当前位置:首页>文档>专题01三角函数的图象与性质(典型题型归类训练)(解析版)_02高考数学_2025年新高考资料_二轮复习_解题思路训练2025年高考数学复习解答题提优秘籍(新高考专用)

专题01三角函数的图象与性质(典型题型归类训练)(解析版)_02高考数学_2025年新高考资料_二轮复习_解题思路训练2025年高考数学复习解答题提优秘籍(新高考专用)

  • 2026-04-07 07:30:13 2026-04-07 07:12:20

文档预览

专题01三角函数的图象与性质(典型题型归类训练)(解析版)_02高考数学_2025年新高考资料_二轮复习_解题思路训练2025年高考数学复习解答题提优秘籍(新高考专用)
专题01三角函数的图象与性质(典型题型归类训练)(解析版)_02高考数学_2025年新高考资料_二轮复习_解题思路训练2025年高考数学复习解答题提优秘籍(新高考专用)
专题01三角函数的图象与性质(典型题型归类训练)(解析版)_02高考数学_2025年新高考资料_二轮复习_解题思路训练2025年高考数学复习解答题提优秘籍(新高考专用)
专题01三角函数的图象与性质(典型题型归类训练)(解析版)_02高考数学_2025年新高考资料_二轮复习_解题思路训练2025年高考数学复习解答题提优秘籍(新高考专用)
专题01三角函数的图象与性质(典型题型归类训练)(解析版)_02高考数学_2025年新高考资料_二轮复习_解题思路训练2025年高考数学复习解答题提优秘籍(新高考专用)
专题01三角函数的图象与性质(典型题型归类训练)(解析版)_02高考数学_2025年新高考资料_二轮复习_解题思路训练2025年高考数学复习解答题提优秘籍(新高考专用)
专题01三角函数的图象与性质(典型题型归类训练)(解析版)_02高考数学_2025年新高考资料_二轮复习_解题思路训练2025年高考数学复习解答题提优秘籍(新高考专用)
专题01三角函数的图象与性质(典型题型归类训练)(解析版)_02高考数学_2025年新高考资料_二轮复习_解题思路训练2025年高考数学复习解答题提优秘籍(新高考专用)
专题01三角函数的图象与性质(典型题型归类训练)(解析版)_02高考数学_2025年新高考资料_二轮复习_解题思路训练2025年高考数学复习解答题提优秘籍(新高考专用)
专题01三角函数的图象与性质(典型题型归类训练)(解析版)_02高考数学_2025年新高考资料_二轮复习_解题思路训练2025年高考数学复习解答题提优秘籍(新高考专用)
专题01三角函数的图象与性质(典型题型归类训练)(解析版)_02高考数学_2025年新高考资料_二轮复习_解题思路训练2025年高考数学复习解答题提优秘籍(新高考专用)
