当前位置:首页>文档>专题7.15平面直角坐标系中的几何问题(面积问题)(综合练)-(人教版)_初中数学_七年级数学下册(人教版)_专题突破练习-V4

专题7.15平面直角坐标系中的几何问题(面积问题)(综合练)-(人教版)_初中数学_七年级数学下册(人教版)_专题突破练习-V4

  • 2026-04-05 07:24:23 2026-03-25 16:29:25

文档预览

专题7.15平面直角坐标系中的几何问题(面积问题)(综合练)-(人教版)_初中数学_七年级数学下册(人教版)_专题突破练习-V4
专题7.15平面直角坐标系中的几何问题(面积问题)(综合练)-(人教版)_初中数学_七年级数学下册(人教版)_专题突破练习-V4
专题7.15平面直角坐标系中的几何问题(面积问题)(综合练)-(人教版)_初中数学_七年级数学下册(人教版)_专题突破练习-V4
专题7.15平面直角坐标系中的几何问题(面积问题)(综合练)-(人教版)_初中数学_七年级数学下册(人教版)_专题突破练习-V4
专题7.15平面直角坐标系中的几何问题(面积问题)(综合练)-(人教版)_初中数学_七年级数学下册(人教版)_专题突破练习-V4
专题7.15平面直角坐标系中的几何问题(面积问题)(综合练)-(人教版)_初中数学_七年级数学下册(人教版)_专题突破练习-V4
专题7.15平面直角坐标系中的几何问题(面积问题)(综合练)-(人教版)_初中数学_七年级数学下册(人教版)_专题突破练习-V4
专题7.15平面直角坐标系中的几何问题(面积问题)(综合练)-(人教版)_初中数学_七年级数学下册(人教版)_专题突破练习-V4
专题7.15平面直角坐标系中的几何问题(面积问题)(综合练)-(人教版)_初中数学_七年级数学下册(人教版)_专题突破练习-V4
专题7.15平面直角坐标系中的几何问题(面积问题)(综合练)-(人教版)_初中数学_七年级数学下册(人教版)_专题突破练习-V4
专题7.15平面直角坐标系中的几何问题(面积问题)(综合练)-(人教版)_初中数学_七年级数学下册(人教版)_专题突破练习-V4
专题7.15平面直角坐标系中的几何问题(面积问题)(综合练)-(人教版)_初中数学_七年级数学下册(人教版)_专题突破练习-V4
专题7.15平面直角坐标系中的几何问题(面积问题)(综合练)-(人教版)_初中数学_七年级数学下册(人教版)_专题突破练习-V4
专题7.15平面直角坐标系中的几何问题(面积问题)(综合练)-(人教版)_初中数学_七年级数学下册(人教版)_专题突破练习-V4
专题7.15平面直角坐标系中的几何问题(面积问题)(综合练)-(人教版)_初中数学_七年级数学下册(人教版)_专题突破练习-V4
专题7.15平面直角坐标系中的几何问题(面积问题)(综合练)-(人教版)_初中数学_七年级数学下册(人教版)_专题突破练习-V4
专题7.15平面直角坐标系中的几何问题(面积问题)(综合练)-(人教版)_初中数学_七年级数学下册(人教版)_专题突破练习-V4
专题7.15平面直角坐标系中的几何问题(面积问题)(综合练)-(人教版)_初中数学_七年级数学下册(人教版)_专题突破练习-V4
