当前位置:首页>文档>专题26.3难点探究专题:反比例函数与几何综合问题之六大考点(教师版)_初中数学_九年级数学下册(人教版)_重难点专题提优-V8

专题26.3难点探究专题:反比例函数与几何综合问题之六大考点(教师版)_初中数学_九年级数学下册(人教版)_重难点专题提优-V8

  • 2026-04-25 06:20:29 2026-03-25 06:53:35

文档预览

专题26.3难点探究专题:反比例函数与几何综合问题之六大考点(教师版)_初中数学_九年级数学下册(人教版)_重难点专题提优-V8
专题26.3难点探究专题:反比例函数与几何综合问题之六大考点(教师版)_初中数学_九年级数学下册(人教版)_重难点专题提优-V8
专题26.3难点探究专题:反比例函数与几何综合问题之六大考点(教师版)_初中数学_九年级数学下册(人教版)_重难点专题提优-V8
专题26.3难点探究专题:反比例函数与几何综合问题之六大考点(教师版)_初中数学_九年级数学下册(人教版)_重难点专题提优-V8
专题26.3难点探究专题:反比例函数与几何综合问题之六大考点(教师版)_初中数学_九年级数学下册(人教版)_重难点专题提优-V8
专题26.3难点探究专题:反比例函数与几何综合问题之六大考点(教师版)_初中数学_九年级数学下册(人教版)_重难点专题提优-V8
专题26.3难点探究专题:反比例函数与几何综合问题之六大考点(教师版)_初中数学_九年级数学下册(人教版)_重难点专题提优-V8
专题26.3难点探究专题:反比例函数与几何综合问题之六大考点(教师版)_初中数学_九年级数学下册(人教版)_重难点专题提优-V8
专题26.3难点探究专题:反比例函数与几何综合问题之六大考点(教师版)_初中数学_九年级数学下册(人教版)_重难点专题提优-V8
专题26.3难点探究专题:反比例函数与几何综合问题之六大考点(教师版)_初中数学_九年级数学下册(人教版)_重难点专题提优-V8
专题26.3难点探究专题:反比例函数与几何综合问题之六大考点(教师版)_初中数学_九年级数学下册(人教版)_重难点专题提优-V8
专题26.3难点探究专题:反比例函数与几何综合问题之六大考点(教师版)_初中数学_九年级数学下册(人教版)_重难点专题提优-V8
专题26.3难点探究专题:反比例函数与几何综合问题之六大考点(教师版)_初中数学_九年级数学下册(人教版)_重难点专题提优-V8
专题26.3难点探究专题:反比例函数与几何综合问题之六大考点(教师版)_初中数学_九年级数学下册(人教版)_重难点专题提优-V8
专题26.3难点探究专题:反比例函数与几何综合问题之六大考点(教师版)_初中数学_九年级数学下册(人教版)_重难点专题提优-V8
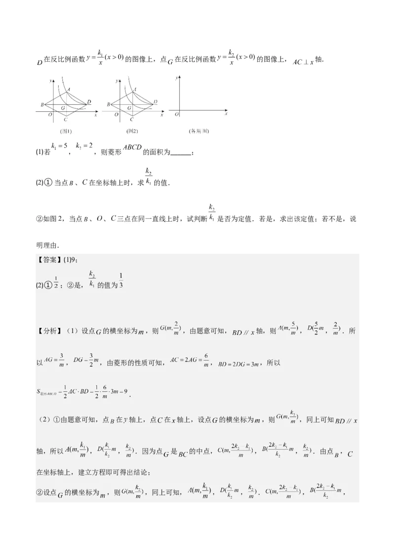
专题26.3难点探究专题:反比例函数与几何综合问题之六大考点(教师版)_初中数学_九年级数学下册(人教版)_重难点专题提优-V8
专题26.3难点探究专题:反比例函数与几何综合问题之六大考点(教师版)_初中数学_九年级数学下册(人教版)_重难点专题提优-V8
专题26.3难点探究专题:反比例函数与几何综合问题之六大考点(教师版)_初中数学_九年级数学下册(人教版)_重难点专题提优-V8
专题26.3难点探究专题:反比例函数与几何综合问题之六大考点(教师版)_初中数学_九年级数学下册(人教版)_重难点专题提优-V8
专题26.3难点探究专题:反比例函数与几何综合问题之六大考点(教师版)_初中数学_九年级数学下册(人教版)_重难点专题提优-V8
专题26.3难点探究专题:反比例函数与几何综合问题之六大考点(教师版)_初中数学_九年级数学下册(人教版)_重难点专题提优-V8
专题26.3难点探究专题:反比例函数与几何综合问题之六大考点(教师版)_初中数学_九年级数学下册(人教版)_重难点专题提优-V8
专题26.3难点探究专题:反比例函数与几何综合问题之六大考点(教师版)_初中数学_九年级数学下册(人教版)_重难点专题提优-V8
专题26.3难点探究专题:反比例函数与几何综合问题之六大考点(教师版)_初中数学_九年级数学下册(人教版)_重难点专题提优-V8
专题26.3难点探究专题:反比例函数与几何综合问题之六大考点(教师版)_初中数学_九年级数学下册(人教版)_重难点专题提优-V8
专题26.3难点探究专题:反比例函数与几何综合问题之六大考点(教师版)_初中数学_九年级数学下册(人教版)_重难点专题提优-V8
专题26.3难点探究专题:反比例函数与几何综合问题之六大考点(教师版)_初中数学_九年级数学下册(人教版)_重难点专题提优-V8
专题26.3难点探究专题:反比例函数与几何综合问题之六大考点(教师版)_初中数学_九年级数学下册(人教版)_重难点专题提优-V8
专题26.3难点探究专题:反比例函数与几何综合问题之六大考点(教师版)_初中数学_九年级数学下册(人教版)_重难点专题提优-V8
专题26.3难点探究专题:反比例函数与几何综合问题之六大考点(教师版)_初中数学_九年级数学下册(人教版)_重难点专题提优-V8
专题26.3难点探究专题:反比例函数与几何综合问题之六大考点(教师版)_初中数学_九年级数学下册(人教版)_重难点专题提优-V8
专题26.3难点探究专题:反比例函数与几何综合问题之六大考点(教师版)_初中数学_九年级数学下册(人教版)_重难点专题提优-V8
专题26.3难点探究专题:反比例函数与几何综合问题之六大考点(教师版)_初中数学_九年级数学下册(人教版)_重难点专题提优-V8
专题26.3难点探究专题:反比例函数与几何综合问题之六大考点(教师版)_初中数学_九年级数学下册(人教版)_重难点专题提优-V8
专题26.3难点探究专题:反比例函数与几何综合问题之六大考点(教师版)_初中数学_九年级数学下册(人教版)_重难点专题提优-V8
专题26.3难点探究专题:反比例函数与几何综合问题之六大考点(教师版)_初中数学_九年级数学下册(人教版)_重难点专题提优-V8
专题26.3难点探究专题:反比例函数与几何综合问题之六大考点(教师版)_初中数学_九年级数学下册(人教版)_重难点专题提优-V8
专题26.3难点探究专题:反比例函数与几何综合问题之六大考点(教师版)_初中数学_九年级数学下册(人教版)_重难点专题提优-V8
专题26.3难点探究专题:反比例函数与几何综合问题之六大考点(教师版)_初中数学_九年级数学下册(人教版)_重难点专题提优-V8
专题26.3难点探究专题:反比例函数与几何综合问题之六大考点(教师版)_初中数学_九年级数学下册(人教版)_重难点专题提优-V8
专题26.3难点探究专题:反比例函数与几何综合问题之六大考点(教师版)_初中数学_九年级数学下册(人教版)_重难点专题提优-V8
专题26.3难点探究专题:反比例函数与几何综合问题之六大考点(教师版)_初中数学_九年级数学下册(人教版)_重难点专题提优-V8