专题01三角函数的图象与性质(典型题型归类训练)(解析版)_02高考数学_2025年新高考资料_二轮复习_解题思路训练2025年高考数学复习解答题提优秘籍(新高考专用)
专题01三角函数的图象与性质(典型题型归类训练)(解析版)_02高考数学_2025年新高考资料_二轮复习_解题思路训练2025年高考数学复习解答题提优秘籍(新高考专用)
专题01三角函数的图象与性质(典型题型归类训练)(解析版)_02高考数学_2025年新高考资料_二轮复习_解题思路训练2025年高考数学复习解答题提优秘籍(新高考专用)
专题01三角函数的图象与性质(典型题型归类训练)(解析版)_02高考数学_2025年新高考资料_二轮复习_解题思路训练2025年高考数学复习解答题提优秘籍(新高考专用)
专题01三角函数的图象与性质(典型题型归类训练)(解析版)_02高考数学_2025年新高考资料_二轮复习_解题思路训练2025年高考数学复习解答题提优秘籍(新高考专用)
专题01三角函数的图象与性质(典型题型归类训练)(解析版)_02高考数学_2025年新高考资料_二轮复习_解题思路训练2025年高考数学复习解答题提优秘籍(新高考专用)
专题01三角函数的图象与性质(典型题型归类训练)(解析版)_02高考数学_2025年新高考资料_二轮复习_解题思路训练2025年高考数学复习解答题提优秘籍(新高考专用)
专题01三角函数的图象与性质(典型题型归类训练)(解析版)_02高考数学_2025年新高考资料_二轮复习_解题思路训练2025年高考数学复习解答题提优秘籍(新高考专用)
专题01三角函数的图象与性质(典型题型归类训练)(解析版)_02高考数学_2025年新高考资料_二轮复习_解题思路训练2025年高考数学复习解答题提优秘籍(新高考专用)
专题01三角函数的图象与性质(典型题型归类训练)(解析版)_02高考数学_2025年新高考资料_二轮复习_解题思路训练2025年高考数学复习解答题提优秘籍(新高考专用)
专题01三角函数的图象与性质(典型题型归类训练)(解析版)_02高考数学_2025年新高考资料_二轮复习_解题思路训练2025年高考数学复习解答题提优秘籍(新高考专用)
专题01三角函数的图象与性质(典型题型归类训练)(解析版)_02高考数学_2025年新高考资料_二轮复习_解题思路训练2025年高考数学复习解答题提优秘籍(新高考专用)
专题01三角函数的图象与性质(典型题型归类训练)(解析版)_02高考数学_2025年新高考资料_二轮复习_解题思路训练2025年高考数学复习解答题提优秘籍(新高考专用)
专题01三角函数的图象与性质(典型题型归类训练)(解析版)_02高考数学_2025年新高考资料_二轮复习_解题思路训练2025年高考数学复习解答题提优秘籍(新高考专用)
