 ,P三点作正方体的截面,若截面把正方体分成体积之比为7:25的两部分,则该截面的周长为 ( ) A. B. C. D. 【答案】D 【分析】如图所示,过点 作 ,交 于点 ,则四边形 就是过点 的截面,设 , ,根据已知求出 即得解. 【详解】解:如图所示,过点 作 ,交 于点 ,则四边形 就是过点 的截面,设 , , 则台体 的体积 , 解之得 , 所以 , , 所以截面的周长为 . 故选:D5.(2023·全国·高三专题练习)在正方体 中, , 为棱 的四等分点(靠近点 ), 为棱 的四等分点(靠近点 ),过点 , , 作该正方体的截面,则该截面的周长是 ( ) A. B. C. D. 【答案】C 【分析】根据正方体的特征,作出过点 , , 的该正方体的截面,计算相关线段的长,即可求得答案. 【详解】设 为 的三等分点,靠近B点,连接 ,并延长交 延长线于P, 设 为 的三等分点,靠近 点,连接 ,并延长交 延长线于Q, 则 ∽ ,由于 ,故 , 同理求得 ,故 两点重合,则 ,故 ,而 ,故 , 同理可得 ,即四边形 为平行四边形, 连接 ,则五边形 即为过点 , , 所作的正方体的截面, 由题意可知 故该截面的周长是 , 故选:C 6.(2023·全国·高三专题练习)正三棱柱ABC﹣ABC 中,所有棱长均为2,点E,F分别为棱BB,AC 1 1 1 1 1 1 的中点,若过点A,E,F作一截面,则截面的周长为( ) A.2+2 B. C. D. 【答案】B 【分析】根据题意先作出截面,进而算出截面各边的长度,最后得到答案. 【详解】如图,在正三棱柱 中,延长AF与CC1的延长线交于M,连接EM交B1C1于P, 连接FP,则四边形AEPF为所求截面.过E作EN平行于BC交CC1于N,则N为线段CC1的中点,由 相似于 可得MC1=2,由 相似于 可得: , 在 中, ,则 , 在 中, ,则 , 在 中, ,则 , 在 中, , 由余弦定理: ,则 , 所以截面周长为: . 故选:B. 【点睛】本题主要考查几何体的截面问题,其中根据空间几何体的结构特征,利用平面的性质作出几何体 的截面是问题的关键,平常注意方法的总结和归纳. 7.(2023春·广西南宁·高三南宁三中校考专题练习)已知正方体 的棱长为4,E,F分别 是棱 ,BC的中点,则平面 截该正方体所得的截面图形周长为( ) A.6 B.10 C. D. 【答案】D 【分析】取 的中点 ,连接 ,则 ,取 的中点 ,连接 ,延长 交于 ,连接 交 于点 ,连接,作出截面图形,然后再分别求出各边长,从而得出答案. 【详解】取 的中点 ,连接 ,则 ,取 的中点 ,连接 ,则所以 , 则直线 平面 延长 交于 ,连接 交 于点 ,连接 ,则 为 的中点. 则平面 截该正方体所得的截面图形为 由条件可得 ,则 , 则 , 取 的中点 ,连接 ,则 ,所以 所以 ,则 则 所以截面图形周长为 故选:D 二、填空题8.(2023·全国·高三专题练习)已知长方体 中,AB=2,AD=4, ,E,F分别为 , 的中点,则过D,E,F三点截得长方体 的截面周长为 【答案】 【分析】利用确定平面的公里,作延长以及平行,可得截面,根据中位线以及勾股定理,可得答案. 【详解】延长EF分别交 , 的延长线于点M,N,连接MD,ND,分别交 , 于点Q,P, 连接PF,EQ,则过D,E,F三点截得长方体 的平面为五边形DQEFP. 过F点作 ,过E点作 ,所以 是 的中点, 是 的中点. 在 中, , ,所以 . 在 中, ,所以 ,AQ=2, 则 , , . 同理在 中, ,在 中, ,CP=2, 所以 , ,所以截面周长为 . 故答案为: . 9.(2023秋·四川成都·高三树德中学校考开学考试)如图,正方体 的棱长为4,E是侧棱的中点,则平面 截正方体 所得的截面图形的周长是 . 