专题26.3难点探究专题:反比例函数与几何综合问题之六大考点(教师版)_初中数学_九年级数学下册(人教版)_重难点专题提优-V8
专题26.3难点探究专题:反比例函数与几何综合问题之六大考点(教师版)_初中数学_九年级数学下册(人教版)_重难点专题提优-V8
专题26.3难点探究专题:反比例函数与几何综合问题之六大考点(教师版)_初中数学_九年级数学下册(人教版)_重难点专题提优-V8
专题26.3难点探究专题:反比例函数与几何综合问题之六大考点(教师版)_初中数学_九年级数学下册(人教版)_重难点专题提优-V8
专题26.3难点探究专题:反比例函数与几何综合问题之六大考点(教师版)_初中数学_九年级数学下册(人教版)_重难点专题提优-V8
专题26.3难点探究专题:反比例函数与几何综合问题之六大考点(教师版)_初中数学_九年级数学下册(人教版)_重难点专题提优-V8
专题26.3难点探究专题:反比例函数与几何综合问题之六大考点(教师版)_初中数学_九年级数学下册(人教版)_重难点专题提优-V8
专题26.3难点探究专题:反比例函数与几何综合问题之六大考点(教师版)_初中数学_九年级数学下册(人教版)_重难点专题提优-V8
专题26.3难点探究专题:反比例函数与几何综合问题之六大考点(教师版)_初中数学_九年级数学下册(人教版)_重难点专题提优-V8
专题26.3难点探究专题:反比例函数与几何综合问题之六大考点(教师版)_初中数学_九年级数学下册(人教版)_重难点专题提优-V8
专题26.3难点探究专题:反比例函数与几何综合问题之六大考点(教师版)_初中数学_九年级数学下册(人教版)_重难点专题提优-V8
专题26.3难点探究专题:反比例函数与几何综合问题之六大考点(教师版)_初中数学_九年级数学下册(人教版)_重难点专题提优-V8
专题26.3难点探究专题:反比例函数与几何综合问题之六大考点(教师版)_初中数学_九年级数学下册(人教版)_重难点专题提优-V8
专题26.3难点探究专题:反比例函数与几何综合问题之六大考点(教师版)_初中数学_九年级数学下册(人教版)_重难点专题提优-V8
专题26.3难点探究专题:反比例函数与几何综合问题之六大考点(教师版)_初中数学_九年级数学下册(人教版)_重难点专题提优-V8
专题26.3难点探究专题:反比例函数与几何综合问题之六大考点(教师版)_初中数学_九年级数学下册(人教版)_重难点专题提优-V8
专题26.3难点探究专题:反比例函数与几何综合问题之六大考点(教师版)_初中数学_九年级数学下册(人教版)_重难点专题提优-V8
专题26.3难点探究专题:反比例函数与几何综合问题之六大考点(教师版)_初中数学_九年级数学下册(人教版)_重难点专题提优-V8
专题26.3难点探究专题:反比例函数与几何综合问题之六大考点(教师版)_初中数学_九年级数学下册(人教版)_重难点专题提优-V8
专题26.3难点探究专题:反比例函数与几何综合问题之六大考点(教师版)_初中数学_九年级数学下册(人教版)_重难点专题提优-V8

文档信息

文档格式
docx
文档大小
6.309 MB
文档页数
62 页
上传时间
2026-03-25 06:53:35

文档内容

专题 26.3 难点探究专题:反比例函数与几何综合问题之六大考点 【考点导航】 目录 【典型例题】..................................................................................................................................................1 【考点一 根据图形面积求比例系数(解析式)】............................................................................................1 【考点二 反比例函数与三角形的综合问题】................................................................................................3 【考点三 反比例函数与平行四边形的综合问题】........................................................................................9 【考点四 反比例函数与矩形的综合问题】..................................................................................................12 【考点五 反比例函数与菱形的综合问题】..................................................................................................17 【考点六 反比例函数与正方形的综合问题】..............................................................................................21 【过关检测】...........................................................................................................................................26 【典型例题】 【考点一 根据图形面积求比例系数(解析式)】 例题:(2023秋·北京东城·九年级东直门中学校考阶段练习)如图,已知反比例函数 的图象经过点 A,且 . 的面积为2,则k的值为 【答案】4 【分析】根据反比例函数的性质可以得到 的面积等于 的一半,由此可以得到它们的关系.【详解】解:依据比例系数k的几何意义可得 面积等于 , 解得: , ∵反比例函数 (k为常数, )的图象在第一和第三象限, . 故答案为:4. 【点睛】本题考查反比例系数k的几何意义,熟练掌握过双曲线上的任意一点分别向两条坐标轴作垂线, 与坐标轴围成的矩形面积就等于 是解题的关键. 【变式训练】 1.(2023·西藏拉萨·统考一模)如图,一直线经过原点 ,且与反比例函数 相交于点 、点 , 过点 作 轴,垂足为 ,连接 .若 面积为 ,则 ___. 【答案】4 【分析】首先根据反比例函数与正比例函数的图像特征,可知 、 两点关于原点对称,则 为线段 的中点,故 的面积等于 的面积,都等于 ,然后由反比例函数 的比例系数 的几 何意义,可知 的面积等于 ,从而求出 的值. 