专题01三角函数的图象与性质(典型题型归类训练)(解析版)_02高考数学_2025年新高考资料_二轮复习_解题思路训练2025年高考数学复习解答题提优秘籍(新高考专用)
专题01三角函数的图象与性质(典型题型归类训练)(解析版)_02高考数学_2025年新高考资料_二轮复习_解题思路训练2025年高考数学复习解答题提优秘籍(新高考专用)
专题01三角函数的图象与性质(典型题型归类训练)(解析版)_02高考数学_2025年新高考资料_二轮复习_解题思路训练2025年高考数学复习解答题提优秘籍(新高考专用)

文档信息

文档格式
docx
文档大小
1.761 MB
文档页数
24 页
上传时间
2026-04-07 07:12:20

文档内容

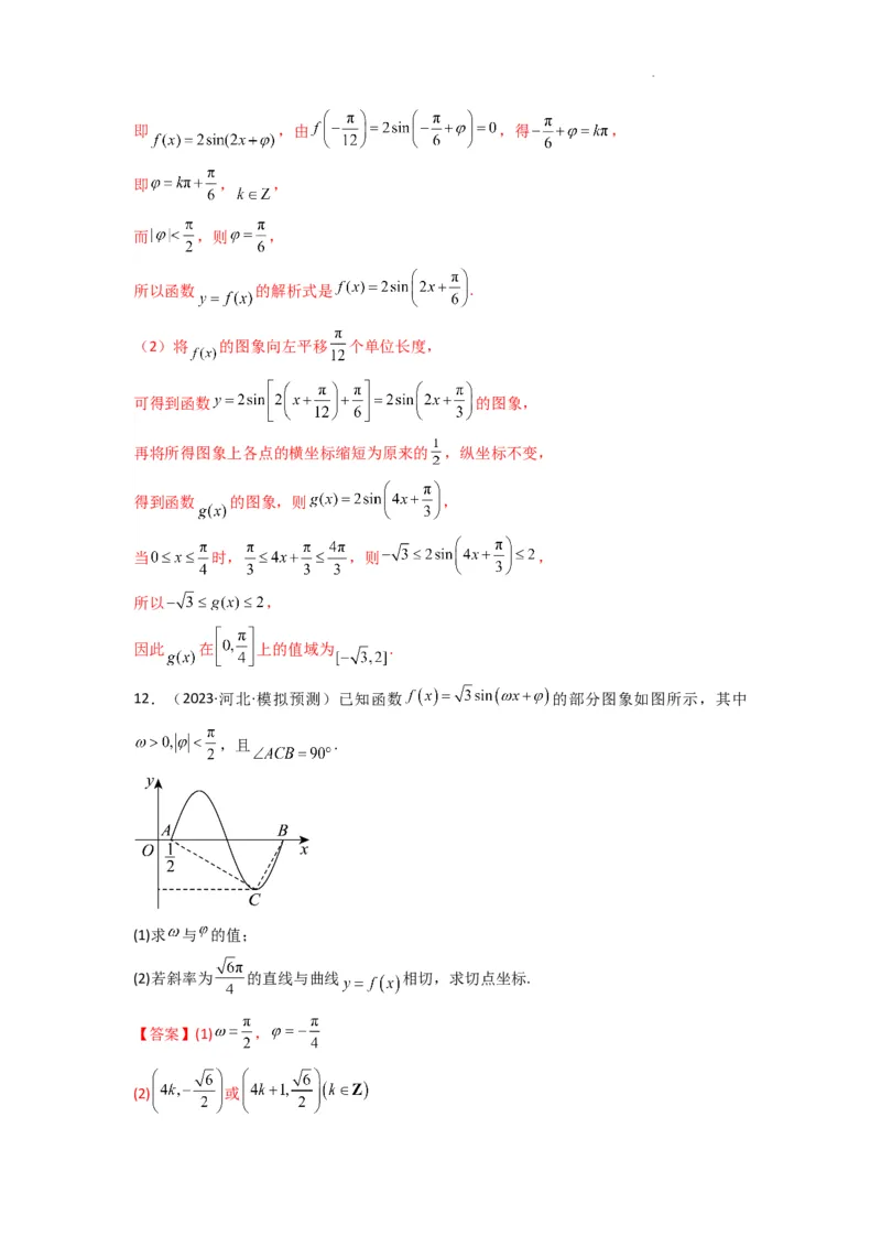
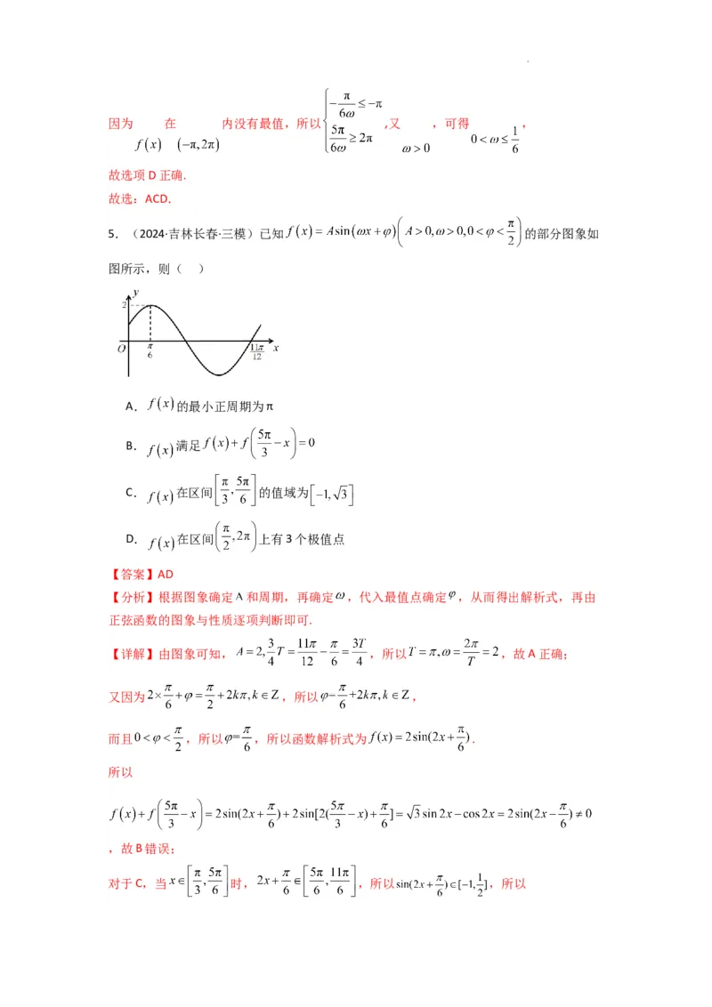
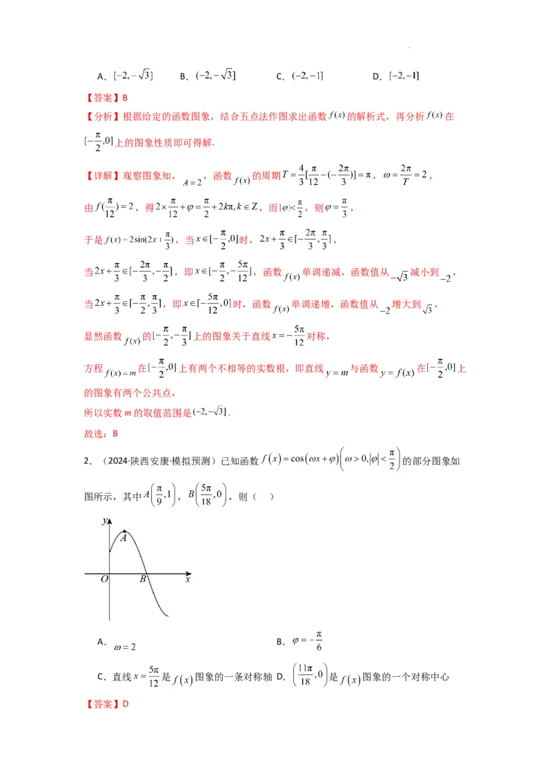
专题 01 三角函数 求法 (典型题型归类训练) 一、必备秘籍 必备公式 ,(其中 ); 辅助角公式 求 解析式 求法 方法一:代数法 方法二:读图法 表示平衡位置; 表示振幅 求法 方法一:图中读出周期 ,利用 求解; 方法二:若无法读出周期,使用特殊点代入解析式但需注意根据具体题意取 舍答案. 求法 方法一:将最高(低)点代入 求解; 方 法 二 : 若 无 最 高 ( 低 ) 点 , 可 使 用 其 他 特 殊 点 代 入 求解;但需注意根据具体题意取舍答案. 二、典型题型 1.(2024·山西长治·一模)已知函数 的部分图象如 图所示,若方程 在 上有两个不相等的实数根,则实数m的取值范围是 ( ) 学科网(北京)股份有限公司A. B. C. D. 【答案】B 【分析】根据给定的函数图象,结合五点法作图求出函数 的解析式,再分析 在 上的图象性质即可得解. 【详解】观察图象知, ,函数 的周期 , , 由 ,得 ,而 ,则 , 于是 ,当 时, , 当 ,即 ,函数 单调递减,函数值从 减小到 , 当 ,即 时,函数 单调递增,函数值从 增大到 , 显然函数 的 上的图象关于直线 对称, 方程 在 上有两个不相等的实数根,即直线 与函数 在 上 的图象有两个公共点, 所以实数m的取值范围是 . 故选:B 2.(2024·陕西安康·模拟预测)已知函数 的部分图象如 图所示,其中 , ,则( ) A. B. C.直线 是 图象的一条对称轴 D. 是 图象的一个对称中心 【答案】D 学科网(北京)股份有限公司【分析】根据周期性求出 ,根据函数过点 求出 ,即可得到函数解析式,再根据 余弦函数的性质判断即可. 