当前位置:首页>文档>技巧03填空题解法与技巧(练)解析版_2.2025数学总复习_2023年新高考资料_二轮复习_备战2023年高考数学二轮复习考点精讲练(新教材·新高考)

技巧03填空题解法与技巧(练)解析版_2.2025数学总复习_2023年新高考资料_二轮复习_备战2023年高考数学二轮复习考点精讲练(新教材·新高考)

  • 2026-03-25 13:59:04 2026-03-20 14:12:22

文档预览

技巧03填空题解法与技巧(练)解析版_2.2025数学总复习_2023年新高考资料_二轮复习_备战2023年高考数学二轮复习考点精讲练(新教材·新高考)
技巧03填空题解法与技巧(练)解析版_2.2025数学总复习_2023年新高考资料_二轮复习_备战2023年高考数学二轮复习考点精讲练(新教材·新高考)
技巧03填空题解法与技巧(练)解析版_2.2025数学总复习_2023年新高考资料_二轮复习_备战2023年高考数学二轮复习考点精讲练(新教材·新高考)
技巧03填空题解法与技巧(练)解析版_2.2025数学总复习_2023年新高考资料_二轮复习_备战2023年高考数学二轮复习考点精讲练(新教材·新高考)
技巧03填空题解法与技巧(练)解析版_2.2025数学总复习_2023年新高考资料_二轮复习_备战2023年高考数学二轮复习考点精讲练(新教材·新高考)
技巧03填空题解法与技巧(练)解析版_2.2025数学总复习_2023年新高考资料_二轮复习_备战2023年高考数学二轮复习考点精讲练(新教材·新高考)
技巧03填空题解法与技巧(练)解析版_2.2025数学总复习_2023年新高考资料_二轮复习_备战2023年高考数学二轮复习考点精讲练(新教材·新高考)
技巧03填空题解法与技巧(练)解析版_2.2025数学总复习_2023年新高考资料_二轮复习_备战2023年高考数学二轮复习考点精讲练(新教材·新高考)
技巧03填空题解法与技巧(练)解析版_2.2025数学总复习_2023年新高考资料_二轮复习_备战2023年高考数学二轮复习考点精讲练(新教材·新高考)
技巧03填空题解法与技巧(练)解析版_2.2025数学总复习_2023年新高考资料_二轮复习_备战2023年高考数学二轮复习考点精讲练(新教材·新高考)
技巧03填空题解法与技巧(练)解析版_2.2025数学总复习_2023年新高考资料_二轮复习_备战2023年高考数学二轮复习考点精讲练(新教材·新高考)
技巧03填空题解法与技巧(练)解析版_2.2025数学总复习_2023年新高考资料_二轮复习_备战2023年高考数学二轮复习考点精讲练(新教材·新高考)
技巧03填空题解法与技巧(练)解析版_2.2025数学总复习_2023年新高考资料_二轮复习_备战2023年高考数学二轮复习考点精讲练(新教材·新高考)
技巧03填空题解法与技巧(练)解析版_2.2025数学总复习_2023年新高考资料_二轮复习_备战2023年高考数学二轮复习考点精讲练(新教材·新高考)
技巧03填空题解法与技巧(练)解析版_2.2025数学总复习_2023年新高考资料_二轮复习_备战2023年高考数学二轮复习考点精讲练(新教材·新高考)
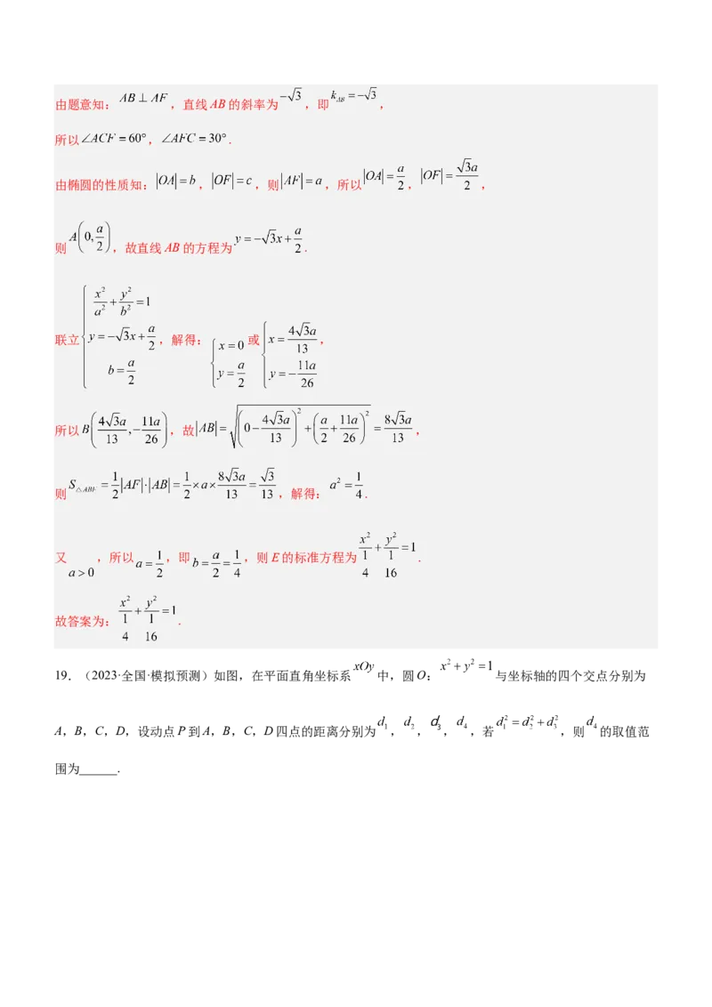
