当前位置:首页>文档>第2章§2.10 函数模型的应用_2.2025数学总复习_2023年新高考资料_一轮复习_2023新高考一轮复习讲义+课件_2023年高考数学一轮复习讲义(新高考)

第2章§2.10 函数模型的应用_2.2025数学总复习_2023年新高考资料_一轮复习_2023新高考一轮复习讲义+课件_2023年高考数学一轮复习讲义(新高考)

  • 2026-05-02 07:54:03 2026-03-25 12:59:00

文档预览

第2章§2.10 函数模型的应用_2.2025数学总复习_2023年新高考资料_一轮复习_2023新高考一轮复习讲义+课件_2023年高考数学一轮复习讲义(新高考)
第2章§2.10 函数模型的应用_2.2025数学总复习_2023年新高考资料_一轮复习_2023新高考一轮复习讲义+课件_2023年高考数学一轮复习讲义(新高考)
第2章§2.10 函数模型的应用_2.2025数学总复习_2023年新高考资料_一轮复习_2023新高考一轮复习讲义+课件_2023年高考数学一轮复习讲义(新高考)
第2章§2.10 函数模型的应用_2.2025数学总复习_2023年新高考资料_一轮复习_2023新高考一轮复习讲义+课件_2023年高考数学一轮复习讲义(新高考)
第2章§2.10 函数模型的应用_2.2025数学总复习_2023年新高考资料_一轮复习_2023新高考一轮复习讲义+课件_2023年高考数学一轮复习讲义(新高考)
第2章§2.10 函数模型的应用_2.2025数学总复习_2023年新高考资料_一轮复习_2023新高考一轮复习讲义+课件_2023年高考数学一轮复习讲义(新高考)
第2章§2.10 函数模型的应用_2.2025数学总复习_2023年新高考资料_一轮复习_2023新高考一轮复习讲义+课件_2023年高考数学一轮复习讲义(新高考)
第2章§2.10 函数模型的应用_2.2025数学总复习_2023年新高考资料_一轮复习_2023新高考一轮复习讲义+课件_2023年高考数学一轮复习讲义(新高考)
第2章§2.10 函数模型的应用_2.2025数学总复习_2023年新高考资料_一轮复习_2023新高考一轮复习讲义+课件_2023年高考数学一轮复习讲义(新高考)
第2章§2.10 函数模型的应用_2.2025数学总复习_2023年新高考资料_一轮复习_2023新高考一轮复习讲义+课件_2023年高考数学一轮复习讲义(新高考)
第2章§2.10 函数模型的应用_2.2025数学总复习_2023年新高考资料_一轮复习_2023新高考一轮复习讲义+课件_2023年高考数学一轮复习讲义(新高考)
第2章§2.10 函数模型的应用_2.2025数学总复习_2023年新高考资料_一轮复习_2023新高考一轮复习讲义+课件_2023年高考数学一轮复习讲义(新高考)
第2章§2.10 函数模型的应用_2.2025数学总复习_2023年新高考资料_一轮复习_2023新高考一轮复习讲义+课件_2023年高考数学一轮复习讲义(新高考)
第2章§2.10 函数模型的应用_2.2025数学总复习_2023年新高考资料_一轮复习_2023新高考一轮复习讲义+课件_2023年高考数学一轮复习讲义(新高考)
第2章§2.10 函数模型的应用_2.2025数学总复习_2023年新高考资料_一轮复习_2023新高考一轮复习讲义+课件_2023年高考数学一轮复习讲义(新高考)
第2章§2.10 函数模型的应用_2.2025数学总复习_2023年新高考资料_一轮复习_2023新高考一轮复习讲义+课件_2023年高考数学一轮复习讲义(新高考)
第2章§2.10 函数模型的应用_2.2025数学总复习_2023年新高考资料_一轮复习_2023新高考一轮复习讲义+课件_2023年高考数学一轮复习讲义(新高考)
第2章§2.10 函数模型的应用_2.2025数学总复习_2023年新高考资料_一轮复习_2023新高考一轮复习讲义+课件_2023年高考数学一轮复习讲义(新高考)

文档信息

文档格式
docx
文档大小
1.230 MB
文档页数
18 页
上传时间
2026-03-25 12:59:00

文档内容

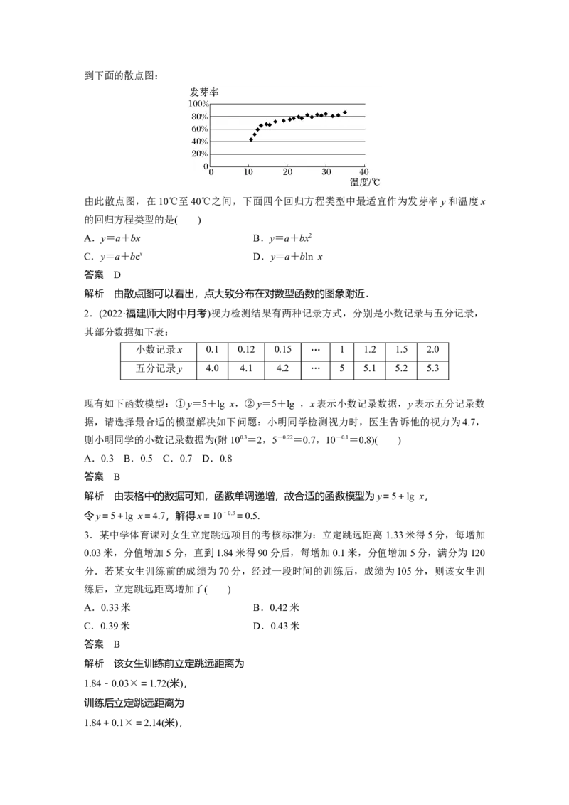
§2.10 函数模型的应用 考试要求 1.了解指数函数、对数函数与一次函数增长速度的差异.2.理解“指数爆炸” “对数增长”“直线上升”等术语的含义.3.会选择合适的函数模型刻画现实问题的变化规律, 了解函数模型在社会生活中的广泛应用. 知识梳理 1.三种函数模型的性质 函数 y=ax y=log x y=xn a 性质 (a>1) (a>1) (n>0) 在(0,+∞) 单调递增 单调递增 单调递增 上的增减性 增长速度 越来越快 越来越慢 相对平稳 随x的增大逐渐表现为 随x的增大逐渐表 随n值变化而各有 图象的变化 与 y 轴 平行 现为与 x 轴 平行 不同 2.常见的函数模型 函数模型 函数解析式 一次函数模型 f(x)=ax+b(a,b为常数,a≠0) 二次函数模型 f(x)=ax2+bx+c(a,b,c为常数,a≠0) 反比例函数模型 f(x)=+b(k,b为常数且k≠0) 指数函数模型 f(x)=bax+c(a,b,c为常数,a>0且a≠1,b≠0) 对数函数模型 f(x)=blog x+c(a,b,c为常数,a>0且a≠1,b≠0) a 幂函数模型 f(x)=axα+b(a,b,α为常数,a≠0,α≠0) 思考辨析 判断下列结论是否正确(请在括号中打“√”或“×”) (1)函数y=2x的函数值比y=x2的函数值大.( × ) (2)某商品进价为每件100元,按进价增加10%出售,后因库存积压降价,若九折出售,则 每件还能获利.( × ) (3)在(0,+∞)上,随着x的增大,y=ax(a>1)的增长速度会超过并远远大于y=xa(a>0)和y= log x(a>1)的增长速度.( √ ) a(4)在选择实际问题的函数模型时,必须使所有的数据完全符合该函数模型.( × ) 教材改编题 1.在某个物理实验中,测得变量x和变量y的几组数据,如下表: x 0.50 0.99 2.01 3.98 y -0.99 -0.01 0.98 2.00 则对x,y最适合的拟合函数是( ) A.y=2x B.y=x2-1 C.y=2x-2 D.y=log x 2 答案 D 解析 根据x=0.50,y=-0.99,代入计算,可以排除A;根据x=2.01,y=0.98,代入计 算,可以排除B,C;将各数据代入函数y=log x,可知满足题意. 2 2.设甲、乙两地的距离为a(a>0),小王骑自行车匀速从甲地到乙地用了20分钟,在乙地休 息10分钟后,他又匀速从乙地返回到甲地用了30分钟,则小王从出发到返回原地所经过的 路程y和其所用的时间x的函数图象为( ) 答案 D 3.当生物死亡后,其体内原有的碳14的含量大约每经过5 730年衰减为原来的一半,这个 时间称为“半衰期”.当死亡生物体内的碳14含量不足死亡前的千分之一时,用一般的放 射性探测器就测不到了.若某死亡生物体内的碳14用该放射性探测器探测不到,则它至少 要经过________个“半衰期”. 答案 10 解析 设该死亡生物体内原有的碳14的含量为1,则经过n个“半衰期”后的含量为n, 由n<,得n≥10. 所以,若某死亡生物体内的碳14用该放射性探测器探测不到,则它至少需要经过10个“半 衰期”. 题型一 用函数图象刻画变化过程例1 (1)如图,一高为H且装满水的鱼缸,其底部有一排水小孔,当小孔打开时,水从孔中 匀速流出,水流完所用时间为T.若鱼缸水深为h时,水流出所用时间为t,则函数h=f(t)的 图象大致是( ) 答案 B 解析 水匀速流出,所以鱼缸水深h先降低快,中间降低缓慢,最后降低速度又越来越快. (2)(2022·泰州模拟)中国茶文化博大精深,茶水的口感与茶叶类型和水的温度有关.经验表 明,某种绿茶用85 ℃的水泡制,再等到茶水温度降至60 ℃时饮用,可以产生最佳口感. 为分析泡制一杯最佳口感茶水所需时间,某研究人员每隔 1 min测量一次茶水的温度,根据 所得数据做出如图所示的散点图.观察散点图的分布情况,下列哪个函数模型可以近似地刻 画茶水温度y随时间x变化的规律( ) A.y=mx2+n(m>0) B.y=max+n(m>0,00,a>1) D.y=mlog x+n(m>0,a>0,a≠1) a 答案 B 解析 由函数图象可知符合条件的只有指数函数模型,并且m>0,0≈≈4.87,则n>5.87, 故至少需要“打水漂”的次数为6. (2)(2022·滨州模拟)某同学设想用“高个子系数k”来刻画成年男子的高个子的程度,他认为, 成年男子身高160 cm及其以下不算高个子,其高个子系数k应为0;身高190 cm及其以上 的是理所当然的高个子,其高个子系数k应为1,请给出一个符合该同学想法、合理的成年 男子高个子系数k关于身高x(cm)的函数关系式________. 答案 k=(只要写出的函数满足在区间[160,190]上单调递增,且过点(160,0)和(190,1)即可. 答案不唯一) 解析 由题意知函数k(x)在[160,190]上单调递增, 设k(x)=ax+b(a>0),x∈[160,190], 由 解得 所以k(x)=x-, 所以k= 教师备选 国庆期间,某旅行社组团去风景区旅游,若每团人数在 30或30以下,飞机票每张收费900 元;若每团人数多于30,则给予优惠:每多1人,机票每张减少10元,直到达到规定人数 75为止.每团乘飞机,旅行社需付给航空公司包机费15 000元. (1)写出飞机票的价格关于人数的函数; (2)每团人数为多少时,旅行社可获得最大利润? 解 设该旅行团的人数为x,飞机票的价格为y元.旅行社可获得的利润为w元. (1)①当0≤x≤30时,y=900, ②当302)元, 则发行量为万册, 则该杂志销售收入为x万元, 所以x≥22.4, 化简得x2-6x+8.96≤0, 解得2.8≤x≤3.2. (2)(2022·南京模拟)拉面是很多人喜好的食物.师傅在制作拉面的时候,将面团先拉到一定 长度,然后对折,对折后面条根数变为原来的2倍,再拉到上次面条的长度.每次对折后, 师傅都要去掉捏在一只手里的面团.如果拉面师傅将300克面团拉成细丝面条,每次对折后 去掉捏在手里的面团都是18克.第一次拉的长度是1米,共拉了7次,假定所有细丝面条 粗线均匀、质量相等,则最后每根1米长的细丝面条的质量是________. 答案 3克 解析 拉面师傅拉7次面条共有27-1=26=64根面条,在7次拉面过程中共对折6次,则去 掉面的质量为6×18=108(克);剩下64根面条的总质量为300-108=192(克),则每根1米 长的细丝面条的质量为=3(克). 课时精练 1.(2020·全国Ⅰ)某校一个课外学习小组为研究某作物种子的发芽率y和温度x(单位:℃)的 关系,在20个不同的温度条件下进行种子发芽实验,由实验数据(x,y)(i=1,2,…,20)得 i i到下面的散点图: 由此散点图,在10℃至40℃之间,下面四个回归方程类型中最适宜作为发芽率y和温度x 的回归方程类型的是( ) A.y=a+bx B.y=a+bx2 C.y=a+bex D.y=a+bln x 答案 D 解析 由散点图可以看出,点大致分布在对数型函数的图象附近. 2.(2022·福建师大附中月考)视力检测结果有两种记录方式,分别是小数记录与五分记录, 其部分数据如下表: 小数记录x 0.1 0.12 0.15 … 1 1.2 1.5 2.0 五分记录y 4.0 4.1 4.2 … 5 5.1 5.2 5.3 现有如下函数模型:①y=5+lg x,②y=5+lg ,x表示小数记录数据,y表示五分记录数 据,请选择最合适的模型解决如下问题:小明同学检测视力时,医生告诉他的视力为4.7, 则小明同学的小数记录数据为(附100.3=2,5-0.22=0.7,10-0.1=0.8)( ) A.0.3 B.0.5 C.0.7 D.0.8 答案 B 解析 由表格中的数据可知,函数单调递增,故合适的函数模型为y=5+lg x, 令y=5+lg x=4.7,解得x=10-0.3=0.5. 3.某中学体育课对女生立定跳远项目的考核标准为:立定跳远距离1.33米得5分,每增加 0.03米,分值增加5分,直到1.84米得90分后,每增加0.1米,分值增加5分,满分为120 分.若某女生训练前的成绩为70分,经过一段时间的训练后,成绩为105分,则该女生训 练后,立定跳远距离增加了( ) A.0.33米 B.0.42米 C.0.39米 D.0.43米 答案 B 解析 该女生训练前立定跳远距离为 1.84-0.03×=1.72(米), 训练后立定跳远距离为 1.84+0.1×=2.14(米),则该女生训练后,立定跳远距离增加了2.14-1.72=0.42(米). 4.中国茶文化博大精深,茶水的口感与茶叶类型和水的温度经有关研究可知:在室温25 ℃下,某种绿茶用85 ℃的水泡制,经过x min后茶水的温度为y ℃,且y=k·0.908 5x+ 25(x≥0,k∈R).当茶水温度降至55 ℃时饮用口感最佳,此时茶水泡制时间大约为(结果保 留整数,参考数据:ln 2≈0.693 1,ln 3≈1.098 6,ln 0.908 5≈-0.096 0) ( ) A.6 min B.7 min C.8 min D.9 min 答案 B 解析 由题意可知, 当x=0时,y=85,则85=k+25,解得k=60, 所以y=60×0.908 5x+25. 当y=55时,55=60×0.908 5x+25, 即0.908 5x=0.5, 则x=log 0.5== 0.908 5 ≈≈7, 所以茶水泡制时间大约为7 min. 5.(多选)(2022·厦门模拟)某医药研究机构开发了一种新药,据监测,如果患者每次按规定 的剂量注射该药物,注射后每毫升血液中的含药量y(微克)与时间t(小时)之间的关系近似满 足如图所示的曲线.据进一步测定,当每毫升血液中含药量不少于0.125微克时,治疗该病 有效,则( ) A.a=3 B.注射一次治疗该病的有效时间长度为6小时 C.注射该药物小时后每毫升血液中的含药量为0.4微克 D.注射一次治疗该病的有效时间长度为5小时 答案 AD 解析 由函数图象可知y= 当t=1时,y=4,即1-a=4,解得a=3, ∴y=故A正确, 药物刚好起效的时间,当4t=0.125,即t=, 药物刚好失效的时间t-3=0.125,解得t=6, 故药物有效时长为6-=5(小时), 注射一次治疗该病的有效时间长度不到6个小时,故B错误,D正确;注射该药物小时后每 毫升血液含药量为4×=0.5(微克),故C错误. 6.(多选)某导演的纪录片《垃圾围城》真实地反映了城市垃圾污染问题,目前中国668个 城市中有超过的城市处于垃圾的包围之中,且城市垃圾中的快递行业产生的包装垃圾正在逐 年攀升,有关数据显示,某城市从2016年到2019年产生的包装垃圾量如下表: 年份x 2016 2017 2018 2019 包装垃圾y(万吨) 4 6 9 13.5 有下列函数模型:①y=a·bx-2 016;②y=asin +b;③y=alg(x+b)(a>0,b>1)(参考数据:lg 2=0.301 0,lg 3=0.477 1),则以下说法正确的是( ) A.选择模型①,函数模型解析式y=4·x-2 016,近似反映该城市近几年包装垃圾生产量y(万 吨)与年份x的函数关系 B.选择模型②,函数模型解析式y=4sin +2 016,近似反映该城市近几年包装垃圾生产量 y(万吨)与年份x的函数关系 C.若不加以控制,任由包装垃圾如此增长下去,从2021年开始,该城市的包装垃圾将超 过40万吨 D.若不加以控制,任由包装垃圾如此增长下去,从2022年开始,该城市的包装垃圾将超 过40万吨 答案 AD 解析 若选y=4·x-2 016,计算可得对应数据近似为4,6,9,13.5, 若选y=4sin +2 016,计算可得对应数据近似值都大于2 012, 显然A正确,B错误; 按照选择函数模型y=4·x-2 016, 令y>40,即4×x-2 016>40, ∴x-2 016>10, ∴x-2 016> , ∴x-2 016>=≈5.678 6, ∴x>2 021.678 6, 即从2022年开始,该城市的包装垃圾将超过40万吨,故C错误,D正确. 7.(2022·蚌埠模拟)某种动物的繁殖数量y(数量:只)与时间x(单位:年)的关系式为y= alog (x+1),若这种动物第1年有100只,则到第7年它们发展到________只. 2 答案 300解析 由题意知100=alog (1+1) a=100, 2 当x=7时,可得y=100log 2 (7+1)⇒=300. 8.(2022·临沂模拟)著名数学家、物理学家牛顿曾提出:物体在空气中冷却,如果物体的初始 温度为θ ℃,空气温度为θ ℃,则t分钟后物体的温度θ(单位: ℃)满足:θ=θ +(θ - 1 0 0 1 θ)e-kt.若常数k=0.05,空气温度为30 ℃,某物体的温度从90 ℃下降到50 ℃,大约需要 0 的时间为________分钟.(参考数据:ln 3≈1.1) 答案 22 解析 由题知θ=30,θ=90,θ=50, 0 1 ∴50=30+(90-30)e-0.05t, ∴e-0.05t=, ∴-0.05t=ln , ∴0.05t=ln 3, ∴t==20×ln 3≈22. 9.某公司为改善营运环境,年初以50万元的价格购进一辆豪华客车.已知该客车每年的营 运总收入为30万元,使用x年(x∈N*)所需的各种费用总计为(2x2+6x)万元. (1)该车营运第几年开始盈利(总收入超过总支出,今年为第一年); (2)该车若干年后有两种处理方案: ①当盈利总额达到最大值时,以10万元价格卖出; ②当年平均盈利总额达到最大值时,以12万元的价格卖出. 问:哪一种方案较为合算?并说明理由. 解 (1)∵客车每年的营运总收入为30万元,使用x年(x∈N*)所需的各种费用总计为(2x2+ 6x)万元,若该车x年开始盈利, 则30x>2x2+6x+50, 即x2-12x+25<0,∵x∈N*,∴3≤x≤9, ∴该车营运第3年开始盈利. (2)方案①盈利总额y=30x-(2x2+6x+50) 1 =-2x2+24x-50=-2(x-6)2+22, ∴x=6时,盈利总额达到最大值为22万元. ∴6年后卖出客车,可获利润总额为22+10=32(万元). 方案②年平均盈利总额y==-2x-+24=24-2≤4(当且仅当x=5时取等号). 2 ∴x=5时年平均盈利总额达到最大值4万元. ∴5年后卖出客车,可获利润总额为4×5+12=32(万元). ∵两种方案的利润总额一样,但方案②的时间短,∴方案②较为合算.10.(2022·保定模拟)某生物研究者于元旦在湖中放入一些凤眼莲(其覆盖面积为k),这些凤 眼莲在湖中的蔓延速度越来越快,二月底测得凤眼莲的覆盖面积为 24 m2,三月底测得凤眼 莲的覆盖面积为36 m2,凤眼莲的覆盖面积y(单位:m2)与月份x(单位:月)的关系有两个函 数模型y=kax(k>0,a>1)与y= +k(p>0,k>0)可供选择. (1)试判断哪个函数模型更合适并求出该模型的解析式; (2)求凤眼莲的覆盖面积是元旦放入凤眼莲面积 10 倍以上的最小月份.(参考数据:lg 2≈0.301 0,lg 3≈0.477 1) 解 (1)由题设可知,两个函数y=kax(k>0,a>1),y= +k(p>0,k>0)在(0,+∞)上均为 增函数, 随着x的增大,函数y=kax(k>0,a>1)的值增加得越来越快, 而函数y= +k(p>0,k>0)的值增加得越来越慢, 由于凤眼莲在湖中的蔓延速度越来越快,故而函数模型y=kax(k>0,a>1)满足要求. 由题意可得 解得k=,a=,故该函数模型的解析式为y=·x(x∈N). (2)当x=0时,y=·0=, 故元旦放入凤眼莲的面积为 m2, 由·x>10×, 即x>10, 故x> ==, 由于≈≈5.7, 故x≥6. 因此,凤眼莲覆盖面积是元旦放入凤眼莲面积10倍以上的最小月份是6月份. 11.(2022·衡阳模拟)“一骑红尘妃子笑,无人知是荔枝来”描述了封建统治者的骄奢生活, 同时也讲述了古代资源流通的不便利.如今我国物流行业蓬勃发展,极大地促进了社会经济 发展和资源整合.已知某类果蔬的保鲜时间y(单位:小时)与储藏温度x(单位:℃)满足函数 关系y=eax+b(a,b为常数),若该果蔬在6 ℃的保鲜时间为216小时,在24 ℃的保鲜时间 为8小时,那么在12 ℃时,该果蔬的保鲜时间为( ) A.72小时 B.36小时 C.24小时 D.16小时 答案 A解析 当x=6时,e6a+b=216; 当x=24时,e24a+b=8,则==27, 整理可得e6a=,于是eb=216×3=648, 当x=12时, y=e12a+b=(e6a)2·eb=×648=72. 12.(2022·南通模拟)“喊泉”是一种地下水的毛细现象,人们在泉口吼叫或发出其他声音时, 声波传入泉洞内的储水池,进而产生“共鸣”等作用,激起水波,形成涌泉,声音越大,涌 起的泉水越高.已知听到的声强I与标准声强I(I 约为10-12,单位:W/m2)之比的常用对数 0 0 称作声强的声强级,记作L(贝尔),即L=lg .取贝尔的10倍作为响度的常用单位,简称为分 贝,已知某处“喊泉”的声音强度y(分贝)与喷出的泉水高度x(m)之间满足关系式y=2x,甲、 乙两名同学大喝一声激起的涌泉的最高高度分别为70 m,60 m.若甲同学大喝一声的声强 大约相当于n个乙同学同时大喝一声的声强,则n的值约为( ) A.10 B.100 C.200 D.1 000 答案 B 解析 设甲同学的声强为I,乙同学的声强为I, 1 2 则140=10lg ,120=10lg , 两式相减即得20=10lg ,即lg =2, 从而=100,所以n的值约为100. 13.如图所示,一直角墙角,两边的长度足够长,在P处有一棵树与两墙的距离分别是a m (01时,甲走在最前面 B.当x>1时,乙走在最前面 C.当01时,丁走在最后面 D.如果它们一直运动下去,最终走在最前面的是甲 答案 CD 解析 甲、乙、丙、丁的路程f(x)(i=1,2,3,4)关于时间x(x≥0)的函数关系式分别为f(x)=2x i 1 -1,f(x)=x2,f(x)=x,f(x)=log (x+1),它们对应的函数模型分别为指数型函数模型、二 2 3 4 2 次函数模型、一次函数模型、对数型函数模型. 当x=2时,f(2)=3,f(2)=4,所以A不正确; 1 2 当x=5时,f(5)=31,f(5)=25,所以B不正确; 1 2 根据四种函数的变化特点,对数型函数的增长速度是先快后慢,又当 x=1时,甲、乙、丙、丁四个物体走过的路程相等,从而可知,当01时,丁走在最 后面,所以C正确; 指数型函数的增长速度是先慢后快,当运动的时间足够长时,最前面的物体一定是按照指数 型函数模型运动的物体,即一定是甲物体,所以D正确. 16.某公司为调动员工工作积极性拟制定以下奖励方案,要求奖金 y(单位:万元)随投资收 益x(单位:万元)的增加而增加,奖金不超过90万元,同时奖金不超过投资收益的20%.即假 定奖励方案模拟函数为y=f(x)时,该公司对函数模型的基本要求是:当x∈[25,1 600]时,① f(x)是增函数;②f(x)≤90恒成立;③f(x)≤恒成立. (1)现有两个奖励函数模型:(Ⅰ)f(x)=x+10;(Ⅱ)f(x)=2-6.试分析这两个函数模型是否符合 公司要求? (2)已知函数f(x)=a-10(a≥2)符合公司奖励方案函数模型要求,求实数a的取值范围. 解 (1)对于函数模型:(Ⅰ)f(x)=x+10,验证条件③:当x=30时,f(x)=12,而=6, 即f(x)≤不成立,故不符合公司要求; 对于函数模型:(Ⅱ)f(x)=2-6, 当x∈[25,1 600]时,条件①f(x)是增函数满足; ∴f(x) =2-6=2×40-6=74<90,满足条件②; max 对于条件③: 记g(x)=2-6-(25≤x≤1 600), 则g(x)=-(-5)2-1, ∵∈[5,40], ∴当=5时, g(x) =-(5-5)2-1=-1≤0, max ∴f(x)≤恒成立,即条件③也成立. 故函数模型: (Ⅱ)f(x)=2-6符合公司要求. (2)∵a≥2, ∴函数f(x)=a-10符合条件①; 由函数f(x)=a-10符合条件②, 得a-10=a×40-10≤90, 解得a≤; 由函数f(x)=a-10符合条件③, 得a-10≤对x∈[25,1 600]恒成立, 即a≤+对x∈[25,1 600]恒成立. ∵+≥2,当且仅当=, 即x=50时等号成立,∴a≤2, 综上所述,实数a的取值范围是.