【答案】 【分析】过 点作 的平行线即可延展平面 ,则可得到截面,再求周长即可. 【详解】取 中点 ,连接 , , ∵ 中点为 ,E是侧棱 的中点, ∴ , , 又在直角三角形 中 , ∴ , ∵正方体 中, ∴四边形 为平行四边形, ∴∴ , 四点共面,即为正方体的截面. 在直角三角形 中 , 同理 ,则截面周长为 . 故答案为: . 10.(2023春·上海黄浦·高三格致中学校考开学考试)正三棱柱 中,所有棱长均为2,点 、 分别为棱 、 的中点,若过点 、 、 作一截面,则截面的周长为 . 【答案】 【分析】将正三棱柱 扩大成正三棱柱 ,其中 , 再解三角形可得答案. 【详解】如下图所示,将正三棱柱 扩大成正三棱柱 ,其中 , 则点E为AH1的中点,点F为AC2的中点,设 ,则 ,所以过点A、E、F的截 面为AEGF,因为 和 均为两直角边分别为2, 1的直角三角形,所以 , 在 中,连接H1F交 于 ,则 为 的重心, 所以 ,因为 ,所以 , 又因为 平面 ,所以三角形 为直角三角形,且 ,所以 , 所以截面的周长为 . 故答案为: . 【点睛】关键点睛:本题考查几何体的截面的相关计算,关键在于根据公理作出所求的截面,再运用解三 角形的相关知识得以解决. 11.(2023·山东泰安·统考模拟预测)在棱长为 的正方体 中,点 分别是 、 、 的中点,则过线段 且平行于平面 的截面图形的周长为 . 【答案】 【分析】结合面面平行性质定理画出截面图形,再求出截面图形的边长,即可得出答案. 【详解】取 的中点为 ,连接 , ,因为点 分别是 、 、 的中点, 由正方体性质可得 ,所以 四点共面, 因为 , 平面 , 平面 , 所以 平面 , 因为 , , 所以四边形 为平行四边形, 所以 ,又 平面 , 平面 , 所以 平面 , 又 , 平面 , 所以平面 平面 , 四边形 即为经过线段 且平行于平面 的截面图, 正方体棱长为 ,所以 , , , , 所以截面图形周长为 . 故答案为: .12.(2023·全国·高三专题练习)如图,在直三棱柱 中, , , , , 为线段 上的一动点,则过 三点的平面截该三棱柱所得截面的最小周长为 . 【答案】 / 【分析】利用直三棱柱 的侧面展开图求解即可. 【详解】由题意可知过 三点的平面截该三棱柱所得截面的周长即 的周长, 因为直三棱柱 ,所以各侧面均为矩形, 所以 , 直三棱柱 的侧面部分展开图如图所示, 则在矩形 中 ,所以过 三点的平面截该三棱柱所得截面的最小周长为 , 故答案为: 4 . 圆柱、圆锥、球的截面问题 一、单选题 1.(2023·山西阳泉·阳泉市第一中学校校考模拟预测)圆锥的母线长为4,侧面积是底面积的 倍,过圆 锥的两条母线作圆锥的截面,则该截面面积的最大值是( ) A.8 B. C. D. 【答案】A 【分析】设圆锥底面半径为 ,母线为 ,轴截面顶角为 ,则根据题意可得 与 的关系,从而 可求出 为钝角,由此可得当圆锥两条母线互相垂直时,截面面积最大,然后可求得结果. 【详解】设圆锥底面半径为r,母线为l,轴截面顶角为 ,则 ,得 , 所以 , 因为 为锐角,所以 ,即 ,则θ为钝角, 所以当圆锥两条母线互相垂直时,截面面积最大,最大值为 . 故选:A. 2.(2023·广西·统考模拟预测)一个圆锥的底面圆和顶点都恰好在球 的球面上,且球心 在圆锥体内部, 若球 的表面积为 , 到圆锥底面圆的距离为1,则该圆锥的侧面积为( ) A. B. C. D. 【答案】A 【分析】根据题意求圆锥底面圆的半径和母线,进而求侧面积. 【详解】设球 的半径为 ,则 ,解得 . 设圆锥底面圆的半径为 ,则 , 圆锥的高为3,圆锥的母线长为 ,所以该圆锥的侧面积为 . 