技巧03填空题解法与技巧(练)解析版_2.2025数学总复习_2023年新高考资料_二轮复习_备战2023年高考数学二轮复习考点精讲练(新教材·新高考)
技巧03填空题解法与技巧(练)解析版_2.2025数学总复习_2023年新高考资料_二轮复习_备战2023年高考数学二轮复习考点精讲练(新教材·新高考)
技巧03填空题解法与技巧(练)解析版_2.2025数学总复习_2023年新高考资料_二轮复习_备战2023年高考数学二轮复习考点精讲练(新教材·新高考)
技巧03填空题解法与技巧(练)解析版_2.2025数学总复习_2023年新高考资料_二轮复习_备战2023年高考数学二轮复习考点精讲练(新教材·新高考)
技巧03填空题解法与技巧(练)解析版_2.2025数学总复习_2023年新高考资料_二轮复习_备战2023年高考数学二轮复习考点精讲练(新教材·新高考)
技巧03填空题解法与技巧(练)解析版_2.2025数学总复习_2023年新高考资料_二轮复习_备战2023年高考数学二轮复习考点精讲练(新教材·新高考)
技巧03填空题解法与技巧(练)解析版_2.2025数学总复习_2023年新高考资料_二轮复习_备战2023年高考数学二轮复习考点精讲练(新教材·新高考)
技巧03填空题解法与技巧(练)解析版_2.2025数学总复习_2023年新高考资料_二轮复习_备战2023年高考数学二轮复习考点精讲练(新教材·新高考)
技巧03填空题解法与技巧(练)解析版_2.2025数学总复习_2023年新高考资料_二轮复习_备战2023年高考数学二轮复习考点精讲练(新教材·新高考)
技巧03填空题解法与技巧(练)解析版_2.2025数学总复习_2023年新高考资料_二轮复习_备战2023年高考数学二轮复习考点精讲练(新教材·新高考)
技巧03填空题解法与技巧(练)解析版_2.2025数学总复习_2023年新高考资料_二轮复习_备战2023年高考数学二轮复习考点精讲练(新教材·新高考)
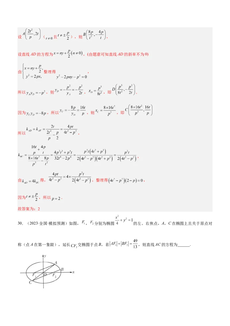
技巧03填空题解法与技巧(练)解析版_2.2025数学总复习_2023年新高考资料_二轮复习_备战2023年高考数学二轮复习考点精讲练(新教材·新高考)
技巧03填空题解法与技巧(练)解析版_2.2025数学总复习_2023年新高考资料_二轮复习_备战2023年高考数学二轮复习考点精讲练(新教材·新高考)
技巧03填空题解法与技巧(练)解析版_2.2025数学总复习_2023年新高考资料_二轮复习_备战2023年高考数学二轮复习考点精讲练(新教材·新高考)
技巧03填空题解法与技巧(练)解析版_2.2025数学总复习_2023年新高考资料_二轮复习_备战2023年高考数学二轮复习考点精讲练(新教材·新高考)
技巧03填空题解法与技巧(练)解析版_2.2025数学总复习_2023年新高考资料_二轮复习_备战2023年高考数学二轮复习考点精讲练(新教材·新高考)

文档信息

文档格式
docx
文档大小
1.721 MB
文档页数
31 页
上传时间
2026-03-20 14:12:22

文档内容