专题7.15平面直角坐标系中的几何问题(面积问题)(综合练)-(人教版)_初中数学_七年级数学下册(人教版)_专题突破练习-V4
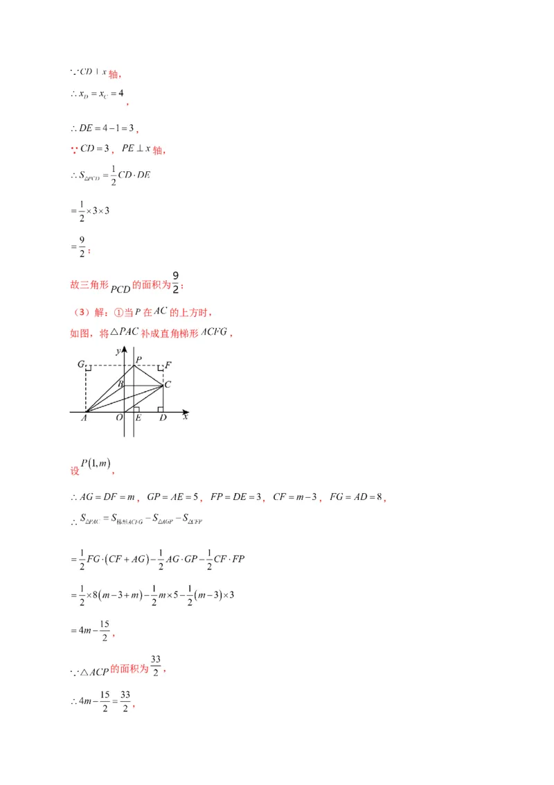
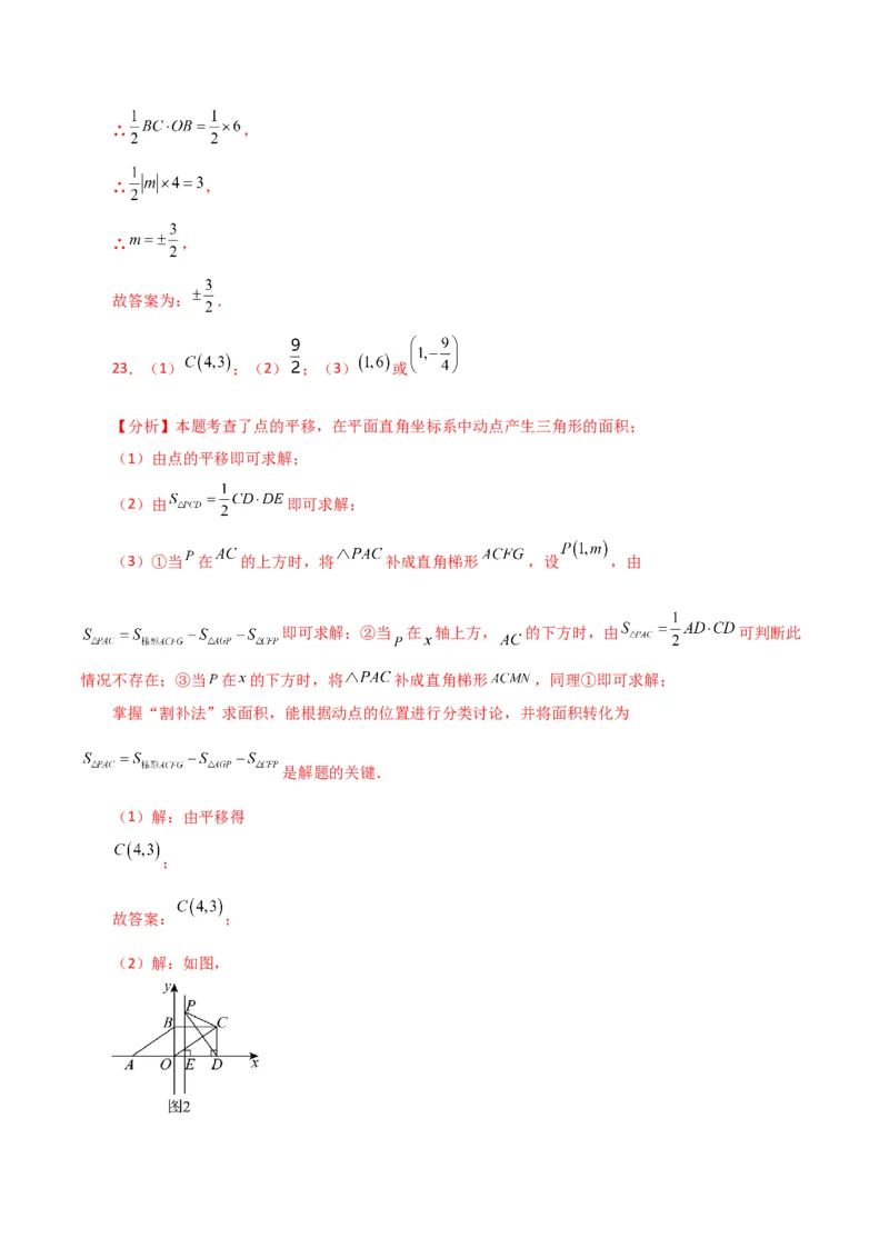
专题7.15平面直角坐标系中的几何问题(面积问题)(综合练)-(人教版)_初中数学_七年级数学下册(人教版)_专题突破练习-V4
专题7.15平面直角坐标系中的几何问题(面积问题)(综合练)-(人教版)_初中数学_七年级数学下册(人教版)_专题突破练习-V4
专题7.15平面直角坐标系中的几何问题(面积问题)(综合练)-(人教版)_初中数学_七年级数学下册(人教版)_专题突破练习-V4
专题7.15平面直角坐标系中的几何问题(面积问题)(综合练)-(人教版)_初中数学_七年级数学下册(人教版)_专题突破练习-V4
专题7.15平面直角坐标系中的几何问题(面积问题)(综合练)-(人教版)_初中数学_七年级数学下册(人教版)_专题突破练习-V4
专题7.15平面直角坐标系中的几何问题(面积问题)(综合练)-(人教版)_初中数学_七年级数学下册(人教版)_专题突破练习-V4
专题7.15平面直角坐标系中的几何问题(面积问题)(综合练)-(人教版)_初中数学_七年级数学下册(人教版)_专题突破练习-V4
专题7.15平面直角坐标系中的几何问题(面积问题)(综合练)-(人教版)_初中数学_七年级数学下册(人教版)_专题突破练习-V4

文档信息

文档格式
docx
文档大小
3.036 MB
文档页数
27 页
上传时间
2026-03-25 16:29:25

文档内容

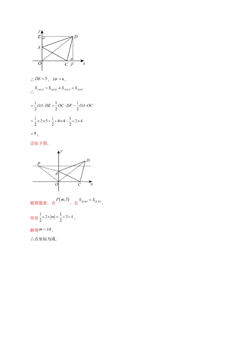
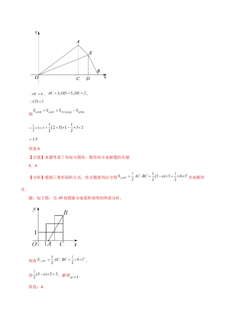
专题7.15 平面直角坐标系中的几何问题(面积问题)(综合练) 一、单选题(本大题共10小题,每小题3分,共30分) 1.(19·20七年级下·广西·期末)如图,已知三角形ABC如图所示放置在平面直角坐标系中,其中C (-4,4),则三角形ABC 的面积是( ) A.4 B.6 C.12 D.24 2.(22·23八年级上·河北承德·期中)已知 和点 两点,则直线 与坐标轴围成的三角形 的面积等于10,则 的值是( ) A. B.4 C. D. 3.(21·22七年级下·海南省直辖县级单位·期中)如图,已知: , , ,求△AOE 的面积( ) A.3.5 B.2.5 C.6 D.7 4.(21·22七年级下·辽宁葫芦岛·期中)如图,平面直角坐标系中的图案是由六个边长为1的正方形组 成的, , 是x轴上的动点,当AB将图案分成面积相等的两部分时,a等于( )A.1 B. C. D. 5.(22·23七年级下·湖北武汉·期中)如图在平而直角坐标系中,点 ,点 ,点 , 则三角形 的面积是( ) A. B. C. D. 6.(23·24八年级上·安徽亳州·阶段练习)已知点 , ,点 在 轴上,且三角形 的 面积是 ,则点 的坐标是( ) A. B. C. 