【详解】依题意 ,又 ,所以 ,解得 , 所以 , 又函数过点 ,所以 ,所以 , 又 ,所以 , 所以 ,故A、B错误; 又 ,所以 不是 的对称轴,故C错误; ,所以 是 图象的一个对称中心,故D 正确. 故选:D 3.(2024·陕西西安·三模)如图,函数 的部分图象,若点 是 中点, 则点 的纵坐标为( ) A. B. C. D. 【答案】C 【分析】设 , , ,则 ,代入函数解析式得到方程组,结 合诱导公式,变形得到 ,从而求出答案. 【详解】设 ,则 ,故 , 设 , ,则 , 故 , 学科网(北京)股份有限公司其中 , 则 ,解得 ,负值舍去, 即 ,故 的纵坐标为 . 故选:C 4.(多选)(23-24高一下·内蒙古·期中)已知函数 的部分图像如图所示, , 为 的图像与 轴的交点, 为 图像上的最高点, 是边长为1的等边三角形, , 则( ) A. B.直线 是 图像的一条对称轴 C. 的单调递减区间为 D. 的单调递增区间为 【答案】BC 【分析】由图可得 ,再利用正弦函数的图象与性质分析各个选项即 可. 【详解】对于A,由图可得: 的最小正周期为2,所以 ,即 , 易得 ,所以 , 学科网(北京)股份有限公司因为 ,所以 , , , 由五点作图法可得: ,即 ,所以 , 所以 ,故A不正确; 对于B,由于 ,为最大值, 所以直线 是 图象的一条对称轴,故B正确; 对于C,令 ,解得; , 所以单调递减区间为 ,故C正确; 对于D,令 ,解得; , 所以 的单调递增区间为 ,故D不正确, 故选:BC, 5.(2024·全国·模拟预测)已知函数 的部分图象如图 所示,将 图象上所有点的横坐标缩小为原来的 ,纵坐标不变,得到 的 图象,若 在区间 上恰有两个极大值点,则实数m的取值范围是 . 【答案】 【分析】结合图象求得 的最小正周期,即可求得 ,然后结合图象上的点的坐标 及 可求得 ,得到 的解析式,进而利用三角函数图象的变换法则得到 的解析式,最后利用正弦函数的图象求得m的取值范围. 【详解】设 的最小正周期为T,则由图象知 , 学科网(北京)股份有限公司所以 ,则 , 由 在 处取得最小值,可得 , , 得 , .因为 ,所以 , 所以 ; (或由题意可得 , ,亦可得 ) , 由 ,得 , 所以由题意得 ,解得 , 即实数m的取值范围是 . 故答案为: . 6.(2024·全国·模拟预测)已知函数 的部分图象如 图,则关于 的不等式 的解集是 . 【答案】 , 【分析】先根据函数的图象求函数的解析式,再解不等式. 【详解】由题意得 ,所以 . 学科网(北京)股份有限公司因为 ,所以 . 又 ,所以 . 又 ,所以 ,所以 . 又 的图像过点 ,所以 ,所以 , 所以 , ,则 , . 