第二篇 解题技巧篇 技巧03 填空题解法与技巧(练) 1.(2023·陕西西安·统考一模)若抛物线 上一点A到焦点和到x轴的距离分别为10和6,则p 的值为______. 【答案】2或18 【分析】由抛物线的定义得点A的坐标,代入抛物线的方程求解即可. 【详解】∵设抛物线的焦点为F,则 ,准线l方程为: , ∴由抛物线的定义知, , ∴点A的横坐标为 ,则 , 又∵点A在抛物线上, ∴ ,解得: 或 . 故答案为:2或18. 2.(2023·云南昆明·昆明一中校考模拟预测)经过原点且斜率为 的直线l与双曲线C: 恒有两个公共点,则C的离心率e的取值范围是______. 【答案】 【分析】直线l与双曲线C: 恒有两个公共点,则有直线l的斜率大于渐近线 的 斜率,即可求解. 【详解】双曲线 : 的焦点在 轴上, 渐近线方程是 , 结合该双曲线的图象,由直线 与双曲线 恒有两个公共点, 可得出: ,即 ,所以离心率 , 即离心率 的取值范围是 . 故答案为: . 3.(2023·全国·模拟预测)点 到曲线 在 处的切线l的距离为______. 【答案】 【分析】根据导数的几何意义求切线方程,结合点到直线距离公式可得结论. 【详解】 ,当 时, ,所以切点坐标为 . 求导得 ,则切线的斜率为3, 所以切线方程为 ,即 , 所以点 到切线l的距离为 . 故答案为: . 4.(2023·高三课时练习)某校400名学生的某次数学考试成绩X服从正态分布,正态分布密度曲线如图所示, 则成绩X位于区间 的人数大约是_________. 【答案】273 【分析】由图知: ,利用 原则可求出成绩X位于区间 的概率,进而可得出大约人数. 【详解】由题意可知: ,由图象可得: ,∵ ,即 , ∴成绩X位于区间 的人数大约是 . 故答案为:273. 5.(2023·云南·高三云南师大附中校考阶段练习)盲盒常指装有不同公仔手办,但消费者不能提前得知款式 的盒装玩具,一般按系列贩售.它的随机性和一些隐藏款吸引着很多年轻人重复购买.小明购买了5个冰墩墩 单只盲盒,拆开后发现有2个相同的“竹林春熙”以及“冰雪派对”、“青云出岫”、“如意东方”各1个. 小明想将这5个摆件排成一排,要求相同的摆件不相邻.若相同摆件视为相同元素,则一共有____________种 摆放方法. 【答案】36 【分析】利用插空法计算即可. 【详解】记2个相同的“竹林春熙”为A,A,“冰雪派对”为B,“青云出岫”为C,“如意东方”为D,先 摆放B,C,D,一共有 种摆放方式,再将2个A插空放入,有 种摆放方式,所以,一共有 种摆放方式. 故答案为:36. 6.(2023·全国·模拟预测)已知 是 的最小正周期,若 , 是 的一个极大值点,则当 取得最小值时, ______. 【答案】 【分析】根据已知结合三角函数周期与诱导公式得出 ,即可得出 , 根据 是 的一个极大值点得, , ,即可得出 的最小值为1,则 ,代入求解即可得出答案.【详解】由题意可知, ,则 , 由 得, , 所以 , 又因为 , 所以 , 由 是 的一个极大值点得, , , 所以 , , 又因为 , 所以 的最小值为1, 此时 , 故 . 故答案为: . 7.(2023·四川南充·四川省南部中学校考模拟预测)设 与 是定义在同一区间 上的两个函数, 若对任意 , 都有 成立, 则称 和 在 上是 “亲密函数”, 区间 称为 “亲密区间”.若 与 在 上是 “亲密函数”,则 的最大值______ 【答案】4 【分析】首先表示出 ,令 ,即 ,解得 的取值范围,即可得解. 【详解】解:因为 , 若 与 在 上是“亲密函数”,则 ,即 ,即 , 解得 或 ,即 , 所以 的最大值为 . 