故选:A. 【点睛】本题考查圆锥的外接球,考查直观想象的核心素养. 3.(2023·天津红桥·统考二模)用与球心距离为1的平面去截球,所得的截面面积为 ,则球的体积为 ( ) A. B. C. D. 【答案】D 【分析】利用圆的面积公式和球心到截面圆的距离、截面圆半径及球的半径的关系,结合球的体积公式即 可求解. 【详解】设截面圆的半径为 ,球的半径为 , 由题意可知 ,解得 , , 所以球的体积为 . 故选:D. 4.(2023·陕西咸阳·武功县普集高级中学校考模拟预测)已知球 的一个截面的面积为 ,球心 到该 截面的距离比球的半径小1,则球 的表面积为( ) A. B. C. D. 【答案】B 【分析】设截面圆的半径为 ,球的半径为 ,依题意得到 且 ,即可求出 ,从而 求出球的表面积. 【详解】依题意设截面圆的半径为 ,球的半径为 ,因为截面的面积为 ,所以 , 又 ,即 ,解得 ,所以球 的表面积 . 故选:B 5.(2023·全国·高三专题练习)圆柱内有一内接正三棱锥,过棱锥的一条侧棱和高作截面,正确的截面图 是( ) A. B. C. D. 【答案】D 【分析】根据截面在圆柱底面所形成的截痕直接判断即可. 【详解】圆柱底面为正三棱锥底面三角形的外接圆,如下图所示, 则过棱锥的一条侧棱和高作截面,棱锥顶点为圆柱上底面的中心,可得截面图如下图, 故选:D. 6.(2023秋·陕西西安·高三西安市铁一中学校考期末)如图所示的几何体是由一个圆柱挖去一个以圆柱上 底面为底面,下底面圆心为顶点的圆锥而得到的组合体,现用一个竖直的平面去截这个组合体,则截面图 形可能是( )A.①② B.①③ C.①④ D.①⑤ 【答案】D 【分析】根据截面的位置,可判断截面图形的形状. 【详解】一个圆柱挖去一个圆锥后,剩下的几何体被一个竖直的平面所截后,圆柱的轮廓是矩形除去一条 边, 当截面经过圆柱上下底面的圆心时,圆锥的截面为三角形除去一条边,所以①正确; 当截面不经过圆柱上下底面的圆心时,圆锥的截面为抛物线的一部分,所以⑤正确; 故选:D 【点睛】本题考查了空间几何体的结构特征,几何体截面形状的判断,属于中档题. 7.(2023·全国·高三专题练习)从一个底面圆半径与高均为2的圆柱中挖去一个正四棱锥(以圆柱的上底 面为正四棱锥底面的外接圆,下底面圆心为顶点)而得到的几何体如图所示,今用一个平行于底面且距底 面为1的平面去截这个几何体,则截面图形的面积为( ) A. B. C. D. 【答案】C 【分析】先求出截面截圆柱所得的圆面的面积,再求出截面截正四棱锥所得的正方形的面积,从而得出答 案. 【详解】截面图形应为圆面中挖去一个正方形,且圆的半径是2, 则截面圆的面积为: 设正四棱锥的底面正方形边长为 ,则 ,所以 正四棱锥的底面正方形的面积为由圆锥中截面的性质,可得圆面中挖去一个正方形与正四棱锥的底面正方形相似 设圆面中挖去一个正方形的面积为 ,正四棱锥的底面正方形为 则 ,从而 所以截面图形的面积为 . 故选:C. 8.(2023·全国·高三专题练习)若过圆锥的轴 的截面为边长为4的等边三角形,正方体 的顶点 , , , 在圆锥底面上, , , , 在圆锥侧面上,则该正方体的棱 长为( ) A. B. C. D. 【答案】C 【分析】设正方体棱长为 ,根据题意得 ,分析求解即可. 【详解】根据题意过顶点 和正方体上下两个平面的对角线作轴截面如下所示: 所以 , ,所以 , , 为矩形,设 ,所以 ,所以 , 所以 ,即 ,即 ,解得 . 故选:C.9.(2023·海南海口·海南中学校考二模)传说古希腊数学家阿基米德的墓碑上刻着“圆柱容球”,即:一 个圆柱内有一个内切球,这个球的直径恰好与圆柱的高相等.