【详解】解: 反比例函数与正比例函数的图像相交于 、 两点, 、 两点关于原点对称, , 的面积 的面积 , 又 是反比例函数 图像上的点,且 轴于点 ,的面积 , , . 故答案为: . 【点睛】本题考查的是反比例函数与一次函数的交点问题,涉及到反比例函数的比例系数 的几何意义: 反比例函数图像上的点与原点所连的线段、坐标轴、向坐标轴作垂线所围成的直角三角形面积 的关系, 即 . 2.(2023秋·安徽合肥·九年级合肥市第四十五中学校考阶段练习)如图,已知点A, 在反比例函数 的图象上, 轴于点 , 轴于点 , 与 交于点 ,且 为 的中点,若 的面积为1,则 的值为 . 【答案】 【分析】由 的面积为1,知 ,根据反比例函数 中k的几何意义,知本题 , 由反比例函数的性质,结合已知条件P是 的中点,得出 , ,进而求出k的值. 【详解】解:∵ 的面积为1, 轴于点 , 轴于点 , 与 交于点 , , ∴ , ∵P是 的中点, ∴A点的纵坐标是B点纵坐标的2倍, 又∵点A,B在反比例函数 的图象上,∴B点的横坐标是A点横坐标的2倍, , , . 故答案为: . 【点睛】本题主要考查了反比例函数 中k的几何意义,正确理解k的几何意义是解题关键. 【考点二 反比例函数与三角形的综合问题】 例题:(2023·山西·山西实验中学校考模拟预测)如图, 为等边三角形,点 恰好在反比例函数 的图象上,且 轴于点 .若点 的坐标为 ,则 的值为( ) A. B. C. D.2 【答案】A 【分析】首先根据等边三角形的性质得到 ,进而求出 ,然后利用 角直角三角形 的性质求出 ,然后利用等边三角形的性质得到 ,利用勾股定理得到 ,进而得到点B的坐标,然后代入 即可求出k的值. 【详解】∵ 为等边三角形, ∴ , ∵ 轴, ∴ , ∵ ,点 的坐标为 , ∴ ,∴ , ∴ , ∴点B的坐标为 , ∵点 恰好在反比例函数 的图象上, ∴ ,即 . 故选:A. 【点睛】本题考查了等边三角形的性质,勾股定理,反比例函数图象上点的坐标特征,求得点B的坐标是 解题的关键. 【变式训练】 1.(2023春·江苏·八年级专题练习)如图,平面直角坐标系中,△OAB和△BCD都是等腰直角三角形,且 ∠A=∠C=90°,点B、D都在x轴上,点A、C都在反比例函数y= (x>0)的图象上,则点C的横坐 标为________. 【答案】 / 【分析】过点A作AE⊥x轴于点E,过点C作AF⊥x轴于点F,设OE=m,则点A(m,m),点B(2m, 0),再利用点A在反比例函数y= (x>0)的图象上,求出m,点B的坐标;又设BF=n,,则点C (2m+n,n),再利用点C在反比例函数y= (x>0)的图象,求出n,点C的坐标. 【详解】解:如图,过点A作AE⊥x轴于点E,过点C作AF⊥x轴于点F,∵△OAB是等腰直角三角形, ∴OE=AE=BE, 设OE=m,则点A(m,m),点B(2m,0), ∵点A在反比例函数y= (x>0)的图象上, ∴ , 解得: (舍去) , ∴点B(2,0), 同理∵△BCD是等腰直角三角形, ∴BF=CF, 设BF=n,则点C(2+n,n). ∵点C在反比例函数y= (x>0)的图象上, ∴ , 解得: (舍去), ∴ . 故答案为: . 【点睛】本题考查反比例函数与几何综合,等腰直角三角形的性质,灵活运用等腰直角三角形的性质是解 题的关键. 2.(2023·山东济南·统考一模)已知在等腰直角三角形 中, , , .(1)如图1,请直接写出点C的坐标______,若点C在反比例函数 上,则 ______; (2)如图2,若将 延x轴向右平移得到 ,平移距离为m,当 , 都在反比例函数 上时,求 ,m; (3)如图3,在(2)的条件下,在y轴上是否存在点P,使得 的面积是 面积的一半.若存在, 请求出点P;若不存在,请说明理由. 【答案】(1) , (2) (3)存在, 或 【分析】(1)过C作 轴,垂足为D,证明 ,得到 , , 即可得到结果; (2)根据平移得到 , ,根据函数图像上的点得到 ,求出m值,再将 代入表达式可得 ; (3)求出 的坐标,求出 的表达式,得到与y轴交点坐标,再根据面积关系,作 交y轴于 点P,求出直线 的表达式,得到点P坐标,再由平行线之间的距离的性质得到另一个点P坐标. 【详解】(1)解:如图,过C作 轴,垂足为D, ∵ , , ∴ , , ∵ ,∴ , 又 ,即 , ∴ , 在 和 中, , ∴ , ∴ , , ∴ ,代入 中, 得 ; (2)由平移可得: , , ∵ , 都在反比例函数 上, ∴ , 解得: , 即 , , ∴ ; (3)存在,理由是:由平移可得 ,设 中点为D,则 ,即 , 设 的表达式为 , 则 ,解得: , ∴ 的表达式为 , 令 ,则 , ∴直线 与y轴交点为 ; ∵ 的面积是 面积的一半, ∴作 交y轴于点P, 设 的表达式为 ,将D代入, 得 ,解得: , ∴ 的表达式为 , 令 ,则 , ∴ , ∴ 点关于直线 的对称直线与y轴交点为 , 即 ,综上:点P的坐标为 或 . 【点睛】本题考查了反比例函数的解析式,图像的平移,一次函数解析式,坐标与图形的性质,全等三角 形的判定和性质,三角形面积,(3)问较为综合,解题的关键是将面积与中点联系起来,结合平行线之 间的距离求解. 【考点三 反比例函数与平行四边形的综合问题】 例题:(2023秋·陕西咸阳·九年级统考期末)如图,点A是反比例函数 的图象上的一点,过 点A作平行四边形 ,使点B、C均在x轴上,点D在y轴上,则平行四边形 的面积为_______. 【答案】6 【分析】作 于 ,根据四边形 为平行四边形得 轴,则可判断四边形 为矩形, 所以 ,根据反比例函数 的几何意义得到 ,据此即可得到答案. 【详解】解:过点A作 于 ,如图, 四边形 为平行四边形, 轴, 四边形 为矩形, , ∵ ,故答案为:6. 【点睛】本题考查了反比例函数 系数 的几何意义,解题的关键是掌握从反比例函数 图象上任意一点向 轴和 轴作垂线,垂线与坐标轴所围成的矩形面积为 . 【变式训练】 1.(2023春·山东济南·九年级统考阶段练习)如图,在平面直角坐标系中, .反比 例函数 的图象经过平行四边形 的顶点C,则 ________ 【答案】 【分析】根据平行四边形的性质,利用平移坐标变化规律求出点C的坐标即可得到答案. 【详解】解:∵ , ∴点A平移到点B,横坐标减2,纵坐标加1, 根据平行四边形的性质可知,点O平移到点C也是如此, ∴C点坐标为 , 代入 得, , 解得, , 故答案为: . 【点睛】本题考查了平行四边形的性质和用待定系数法求反比例函数解析式,解题关键是熟练运用平行四 边形的性质求出反比例图象上点的坐标. 2.(2023·河南·模拟预测)如图,平行四边形OABC的顶点A,C都在反比例函数y (k>0)的图象上, 已知点B的坐标为(8,4),点C的横坐标为2.(1)求反比例函数y (k>0)的解析式; (2)求平行四边形OABC的面积S. 