又 ,所以 . 又 ,所以 ,所以 ,则 ,所以 . 又 ,所以 ,所以 , 所以 . 由 ,得 , 即 , 所以 , , 解得 , . 所以不等式的解集为 , . 故答案为: , 【点睛】关键点点睛:本题在求 的值时,一个是根据函数图象,得到 ,再根据图象得 ,再结合 ,可得 .这里利用 不易想到. 7.(2024高三·全国·专题练习)已知函数 的部分 图象如图所示,将函数 图象上所有点的横坐标缩短为原来的 ,纵坐标伸长到原来的 学科网(北京)股份有限公司2倍,再把得到的图象向左平移 个单位长度,可得到 的图象.若方程 在 上有两个不相等的实数根,则 的取值范围为 . 【答案】 【分析】易得 ,再由点 在 的图象上,代入函数解析式求得 ,再利用伸缩变换和平移变换得到 ,作出其图象, 利用数形结合法求解. 【详解】解:由 的部分图象,可得 . 由图可知点 在 的图象上,则 , , 由五点作图法可得 , ,解得 ,则 . 将函数 图象上所有点的横坐标缩短为原来的 ,纵坐标伸长到原来的2倍得到 的图象, 再把得到的图象向左平移 个单位长度,可得到 的图象. 作出函数 的部分图象如图所示, 学科网(北京)股份有限公司由根据函数 的图象知: 当 时,直线 与函数 在 上的图象有两个交点, 即方程 在 上有两个不相等的实数根. 故答案为: 三、专项训练 一、单选题 1.(2024·北京石景山·一模)已知函数 的部分图象如图 所示,则 的值是( ) A. B.1 C. D. 【答案】A 【分析】由图可得 ,求得 ,再利用图象过点 ,可得到 ,从而得到 ,再利用诱导公式及特殊角的三角函数值求解即可. 【详解】由图象可知 ,解得 ,因为 ,所以 ,解得 , 将 代入解析式化简得 ,因为 ,则 ,得 , 故 ,所以 . 故选:A 2.(2024·江西南昌·一模)函数 的部分图象如图所示, 学科网(北京)股份有限公司是等腰直角三角形,其中 两点为图象与 轴的交点, 为图象的最高点,且 ,则 ( ) A. B. C. D. 【答案】D 【分析】如图,过 作 轴于 ,根据题意得到 ,进而可求出 ,再利用 ,得到 ,则有 ,可求出 ,从而 ,即可求出结果. 【详解】如图,过 作 轴于 ,则 , 又 是等腰直角三角形,所以 ,故 ,得到 , 又 ,所以 ,则 ,所以 , 所以 ,得到 ,又 ,得到 , 所以 ,则 , 故选:D. 3.(2024·全国·模拟预测)知函数 ( , ),如图: , , 是曲线 与坐标轴的三个交点,直线 交曲线 于点 ,若直线 , 的斜率分别为 ,3,则 ( ) 学科网(北京)股份有限公司A. B. C. D. 【答案】B 【分析】先根据正弦型函数的周期公式得出 ,根据函数图像的对称性得出点 是线 段 的中点;再根据图象设出点 坐标,写出点 , , 的坐标;最后根据斜率公式 和题意列出方程组,求解即可. 