或 D. 或 7.(2018·河北张家口·一模)如图,正方形OABC对角线交点为D,过D的直线分别交AB,OC于E, F,已知点E关于y轴的对称点坐标为(﹣ ,2),则图中阴影部分的面积是( )A.1 B.2 C.3 D.4 8.(19·20七年级下·北京大兴·期末)已知点 , ,点 在 轴上,且三角形 的面积是 3,则点 的坐标是( ) A. B. C. 或 D. 或 9.(2020八年级上·全国·专题练习)如图,平面直角坐标系中 的面积是( ) A.2 B.4 C.8 D.6 10.(22·23八年级上·河南郑州·期中)如图, 、 、 、 ,点P在x轴上, 直线 将四边形 面积分成 两部分,求 的长度( ). A. B. C. D. 或 二、填空题(本大题共8小题,每小题4分,共32分) 11.(15·16八年级上·山东滨州·阶段练习)如图,A,B两点的坐标分别是 ,则 的面积是 .12.(23·24八年级上·安徽滁州·阶段练习)如图,在平面直角坐标系中,点 ,点 , 点在第四象限,线段 轴,且 .在第二象限有点 . (1)点C的坐标为 ; (2)当四边形 的面积与三角形 的面积相等时,m的值为 . 13.(22·23七年级下·山西临汾·期中)如图, , , , ,点P在x轴上, 直线 平分四边形 的面积,则 的长为 . 14.(21·22七年级下·湖北咸宁·期末)平面直角坐标系 中,点 ,点C在y轴上, 若 的面积是2,则点C的坐标为 . 15.(21·22七年级下·江西南昌·期末)在平面直角坐标系中,有点A(2,4),点B(0,2),若在 坐标轴上有一点C(不与点B重合),使三角形AOC和三角形AOB面积相等,则点C的坐标为. 16.(23·24九年级上·湖南衡阳·阶段练习)如图,在平面直角坐标系中,已知 三点,其中m,n满足关系式 .若在第二象限内有一点 ,使四边形 的面积与三角形 的面积之比为 ,则点P的坐标为 . 17.(22·23七年级下·湖北孝感·期中)在平面直角坐标系中, , , ,则三角 形 的面积是______. 18.(22·23八年级下·四川达州·期中)如图,在平面直角坐标系中,点A在y轴正半轴上,点B在x 轴正半轴上, , ,点C是第一象限内一点且 轴,将线段 经过一定的平移得到线段 ,点A的对应点为点D,点B的对应点为点C,连接 , ,点P为y轴上一动点,当 时,点P的坐标为 .(注: 表示 的面积) 三、解答题(本大题共6小题,共58分) 19.(8分)(22·23七年级下·湖南长沙·期末)在边长为 的正方形网格中建立平面直角坐标系, 位置如图.(1)请写出 , , 三点的坐标; (2)将 向右平移 个单位长度,再向上平移 个单位长度得到 ,请在图中作出平移后的 三角形,并写出点 的坐标; (3)求出 的面积. 20.(8分)(20·21七年级下·黑龙江黑河·期末)如图写出在边长为1的单元方格中 各顶点的 坐标且求出此三角形的面积. 21.(10分)(23·24八年级上·甘肃兰州·期中)坐标平面内有4个点: , , , .(1)建立坐标系,描出这4个点,顺次连接A,B,C,D,组成四边形 ; (2)求四边形 的面积. 22.