【答案】(1)y (2)16 【分析】(1)根据题意C(2, ),利用平行四边形的性质得到A(6,4 ),代入y (k>0)即 可求得k=6; (2)作CD⊥x轴于D,AE⊥x轴于E,BF⊥x轴于F,则S COD=S AOE |k|,利用S=S COD+S 梯形 △ △ △ BCDF﹣S AOE﹣S AEFB=S BCDF﹣S AEFB即可求得. 梯形 梯形 梯形 △ 【详解】(1)解:∵平行四边形OABC的顶点A,C都在反比例函数y (k>0)的图象上,点C的横 坐标为2, ∴C(2, ), ∵点B的坐标为(8,4), ∴A(6,4 ), ∴ , 解得k=6, ∴反比例函数的解析式为y . (2)作CD⊥x轴于D,AE⊥x轴于E,BF⊥x轴于F,则S COD=S AOE |k|, △ △ ∵k=6, ∴C(2,3),A(6,1),B(8,4),∴CD=3,AE=1,BF=4, ∴S=S COD+S BCDF﹣S AOE﹣S AEFB 梯形 梯形 △ △ =S BCDF﹣S AEFB 梯形 梯形 (3+4)(8﹣2) (1+4)(8﹣6) =21﹣5 =16 【点睛】本题主要考查了反比例函数的意义,反比例函数图象上点的坐标特征,以及平行四边形的性质. 掌握辅助线的作法,注意数形结合思想与方程思想的应用是解题的关键. 【考点四 反比例函数与矩形的综合问题】 例题:(2023·广东佛山·石门中学校考一模)如图,矩形ABCD的边 轴,顶点A在反比例函数 上,点B、D在反比例函数 上,则矩形ABCD的面积为( ) A. B.3 C. D.4 【答案】A 【分析】设点A坐标(m, ),分别表示B、D的坐标,用坐标表示长和宽,再求矩形的面积即可. 【详解】解:设A点坐标为(m, ), ∵AD x轴,且D在反比例函数 (x>0)上,∴D( , ), ∵AB x轴,且B在反比例函数 (x>0)上, ∴B(m, ), ∴ . 故选:A. 【点睛】本题考查了反比例函数,通过设点坐标表示矩形的长和宽是解决本题的关键. 【变式训练】 1.(2023·广东湛江·校考一模)如图,在矩形中 , ,点D是边 的中点,反比例函 数 的图像经过点D,交 于点E. (1)求k的值及直线 的解析式; (2)在x轴上找一点P,使 的周长最小,求此时点P的坐标. 【答案】(1) , (2) 【分析】(1)先求出点D的坐标,再把点D的坐标代入反比例函数解析式求出反比例函数解析式,进而 求出点E的坐标,再利用待定系数法求出直线 的解析式即可; (2)如图所示,作点D关于x轴对称的点G,连接 交x轴于P,则 ,由轴对称的性质推出当 最小时, 的周长最小,即此时 三点共线,求出直线 的解析式为 ,再求出当 时, ,即可得到 . 【详解】(1)解:∵在矩形中 , , ∴ , , ∴ , ∵点D是边 的中点, ∴ , ∵反比例函数 的图像经过点D, ∴ , ∴ , ∴反比例函数的解析式为 , 当 时, , ∴ , 设直线 的解析式为 , ∴ , ∴ , ∴直线 的解析式为 ; (2)解:如图所示,作点D关于x轴对称的点G,连接 交x轴于P, ∴ , 由轴对称的性质可知 , ∴ 的周长 , ∵ 是定值,∴当 最小时, 的周长最小,即此时 三点共线, 设直线 的解析式为 , ∴ , ∴ , ∴直线 的解析式为 , 在 中,当 时, , ∴ . 【点睛】本题是反比例函数的综合题,考查了待定系数法求函数的解析式,矩形的性质,轴对称——最短 路线问题,正确的理解题意是解题的关键. 2.(2023春·八年级课时练习)如图,在平面直角坐标系 中,矩形 的顶点A在x轴上,顶点C在 y轴上,D是 的中点,过点D的反比例函数图像交 于E点,连接 .若 , . (1)求过点D的反比例函数的解析式; (2)求 的面积; (3)x轴上是否存在点P使 为直角三角形?若存在,请求出P点的坐标;若不存在,请说明理由.【答案】(1) (2)3 (3)存在, 或 【分析】(1)先根据勾股定理求出 的长,得点 坐标,然后再利用待定系数法求反比例函数的解析式 即可; (2)先求点 的坐标,得出 的长,然后根据三角形面积公式求解即可; (3)根据已知先设 ,然后根据 为直角三角形,分两种情况进行讨论:①当 时;② 当 时;然后分别进行求解即可. 【详解】(1)解:∵四边形 为矩形, ∴ 为直角三角形, ∵ , , ∴ , ∴ , 设反比例函数解析式为 , ∵点D在反比例函数图像上, ∴ , ∴反比例函数解析式为 ; (2)解:∵D为 的中点,且 , ∴ , ∴E点横坐标为8,且E在反比例函数图像上, 在 中,令 ,可得 , ∴ , ∴ ,且 , ∴ ; (3)解:∵P在x轴上,∴可设 , ∵ 为锐角, ∴当 为直角三角形时,有 或 ,且点P在x轴正半轴上, ①当 时,则 轴,此时P点坐标为 ; ②当 时,由 , , ∴ ,且 , , 由勾股定理可得 ,即 , 解得 , ∴ ; 综上可知存在满足条件的点P,其坐标为 或 . 【点睛】此题是反比例函数的综合题,主要考查了待定系数法、矩形的性质、勾股定理、直角三角形的性 质、三角形的面积公式等知识,熟练掌握相关的方法、性质与公式,灵活运用分类讨论的思想方法是解答 此题的关键. 3.(2023秋·全国·九年级专题练习)过原点作直线交双曲线 于点A、C,过A、C两点分别作 两坐标轴的平行线,围成矩形 ,如图所示. (1)已知矩形 的面积等于8,求双曲线的解析式; (2)若已知矩形 的周长为8,能否由此确定双曲线的解析式?如果能,请予求出;如果不能,说明理 由. 【答案】(1) (2)无法确定,理由见解析【分析】(1)设出点 的坐标,可以表示出点 、 、 的坐标,利用反比例函数 的几何意义即可解决 问题. (2)同样设出点 的坐标,利用矩形周长为8,只能求出点 的横、纵坐标的和是一个定值,而无法确定 点 的横、纵坐标的乘积是定值. 【详解】(1)解:(1)设点 ,则 , , , ,矩形 的面积等于8 ,即 所以双曲线的解析式为: ; (2)(2)设点 ,则 , , , ,矩形 的周长为8 ,即 , 则 ,此时 会随 的变化而变化,所以无法确定 的值 所以不能由此确定双曲线的解析式,因为 会随点 的坐标变化而变化. 【点睛】本题考查了反比函数 的几何意义以及方程思想,综合性较强. 【考点五 反比例函数与菱形的综合问题】 例题:(2023·陕西榆林·校考一模)如图,在平面直角坐标系中,菱形 的对角线 在 轴上,顶点 在反比例函数 的图象上,若菱形 的面积为6,则 的值为__________. 【答案】3 【分析】连接 交 于 ,由菱形的性质可知 .根据反比例函数 中 的几何意义,再根据菱形的面积为6,即可求出 的值; 【详解】解:连接 交 于 . 四边形 是菱形, , 菱形的面积 , 顶点 在反比例函数 的图象上, , 解得: . 故答案为:3. 【点睛】本题主要考查菱形的性质及反比例函数的比例系数 的几何意义.反比例函数图象上的点与原点 所连的线段、坐标轴、向坐标轴作垂线. 