【详解】由题意可得:函数 的最小正周期为 ,点 是线段 的中点. 根据图象可设 , 则 , . 由图象可得 , 则 . 因为直线 , 的斜率分别为 ,3, 所以 ,整理得: . 又因为 , , 所以 ,解得: . 又因为 , 所以 . 故选:B. 学科网(北京)股份有限公司二、多选题 4.(2024·全国·模拟预测)已知函数 的部分图象 如图所示,则下列说法正确的是( ) A. B.若 ,则函数 的对称中心为 C.若函数 在 内单调递增,则 的取值范围为 D.若函数 在 内没有最值,则 的取值范围为 【答案】ACD 【分析】借助图象可得 的值,再结合正弦型函数的性质逐项判断即可得. 【详解】对A:由题意可知, ,由 ,可得 , 因为 ,所以 ,故选项A正确; 对B:若 ,则 ,令 ,则 , 所以函数 的对称中心为 ,故选项B不正确; 对C:因为 ,令 , 得 ,根据 的部分图象可知 , 所以 ,即 ,因为 ,所以 ,故选项C正确; 对D:由选项C可知, , 在 上单调递增. 学科网(北京)股份有限公司因为 在 内没有最值,所以 ,又 ,可得 , 故选项D正确. 故选:ACD. 5.(2024·吉林长春·三模)已知 的部分图象如 图所示,则( ) A. 的最小正周期为π B. 满足 C. 在区间 的值域为 D. 在区间 上有3个极值点 【答案】AD 【分析】根据图象确定 和周期,再确定 ,代入最值点确定 ,从而得出解析式,再由 正弦函数的图象与性质逐项判断即可. 【详解】由图象可知, ,所以 ,故A正确; 又因为 ,所以 , 而且 ,所以 ,所以函数解析式为 . 所以 ,故B错误; 对于C,当 时, ,所以 ,所以 学科网(北京)股份有限公司的值域为 ,故C错误; 对于D,当 时, ,当 取得 时, 取得极 值,所以 在 上有3个极值点,故D正确. 故选:AD. 6.(2024·黑龙江哈尔滨·一模)已知 的部分图 象如图所示,则( ) A. B. 在区间 单调递减 C. 在区间 的值域为 D. 在区间 有3个极值点 【答案】AD 【分析】求出函数解析式,进而求得函数值判断A,举反例判断BC,利用整体代换法判断 D即可. 【详解】由图像得 , ,解得 , 故 ,故此时有 , 将 代入函数解析式,得 , 故 ,解得 , 而 ,故 ,此时 , 学科网(北京)股份有限公司显然 成立,故A正确, 易知 , ,而 , , 又 ,故 在区间 上并非单调递减,故B错误, 易知 , , 故 在区间 的值域不可能为 ,故C错误, 当 时, , , 当 时, 取得极值, 可得 在区间 有3个极值点,故D正确. 故选:AD 三、填空题 7.(2024·重庆·一模)已知 的部分图象 如图所示,当 时, 的最大值为 . 【答案】 【分析】 由图象求出函数 的解析式,然后利用正弦型函数的基本性质可求得函数 在 上的最大值. 【详解】因为 , 设 , 由图可知,函数 的最小正周期为 ,则 , 学科网(北京)股份有限公司又因为 ,则 , 因为 ,可得 , 所以, ,则 , 则 , 当 时, , 故 . 故答案为: . 8.(2023·陕西西安·模拟预测)已知函数 ,( , , )的大致图象如图所示,将函数 的图象上点的横坐标拉伸为原来的3倍后,再 向左平移 个单位长度,得到函数 的图象,则函数 的一个单调递增区间为 . 【答案】 (答案不唯一) 【分析】先根据 的部分图象得到函数的周期、振幅、初相,进而求出 的解析 式,再根据函数图象的伸缩变换和平移变换得到 的解析式,后可求 的单调递增 区间. 【详解】由图可知 , 得 ,所以 , , , 所以 , 学科网(北京)股份有限公司由图 ,得 , , 又 ,所以 , 故 , 由题意 , 令 , ,得 , 故函数 的单调递增区间为 , , 当 时,函数 的一个单调递增区间为 , 故答案为: (答案不唯一) 9.(2023·全国·模拟预测)已知函数 的部分图 象如图所示, , ,则满足条件 的最大负整数x为 . 【答案】 【分析】根据题意,利用三角函数的图象与性质,求得 ,把不等式转 化为 ,得到 或 ,求得不等式的解 集,即可求解. 【详解】因为函数 满足 ,结合图象可得 又因为 ,可得 , ,解得 , , 学科网(北京)股份有限公司又由 ,所以 ,可得 , , 则不等式 ,即为 , 即 或 ,可得 或 , 所以 或 , 即 或 , 显然 满足不等式. 故答案为: . 10.(2022·全国·模拟预测)已知函数 的部分图象如图所示,则满足不等 式 的最小正整数x为 . 【答案】3 【分析】由图求出函数 ,由 得 ,再解不等式可 得答案. 【详解】根据题意,本题可只考虑 的情况, 由题图知函数 的图象经过点 和 , 则 , 由五点作图法可知 ,则 ,所以 , 则 , 所以 , 因为 ,所以 , 学科网(北京)股份有限公司令 ,得 , 令 ,则 ,令 ,则 , 易知 ,而 , 所以满足不等式 的最小正整数x为3. 故答案为:3. 【点睛】关键点点睛:解题的关键点是由图象求出 和正确解出 . 四、解答题 11.(23-24高三上·安徽·阶段练习)函数 的部分 图象如图所示. (1)求函数 的解析式; (2)将函数 的图象向左平移 个单位,再将所得图象上各点的横坐标缩短为原来的 倍,纵坐标不变,得到函数 的图象,求函数 在 上的值域. 【答案】(1) (2) 【分析】(1)根据图象易得 和周期,结合 可得结果; (2)根据平移和伸缩变换可得 ,进而由整体法即可求解函数的值域. 