故答案为: 8.(2023·全国·模拟预测) 的展开式中 的系数为______.(用数字作答) 【答案】 【分析】根据 以及 的展开式的通项公式可求出结果. 【详解】 , 的展开式的通项公式为 , 在 中,令 ,得 的展开式中 的系数为 , 令 ,得 的展开式中 的系数为 , 故 的展开式中 的系数为 . 故答案为: . 9.(2022秋·河北保定·高三校考期中)已知点 在直线 上的运动,则 的最 小值是______ 【答案】 ##0.5 【分析】由题意 表示点 与 距离的平方,再由点到直线的距离即可求出 的最小值.【详解】 表示点 与 距离的平方,因为点 到直线 的距离 ,所以的最小值为 . 故答案为: . 10.(2022秋·辽宁抚顺·高三校联考期中)“中国剩余定理”又称“孙子定理”,此定理讲的是关于整除的问 题.现将正自然数中,能被3除余1且被2除余1的数按从小到大的顺序排成一列,构成数列 ,则 __________. 【答案】115 【分析】结合叙述,将两数列表示出来,找出公共项,求出通项公式,进而得解. 【详解】被2除余1的数可表示为 , , 被3除余1的数列可表示为 ,则 , 故公共项为 ,则 为以首项为1,公差为6的等差数列, , ,则 . 故答案为:115. 11.(2023·江西抚州·高三金溪一中校考开学考试)2022年12月某机构关于中国新国货品牌“金榜题名”颁 奖典礼准备以线上直播的形式举办,并邀请榜单中的 五家企业发言,则 在 之前发言(不一定 相邻,下同),且 在 之后发言的方法种数为__________.(用数字作答) 【答案】20 【分析】利用分步乘法原理,先考虑特殊元素A、B、C,从5个位置中选3个先排,再排D、E. 【详解】第一步:从5个位置中选3个排A、B、C,有 种排法, 第二步:剩下的2个位置排D、E,有 种排法, 根据分步乘法原理,总共有 种发言的方法. 故答案为:20.12.(2023·云南曲靖·统考一模)已知 , 分别是椭圆 的左、右焦点, , 是椭 圆 与抛物线 的公共点, , 关于 轴对称且 位于 轴右侧, ,则椭圆 的离 心率的最大值为______. 【答案】 【分析】联立抛物线与椭圆方程,消元、解得 或 ,再分 和 两种情况讨论,当 时 求出 、 的坐标,由 ,即可得到关于 的不等式,解得即可. 【详解】解:联立抛物线 与椭圆 的方程消去 整理得到 ,解 得 或 . ① 时,代入 解得 ,已知点 位于 轴右侧,取交点 ,则 , 此时 ,与 矛盾,不合题意. ② 时,代入 解得 .已知点 , 关于 轴对称且 位于 轴右侧,取交点 、 , 已知 ,则 轴, . 此时 ,即 ,两端同除以 可得: ,解得 .因为 ,所以 ,所以 . 故答案为: 13.(2023·山西临汾·统考一模)设 是曲线 上的动点,且 .则 的取值范围是 __________. 【答案】 【分析】由当PA垂直于 在点P处的切线时, 取得最小值列式 可得 ,代入 中解不等式即可. 【详解】∵ ,∴ , 设点 ,则 在点P处的切线斜率为 , ∵ ,即:当且仅当PA垂直于切线时, 取得最小值 , 又∵ , ∴ ,即: ,① ∴ ,即: ,② ∴由①②得: ,解得: 或 , 又∵由①知, , ∴ ,即: ,解得: , ∴ . 故答案为: .14.(2023·四川南充·四川省南部中学校考模拟预测)已知函数 是定义在 上的奇函数,对任意的 都有 ,当 时, ,则 _________ 【答案】 【分析】依题意可得 ,即可得到 是周期为 的周期函数,即可得到 , ,再根据奇函数的性质及所给函数解析式计算可得. 【详解】解:根据题意, 满足对任意的 都有 , 所以 ,则 是周期为 的周期函数, 则 , , 又由 为定义在 上的奇函数,则 , 又由 时, ,则 , 则 , ,则 故答案为: 15.(2023秋·广东潮州·高三统考期末)在等比数列 中, ,记数列 的前 项 和、前 项积分别为 ,则 的最大值是______. 【答案】8 【分析】结合题意求出数列 的首项与公比,进而求出前 项和、前 项积分别为 , ,然后表示出,结合函数的性质即可判断. 【详解】因为 , ,所以公比 ,所以 ,所以 , , , ,因为 ,所以 或 时, 取最大值 . 故答案为:8 16.(2023春·湖北·高三统考阶段练习)过直线 上一点 作圆 的两条切线 ,切 点分别为 , ,则 的最小值为__________. 【答案】 ## 【分析】设 ,利用 与圆 的关系,得到 , ,进而得到点 均在以 为直径的圆 上,进而得到圆 的方程,则直线 为两圆的公共弦,进而可求出直线 以及该直线所过的定点,即可 求得 的最小值 【详解】设 ,则有 ①,又由圆 的圆心 为 ,直线 , 是圆的两条切线, 为切点,则 , , 则点 均在以 为直径的圆上,设 的中点为 , 则圆 的方程为 , 化简得 ; 直线 即为两圆的公共弦,所以对于 和 , 两式相减可得直线 的方程为 , 由①可得, ,整理得 , 由 得 故直线过定点 , 因为 ,说明 在圆 内, 当 时,此时 最小,为 故答案为: 17.(2023·四川南充·四川省南充高级中学校考模拟预测)设抛物线 的焦点是 , 直线 与抛物线 相交于 、 两点, 且 , 线段 的中点 到抛物线 的准线的距离为 , 则 的最小值为_____________【答案】3 【分析】设 , , 过点 、 分别作抛物线的准线的垂线, 垂足分别为 、 ,则 到抛 物线 的准线的距离为 ,利用余弦定理求出 ,则 ,利用基本不等式得 到 ,从而求出 的最小值. 【详解】解:设 , , 过点 、 分别作抛物线的准线的垂线, 垂足分别为 、 , 则 , , 因为点 为线段 的中点,由中位线定理可得, 到抛物线 的准线的距离为 , 因为 , 在 中, 由余弦定理可得, , 所以 , 因为 , 则 , 当且仅当 时取等号, 所以 ,即 ,故 的最小值为 .故答案为: 18.(2023秋·广东揭阳·高三统考期末)已知椭圆E: ( ),F是E的左焦点,过E的 上顶点A作AF的垂线交E于点B.若直线AB的斜率为 , 的面积为 ,则E的标准方程为______. 【答案】 【分析】设O为坐标原点,直线AB交x轴于点C,并作出图,根据 ,直线AB的斜率为 ,得到 ,结合椭圆的性质得到 , ,从而设直线 的方程: ,联立直线 的方程和椭圆方程解得 的坐标,再根据 的面积为 ,即可求解. 【详解】设O为坐标原点,直线AB交x轴于点C,如图所示:由题意知: ,直线AB的斜率为 ,即 , 所以 , . 由椭圆的性质知: , ,则 ,所以 , , 则 ,故直线AB的方程为 . 联立 ,解得: 或 , 所以 ,故 , 则 ,解得: . 又 ,所以 ,即 ,则E的标准方程为 . 故答案为: . 19.(2023·全国·模拟预测)如图,在平面直角坐标系 中,圆O: 与坐标轴的四个交点分别为 A,B,C,D,设动点P到A,B,C,D四点的距离分别为 , , , ,若 ,则 的取值范 围为______.【答案】 【分析】设 ,根据题意得到动点P的轨迹方程为 ,结合图形 得最大值与最小值 即可. 【详解】由题意知 , , , , 设 ,则由 , 得 , 整理得 , 所以动点P的轨迹方程为 . 在平面直角坐标系中作出圆 , 如图所示,设圆心为E,半径为r,连接ED,则 , 由图可得P点到D点的最大距离,即 的最大值为 ,P点到D点的最小距离,即 的最小值为 , 故 . 故答案为: . 20.(2023·全国·模拟预测)已知函数 有两个极值点,则实数a的取值范围是______. 【答案】 【分析】由函数 有两个极值点,对 求导,设出新函数 ,讨论新函数的单调性及值域,即 可得到实数a的取值范围. 【详解】由题意, 在 中, 有两个极值点, ∴ 有两个不相等的实数根, ∴关于x的方程 有两个不相等的实数根, 记 ,设 , 则直线 与函数 的图象有两个不同的交点. 在 中, , 令 ,得 , 当 时, ;当 时, . ∴ 在 上单调递增,在 上单调递减, ∴ ,易知 ,当 时, ,当 时, , 作出函数 的大致图象如图所示, 数形结合可得 , ∴实数a的取值范围是 , 故答案为: . 21.(2023春·浙江·高三校联考开学考试)已知曲线 与 的两条公切线的夹角正切值为 ,则 ________. 【答案】 【分析】由两曲线互为反函数,结合反函数性质及正切函数倍角公式,可求得两条公切线的夹角一半的正切值, 即可求得直线AD的斜率.设点A的横坐标为 ,切点D的横坐标为 ,由导数法分别就A、D两点求同一条切 线方程,从而建立方程,化简求值. 【详解】 与 互为反函数,图像关于直线 对称,如图所示,由题意,两条公切线的夹角正切值为 ,解得 或 ,又 为锐角,所以 . 由对称性,不妨取AD直线进行研究,则直线AD的倾斜角 , . 设点A的横坐标为 ,切点D的横坐标为 , 则 , ,∴ ,即 . 所以 , , ,即 . ∴ ,则 ,即 ,则 ,所以 ,即 ,所以 . 故答案为: . 【点睛】方法点睛:公切线问题,一般可在两曲线上设出切点,分别求出切线,利用两切线为同一条切线得出 方程,从而进一步求解. 22.(2023·全国·模拟预测)已知正六棱锥 的侧棱长为4,底面边长为2,点Q为正六棱锥 外接球上一点,则三棱锥 体积的最大值为______.【答案】 【分析】先根据锥体的结构特征求正六棱锥的高,再求其外接球的半径,再求球心到平面PAB的距离,最后 结合锥体体积公式求三棱锥 体积的最大值. 【详解】由题可得正六棱锥 的高为 , 设正六棱锥 的外接球的球心到底面 的距离为 , 设外接球半径为R,则 , , 解得 . 设外接球的球心为O,正六边形ABCDEF的中心为 , 连接 ,则O在线段 上, 过P作 于点M,连接 ,过O作 于点N, 则ON为球心O到平面PAB的距离. 如图,在直角三角形 中, , , , ,则 , 因此点Q到平面PAB的最大距离为 ,易知 的面积 , 所以三棱锥 体积的最大值为 . 故答案为: . 23.(2022秋·山西阳泉·高三统考期末)已知函数 ,则函数 的所有零 点之积等于__________. 【答案】 【分析】由题意,表示出函数 解析式,利用零点的定义,建立方程,可得答案. 【详解】求函数 的所有零点,则等价于求方程 的根, 当 时, ,则 ,解得 ; 当 且 时, ,则 , ,可得 或 ,即 或 , 解得 或 或 或 ; 当 时, , ,不符合题意. 综上, , 故答案为: . 24.(2023·云南红河·统考一模)已知双曲线E: 的左、右焦点分别为 、 ,若E上 存在点P,满足 ,(O为坐标原点),且 的内切圆的半径等于a,则E的离心率为 ____________.【答案】 ## 【分析】由 可得 , ,再结合双曲线的定义可得 ,化 简得 ,因为 的内切圆的半径为a,所以 ,即 ,化简运算即可得E的离心率. 【详解】因为 ,所以 , , 又因为P在双曲线上,所以 ,联立可得 , ,所以 , 因为 的内切圆的半径为a, 所以 , 即 ,即 , 所以 ,两边平方得 , 即 ,两边同时除以 ,得 , , 因为 ,所以 . 故答案为: . 【点睛】思路点睛:双曲线上一点与两焦点构成的三角形,称为双曲线的焦点三角形,与焦点三角形有关的计 算或证明常利用正弦定理、余弦定理、 ,得到a,c的关系. 25.(2023·山西临汾·统考一模)已知双曲线 的离心率为 分别为 的左、右焦点, 点 在 上且关于坐标原点 对称,过点 分别作 的两条渐近线的垂线,垂足分别为 , ,若,且四边形 的面积为6,则 的面积为__________. 【答案】 【分析】根据 确定四边形 为矩形,结合勾股定理,双曲线的定义可求出 的值,结合离心 率可求双曲线方程,再根据点到直线的距离公式和三角形的面积公式可求解. 【详解】如图,不妨设 在第一象限, 因为 ,且 为 的中点, 所以四边形 为矩形,所以 , 又因为 , , 所以 ,所以 , 即 ,又因为离心率为 所以 , 则 ,解得 ,所以 , 所以双曲线方程为 , 由等面积法可得 ,所以 , 所以 ,两条渐近线方程分别为 倾斜角为 所以 到渐近线的距离为 设 相交于点 , 又因为 , 所以 , 所以 , 故答案为: . 26.(2023·云南·高三云南师大附中校考阶段练习)已知椭圆 的左、右焦点分别为 为椭 圆C上一点,点A在以 为直径的圆上,若 ,则 的值是______________. 【答案】15 【分析】根据椭圆方程求出 的值,根据 得到点A是线段 的中点,根据中位线求出 的值, 根据椭圆的定义求出 ,把向量 【详解】根据椭圆的方程可得 , 焦点坐标为 , 点A在以 为直径的圆上,设O为坐标原点,所以 . 由 ,可知点A是线段 的中点, 故 ,则 , 又点P在椭圆C上, 故 ,则 . 在 中, ,即 , 所以 , 在 中, . 综上, . 故答案为:15 27.(2022秋·上海浦东新·高三上海市建平中学校考阶段练习)我国古代将四个面都是直角三角形的四面体称 作鳖臑,如图,在鳖臑 中, 平面 , 是等腰直角三角形,且 ,则异面直线 与 所成角的正切值为______.(写出一个值即可,否则有两个答案) 【答案】 或 (写出一个值即可)【分析】分类讨论 是等腰直角三角形中, 为直角, 为直角, 为直角,三种情况即可. 【详解】解:因为 是等腰直角三角形,当 为直角时, 作正方形 ,连接 , 则异面直线 与 所成角的平面角为 (或其补角), 又由已知有 , , 所以 面 ,即 面 ,即 , 设 ,则 , , 所以 , 即异面直线 与 所成角的正切值为 ; 因为 是等腰直角三角形,当 为直角时, 建立如图所示空间直角坐标系, 设 ,则 , , 所以 , ,所以 ,则 , 所以异面直线 与 所成角的正切值为 ;因为 是等腰直角三角形,当 为直角时, 因为 平面 , 是等腰直角三角形, 所以 , 设 , 所以 , 所以 , 此时 , 所以 不可能为直角三角形,不满足题意. 综上可得异面直线 与 所成角的正切值为 或 . 故答案为: 或 . 28.(2023·河南郑州·统考一模)“外观数列”是一类有趣的数列,该数列由正整数构成,后一项是前一项的 “外观描述”.例如:取第一项为1,将其外观描述为“1个1”,则第二项为11;将描述为“2个1”,则第三 项为21;将21描述为“1个2,1个1”,则第四项为1211;将1211描述为“1个1,1个2,2个1”,则第五项 为111221,…,这样每次从左到右将连续的相同数字合并起来描述,给定首项即可依次推出数列后面的项. 则对于外观数列 ,下列说法正确的有______. ①若 ,则从 开始出现数字2; ②若 ( ,2,3,…,9),则 的最后一个数字均为k; ③ 不可能为等差数列或等比数列; ④若 ,则 均不包含数字4. 【答案】②④ 【分析】对①,由外观数列定义列举判断; 对②,由外观数列定义判断; 对③,取反例,如 ;对④,由反证法,结合外观数列定义判断. 【详解】对①, ,①错; 对②,由外观数列的定义,每次都是从左到右描述,故一开始的k( ,2,3,…,9)始终在最右边,即 最后一个数字,②对; 对③,取 ,则 ,此时既为等差数列,也为等比数列,③错; 对④, , 设数列 首次出现数字4,则 必出现了4个连续的相同数字m( ,2,3,…,9), 而 的描述必包含“1个m,1个m”,与 的描述矛盾,故 均不包含数字4,④对. 故选:②④ 29.(2023·全国·模拟预测)已知A,B,C,D为抛物线 上不同的四点,直线AB,CD交于 点 ,直线AD经过E的焦点F,若直线AD的斜率为直线BC斜率的4倍,则 ______. 【答案】2 【分析】先设过 的直线方程为 ,并与抛物线方程联立,利用根与系数的关系得到 , ,再设 ( 且 ),从而可得 ,然后设直线AD的方程为 ,将直线AD的方程与抛物线方程联立,利用根与系数的关系得到 ,进而可得 ,由 ,结合斜率计算公式列等式,即可得p的值. 【详解】设过 的直线方程为 ,由 整理得 , 所以 , ,设 ( 且 ),则 , 设直线AD的方程为 ,(由题意可知直线AD的斜率不为0) 由 整理得 , 所以 ,则 , ,即 . 因为 ,所以 ,则 ,即 所以 , , 由 得, ,整理得 , 因为 ,所以 . 故答案为:2 30.(2023·全国·模拟预测)如图, , 分别为椭圆 的左、右焦点,A,C在椭圆上且关于原点对 称(点A在第一象限),延长 交椭圆于点B,若 ,则直线AC的方程为______.【答案】 【分析】根据椭圆的对称性得出四边形 为平行四边形,则 ,设直线 的斜率为k,则直线 的方程为 ,联立直线 与椭圆方程消去 得出 ,则 ,同理 ,即可根据弦长公式列式解出 ,即可得出答案. 【详解】连接 , , , , 四边形 为平行四边形, . 设直线 的斜率为k, ,直线 的方程为 . 联立方程,得 ,整理得 , 点A在第一象限, ,同理可得 .,得 , ,则 ,直线AC的方程为 .