(10分)(21·22八年级上·河北石家庄·期末)如图,在平面直角坐标系中,线段 的端点坐标 为点 ,点 . (1) 的面积为 ; (2)点C坐标为 , 的面积等于 的面积的一半,则m的值为 . 23.(10分)(21·22七年级上·黑龙江哈尔滨·期末)如图1:在平面直角坐标系内,O为坐标原点, 线段 两端点在坐标轴上且点 ,点 ,将 向右平移4个单位长度至 的位置. (1)直接写出点C的坐标______; (2)如图2,过点C作 轴于点D,在x轴正半轴有一点 ,过点E作x轴的垂线,在垂线 上有一动点P,求三角形 的面积; (3)如图3,在(2)的条件下,连接 ,当 的面积为 时,求点P的坐标.24.(12分)(2024七年级下·全国·专题练习)在平面直角坐标系中,O为原点,点 , , . (1)如图①,则三角形 的面积为 ; (2)如图②,将点B向右平移7个单位长度,再向上平移4个单位长度,得到对应点D. ①求三角形 的面积; ②点 是一动点,若 的面积等于 的面积.请直接写出点P坐标. 参考答案: 1.C 【分析】作CD⊥x轴于D,分别求出AB=6,CD=4,根据三角形面积公式即可求解. 解:如图,作CD⊥x轴于D, 由图形得AB=6, ∵点C坐标为(-4,4),CD⊥x轴于D,∴CD=4, ∴ . 故选:C 【点拨】本题考查了平面直角坐标系点的坐标,理解平面直角坐标系中点的坐标的意义是解题关键. 2.C 【分析】根据三角形的面积公式和已知条件列等量关系式求解即可. 解:假设直角坐标系的原点为O,则直线 与坐标轴围成的三角形是以 、 为直角边的直角三 角形, ∵ 和点 , ∴ , , ∴ , ∴ , ∴ . 故选:C 【点拨】本题主要考查了三角形的面积和直角坐标系的相关知识,需注意坐标轴上到一个点的距离为 定值的点有2个. 3.A 【分析】根据点的坐标,求得 ,根据 进行计算即可 求解. 解: , , ,, , 则 故选A 【点拨】本题考查了坐标与图形,数形结合是解题的关键. 4.A 【分析】根据三角形面积公式,结合题意列出方程 并求解即 可. 解:如下图,当AB将图案分成面积相等的两部分时, 则有 , 即 ,解得 . 故选:A.【点拨】本题主要考查了坐标与图形的性质,根据题意列出方程是解题关键. 5.A 【分析】根据坐标系,利用梯形的面积减去多余三角形的面积即可求解. 解:如图所示,过点 作 轴,过点 分别作 垂直于 ,垂足为点 , ∵ , , , ∴ , ,则 ∴三角形 的面积是 故选:A. 【点拨】本题考查了坐标与图形,数形结合是解题的关键. 6.D 【分析】根据三角形的面积求出 的长,再分点 在点 的左边与右边两种情况讨论求解. 解: 点 , , 解得 , 若点 在点 的左边,则 ,此时,点 的坐标为 , 若点 在点 的右边,则 , 此时,点 的坐标为 , 综上所述,点 的坐标为 或 , 故选:D. 【点拨】本题考查了坐标与图形性质,三角形的面积,难点在于分情况讨论,作出图形更形象直观. 