如图是一个圆柱容球, 为圆柱上下底面 的圆心, 为球心, 为底面圆 的一条直径,若球的半径 ,则平面DEF截球所得的截面面积最 小值为( ) A. B. C. D. 【答案】D 【分析】过 作 于 ,设 到平面 的距离为 ,平面 截得球的截面圆的半径为 ,由 求解判断. 【详解】由球的半径为 ,可知圆柱的底面半径为 ,圆柱的高为 ,过 作 于 ,如图所示:则由题可得 , 设平面 截得球的截面圆的半径为 , 当EF在底面圆周上运动时, 到平面 的距离 所以 所以平面 截得球的截面面积最小值为 , 故D正确; 故选:D. 10.(2023·江西南昌·江西师大附中校考三模)已知正方体 的棱长为 , 为棱 上的 一点,且满足平面 平面 ,则平面 截四面体 的外接球所得截面的面积为( ) A. B. C. D. 【答案】A 【分析】由题意证得 是 的中点,由四面体 的外接球的直径为 ,得到半径 ,设 是外接球的球心,求得球心 到平面 的距离 ,根据球的截面圆的性质,求得截面圆的半径 ,进而求得截面圆的面积.【详解】在正方体 中,设平面 平面 ,且 平面 , 由平面 平面 ,可得 ,所以 是 的中点, 又四面体 的外接球的直径为 ,可得半径 , 设 是 的中点即球心,球心 到平面 的距离为 , 又设 与 的交点为 ,则 ,则 , 则 ,则截面圆的半径 , 所以截面圆的面积为 . 故选:A. 11.(2023·福建福州·福建省福州第一中学校考模拟预测)在矩形 中, ,将 沿 对角线 翻折至 的位置,使得平面 平面 ,则在三棱锥 的外接球中,以 为直径的截面到球心的距离为( ) A. B. C. D. 【答案】B 【分析】如图,取 的中点为 ,连接 ,过 作 ,垂足为 ,连接 ,可证 为三 棱锥 的外接球的球心,利用解直角三角形可求 ,据此可求球心到以 为直径的截面 的距离.【详解】如图,取 的中点为 ,连接 ,过 作 ,垂足为 ,连接 . 因为三角形 为直角三角形,故 , 同理 ,故 , 所以 为三棱锥 的外接球的球心,而 , 因为 , 平面 ,平面 平面 , 平面 平面 ,故 平面 , 而 平面 ,故 . 在直角三角形 中, ,故 , 故 , 在直角三角形 中, , 故 ,故 . 设球心到以 为直径的截面的距离为 , 则 , 故选:B. 【点睛】思路点睛:三棱锥外接球的球心,可根据球心的定义来判断(即球心到各顶点的距离相等),而 球面截面圆的半径、球心到截面的距离、球的半径可构成直角三角形. 12.(2023·全国·高三专题练习)某圆锥母线长为 ,底面半径为 ,则过该圆锥顶点的平面截此圆锥所 得截面面积的最大值为( ) A. B. C. D.【答案】A 【分析】求出圆锥的高,设过圆锥顶点的截面为 ,设 ,表示 的面积,再运用基本不 等式求最值即可. 【详解】设圆锥顶点为 ,底面直径为 ,圆心 ,另有一任意弦 , 为 的中点,连接 、 、 , 如图,设 为过圆锥顶点的截面, 因为 底面 , , 因为 , 为 的中点,所以 , 由题意可知: , , 设 , ,则 , , 所以 , , 则 , 当且仅当 ,即 时,等号成立, 故过该圆锥顶点的平面截此圆锥所得截面面积的最大值为 . 故选:A. 13.(2023秋·重庆万州·高三重庆市万州第二高级中学校考阶段练习)已知圆台 的上、下底面半径分 别为r,R,高为h,平面 经过圆台 的两条母线,设 截此圆台所得的截面面积为S,则( )A.当 时,S的最大值为 B.当 时,S的最大值为 C.当 时,S的最大值为 D.当 时,S的最大值为 【答案】D 【分析】通过将圆台补成圆锥,利用图形分 和 讨论即可. 【详解】如图,将圆台 补成圆锥 . 设圆台 的母线长为 ,则 ,等腰梯形 为过两母线的截面. 设 ,由 ,得 , 则 , 当 时, ,当 最大,即截面为轴截面时面积最大, 则 的最大值为 . 