【变式训练】 1.(2023春·八年级课时练习)如图,在平面直角坐标系中,菱形 的顶点 在 轴上,顶点 在反比 例函数的图像上,且 若将该菱形向下平移 个单位后,顶点 恰好落在此反比例函数的图像 上,则此反比例函数的表达式为________.【答案】 【分析】过点C作 轴于点D,设菱形的边长为a,根据菱形的性质和三角函数分别表示 和点B向 下平移 个单位的点的坐标,代入反比例函数解析式计算即可解题. 【详解】解:过点C作 轴于点D,设菱形的边长为a, 在 中, , , 则 , , 点B向下平移 个单位的点为 ,即 则有 解得 , ∴ , ∴反比例函数的表达式为 故答案为: . 【点睛】本题考查反比例函数解析式,坐标与图形的性质、菱形的性质,掌握菱形的性质是解题的关键. 2.(2023·全国·九年级专题练习)如图,在平面直角坐标系中,菱形 的顶点 与原点 重合,点 在 轴的正半轴上,点 在反比例函数 的图象上,点 的坐标为 .(1)求反比例函数的关系式; (2)设点 在反比例函数图象上,连接 ,若 的面积是菱形 面积的 ,求点 的坐 标. 【答案】(1)y (2) 或 【分析】(1)过点 作 轴的垂线,垂足为 ,由点 的坐标,利用勾股定理可求出 的长,利用菱形 的性质可得出 的长,可得 三点共线,进而可得出点 的坐标,再利用反比例函数图象上点的 坐标特征,即可求出 的值; (2)设点M的坐标,根据 的面积是菱形 面积的 ,列方程解出即可. 【详解】(1)解:过点 作 轴的垂线,垂足为 ,则 ,如图1所示. ∵点 的坐标为 ,, ∵四边形 为菱形, , 三点共线, ∴点 坐标为 . ∵点 在反比例函数y 的图象上, ; ∴y ; (2)解:由(1)知:反比例函数的关系式为y , 设点 的坐标为 , 的面积是菱形 面积的 , , , 或 , 或 .【点睛】本题考查了勾股定理、菱形的性质、反比例函数图象上点的坐标特征、菱形和三角形的面积等知 识,解题的关键是:(1)利用勾股定理及菱形的性质,找出点 的坐标;(2)根据反比例函数解析式设 点 的坐标,列方程解决问题. 【考点六 反比例函数与正方形的综合问题】 例题:(2023·四川成都·统考二模)如图,在平面直角坐标系 中,正方形 的顶点A在x轴上,顶 点C在y轴上,且 .若反比例函数 的图象经过点B,则k的值为______. 【答案】4 【分析】根据正方形的性质求出点B的坐标,再根据反比例函数 的图象经过点B,把点B的坐标代 入反比例函数 ,即可求出k的值. 【详解】解:正方形 中, , ∴ , ∵反比例函数 的图象经过点B, ∴ , 故答案为:4. 【点睛】本题考查了正方形的性质与待定系数法求反比例函数的解析式,正确求出点B的坐标是本题的关 键. 【变式训练】 1.(2023春·江苏·八年级专题练习)如图,点A,B分别在函数 , 的图象上,点D,C在x轴上.若四边形 为正方形.则点A的坐标是______. 【答案】 【分析】设点A的纵坐标为n,则点B的纵坐标为n,根据点A,B分别在函数 , 的图象上 得 , ,根据四边形 为正方形得 ,解得 ,得点A的纵坐标为5,将 代入 ,进行计算即可得. 【详解】解:设点A的纵坐标为n,则点B的纵坐标为n, ∵点A,B分别在函数 , 的图象上, ∴ , , ∵四边形 为正方形, ∴ , , (舍), ∴点A的纵坐标为5, 将 代入 得, , , ∴ , 故答案为: . 【点睛】本题考查了反比例函数图象上点的坐标特征,正方形的性质,解题的关键是理解题意,掌握这些 知识点. 2.(2023秋·安徽合肥·九年级合肥38中校考期中)如图,正方形四个顶点分别位于两个反比例函数和 的图象的四个分支上,则 的值= . 【答案】 【分析】根据正方形和双曲线的中心对称性, 、 的交点为O,如图,过点A作 轴于M,过 点D作 轴于N,证明 得到 ,利用反比例函数系数k的几何意 义求解即可. 【详解】:根据正方形和双曲线的中心对称性, 、 的交点为O,如图,过点A作 轴于M, 过点D作 轴于N,则 , ∵四边形 是正方形, ∴ , , ∴ , ∴ , ∴ , ∵ , , ∴ ,则 ,∵反比例函数 的图象位于第二、四象限, ∴ , 故答案为: . 【点睛】本题考查正方形的性质、全等三角形的判定与性质、反比例函数的性质和系数k的几何意义,熟 练掌握反比例函数系数k的几何意义是解答的关键. 3.(2023春·全国·八年级专题练习)如图,四边形 为正方形.点 的坐标为 ,点 的坐标为 ,反比例函数 的图像经过点 . (1)点 的坐标为 ; (2)求反比例函数的解析式. 【答案】(1) (2)y 【分析】(1)先求出正方形边长,即可得 的坐标; (2)把 的坐标代入 ,求出 值,即可得反比例函数解析式. 【详解】(1)∵点 的坐标为 ,点 的坐标为 , ∴ , ∵四边形 为正方形, ∴ , , ∴ , 故答案为: (2)由(1)可得 ,∵反比例函数 的图像经过点 , ∴ , 解得 , ∴反比例函数的解析式 . 【点睛】本题考查直角坐标系中点的坐标和待定系数法求反比例函数解析式,解题的关键是求出 , 的坐标和掌握待定系数法. 【过关检测】 一、单选题 1.(2023秋·安徽合肥·九年级合肥38中校考期中)如图所示,A、B是函数 的图象上关于原点O对 称的任意两点, 轴, 轴, 的面积为S,则( ) A. B. C. D. 【答案】B 【分析】设 ,则 ,根据题意得到 , ,再根据三角形面积公式进行求解即可. 【详解】解:设 ,则 , ∵ 轴, 轴, ∴ , , ∴ , 故选B. 【点睛】本题主要考查了反比例函数与几何综合,正确设出A、B坐标,进而表示出 的长是解题 的关键. 2.(2023春·江苏扬州·八年级校考阶段练习)如图,在平面直角坐标系中,菱形 的顶点A、D在反 比例函数 的图像上,边 轴,交 轴于点E,顶点B在 轴的正半轴上,若点A的纵坐标 为5, ,则 的值为( ) A. B. C. D. 【答案】A 【分析】设 ,则 ,进而得到 ,根据菱形的性质,得到 ,利用两 点间的距离公式列出方程,求出 的值,再根据点 的横纵坐标之积等于 ,列出方程求解即可. 【详解】解:∵点D在反比例函数 的图像上, ∴设 ,则 , ∴ , ∴ , ∴ ,∴ , ∵菱形 , ∴ , ∴ , ∴ 或 (舍去); ∴ , ∵ 在双曲线上, ∴ , ∴ ; 故选A. 【点睛】本题考查反比例函数与几何的综合应用.熟练掌握菱形的性质,双曲线上点的意义,是解题的关 键. 3.(2023·湖北恩施·校考模拟预测)如图,在平面直角坐标系中,直线 与x轴、y轴分别交于 A,B两点,以 为边在第二象限作正方形 ,点D在双曲线 上,将正方形 沿x轴正方 向平移a个单位长度后,点C恰好落在此双曲线上,则a的值是( ) A.1 B.2 C.3 D.4 【答案】B 【分析】作 轴于点 ,交双曲线于点 作 轴于点 ,易证 ,求得A、 的坐标,根据全等三角形的性质可以求得 、 的坐标,从而利用待定系数法求得反比例函数的解析式, 进而求得平移后的点的坐标,则 的值即可求解.【详解】解:作 轴于点 ,交双曲线于点 ,作 轴于点 . 在 中,令 ,解得: , 的坐标是 . 令 ,解得: , 的坐标是 . , . ∵四边形 是正方形, ∴ , , , 又 直角 中, , , 在 和 中, , , 同理可证 , , , 的坐标是 , 的坐标是 .点 在双曲线 上, , 反函数的解析式是: . 把 代入 得: . . 故选:B. 【点睛】本题考查正方形的性质,反比例函数图象上点的坐标特征,全等三角形的判定与性质,待定系数 法求函数的解析式,正确求得 、 的坐标是关键. 4.(2023秋·全国·九年级专题练习)如图,在平面直角坐标系中,点 是反比例函数 在第三象 限图像上的一个动点,以 为顶点,原点对称中心作矩形 , 轴于点 ,过点 的直线 分 别交 、 边于点 、 ,以 为一边作矩形 ,且直线 恰好经过点 ,如果点 在运动 中横坐标逐渐变小,那么矩形 的面积的大小变化情况是( ) A.先减小后增大 B.先增大后减小 C.一直不变 D.一直减小 【答案】C 【分析】连接 、 先证四边形 是矩形,再利用反比例函数的性质得 ,进而得 ,矩形 的面积为 ,即可推出矩形 的面积是定值. 【详解】解:连接 、∵四边形 是以原点对称中心作矩形, ∴ , , , ∵ 轴 轴⟂ 轴, ∴ ∴ ∴ 轴, 轴, ∴四边形 是矩形, 同理可证:四边形 ,四边形 ,四边形 都是矩形, ∵点 在反比例函数 上, ∴ , ∴ , ∵ , ∴ , ∵四边形 是矩形, ∴矩形 的面积为 , ∴矩形 的面积的大小不变, 故选C. 【点睛】本题考查矩形的判定与性质、中心对称图形的性质、反比例函数的性质,熟练掌握反比例函数的 性质是解题的关键,属于中考选择题中的压轴题. 二、填空题 5.(2023·陕西西安·校考二模)如图,等腰 在平面直角坐标系中,点B的坐标为 , ,点A在反比例函数 ( , )的图象上,则k的值为 .【答案】12 【分析】过点A作 于点C,利用等腰三角形的性质求得 ,再利用勾股定理求得 ,得到点A的坐标是 ,利用待定系数法即可求解. 【详解】解:过点A作 于点C, ∵ , ∴ , ∴ , ∴点A的坐标是 , ∵点A在反比例函数 ( , )的图象上, ∴ , 故答案为:12. 【点睛】本题主要考查反比例函数与等腰三角形的综合,利用等腰三角形的性质求得反比例函数上点的坐 标是解题关键. 6.(2023·陕西西安·校考模拟预测)如图,A为反比例函数 上一动点,C为 中点,过点C作 轴,交反比例函数于点B,连接 ,若三角形 面积为 ,则【答案】 【分析】设点 ,则 ,由 轴得 ,利用面积可建立一个关于a、b的方程,解 得a、b之积即为k值. 【详解】解:设点A的坐标为 , ∵C为 中点, ∴ , ∵ 轴,且点B在反比例函数图象上, ∴ , ∴ 的 边上的高 , , 又 , ∴ .即 . 故答案为: . 【点睛】本题考查了反比例函数的k值的几何意义,反比例函数 图象上点的纵横坐标之积等于常数 k. 7.(2023秋·浙江金华·九年级校联考开学考试)如图,反比例函数 的图象经过菱形 的 顶点 ,点 在 轴上,过点 作 轴的垂线与反比例函数的图象相交于点 .若 ,则点 的坐 标是 . 【答案】【分析】根据题意得出 是等边三角形,从而表示点 的坐标为 ,根据菱形的对称性表示 出点 的坐标,再根据反比例函数图象上点的坐标特征代入函数解析式进行计算即可求得菱形边长 , 把 代入解析式即可求得点 的横坐标. 【详解】解:设菱形 的边长为 , , 是等边三角形, 点 的坐标为 , , 反比例函数 的图象经过菱形 的顶点 , , (负数舍去), 菱形 的边长为2, 点的纵坐标为2, 把 代入 得, , 解得 , 点 的坐标是 . 故答案为: . 【点睛】本题考查了菱形的性质,反比例函数图象上点的坐标特征,熟记菱形的性质,正确表示出点A的 坐标是解题的关键. 8.(2023春·吉林长春·八年级校考期中)如图,平行四边形 的顶点B在双曲线 上,顶点C在双曲线 上, 中点P恰好落在y轴上,已知 ,则 . 【答案】 【分析】连接 ,过 点和 点分别作 轴的垂线段 和 ,先证明 ,则 , 易知 , ,由此可得 ,从而得到 ,求出 的值即可. 【详解】解:连接 ,过 点和 点分别作 轴的垂线段 和 ,垂足分别为点E、D,如图所示: , 中点 恰好落在 轴上, , , , , 点 在双曲线 上, , 点 在双曲线 上,且从图像得出 ,, , 四边形 是平行四边形, , , 解得: , , , 故答案为: . 【点睛】本题主要考查了反比例函数 的几何意义、平行四边形的面积,解决这类问题,要熟知反比例函 数图象上点到 轴的垂线段与此点与原点的连线组成的三角形面积是 . 三、解答题 9.(2023秋·山东泰安·九年级东平县实验中学校考阶段练习)如图,A是反比例函数 图象上一点, 过点A作 轴于点B,点C在x轴上, 的面积为2. (1)求反比例函数的解析式; (2)已知 ,点 在该反比例函数的图象上,点Q是x轴上一动点,若 最小,求点Q的 坐标. 【答案】(1)(2) 【分析】(1)连接 ,由于同底等高的两个三角形面积相等,所以 的面积 的面积 ,然 后根据反比例函数 中k的几何意义知 的面积 ,从而确定k的值,求出反比例函数的解析 式; (2)作点P关于x轴的对称点 ,连接 与x轴交于点Q,此时 最小,由点A、 的坐标,利 用待定系数法可求出直线 的解析式,再利用一次函数图象上点的坐标特征即可求出点Q的坐标. 【详解】(1)解:连接 , ∵ 的面积 的面积 , 的面积 , ∴ , ∴ ; 又∵反比例函数的图象的一支位于第一象限, ∴ , ∴ . ∴这个反比例函数的解析式为 ; (2)∵ , ∴设 , ∵反比例函数 经过点A, ∴ , ∴ (负值舍去), ∴ ,把 代入 得, , ∴ . 作点P关于x轴的对称点 ,连接 与x轴交于点Q,此时 最小, 设过A, 的直线表达式为 , ∴ , 解得 , ∴过A, 的直线表达式为 . 由 ,得 . ∴点Q的坐标为 . 【点睛】本题考查了待定系数法求反比例函数的解析式,一次函数的解析式,一次函数图象上点的坐标特 征;解(1)的关键是掌握待定系数法;解(2)的关键是利用轴对称的性质确定点Q的位置. 10.(2023春·河南洛阳·八年级统考期中)如图,在平面直角坐标系中,O是坐标原点,在 中, 于点C,点A在反比例函数 的图象上. (1)若 ,则 _______; (2)若 ,求反比例函数的表达式. 【答案】(1)2 (2)【分析】(1)设 ,根据 ,计算求解即可; (2)由题意知 ,在 中,由勾股定理得 ,则 , , 进而可得反比例函数表达式. 【详解】(1)解:设 , 由题意知, , 故答案为:2; (2)解:由题意知 , 在 中,由勾股定理得 , ∴ , ∴ , ∴反比例函数表达式为 . 【点睛】本题考查了比例系数 的几何意义,反比例函数解析式,勾股定理,等腰三角形的判定与性质. 解题的关键在于对知识的熟练掌握与灵活运用. 11.(2023秋·全国·九年级专题练习)如图,在平面直角坐标系 中,函数 (其中 )的图象 经过平行四边形 的顶点A,函数 (其中 )的图象经过顶点C,点B在x轴上,若点C的 横坐标为2, 的面积为6. (1)求k的值;(2)求直线 的解析式. 【答案】(1) (2) 【分析】(1)根据点C的横坐标是2求出C点坐标,再由平行四边形得出 轴,根据三角形的面积 公式求出 的长,故可得出A点坐标,进而可得出k的值; (2)根据四边形 是平行四边形可知 ,故可得出 ,再利用待定系数法求出直线 的解析式即可. 【详解】(1)解:∵点C的横坐标是2, ∴ , , ∴ , ∵四边形 是平行四边形, ∴ 轴, ∵ ,即 , ∴ , ∴ , ∴点A的坐标为 , ∴ ; (2)解:∵四边形 是平行四边形, ∴ , ∴ , 设直线 的解析式为 , 则 ,∴ , ∴直线 的解析式为 . 【点睛】本题考查了反比例函数系数k的几何意义,待定系数法求函数的解析式,平行四边形的性质,三 角形面积的计算,正确的理解题意是解题的关键. 12.(2023春·贵州贵阳·九年级校考阶段练习)如图,在平面直角坐标系中,直线 与 轴、 轴 分别交于 、 两点,以 为边在第一象限内作正方形 ,点 在反比例函数 的图象上. (1)求 的值; (2)若将正方形沿 轴负方向平移 个单位长度后,点 恰好落在该反比例函数的图象上,则 的值是多少? 【答案】(1) ; (2) 【分析】(1)作 轴于点F,易证 ,根据全等三角形的性质可以求得D的坐标,从而 利用待定系数法求得反比例函数的k值; (2)作 轴于点E,交双曲线于点G,同(1)的方法可得 ,根据全等三角形的性质 可以求得C的坐标,进而求得G的坐标,继而求得m的值. 【详解】(1)解:作 轴于点F在 中,令 ,解得: ,即B的坐标是 . 令 ,解得 ,即A的坐标是 . 则 , , ∵ , ∴ , 又∵ , ∴ , 又 , , ∴ , ∴ , , ∴ , ∴点D的坐标是 , 将点D的坐标 代入 得: ; (2)作 轴于点E,交反比例函数图象于点G, 与(1)同理可证, , ∴ , ,则可得 , ∴点C的坐标是 ,则点G的纵坐标是3, 把 代入 得: , 即点G的坐标是 , ∴ , 即 . 【点睛】本题考查了反比例函数的综合问题,正方形的性质,全等三角形的判定与性质,正确求得C、D 的坐标是关键. 13.(2023秋·全国·九年级专题练习)如图,在平面直角坐标系中, 点的坐标为 , 轴于点, ,反比例函数 图象的一支经过 的中点 ,且与 交于点 . (1)求点 的坐标; (2)求反比例函数的解析式: (3)四边形 的面积为________. 【答案】(1) (2) (3)75 【分析】(1)先利用正弦的定义求出 ,则可利用勾股定理计算出 ,即可求解; (2)利用线段的中点坐标公式得到 点坐标为 ,从而可确定反比例解析式; (3)先利用反比例函数图象上点的坐标特征确定 然后利用四边形 的面积 进行计算. 【详解】(1)∵ 点的坐标为 , ∴ , ∵ 轴于点 , , ∴ , ∴ , ∴ ;(2)∵ 点为 的中点, ∴ 点坐标为 , ∵反比例函数 图象的一支经过 的中点 , ∴ , ∴反比例函数解析式为 (3)当 时, 则 ∴四边形 的面积 . 故答案为: . 【点睛】本题考查了待定系数法求反比例函数的解析式:设出含有待定系数的反比例函数解析式 ( 为常数, ), 然后把一组对应值代入求出k得到反比例函数解析式.也考查了反比例函数的性质和反比例 函数图象上点的坐标特征. 14.(2023·广东汕头·广东省汕头市聿怀初级中学校考三模)如图,双曲线 的图像经过矩形 的 边的中点 ,若 且四边形 的面积为 . (1)求双曲线的解析式; (2)求点 的坐标: (3)若点 为 轴上一动点,使得 为以 为底边的等腰三角形,请直接写出点 的坐标 【答案】(1)(2)当 时, ;当 时, (3)点 的坐标为 或 【分析】(1)如图所示,连接 ,设矩形 的长 ,宽 ,可得 的坐标,分 别表示出 的面积,根据 , ,可求出点 横坐标, 纵坐标的关系,代入反比例函数解析式即可求解; (2)设 ,可得 ,在 中,根据勾股定理可的 的关系,联立方程即可求解; (3)根据题意,分类讨论,以 为底,作 的垂直平分线 ,运用相似三角形求出 与 轴的交 点,由此即求出 的直线解析式,再根据与 轴的交点,图形结合即可求解. 【详解】(1)解:如图所示,连接 ,设矩形 的长 ,宽 , ∴ , , , ∵ 分别是 边中点, ∴ , , ∴ , , , ∴ ,∵ , ∴ ,即 ,则 ∵点 在反比例函数图像上,且反比例函数图像在第一象限, ∴ , ∴ , ∴ , ∴双曲线的解析式为 . (2)解:设 , ∵ , ∴ ∴ ①, 在 中,根据勾股定理得: ,即 ②, 联立①②解得: 或 , 当 时, ; 当 时, . (3)解:①当 时,以 为底边的等腰三角形 , ∴作 的垂直平分线 ,交 轴于点 ,交 于点 ,交 轴于点 ,如图所示, ∵ , , ∴点 的横坐标为 ,纵坐标为 ,即 ,且 ,在 中, ∵ , , ∴ , ∴ , , , ∴ , ∴ , 设 所在直线的解析式为 , , , ∴ ,解得, , ∴直线 的解析式是为 , ∵直线 与 轴交于点 , ∴令 ,得 , ∴点 的坐标为 ; ②当 时,以 为底边的等腰三角形 , ∴作 的垂直平分线 ,交 轴于点 ,交 于点 ,交 轴于点 ,如图所示, ∴ , , , , ,∴, 在 中, ∵ , , ∴ ,∴ , , , ∴ , ∴ , 设 所在直线的解析式为 , , , ∴ ,解得, , ∴直线 的解析式是为 , ∵直线 与 轴交于点 , ∴令 ,得 , ∴点 的坐标为 ; 综上所述,点 的坐标为 或 . 【点睛】本题主要考查反比例函数与几何的综合,掌握坐标与图形的性质,反比例函数 与几何图形的性 质,等腰三角形的性质,待定系数法求一次函数解析式等知识是解题的关键. 15.(2023春·全国·八年级专题练习)如图,已知正方形 的面积为 ,点 为坐标原点,点 在 轴 上,点 在 轴上,点 在函数 , 图象上,点 是函数 , 图象上异于 点 的任意一点,过点 分别作 轴、 轴的垂线,垂足分别为点 、 .设矩形 和正方形 不 重合部分的面积为 . (1)点 的坐标是 , ; (2)当 ,求点 的坐标;(3)求出 关于 的函数关系式. 【答案】(1) , (2) 或 (3)当 时, ;当 时, 【分析】(1)根据反比例函数中正方形的面积与反比例系数的关系,即可求得反比例函数解析式,进而 求得B的坐标; (2)分两种情形,用坐标表示出不重合的四边形的边长,进而表示出面积,求解即可; (3)分两种情形求解即可:①当点 在点B的左侧时;②当点 在点B或B的右侧时. 【详解】(1)解: 正方形 的面积为 , , . 