7.B 解:试题解析:由“E关于y轴的对称点坐标为(- ,2)”,可得出点E的坐标为( ,2),根据 ABCO是正方形,那么A点坐标为(0,2),B点坐标为(2,2),C点坐标为(2,0). ∵AB∥OC, ∴∠BAC=∠OCA, 又∵DA=DC,∠ADE=∠CDF, ∴△ADE≌△CDF, ∴S =S , ADE CDF △ △ ∴阴影部分的面积=三角形OCB的面积,即为:2×2÷2=2. 故选B. 8.D 【分析】根据三角形的面积求出AP的长,再分点P在点A的左边与右边两种情况讨论求解. 解:∵点B(0,2), ∴S = AP×2=3, PAB △ 解得AP=3,若点P在点A的左边,则OP=AP-OA=3-1=2,如图, 此时,点P的坐标为(-2,0), 过点P在点A的右边,则OP=AP+OA=3+1=4, 此时,点P的坐标为(4,0), 综上所述,点P的坐标为(4,0)或(-2,0), 故选:D. 【点拨】本题考查了坐标与图形性质,三角形的面积,难点在于分情况讨论,作出图形更形象直观. 9.B 【分析】根据图形可知,OA=2,BC=4,再由三角形的面积公式,即可求出答案. 解:由图可知, , , ∴ ; 故选:B. 【点拨】本题考查了平面直角坐标系中,两点之间的距离,解题的关键正确求出BC和OA的长度. 10.B 【分析】用分割法求出四边形的面积,分类讨论求出 的面积,再求出 的值,进而可得 的值. 解:作 轴于点P,∵ 、 、 、 , ∴ , ∴ , , , , ∴ , ∴ , ①当 即 时, 即 ,解得: , ∴ ; ②当 即 时, 即 ,解得: , ∴ ; 综上可知 . 故选:B. 【点拨】本题考查了坐标与图形的性质,三角形的面积,根据坐标与图形的性质,用分割法求出不规 则图形的面积,分类讨论是解本题的关键. 11.2 【分析】本题考查了坐标与图形性质及三角形的面积的求法,根据点的坐标得出三角形的高和底的长 是解题的关键. 解: , 故答案为: . 12.【分析】本题考查坐标与图形、解一元一次方程. (1)直接根据点C的位置写坐标; (2)根据题中等量关系解关于m的方程即可解答. 解:(1)由图可知,点C的坐标为 , 故答案为: ; (2)由图可知, , , 四边形 的面积为 ; ∵四边形 的面积与三角形 的面积相等, ∴ , 解得: . 故答案为: . 13.3 【分析】作 轴,根据四边形 的面积 求得四边形的面积,设点 ,则 ,由直线 平分四边形 的面积列出方程求解可得. 解:过点C作 轴于点E, ∵ , , , , ∴ , ∴四边形 的面积 ,设点 , 则 , ∵直线 平分四边形 的面积, ∴ , ∴ , ∴ , ∴ . 故答案为:3. 【点拨】本题考查坐标与图形的性质,熟练掌握割补法求四边形的面积及由分割的面积间的关系列出 方程是解题的关键. 14. 或 【分析】设C点坐标为(0,t),利用三角形面积公式得到 ×2×|t|=2,然后解方程求出t,从而得到 C点坐标. 解:设C点坐标为(0, t), ∵点A(-3,0),B(-1,0), ∴ AB= -1-(-3) = 2, ∵△ABC的面积是2, ×2×|t|=2, 解得t = 2或t= -2, ∴C点坐标为(0, 2)或(0, -2). 故答案为:(0, 2)或(0,-2). 【点拨】本题考查了三角形的面积:三角形的面积等于底边长与高线乘积的一半,即S= ×底×高, 也考查了坐标与图形性质,利用数形结合思想是解题的关键. 15.(1,0),(﹣1,0),(0,﹣2) 【分析】根据题意点C的位置可分当点C在x轴上时和当点C在y轴上时两种情况进行讨论,从而根 据三角形的面积公式列式,进而求得OC,得出点C的坐标.解:根据题意可知三角形AOB面积S AOB= ×OB×|x | = ×2×2=2, A △ 当点C在x轴上时, ∵S AOC=S AOB, △ △ ∴ ×OC×|y | = ×OC×4=2, A 解得OC=1, ∴点C的坐标为(1,0),(-1,0); 当点C在y轴上时, ∵S AOC=S AOB, △ △ ∴ ×OC×|x |= ×OC×2=2, A ∴OC=2, 又点C不与点B重合, ∴点C坐标为(0,-2). 综上所述,点C的坐标为(1,0),(-1,0),(0,-2). 故答案为:(1,0),(-1,0),(0,-2). 【点拨】本题考查三角形的面积及坐标与图形性质,解题的关键是根据题意分两种情况进行讨论(当点C在x轴上时和当点C在y轴上时),根据三角形的面积公式求得OC,再得出点C的坐标,也可以适 当的画草图进行分析. 16. 【分析】根据 求 ,再由 即可求解; 解:∵ , ∴ , ∴ , ∴ , ∴ , ∵ , ∴ , ∴ , ∴ , 故答案为: . 【点拨】本题主要考查算术平方根的非负性,坐标与图形,掌握相关知识是解题的关键. 17. 【分析】建立平面直角坐标系,然后用补形法求出三角形 的面积即可. 解:因为 , , ,建立平面直角坐标系如下图所示:所以 的面积 , 故答案为: . 【点拨】本题考查了用割补法求三角形的面积以及平面直角坐标系,正确掌握割补法求面积是解题的 关键. 18. 或 . 【分析】根据三角形的面积求出 ,然后利用平移的性质可求点D坐标,由三角形的面积公式可 求解. 解:如图,过点D作 于点E,在y轴取点P,连接 , ∵ 轴,将线段 经过一定的平移得到线段 , , ∴ , ∵ , ∴ , ∴ , ∴点 , ∵将线段 进行适当的平移得到线段 , ,∴ , ∴点 , ∵ , ∴ , ∴ , ∵点 , ∴ 或 . 故答案为: 或 . 【点拨】本题考查了作图-平移变换,平面直角坐标系,三角形面积公式,坐标的平移等知识,掌握平 移的性质是解题的关键. 19.(1) , , ;(2)图形见分析, ;(3) 【分析】(1)过点 分别向 轴和 轴作垂线,垂线与 轴的交点在 轴上的坐标为点 的横坐标, 垂线与 轴的交点在 轴上的坐标为点 的纵坐标,同理可得点 , 的坐标. (2) 由三个顶点 , , 确定,将三个顶点 , , 均向右平移 个单位长度,再向上平 移 个单位长度即可得到三个顶点平移的对应点 , , ,顺次连接对应点 , , 即可得到 . (3)根据矩形的面积公式及三角形的面积公式求解即可. 解:(1)过点 分别向 轴和 轴作垂线,垂线与 轴的交点在 轴上的坐标为 ,垂线与 轴的交 点在 轴上的坐标为 ,所以点 的坐标为 . 同理,可得点 的坐标为 ,点 的坐标为 . (2)如图,将三个顶点 , , 均向右平移 个单位长度,再向上平移 个单位长度即可得到平移 的对应点 , , ,顺次连接对应点 , , 即可得到 .点 的坐标为 . (3) . 【点拨】本题主要考查平面直角坐标系和图形平移的性质,牢记求平面直角坐标系中点的坐标的方法 和图形平移的性质是解题的关键. 20.点A的坐标为(2,2);点B的坐标为(-2,-1);点C的坐标为(3,-2);三角形面积为 . 【分析】根据图中的坐标系和边长为1直接写出坐标即可;利用面积和差求出三角形面积即可. 解:如图所示,点A的坐标为(2,2);点B的坐标为(-2,-1);点C的坐标为(3,-2);. 的面积= . 【点拨】本题考查了图形与坐标,解题关键是树立数形结合思想,准确写出点的坐标,会用面积和差 求三角形面积. 21.(1)图形见分析;(2)四边形 的面积等于6. 【分析】本题考查了坐标与图形,数形结合是解题的关键. (1)根据题意,画出坐标系,然后描点即可求解; (2)根据四边形 的面积等于 即可求解. (1)解:如图所示,(2)解:四边形 的面积等于 . 22.(1)6;(2) 【分析】本题主要考查了坐标与图形: (1)根据A、B的坐标得到 ,再根据三角形面积计算公式求解即可; (2)根据B、C的坐标可知 轴,且 ,根据 的面积等于 的面积的一半,可 得 ,解方程即可得到答案. (1)解:∵ , , ∴ , ∴ , 故答案为:6; (2)解:∵点C坐标为 , , ∴ 轴,且 , ∵ 的面积等于 的面积的一半,∴ , ∴ , ∴ , 故答案为: . 23.(1) ;(2) ;(3) 或 【分析】本题考查了点的平移,在平面直角坐标系中动点产生三角形的面积; (1)由点的平移即可求解; (2)由 即可求解; (3)①当 在 的上方时,将 补成直角梯形 ,设 ,由 即可求解;②当 在 轴上方, 的下方时,由 可判断此 情况不存在;③当 在 的下方时,将 补成直角梯形 ,同理①即可求解; 掌握“割补法”求面积,能根据动点的位置进行分类讨论,并将面积转化为 是解题的关键. (1)解:由平移得 ; 故答案: ; (2)解:如图,轴, , , ∵ , 轴, ; 故三角形 的面积为 ; (3)解:①当 在 的上方时, 如图,将 补成直角梯形 , 设 , , , , , , , 的面积为 , ,解得: , ; ②当 在 轴上方, 的下方时, , 此种情况不存在; ③当 在 的下方时, 如图,将 补成直角梯形 , 设 , , , , , , ,的面积为 , , 解得: , ; 综上所述:点P的坐标为 或 . 24.(1)6;(2)①9;② 或 . 【分析】本题考查了坐标与图形、点的平移、绝对值方程等知识,掌握运用数形结合的思想分析解决 问题是解题关键. (1)根据题意得出 , , ,然后根据三角形面积公式直接计算即可; (2)①连接 ,过点 作 轴于点 ,过点 作 轴于点 ,由平移的性质可得点 坐标,根据 进行计算即可得到答案;②根据 的面积等于 的面积, 求解即可. (1)解:∵ , , , ∴ , , , ∴ , ∴ . 故答案为:6; (2)解: ①连接 ,过点 作 轴于点 ,过点 作 轴于点 , 将点 向右平移7个单位长度,再向上平移4个单位长度,得到对应点 坐标为∴ , , ∴ ; ②如下图, 根据题意,点 ,且 , 即有 , 解得 , ∴点坐标为或.