当 时, ,当 时,截面面积最大, 则 的最大值为 . 故选:D.【点睛】关键点睛:本题的关键的是通过补图,利用三角形相似和三角形面积公式得到 , 然后再分 和 讨论即可. 二、填空题 14.(2023·全国·高三专题练习)已知圆锥顶点为P,底面的中心为O,过直线OP的平面截该圆锥所得的 截面是面积为 的正三角形,则该圆锥的体积为 . 【答案】 【分析】由题设正三角形的边长为 ,得到底面圆的半径为 ,圆锥的高为 ,结合圆锥的体积公 式,即可求解. 【详解】由题意,过直线 的平面截该圆锥所得的截面是面积为 的正三角形, 设正三角形的边长为 ,可得 ,解得 , ∴底面圆的半径为 ,圆锥的高为 , 所以该圆锥的体积为 . 故答案为: . 15.(2023·全国·高三专题练习)将一个直角边长为2的等腰直角三角形绕其直角边所在的直线旋转一周 所得圆锥的内切球的表面积为 . 【答案】 【分析】作圆锥的轴截面,利用等面积法求出内切球的半径,即可求得内切球的表面积. 【详解】依题意,作圆锥的轴截面为等腰直角三角形,截得其内切球的大圆是此等腰直角三角形的内切圆, 圆锥的底面半径为2,则其母线长为 , 设圆锥的内切球半径为r, 则 ,所以 , 所以内切球的表面积为 故答案为: 16.(2023·海南·校联考模拟预测)已知某球的体积为 ,该球的某截面圆的面积为 ,则球面上的点 到该截面圆心的最大距离为 . 【答案】3 【分析】先求出球心到平面 的距离为 ,再求点到该截面圆的最大距离. 【详解】设截面圆的半径为 ,球 的半径为 ,球心到平面 的距离为 , 则 , 因为球的体积为 所以 因为截面圆的面积为 ,所以 ,故 , 所以 , 所以球面上的点到该截面圆圆心的最大距离为 ,故最大距离为 . 故答案为: .17.(2023秋·四川南充·高三四川省南充高级中学校考阶段练习)已知点 , , 是圆锥表面上的点, 该圆锥的侧面展开图为以点 为圆心,4为半径的半圆,点 是弧 的中点,点 是弧 的中点(如 图),以圆锥底面圆心为球心,半径为2的球被平面 所截,则截面面积为 . 【答案】 【分析】还原圆锥,作出示意图,求得底面圆半径,进而根据等体积法求得底面圆心到截面圆的距离,从 而求得截面圆的半径,可得答案. 【详解】根据题意,还原圆锥如下所示:D点在如图示 的中点处, 不妨设该圆锥底面半径为 ,高为 ,底面圆圆心为 , 根据题意, ,圆锥底面圆周长为 , 解得 , 由勾股定理可得 , 平面 截以圆锥底面圆心为球心,半径为2的球的截面为一个圆, 不妨设截面圆半径为 ,设球心到面 的距离为 , 在 中, , ,则 , 由等体积法可得, , 即 , 解得 , 故可得, , 故截面圆面积为 , 故答案为: 18.(2023·陕西西安·校联考一模)某圆锥的底面半径为1,高为3,在该圆锥内部放置一个正三棱柱,则 该正三棱柱体积的最大值为 . 【答案】 【分析】作出对应的图形,设正三棱柱上底面外接圆的半径为r,利用题意得出三棱柱的高 , ,进而求出体积的表达式,利用导数求出体积的最值即可. 【详解】如图,设正三棱柱上底面外接圆的半径为r,三棱柱的高为h,根据题意作出圆锥的轴截面, 由 可得 ,则该三棱柱的高 , , 则该三棱柱的体积 , , 当 时, ,函数单调递增;当 时, ,函数单调递减; 所以 时,V取得最大值,且最大值为 .故答案为: . 19.(2023·上海·高三专题练习)在圆柱中,底面圆半径为 ,高为 ,上底面圆的直径为 , 是底面圆 弧上的一个动点,绕着底面圆周转,则 的面积的范围 . 【答案】 【分析】根据题意,设上顶面圆心记为 ,下底面圆心记为 ,连接 ,过点 作 ,垂足为点 ,由于 为定值,则 的大小随着 的长短变化而变化,由图可知当点 与点 重合时以及当 点 与点 重合,分别求解 的最大值和最小值,即可得到 的面积的范围. 