又 点 在函数 的图象上, . 故答案为: , . (2)分两种情况:①当点 在点 的左侧时, , 在函数 上, . , , , ;②当点 在点 或 的右侧时, 在函数 上, . , , . . (3)当 时, . 当 , 时, 的纵坐标是 , 由题意 . 【点睛】本题主要考查了反比例函数的系数与矩形的面积的关系,把线段的长的问题转化为点的坐标问题 是解决本题的关键. 16.(2023春·全国·八年级专题练习)如图,点A是反比例函数 (x>0)图象上的一个动点,过点A 作 轴于点B,点C是反比例函数图象上不与点A重合的点,以 为边作菱形 ,过点D 作 轴于点F,交反比例函数 的图象于点E.(1)已知当 时,菱形面积为20,则此时点C的横坐标是 ,点D的横坐标是 ,求该反比 例函数的表达式; (2)若点A在(1)中的反比例函数图象上运动,当菱形面积是48时,求 的值. 【答案】(1)3,8:y= (2) 【分析】(1)过点C作 于点T,利用菱形面积求出 ,再利用勾股定理求出 ,从而可 设出点C的坐标为 ,则点A的坐标为 ,得到 ,求出m的值即可得到答 案; (2)设点 ,过点C作 轴于点N,交 于点M,利用菱形面积得到 ,即可得到 点C的纵坐标为 ,则 ,进一步推出,点D的坐标为 ,点E的坐标为 , 得到 ,由此即可得到答案. 【详解】(1)解:过点C作 于点T, ∴菱形面积 , ∴ , 在 中, , ∴ , ∴点C的横坐标为3,点D的横坐标为 ,设点C的坐标为 ,则点A的坐标为 , ∴ , 解得: , ∴ , , ∴反比例函数的表达式为: , , 故答案为:3,8; (2)解:设点 ,过点C作 轴于点N,交 于点M, ∵菱形面积是48, ∴ , ∴ , ∴点C的纵坐标为 , ∴ , ∴点D的坐标为 , ∴点E的坐标为 , ∴ ,∴ . 【点睛】本题主要考查了反比例函数与几何综合,菱形的性质,勾股定理,正确利用菱形的面积求出对应 线段的长度是解题的关键 17.(2023秋·江苏南通·九年级校考阶段练习)如图,在平面直角坐标系中,B、C两点在轴的正半轴上, 以线段 为边向上作正方形 ,顶点A在正比例函数 的图像上,反比例函数 ,且 , ,的图像经过点A,且与边 相交于点E. (1)若 ,求点 的坐标; (2)连接 , . ①若 的面积为24,求 的值; ②是否存在某一位置使得 ,若存在,求出 的值;若不存在,请说明理由. 【答案】(1) (2)①18;②不存在,理由见解析 【分析】(1)根据 ,设 ,代入解析式 确定A的坐标,确定反比例函数解析式,根 据 ,代入反比例函数解析式计算即可;(2)①设 ,则 , , ,根据题意,得 ,列出等式计 算即可;②假设 ,证明 ,利用反比例函数解析式建立等式证明即可. 【详解】(1)∵正方形 , , , ∴ , , 设 ,则 , , 代入 ,得 , 解得 , 故 ,即 , ∴ , ∴ ; (2)①∵点A在直线 上, ∴设 , ∵正方形 , , ∴ , , , ∴ , , 根据题意,得 , ∴ , 解得 , (舍去),故 ,故 ; ②∵ , ∴ , ∵正方形 , ∴ , ∴ , ∴ , ∵ , ∴ , ∴ , ∵点A在直线 上, ∴设 ,此时: , 则 , , ∴ , 即: , ∴ , ∴ , ∵B、C两点在x轴的正半轴上, ∴ , ∴ , 这是不可能的,故不存在某一位置使得 . 【点睛】本题考查了正方形的性质,反比例函数解析式,三角形全等的判定和性质,三角形面积的分割法 计算,熟练掌握正方形的性质,反比例函数解析式,三角形全等的判定和性质,是解题的关键. 18.(2023秋·全国·九年级专题练习)如图 ,正方形 的顶点 ,点 ,反比例函数的图象经过点 . (1)试说明反比例函数 的图象也经过点 ; (2)如图 ,正方形 向下平移得到正方形 ,边 在 轴上,反比例函数 的图象分别交 正方形 的边 、 于点 、 . ①求 的面积; ②在 轴上是否存在一点 ,使得 是等腰三角形,若存在,直接写出点 的坐标,若不存在,请说 明理由. 【答案】(1)见解析 (2)① ;②存在, 或 【分析】(1)将点 的坐标代入反比例函数表达式求得 值,再验证点 即可; (2) ,即可求解; 分 、 、 三种情况,分别求解即可. 【详解】(1)解:(1) 点 ,点 ,四边形 是正方形, 点 , , 将点 的坐标代入反比例函数表达式得: , 反比例函数表达式为: , 当 时,得 , 反比例函数 的图象也经过点 ;(2)解: 平移后点 、 、 、 的坐标分别为: 、 , 、 , 则平移后点 横坐标为 ,则点 , 同理点 , ; 点 、 的坐标分别为: 、 , 设点 , 则 , , , 当 时,即 , 解得: 或 , 当 时,点 、 、 三点共线,故舍去, , 当 时,同理可得:方程无实数根,舍去, 当 时,同理可得: , 故点 的坐标为: 或 ,使得 是等腰三角形. 【点睛】本题考查的是反比例函数综合运用,涉及到勾股定理的运用、等腰三角形的性质、面积的计算等, 要注意分类求解,避免遗漏. 19.(2023秋·江苏·九年级开学考试)如图1,在菱形 中,对角线 、 相交于点 ,顶点 、在反比例函数 的图像上,点 在反比例函数 的图像上, 轴. (1)若 , ,则菱形 的面积为______; (2)①当点 、 在坐标轴上时,求 的值. ②如图2,当点 、 、 三点在同一直线上时,试判断 是否为定值.若是,求出该定值;若不是,说 明理由. 【答案】(1)9; (2)① ;②是, 的值为 【分析】(1)设点 的横坐标为 ,则 ,由题意可知, 轴,则 , , .所 以 , ,由菱形的性质可知, , ,所以 . (2)①由题意可知,点 在 轴上,点 在 轴上,设点 的横坐标为 ,则 ,同上可知 轴,所以 , , .因为点 是 的中点, , , .由点 , 在坐标轴上,建立方程即可得出结论; ②设点 的横坐标为 ,则 ,同上可知, , , . , ,.设直线 所在的直线为 ,利用待定系数法可求出 .所以直线 的解析式为: .因为点 , , 三点共线,所以将点 的坐标代入可得 ,整理该等式 即可得出结论. 【详解】(1)解:设点 的横坐标为 ,则 , 轴, , 轴, , , . , , , , . 故答案为:9. (2)解:①由题意可知,点 在 轴上,点 在 轴上, 设点 的横坐标为 ,则 , 轴, , 轴, , , . 点 是 的中点, , , ,即 , , . 点 在 轴上,点 在 轴上, 且 , ; ②是,理由如下:设点 的横坐标为 ,则 , 轴, , 轴, , , . , , ,即 , , . 设直线 所在的直线为 , ,即 . 直线 的解析式为: . 点 , , 三点共线, ,整理得 或1(舍 . 综上, 的值为 . 【点睛】本题考查了反比例函数与几何综合题,待定系数法求函数解析式,菱形的性质,中点坐标公式等 知识,解题的关键是设出关键点 的坐标,利用菱形的性质去表达 , , , 的坐标.