【详解】(1)观察图象可得 ,函数 的周期 ,解得 , 学科网(北京)股份有限公司即 ,由 ,得 , 即 , , 而 ,则 , 所以函数 的解析式是 . (2)将 的图象向左平移 个单位长度, 可得到函数 的图象, 再将所得图象上各点的横坐标缩短为原来的 ,纵坐标不变, 得到函数 的图象,则 , 当 时, ,则 , 所以 , 因此 在 上的值域为 . 12.(2023·河北·模拟预测)已知函数 的部分图象如图所示,其中 ,且 . (1)求 与 的值; (2)若斜率为 的直线与曲线 相切,求切点坐标. 【答案】(1) , (2) 或 学科网(北京)股份有限公司【分析】 (1)在 中,由射影定理得 长,即 个周期,从而待定 ,再由 求 解 即可; (2)设切点坐标,利用导数的几何意义表示出切线斜率,求解切点坐标. 【详解】(1) 如图,过点 向 轴引垂线交于点 , 由正弦曲线的性质知 , 由射影定理知 ,而 ,∴ , ∴ , ∴ ,由 ,解得 . 当 时,由 ,且由已知图象及五点对应法, 得 , 由 ,则当 时, ; 所以有 , ; (2) 由(1)知 ,设切点 , ∴ 则 ,∴ ,则 , ∴ 或 ,且 , ∴故其切点坐标为 或 . 学科网(北京)股份有限公司13.(2023·山西·模拟预测)已知函数 的部分图 象如图所示. (1)求 的解析式; (2)将 的图象向右平移 个单位长度,得到函数 的图象,求 在 上的值域. 【答案】(1) (2) . 【分析】(1)由图可知 ,根据最小正周期求得 ,由图象经过点 求得 ,即可得出 ; (2)利用图象平移规律得 ,根据三角函数的性质求得值域. 【详解】(1)由图可知 , 的最小正周期 ,则 ,即 . 因为 的图象经过点 ,所以 , 解得 ,因为 ,所以 , 故 . (2)由(1)结合题意可得 . 因为 ,所以 . 学科网(北京)股份有限公司当 ,即 时, 取得最大值 ; 当 ,即 时, 取得最小值 . 故 在 上的值域为 . 14.(23-24高三上·山西·阶段练习)已知函数 的部分图象如 图所示. (1)求 的解析式; (2)求 在 上的值域. 【答案】(1) (2) 【分析】(1)根据 得到 ,根据 的图象关于直线 对称得到 , 即可得到 的解析式; (2)根据正弦型函数的单调性求值域即可. 【详解】(1)由图可得, 的最小正周期 . 因为 ,且 ,所以 . 因为 的图象关于直线 对称, 所以 ,解得 . 因为 ,所以 . 学科网(北京)股份有限公司故 . (2)由 ,得 . 当 ,即 时, 取得最大值,最大值为2; 当 ,即 时, 取得最小值,最小值为 . 故 在 上的值域为 . 学科网(北京)股份有限公司