当前位置:首页>文档>专题03三角函数的图象与性质(零点或根的问题)(典型题型归类训练)(解析版)_02高考数学_2025年新高考资料_专项复习_解题思路训练2025年高考数学复习解答题提优秘籍(新高考专用)

专题03三角函数的图象与性质(零点或根的问题)(典型题型归类训练)(解析版)_02高考数学_2025年新高考资料_专项复习_解题思路训练2025年高考数学复习解答题提优秘籍(新高考专用)

  • 2026-04-07 14:47:24 2026-04-07 14:44:59

文档预览

专题03三角函数的图象与性质(零点或根的问题)(典型题型归类训练)(解析版)_02高考数学_2025年新高考资料_专项复习_解题思路训练2025年高考数学复习解答题提优秘籍(新高考专用)
专题03三角函数的图象与性质(零点或根的问题)(典型题型归类训练)(解析版)_02高考数学_2025年新高考资料_专项复习_解题思路训练2025年高考数学复习解答题提优秘籍(新高考专用)
专题03三角函数的图象与性质(零点或根的问题)(典型题型归类训练)(解析版)_02高考数学_2025年新高考资料_专项复习_解题思路训练2025年高考数学复习解答题提优秘籍(新高考专用)
专题03三角函数的图象与性质(零点或根的问题)(典型题型归类训练)(解析版)_02高考数学_2025年新高考资料_专项复习_解题思路训练2025年高考数学复习解答题提优秘籍(新高考专用)
专题03三角函数的图象与性质(零点或根的问题)(典型题型归类训练)(解析版)_02高考数学_2025年新高考资料_专项复习_解题思路训练2025年高考数学复习解答题提优秘籍(新高考专用)
专题03三角函数的图象与性质(零点或根的问题)(典型题型归类训练)(解析版)_02高考数学_2025年新高考资料_专项复习_解题思路训练2025年高考数学复习解答题提优秘籍(新高考专用)
专题03三角函数的图象与性质(零点或根的问题)(典型题型归类训练)(解析版)_02高考数学_2025年新高考资料_专项复习_解题思路训练2025年高考数学复习解答题提优秘籍(新高考专用)
专题03三角函数的图象与性质(零点或根的问题)(典型题型归类训练)(解析版)_02高考数学_2025年新高考资料_专项复习_解题思路训练2025年高考数学复习解答题提优秘籍(新高考专用)
专题03三角函数的图象与性质(零点或根的问题)(典型题型归类训练)(解析版)_02高考数学_2025年新高考资料_专项复习_解题思路训练2025年高考数学复习解答题提优秘籍(新高考专用)
专题03三角函数的图象与性质(零点或根的问题)(典型题型归类训练)(解析版)_02高考数学_2025年新高考资料_专项复习_解题思路训练2025年高考数学复习解答题提优秘籍(新高考专用)
专题03三角函数的图象与性质(零点或根的问题)(典型题型归类训练)(解析版)_02高考数学_2025年新高考资料_专项复习_解题思路训练2025年高考数学复习解答题提优秘籍(新高考专用)
专题03三角函数的图象与性质(零点或根的问题)(典型题型归类训练)(解析版)_02高考数学_2025年新高考资料_专项复习_解题思路训练2025年高考数学复习解答题提优秘籍(新高考专用)
专题03三角函数的图象与性质(零点或根的问题)(典型题型归类训练)(解析版)_02高考数学_2025年新高考资料_专项复习_解题思路训练2025年高考数学复习解答题提优秘籍(新高考专用)
专题03三角函数的图象与性质(零点或根的问题)(典型题型归类训练)(解析版)_02高考数学_2025年新高考资料_专项复习_解题思路训练2025年高考数学复习解答题提优秘籍(新高考专用)
专题03三角函数的图象与性质(零点或根的问题)(典型题型归类训练)(解析版)_02高考数学_2025年新高考资料_专项复习_解题思路训练2025年高考数学复习解答题提优秘籍(新高考专用)
专题03三角函数的图象与性质(零点或根的问题)(典型题型归类训练)(解析版)_02高考数学_2025年新高考资料_专项复习_解题思路训练2025年高考数学复习解答题提优秘籍(新高考专用)
专题03三角函数的图象与性质(零点或根的问题)(典型题型归类训练)(解析版)_02高考数学_2025年新高考资料_专项复习_解题思路训练2025年高考数学复习解答题提优秘籍(新高考专用)
专题03三角函数的图象与性质(零点或根的问题)(典型题型归类训练)(解析版)_02高考数学_2025年新高考资料_专项复习_解题思路训练2025年高考数学复习解答题提优秘籍(新高考专用)
专题03三角函数的图象与性质(零点或根的问题)(典型题型归类训练)(解析版)_02高考数学_2025年新高考资料_专项复习_解题思路训练2025年高考数学复习解答题提优秘籍(新高考专用)
专题03三角函数的图象与性质(零点或根的问题)(典型题型归类训练)(解析版)_02高考数学_2025年新高考资料_专项复习_解题思路训练2025年高考数学复习解答题提优秘籍(新高考专用)
专题03三角函数的图象与性质(零点或根的问题)(典型题型归类训练)(解析版)_02高考数学_2025年新高考资料_专项复习_解题思路训练2025年高考数学复习解答题提优秘籍(新高考专用)
专题03三角函数的图象与性质(零点或根的问题)(典型题型归类训练)(解析版)_02高考数学_2025年新高考资料_专项复习_解题思路训练2025年高考数学复习解答题提优秘籍(新高考专用)
专题03三角函数的图象与性质(零点或根的问题)(典型题型归类训练)(解析版)_02高考数学_2025年新高考资料_专项复习_解题思路训练2025年高考数学复习解答题提优秘籍(新高考专用)
专题03三角函数的图象与性质(零点或根的问题)(典型题型归类训练)(解析版)_02高考数学_2025年新高考资料_专项复习_解题思路训练2025年高考数学复习解答题提优秘籍(新高考专用)
专题03三角函数的图象与性质(零点或根的问题)(典型题型归类训练)(解析版)_02高考数学_2025年新高考资料_专项复习_解题思路训练2025年高考数学复习解答题提优秘籍(新高考专用)
专题03三角函数的图象与性质(零点或根的问题)(典型题型归类训练)(解析版)_02高考数学_2025年新高考资料_专项复习_解题思路训练2025年高考数学复习解答题提优秘籍(新高考专用)
专题03三角函数的图象与性质(零点或根的问题)(典型题型归类训练)(解析版)_02高考数学_2025年新高考资料_专项复习_解题思路训练2025年高考数学复习解答题提优秘籍(新高考专用)
专题03三角函数的图象与性质(零点或根的问题)(典型题型归类训练)(解析版)_02高考数学_2025年新高考资料_专项复习_解题思路训练2025年高考数学复习解答题提优秘籍(新高考专用)
专题03三角函数的图象与性质(零点或根的问题)(典型题型归类训练)(解析版)_02高考数学_2025年新高考资料_专项复习_解题思路训练2025年高考数学复习解答题提优秘籍(新高考专用)
专题03三角函数的图象与性质(零点或根的问题)(典型题型归类训练)(解析版)_02高考数学_2025年新高考资料_专项复习_解题思路训练2025年高考数学复习解答题提优秘籍(新高考专用)
专题03三角函数的图象与性质(零点或根的问题)(典型题型归类训练)(解析版)_02高考数学_2025年新高考资料_专项复习_解题思路训练2025年高考数学复习解答题提优秘籍(新高考专用)
专题03三角函数的图象与性质(零点或根的问题)(典型题型归类训练)(解析版)_02高考数学_2025年新高考资料_专项复习_解题思路训练2025年高考数学复习解答题提优秘籍(新高考专用)
专题03三角函数的图象与性质(零点或根的问题)(典型题型归类训练)(解析版)_02高考数学_2025年新高考资料_专项复习_解题思路训练2025年高考数学复习解答题提优秘籍(新高考专用)
专题03三角函数的图象与性质(零点或根的问题)(典型题型归类训练)(解析版)_02高考数学_2025年新高考资料_专项复习_解题思路训练2025年高考数学复习解答题提优秘籍(新高考专用)
专题03三角函数的图象与性质(零点或根的问题)(典型题型归类训练)(解析版)_02高考数学_2025年新高考资料_专项复习_解题思路训练2025年高考数学复习解答题提优秘籍(新高考专用)
专题03三角函数的图象与性质(零点或根的问题)(典型题型归类训练)(解析版)_02高考数学_2025年新高考资料_专项复习_解题思路训练2025年高考数学复习解答题提优秘籍(新高考专用)
专题03三角函数的图象与性质(零点或根的问题)(典型题型归类训练)(解析版)_02高考数学_2025年新高考资料_专项复习_解题思路训练2025年高考数学复习解答题提优秘籍(新高考专用)
专题03三角函数的图象与性质(零点或根的问题)(典型题型归类训练)(解析版)_02高考数学_2025年新高考资料_专项复习_解题思路训练2025年高考数学复习解答题提优秘籍(新高考专用)
专题03三角函数的图象与性质(零点或根的问题)(典型题型归类训练)(解析版)_02高考数学_2025年新高考资料_专项复习_解题思路训练2025年高考数学复习解答题提优秘籍(新高考专用)
专题03三角函数的图象与性质(零点或根的问题)(典型题型归类训练)(解析版)_02高考数学_2025年新高考资料_专项复习_解题思路训练2025年高考数学复习解答题提优秘籍(新高考专用)
专题03三角函数的图象与性质(零点或根的问题)(典型题型归类训练)(解析版)_02高考数学_2025年新高考资料_专项复习_解题思路训练2025年高考数学复习解答题提优秘籍(新高考专用)
专题03三角函数的图象与性质(零点或根的问题)(典型题型归类训练)(解析版)_02高考数学_2025年新高考资料_专项复习_解题思路训练2025年高考数学复习解答题提优秘籍(新高考专用)

文档信息

文档格式
docx
文档大小
2.181 MB
文档页数
38 页
上传时间
2026-04-07 14:44:59

文档内容

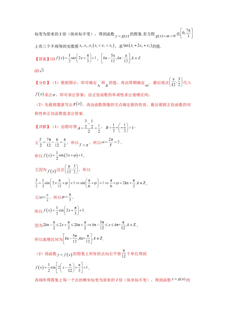
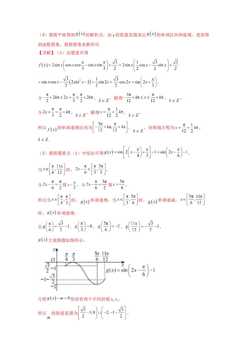
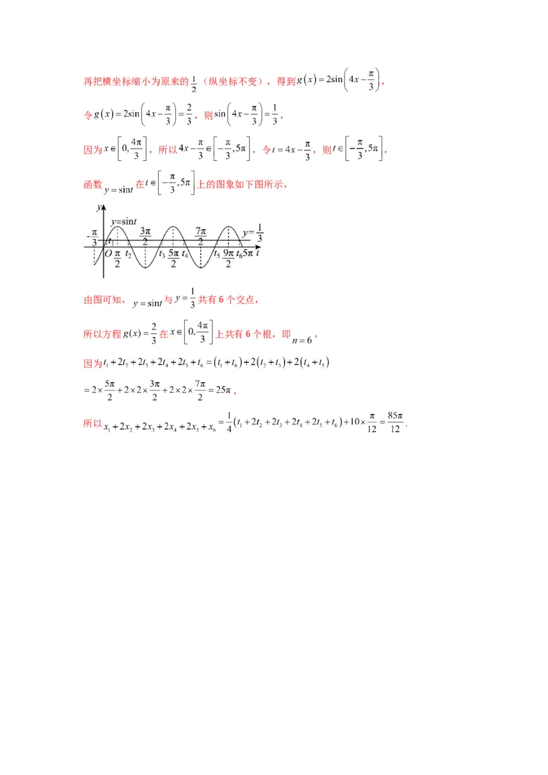
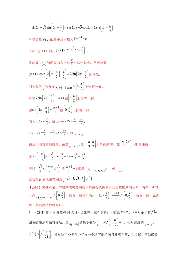
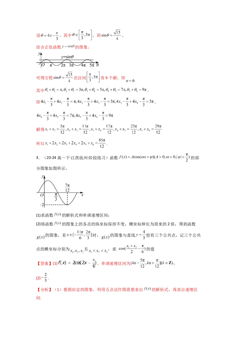
专题 03 三角函数的图象与性质 (零点或根的问题)(典型题型归类训练) 目录 一、必备秘籍..............................................1 二、典型题型..............................................1 题型一:已知根(零点)的个数求参数.....................1 题型二:零点(根)的代数和问题........................10 三、专项训练.............................................20 一、必备秘籍 实根问题,换元法令 将函数 化简为 , 在利用正弦函数 的图象来解决交点(根,零点)的问题. 二、典型题型 题型一:已知根(零点)的个数求参数 1.(23-24高一下·辽宁沈阳·阶段练习)已知函数 ,将函数 向右平移 个单位得到的图像关于 轴对称且当 时, 取得最大值. (1)求函数 的解析式:(2)将函数 图象上所有的点向右平移 个单位长度,得到函数 的图象,若 ,且 ,求 的值. (3)方程 在 上有4个不相等的实数根,求实数 的取值范 围. 【答案】(1) ; (2) ; (3) . 【分析】(1)求出平移后的函数解析式,结合正弦函数的图象得到 ,求出 的值并检验即得; (2)依题求出 解析式,将 看成整体角 ,结合正弦函数的图象发现 在区间 上的单调性和对称性,利用其得出 ,代入求解即得; (3)设 ,依题求得 ,结合 在 上的图象,将“方程 在 上有4个不相等的实数根”转化成“关于 的方程 在 上有两个不等的实根”,最后利用二次函数的图象列出关于参 数 的不等式组,求解即得. 【详解】(1)因 ,依题意 的图像关于 轴对称,则有 ,即 , 而 ,即有 或 .当 时, ,符合要求;当 时, ,不符合要求, 故函数 的解析式是 .(2)由图象平移可得 ,若 ,则 , 而 在区间 上递减,在区间 上递增,显然两侧关于直线 对称, 若 且 ,则 ,可得 , 故 . (3) 由(1),令 ,由 可得 则 , 由题意,关于 的方程 有两个不等的实根 , 且 与 在 上均有两个不等的实根, 当 时, 的图象如图所示,故 , 此时关于 的方程 在 上有两个不等的实根, 令 ,则 即 解得 故实数 的取值范围 . 【点睛】关键点点睛:本题主要考查正弦型函数的图象性质在零点上的应用,属于难题. 解题的关键在于要有整体角换元思想,运用好数形结合的方法,有效将方程的根的问题转化为函数图象的交点问题,充分发挥三角函数图象在对称性,单调性等方面的作用. 2.(23-24高一下·湖南邵阳·阶段练习)已知函数 ,其中 , , . (1)求函数 的最小正周期和对称轴; (2)求函数 在 上的单调递减区间; (3)已知函数 在 上存在零点,求实数 的取值范围. 【答案】(1)最小正周期为: ;对称轴为: , (2) (3) 【分析】(1)先根据数量积的坐标公式及三角恒等变换化一,再根据正弦函数的周期性和 对称性即可得解; (2)根据正弦函数的单调性求解即可; (3)函数 在 上存在零点,分离参数可得 在 上有解,令 ,再结合二次函数的性 质即可得解. 【详解】(1) , 由 ,则 的最小正周期为 , 令 , ,解得 , , 即对称轴为 , ; (2)由(1)知 ,设 , ,所以 , 又 在 的单调递减区间是 , 由 ,得 , 所以 在 上的单调递减区间是 ; (3)由(2)知 , 所以 , 函数 在 上存在零点, 即 在 上有解, 因为 ,所以 , 所以 , 令 , , 则 , 所以 ,解得 , 所以实数 的取值范围为 . 【点睛】方法点睛:求函数 在区间 上值域的一般步骤: 第一步:三角函数式的化简,一般化成形如 的形式或 的形式; 第二步:由 的取值范围确定 的取值范围,再确定 (或 )的 取值范围; 第三步:求出所求函数的值域(或最值). 3.(23-24高一下·广东中山·阶段练习)已知函数. (1)求函数的对称中心与对称轴; (2)当 时,求函数 的单调递增区间; (3)将函数 的图象向左平移 个单位后,所得图象对应的函数为 .若关于 的方程 在区间 上有两个不相等的实根,求实数 的取值范围. 【答案】(1)对称中心为 ;对称轴为 ; (2) 和 ; (3) 或 . 【分析】(1)将原函数恒等变换化简后再利用正弦函数的对称轴和对称中心解出即可; (2)利用正弦函数的对称区间解出即可; (3)先将函数平移变换后再结合正弦函数的对称性把问题转化为方程 在 上仅有一个实根,然后令 结合二次函数的性质解出即可. 【详解】(1)∵ , 令 ,解得 , 所以对称轴为 ; 令 ,解得 , 所以对称中心为 . (2)由(1)得 ,令 , 得 , 又因为 , 所以 的单调递增区间为 和 . (3)将 的图象向左平移 个单位后,得 ,又因为 ,则 , 的函数值从0递增到1,又从1递减回0. 令 ,则 , 依题意得 在 上仅有一个实根. 令 ,因为 , 则需 或 , 解得 或 . 4.(23-24高一下·河北张家口·阶段练习)已知函数 . (1)求函数 的最大值及取最大值时x的取值集合; (2)求函数 的单调递增区间; (3)已知函数 在 上存在零点,求实数a的取值范围. 【答案】(1)最大值 , (2) (3) 【分析】(1)(2)先利用三角公式化简,然后利用正弦函数的性质求解; (3)构造方程 ,求出 的范围,即为 的范围,进而可得实数a的取值范围. 【详解】(1)由已知 , 令 ,得 ,即 , 所以函数 的最大值为 ,且取最大值时x的集合为 (2)令 , 解得 , 即函数 的单调递增区间为 ; (3)当 , , 此时 ,即 , 令 ,得 在 上存在零点, 令 , 即 在 上存在零点, 又当 时, 所以 ,解得 . 5.(23-24高一下·云南昆明·阶段练习)已知函数 . (1)求函数 的最小正周期; (2)若 ,求 的最值及取最值时 的值; (3)若函数 在 内有且只有一个零点,求实数 的取值范围. 【答案】(1) ; (2)最小值为0,此时 ;最大值为3,此时 ;(3) . 【分析】(1)由三角恒等变换化简后,由正弦型函数的周期公式求解; (2)根据自变量取值范围,整体换元后利用正弦函数的图象与性质求最值; (3)转化为函数 交点只有一个,根据正弦函数图象与性质确定 范围. 【详解】(1) , 故函数 的最小正周期为 . (2)由(1)知 , 因为 ,所以 , 令 ,则 ,函数 在区间 上单调递增,在区间 上单 调递减, 所以 ,即 时,函数 有最小值,最小值为 . 当 ,即 ,函数 有最大值,最大值为 . 综上 的最小值为0,此时 ;最大值为3,此时 . (3)因为函数 在 内有且只有一个零点, 所以 在 只有一个实根, 即 ,即 , 即函数 在 的图象在与直线 只有一个交点, 当 时, , 令 ,则 在区间 的图象与直线 只有一个交点时, 即 ,解得 .6.(2024·上海金山·二模)已知函数 ,记 , , , . (1)若函数 的最小正周期为 ,当 时,求 和 的值; (2)若 , ,函数 有零点,求实数 的取值范围. 【答案】(1) , (2) 【分析】(1)利用三角函数的周期公式求得 ,再利用三角函数的值域与周期性求得 , 从而得解; (2)根据题意,利用换元法将问题转化为 在 有解,从而利用参变分 离法或二次函数根的布分即可得解. 【详解】(1)因为函数 的最小正周期 ,所以 , 则当 时, , 所以 ,得 , 因为 ,所以取 得 , (2)解法一: 当 , 时, , , 设 , 由题意得, 在 有解,化简得 , 又 在 上单调递减, 所以 ,则 . 解法二: 当 , 时, , , 设 , 由题意得, 在 有解, 记 ,对称轴为 ,则由根的分布可得 ,即 ,解得 , 所以 . 题型二:零点(根)的代数和问题 1.(23-24高一下·湖北·阶段练习)函数 ( , , )的 部分图像如图所示. (1)求函数 的解析式; (2)求函数 的单调递增区间; (3)将函数 的图像上的各点的纵坐标保持不变,横坐标伸长为原来的2倍,得到函数 的图像,若 时, 的图像与直线 恰有三个公共点,记三个公 共点的横坐标分别为 , , 且 ,求 的值. 【答案】(1) (2) (3) 【分析】(1)根据函数的最低点求得 的值,根据图象得到函数的周期,并求得 的值, 代入点 求得 的值.由此求得函数的解析式; (2)利用余弦函数的性质,即可求出函数 的单调增区间; (3)令 ,则 ,利用 的图象可得 ,,又 ,从而得到 ,再利用 ,即可求得结果. 【详解】(1)由图象可得, , , ,则 , ,又图象过点 , 所以 ,解得 , 又 , , 所以函数 的解析式为 . (2)由余弦函数可知, , , , 所以函数 的单调递增区间为 . (3)由题可得, , 又因为 ,所以 , 令 ,则 , 设直线 与 的图象交点横坐标自左向右依次为 , 由 的图象可知, , , 且 , ,又由图象知 ,所以 , 又 , , 所以 ,又, . 2.(23-24高一下·湖北咸宁·阶段练习)已知函数 为奇函数,且 图象的相邻两对 称轴间的距离为 . (1)当 时,求 的单调递减区间; (2)将函数 的图象向右平移 个单位长度,再把横坐标缩小为原来的 (纵坐标 变),得到函数 的图象,当 时,求函数 的值域. (3)对于第(2)问中的函数 ,记方程 在 上的根从小到依次为 , ,……, ,试确定 的值,并求 的值. 【答案】(1) (2) (3)6; 【分析】(1)结合二倍角公式和辅助角公式将函数化简为 ,再根据正弦函数的周期性和奇偶性,分别求出 和 ,然后利用 正弦函数的单调性,得解; (2)易得 ,根据正弦函数的图象与性质,可得解;(3)令 ,原问题可转化为方程 在区间 上解的个数,由解的个 数确定 ,由 ,确定 的值. 【详解】(1)由题意,函数 因为函数 图象的相邻两对称轴间的距离为 ,所以 ,可得 , 又由函数 为奇函数,可得 , 所以 ,因为 ,所以 ,所以函数 , 令 ,解得 , 可得函数 的递减区间为 , 再结合 ,可得函数 的减区间为 (2)将函数 的图象向右平移 个单位长度,可得 的图象, 再把横坐标缩小为原来的 ,得到函数 的图象, 当 时, , 当 时,函数 取得最小值,最小值为 , 当 时,函数 取得最大值,最大值为 , 故函数 的值域 (3)由方程 ,即 ,即 , 因为 ,可得 ,设 ,其中 ,即 , 结合正弦函数 的图象, 可得方程 在区间 有6个解,即 其中 , 即 , 解得 所以 . 3.(23-24高一下·江西抚州·阶段练习)函数 的部 分图象如图所示, (1)求函数 的解析式和单调递增区间; (2)将函数 的图象上的各点的纵坐标保持不变,横坐标伸长为原来的2倍,得到函数 的图象,若 时, 的图象与直线 恰有三个公共点,记三个公共 点的横坐标分别为 且 ,求 的值 【答案】(1) ,单调递增区间为 ; (2) . 【分析】(1)根据给定的图象,利用五点法作图思想求出 的解析式,再求出递增区 间.(2)由(1)求出 的解析式,利用换元法结合余弦函数图象的对称性求解即得. 【详解】(1)观察图象知, ,函数 的周期 ,则 , 由 ,得 ,而 ,则 , 因此函数 的解析式为 , 令 ,解得 , 所以函数 的单调递增区间为 . (2)由(1)及已知得 , 依题意, , 令 ,由 ,得 , 令 ,则 ,其中 , 由对称性知 ,两式相加得 , 显然 ,因此 , 所以 . 4.(23-24高一下·陕西西安·阶段练习)已知函数 的部分图象如图所示. (1)求函数 的解析式及其单调递增区间; (2)将函数 的图象上所有的点向右平移 个单位,再将所得图象上每一个点的横坐标变为原来的2倍(纵坐标不变),得到函数 的图象.若方程 在 上有三个不相等的实数根 ,求 的值. 【答案】(1) ; (2) 【分析】(1)根据图示,即可确定 和 的值,再由周期确定 ,最后将点 代入 求出 ,即可求出答案;由正弦函数的单调性求出递增区间; (2)先根据题意写出 ,再由函数图像的交点确定根的性质,最后根据正弦函数的对 称性和正切函数值求出答案. 【详解】(1)由图可得 , , 又 ,所以 ,所以 , 所以 , 又因为 过点 ,所以 , 又 ,所以 , 所以 . 因为 , 所以递增区间为 . (2)将函数 的图象上所有的点向右平移 个单位得到 , 再将所得图象上每一个点的横坐标变为原来的2倍(纵坐标不变),得到函数 的图象,则 , 当 时, ,令 , 则 , 令 ,则函数 的函数图像如下, 且 , 由图像可知 有三个不同的实数根 , 则 , 所以 ,即 , 所以 ,所以 5.(23-24高一下·重庆·阶段练习)已知函数 ,把函数 的图像先向右平移 个单位长度,再向下平移 个单位,得到函数 的图像. (1)求 的单调递增区间及对称轴方程; (2)当 时,若方程 恰好有两个不同的根 ,求 的取值范围及 的值. 【答案】(1)单调递增区间为 , ,对称轴方程为 , . (2)答案见解析 【分析】(1)先利用两角和的余弦公式和辅助角公式化简 ,再利用正弦函数的图象 和性质求解即可;(2)根据平移得到 的解析式,由 的取值范围求出 的单调区间和值域,进而得 到函数图象,根据图象求解即可. 【详解】(1)由题意可得 , 令 , ,解得 , , 令 , ,解得 , , 所以 的单调递增区间为 , ,对称轴方程为 , . (2)根据题意及(1)中结论可得 , 当 时, , 令 得 ,令 得 , 所以当 时, 单调递增,当 时, 单调递减, 时, 单调递增, 且 , , , , 大致图像如图所示, 方程 恰好有两个不同的根 , 所以 的取值范围为 ,又因为 的对称轴为 和 , 所以当 时 ,当 时 . 6.(23-24高一下·江西·阶段练习)函数 ( , , )的 部分图象如图. (1)求函数 的解析式; (2)将函数 上的每个点的纵坐标不变,横坐标变为原来的 倍,再将所得图象向右平移 个单位长度,得到函数 的图象.已知函数 若函数 的零点从左到右依次为 , ,…, ,求 的值,并求 的 值. 【答案】(1) (2) , . 【分析】(1)根据函数图象,由最值求 ,由 和 求 与 ,可得函 数 的解析式; (2)由图象变换得 的解析式,可作出 的图象,由图象与函数 图象的交 点,确定 的零点个数及位置关系.【详解】(1)由函数图象可知, , ,得 , 由 ,得 ,结合图象可得 , ,由五点法作图可得 ,解得 , 所以 . (2)函数 上的每个点的纵坐标不变,横坐标变为原来的 倍, 得函数 的图象,再向右平移 个单位长度, 得到函数 的图象, 函数 则 的图象如图所示, 函数 的零点,即函数 的图象与函数 的图象交点的横坐标, 由图象可知,函数 的零点有6个,从左到右依次为 , ,…, , , 由余弦函数的性质结合图象可知, 关于 对称, 关于 对称, 关于 对称, .三、专项训练 1.(23-24高一下·河南·阶段练习)已知函数 . (1)若 , 的最小值为 ,求 的对称中心; (2)已知 ,函数 图象向右平移 个单位得到函数 的图象, 是 的一个 零点,若函数 在 ( 且 )上恰好有12个零点,求 的最小值. 【答案】(1) 或 ; (2) . 【分析】(1)由题意,利用正弦函数的性质可求出 的最小正周期为 ,从而可求出 ,则可求得 解析式,然后可求出其对称中心; (2)先利用三角函数图象变换规律求出 ,再根据 是 的一个零点和 可求出 ,从而可求出 的解析式,则可求出 的最小 正周期,再利用正弦函数的零点和周期性可求得结果. 【详解】(1) 的最小正周期为 , 又 , 的最小值为 , 的最小正周期是 , 故 ,解得 , 当 时, , 由 , 的对称中心为 ; 当 时, , 由 ,的对称中心为 , 综上所述, 的对称中心为 或 . (2) 函数 图象向右平移 个单位,得到函数 的图象, , 又 是 的一个零点, ,即 , , , , , ,最小正周期 , 令 ,则 , 即 或 , 解得 或 . 若函数 在 ( 且 )上恰好有12个零点,则 , 要使 最小,须m,n恰好为 的零点, 故 . 可得 的最小值为 . 2.(23-24高一下·四川内江·阶段练习)已知函数 . (1)求 的周期和对称中心; (2)将函数 的图象向左平移 个单位,再将所得图象上所有点的纵坐标不变,横坐标变 为原来的2倍后所得到的图象对应的函数是 ,求 在 上的 零点个数.【答案】(1) ; (2)11个 【分析】(1)根据公式 即可求出周期,设 即可求出对称中心. (2)根据图象变换求出 ,换元画出图象即可求解. 【详解】(1)因为 ,所以最小正周期 , 令 ,所以 , 的对称中心为 . (2)由题意得, ,所以 , 令 ,所以 求出在 的零点个数即可. 所以令 ,解得 , 所以求 在 与 和 的交点个数,由下图可知有11个交点. 所以 在 上的零点个数为11个. 3.(23-24高一下·辽宁沈阳·阶段练习)函数 ,若 的图象向左平 移 个单位得到 . (1)求不等式 的解集; (2)若函数 的最大值为9,求 的值; (3)若 ,方程 在 内有一个解,求实数 的取值范围. 【答案】(1) (2) 或(3) 或 或 且 【分析】(1)首先得到 解析式,即可得到 ,再根据正弦函数的性质计算可 得; (2)利用平方关系得到 ,令 ,结合 二次函数的性质分类讨论,分别计算可得; (3)先求得 ,再令 ,分析在 上 的值域,结合 零点存在性定理与二次函数的性质,分类讨论 的范围判断即可; 【详解】(1)将 的图象向左平移 个单位得到: , 则 , 不等式 ,即 ,即 , 所以 ,解得 , 所以不等式的解集为 . (2)因为 , 所以 , 则 , 令 ,则 ,令 , ,依题意 , 当 ,即 时 在 上单调递增, 则 ,解得 ,符合题意;当 ,即 时 在 上单调递减, 则 ,解得 ,符合题意; 当 ,即 时 ,即 ,不符合题意; 综上可得 或 . (3)因为 , 所以 , 当 时 , 因为 在 上单调递增,值域为 ;在 上单调递减,值域为 . 令 , ,则由 的图象知 , 考虑 在 上的解, 若 ,则 或 ,当 时,方程的解为 ,舍去; 当 时,方程的解为 ,此时 仅有一解, 故 在 内有一个解,符合题意; 若 ,则 或 , 此时 在 上有两个不同的实数根 , , 令 ,则 ,由韦达定理 , . 当 时,则 , ,要使得方程 在 内有一个 解, 则 , . 当 时 ,此时 解得 或 ,不符合题意,舍去.所以要使符合题意,只需 ,即 ,解得 ; 当 时,则 , ,要使得方程 在 内有一个 解, 当 时 ,此时 解得 或 ,不符合题意,舍去. 则 , 且 , 所以要使符合题意,只需 ,即 ,解得 且 ; 综上, 的取值范围是 或 或 且 . 【点睛】关键点点睛:本题第二问关键是换元转化为二次函数最值求出参数的值,第三问 关键是将问题转化为 在 上的解. 4.(23-24高一下·广东江门·阶段练习)已知函数 的图 象相邻对称轴之间的距离是 ,若将 的图象向右移 个单位,所得函数 为奇函 数. (1)求 的解析式; (2)若函数 的零点为 ,求 ; (3)若对任意 , 有解,求a的取值范围. 【答案】(1) (2) (3) 【分析】(1)本题首先可通过相邻对称轴之间的距离是 得出 ,然后通过图象的平 移即可得出 ,最后根据函数 为奇函数即可求出 的值;(2)首先可通过题意得出 ,然后通过三角函数的诱导公式即可得出结 果; (3)本题可令 ,然后根据 得出 ,最后通过求出 的取值范围即可得出 的取值范围. 【详解】(1)因为相邻对称轴之间的距离是 ,所以 , , 所以 ,解得 , , 将 的图像向右移 个单位,可得函数 , 因为函数 为奇函数,所以 , , 因为 ,所以 , 所以 , (2)因为函数 的零点为 , 所以 , , 因为 , 所以 . (3)令 , 因为 ,所以 , , 则 有解,即 有解, 当 时, 无解,当 时,即 有解, 因为 在 上单调递增,所以当 时, , 因为 有解,所以 的取值范围为 .5.(23-24高一下·黑龙江齐齐哈尔·阶段练习)某同学用“五点法”画函数 ( , , )在某一个周期内的图象时,列表并填入了 部分数据,如下表: 0 0 2 0 0 (1)根据以上表格中的数据求函数 的解析式; (2)将函数 图象上所有点的横坐标伸长为原来的2倍(纵坐标不变),再向左平移 个单位长度,得到函数 的图象.当 时,关于 的方程 恰有两个 实数根,求实数 的取值范围. 【答案】(1) (2) 【分析】(1)根据表格数据得到 ,由周期求出 ,再求出 ,即可得解; (2)根据三角函数的变换规则得到 的解析式,得到函数的单调区间,等价于函数 , 的图象与直线 有两个交点,数形结合即可得解. 【详解】(1)表中数据可得, , 因为 ,所以 ,又 ,则 , 当 时, ,即 ,解得 , 所以 . (2)将 图象上所有点的横坐标伸长为原来的2倍(纵坐标不变)得到 , 再将 图象向左平移 个单位长度得到函数 的图象,则 , 又 在 上单调递增,在 上单调递减, 且 , , , 如图,当 时,方程 恰有两个实数根, 等价于函数 , 的图象与直线 有两个交点, 所以 ,即 . 6.(23-24高一下·四川绵阳·阶段练习)已知函数 . (1)求函数 的最小正周期; (2)将函数 的图象向右平移 个单位长度,得到函数 的图象,若关于 的方程 在 上恰有一解,求实数 的取值范围. 【答案】(1) (2) 【分析】(1)根据二倍角的正弦公式及诱导公式,利用辅助角公式及三角函数的周期公式 即可求解; (2)根据(1)的结论及三角函数的平移边换,将关于 的方程 在 上恰 有一解转化为 在 上恰有一解,利用三角函数的性质即可求解. 【详解】(1)依题可知,, 所以函数 的最小正周期为 . (2)由(1)知, , 将函数 的图象向右平移 个单位长度,得到函数 的图象, 因为关于 的方程 在 上恰有一解, 所以 在 上恰有一解, 即 在 上恰有一解, 因为 ,所以 , 令 , ,则 , 由三角函数的性质知,函数 在 上单调递增,在 上单调递减; 而 , 所以 或 解得 或 , 故实数 的取值范围为 . 【点睛】关键点睛:本题的关键是利用三角恒等变换及三角函数的周期公式,将关于 的 方程 在 上恰有一解转化为 在 上恰有一解,再利 用三角函数的性质即可. 7.(23-24高一下·安徽·阶段练习)给出以下三个条件:①直线 , 是函数 图象的任意两条对称轴,且 的最小值为 ,② ,③对任意的 , .请从这三个条件中任选一个将下面的题目补充完整,并求解.已知函数, ,______. (1)求 的表达式; (2)将函数 的图象向右平移 个单位后,再将得到的图象上各点的横坐标伸长为原来的 2倍,纵坐标不变,得到函数 的图象,若关于 的方程 在区间 上有 且只有一个实数解,求实数 的取值范围. 【答案】(1) (2) 或 【分析】(1)先进行三角恒等变换求出 ,再分别选三个条件,结合正 弦函数的性质,分别求解,即可得出函数解析式; (2)首先根据三角函数的变换规律得到 解析式,再由正弦函数的性质求出 在区 间 上的单调性,求出区间端点函数值,依题意函数 的图象与直线 在区 间 上有且只有一个交点,即可求出参数的取值范围. 【详解】(1)因为 , 若选条件①,直线 , 是函数 图象的任意两条对称轴,且 的最小值 为 , 则 ,解得 ,则 ; 若选条件②,则 ,则 , , 因此 , ,又 ,所以 ,则 ,若选条件③,对任意的 , , 则有 , ,解得 , , 又 ,所以当 时 ,则 . (2)将函数 的图象向右平移 个单位得到 , 再将 的图象上各点的横坐标伸长为原来的 倍,纵坐标不变,得到 . 由 , ,解得 , , 即函数 的单调递增区间为 , , 又 , 所以函数 在 上单调递增,则在 上单调递减; 因为 , , , 因为关于 的方程 在区间 上有且只有一个实数解, 所以函数 的图象与直线 在区间 上有且只有一个交点, 则 或 . 8.(23-24高一上·山西·期末)如图,已知函数 的图象与 轴相交于点 ,图象的一个最高点为 .(1)求 的解析式; (2)将函数 的图象向左平移 个单位长度,得到函数 的图象,求函数 的所有零点之和. 【答案】(1) (2)9 【分析】(1)根据函数图象求出周期,即可求得 ,再将点 代入解析式求出 即 可; (2)先根据函数平移的性质求出 ,将函数的零点问题转化为函数图象交点的问 题,根据函数的对称性求解. 【详解】(1)设 的最小正周期为 ,则 , 所以 ,所以 , 又因为函数 的图象的一个最高点为 , 所以 ,所以 , 所以 , 因为 ,所以 ,所以 . (2)将函数 的图象向左平移 个单位长度,得到函数 的图象, 所以 ,令 ,得 , 考虑 与 图象的所有交点的横坐标之和, 函数 与 的图象都关于点 对称, 令 ,解得 , 函数 与 的图象如图所示: 故两函数的图象有且仅有9个交点从左到右分别为 , 所以 , , , , 所以 ,故函数 的所有零点之和为9. 9.(23-24高一上·云南德宏·期末)函数 ( , , )的 部分图象如图所示. (1)求函数 的解析式; (2)将函数 的图象先向右平移 个单位,再将所有点的横坐标缩短为原来的 (纵坐标 不变),得到函数 的图象,若关于 的方程 在 上有两个不等 实根 , ,求实数 的取值范围,并求 的值.【答案】(1) (2) , 【分析】(1)根据三角函数的图象与性质计算即可; (2)先根据三角函数的图像变换得 ,结合正弦函数的单调性、对称性 可判定 的取值范围与 的值. 【详解】(1)由图可知, , ∵ , ∴ , , 又 , ∴ , , 解得 , ,由 可得 , ∴ . (2)将 向右平移 个单位,得到 , 再将所有点的横坐标缩短为原来的 ,得到 , 令 ,则当 时, ; 易知函数 在 上单调递减,在 上单调递增, 又 , , ,∴ ; 由对称性可知 , ∴ ,∴ , ∴ . 10.(23-24高一上·安徽·期末)已知函数 为奇函数,且 图象的相邻两对 称轴间的距离为 .(1)求 的最小值. (2)将函数 的图象向右平移 个单位长度,再把横坐标缩小为原来的 倍(纵坐标不 变),得到函数 的图象,记方程 在 上的根从小到依次为 试确定 的值,并求 的值. 【答案】(1) (2) 【分析】(1)利用降幂公式和辅助角公式化简 ,再根据周期及奇偶数性求出 的 解析式,再令 ,利用二次函数性质求解最小值即可; (2)根据三角函数图像变换求得 ,利用换元法,结合三角函数图象与性质求得 以 及 的值. 【详解】(1) . 因为函数 图象的相邻两对称轴间的距离为 ,所以 ,可得 , 又由函数 为奇函数,所以 ,因为 ,所以 , 所以函数 .所以 , 令 ,则 , 故原函数最小值为 的最小值,其对称轴为 , 在 单调递增,在 单调递减,且 , 所以 时, 有最小值 , 所以 的最小值为 . (2)将函数 的图象向右平移 个单位长度,得到 ,再把横坐标缩小为原来的 (纵坐标不变),得到 , 令 ,则 , 因为 ,所以 ,令 ,则 , 函数 在 上的图象如下图所示, 由图可知, 与 共有6个交点, 所以方程 在 上共有6个根,即 , 因为 , 所以 .