【详解】解:如图1,设上底面圆心记为 ,下底面圆心记为 , 连接 ,过点 作 ,垂足为点 , 则 , 根据题意, 为定值2,所以 的大小随着 的长短变化而变化, 如图2所示,当点 与点 重合时, , 此时 取得最大值为 ;如图3所示,当点 与点 重合, 取最小值2, 此时 取得最小值为 , 综上所述, 的取值范围为 . 故答案为: . 20.(2023·重庆·统考模拟预测)已知三棱锥 中,Q为BC中点, , 侧面 底面 ,则过点Q的平面截该三棱锥外接球所得截面面积的取值范围为 . 【答案】 【分析】连接 ,找到球心 到平面 和平面 的射影为 和 的中心 , ,再通过 面面垂直的性质定理和线面垂直的性质定理得到 ,再利用勾股定理求出相关长度,找到截面圆的 最值情况,代入计算即可得到答案. 【详解】连接 ,由 , 可知: 和 是等边三角形, 设三棱锥 外接球的球心为 , 所以球心 到平面 和平面 的射影是 和 的中心 , , 是等边三角形, 为 中点,所以 , 又因为侧面 底面 ,侧面 底面 , 侧面 , 所以 底面 ,而 底面 ,因此 , 所以 是矩形,应为 和 是边长为4的等边三角形, 所以两个等边三角形的高 , 在矩形 中, ,连接 ,所以 , 设过点 的平面为 ,当 时,此时所得截面的面积最小,该截面为圆形, 可得 , 因此圆 的半径为 , 所以此时面积为 ,当点 在以 为圆心的大圆上时,此时截面的面积最大, 面积为: ,所以截面的面积范围为 . 故答案为: . 21.(2023·江西上饶·校联考模拟预测)已知四棱锥 的各个顶点都在球O的表面上,PA⊥平面 ABCD,底面ABCD是等腰梯形, , , , ,M是线段AB上 一点,且 .过点M作球O的截面,所得截面圆面积的最小值为 ,则 = . 【答案】 或 【分析】根据给定的几何体,确定球心O的位置并求出球半径,再利用球的截面圆性质及余弦定理求解作 答. 【详解】在等腰梯形 中,连接 ,如图,因为 , , ,则 , , 于是 ,取 中点 ,连接 ,则 ,得 均为正三角形, 即有 ,即 是梯形 外接圆圆心, 而O为四棱锥 的外接球球心,因此 平面 ,又PA⊥平面ABCD, 则 ,而 为球O的弦,则过点O垂直于 的平面必过 的中点E,连接 , 于是 ,而 ,即有 ,四边形 为矩形, , 因此球O的半径 ,过点M的球O的最小截面圆所在平面必垂直于 , 而此截面圆半径为 ,则 ,连接 ,在 中, , 在 中, , , 即有 ,解得 或 , 所以 或 . 故答案为: 或 【点睛】关键点睛:解决与球有关的内切或外接问题时,关键是确定球心的位置,再利用球的截面小圆性 质求解. 22.(2023春·重庆万州·高三重庆市万州第二高级中学校考阶段练习)已知三棱锥 的四个顶点在球 的球面上, , 是边长为 的正三角形,三棱锥 的体积为 , 为 的 中点,则过点 的平面截球 所得截面面积的最小值是 . 【答案】 【分析】先根据条件可证明 , , ,故三棱锥 放入正方体中,正方体 的外接球即是三棱锥 的外接球,从而即可求出球 的半径,过点 的平面截球 所得截面面积的 最小时,截面与 垂直,求得截面圆半径 即可. 【详解】设 在底面 上的射影为 ,如图, 因为 ,由 全等得 为 的中心, 由题可知, ,由 ,解得 在正 中,可得 . 从而直角三角形 中解得 . 同理 ,又 是边长为 的正三角形, 所以 ,则 ,同理 , , 因此正三棱锥 可看作正方体的一角, 正方体的外接球与三棱锥 的外接球相同,正方体对角线的中点为球心 . 记外接球半径为 ,则 , 过点 的平面截球 所得截面面积的最小时,截面与 垂直,此时截面圆半径 满足 , 由 得 ,所以 ,所以截面面积的最小值为 .故答案为: