当前位置:首页>文档>2024年高考化学一轮复习(新高考版)第9章第58讲 沉淀溶解平衡图像的分析_05高考化学_2024年新高考资料_1.2024一轮复习_2024年高考化学一轮复习讲义(新人教新高考版)

2024年高考化学一轮复习(新高考版)第9章第58讲 沉淀溶解平衡图像的分析_05高考化学_2024年新高考资料_1.2024一轮复习_2024年高考化学一轮复习讲义(新人教新高考版)

  • 2026-04-02 08:01:51 2026-03-27 01:05:55

文档预览

2024年高考化学一轮复习(新高考版)第9章第58讲 沉淀溶解平衡图像的分析_05高考化学_2024年新高考资料_1.2024一轮复习_2024年高考化学一轮复习讲义(新人教新高考版)
2024年高考化学一轮复习(新高考版)第9章第58讲 沉淀溶解平衡图像的分析_05高考化学_2024年新高考资料_1.2024一轮复习_2024年高考化学一轮复习讲义(新人教新高考版)
2024年高考化学一轮复习(新高考版)第9章第58讲 沉淀溶解平衡图像的分析_05高考化学_2024年新高考资料_1.2024一轮复习_2024年高考化学一轮复习讲义(新人教新高考版)
2024年高考化学一轮复习(新高考版)第9章第58讲 沉淀溶解平衡图像的分析_05高考化学_2024年新高考资料_1.2024一轮复习_2024年高考化学一轮复习讲义(新人教新高考版)
2024年高考化学一轮复习(新高考版)第9章第58讲 沉淀溶解平衡图像的分析_05高考化学_2024年新高考资料_1.2024一轮复习_2024年高考化学一轮复习讲义(新人教新高考版)
2024年高考化学一轮复习(新高考版)第9章第58讲 沉淀溶解平衡图像的分析_05高考化学_2024年新高考资料_1.2024一轮复习_2024年高考化学一轮复习讲义(新人教新高考版)
2024年高考化学一轮复习(新高考版)第9章第58讲 沉淀溶解平衡图像的分析_05高考化学_2024年新高考资料_1.2024一轮复习_2024年高考化学一轮复习讲义(新人教新高考版)
2024年高考化学一轮复习(新高考版)第9章第58讲 沉淀溶解平衡图像的分析_05高考化学_2024年新高考资料_1.2024一轮复习_2024年高考化学一轮复习讲义(新人教新高考版)
2024年高考化学一轮复习(新高考版)第9章第58讲 沉淀溶解平衡图像的分析_05高考化学_2024年新高考资料_1.2024一轮复习_2024年高考化学一轮复习讲义(新人教新高考版)
2024年高考化学一轮复习(新高考版)第9章第58讲 沉淀溶解平衡图像的分析_05高考化学_2024年新高考资料_1.2024一轮复习_2024年高考化学一轮复习讲义(新人教新高考版)
2024年高考化学一轮复习(新高考版)第9章第58讲 沉淀溶解平衡图像的分析_05高考化学_2024年新高考资料_1.2024一轮复习_2024年高考化学一轮复习讲义(新人教新高考版)
2024年高考化学一轮复习(新高考版)第9章第58讲 沉淀溶解平衡图像的分析_05高考化学_2024年新高考资料_1.2024一轮复习_2024年高考化学一轮复习讲义(新人教新高考版)
2024年高考化学一轮复习(新高考版)第9章第58讲 沉淀溶解平衡图像的分析_05高考化学_2024年新高考资料_1.2024一轮复习_2024年高考化学一轮复习讲义(新人教新高考版)
2024年高考化学一轮复习(新高考版)第9章第58讲 沉淀溶解平衡图像的分析_05高考化学_2024年新高考资料_1.2024一轮复习_2024年高考化学一轮复习讲义(新人教新高考版)
2024年高考化学一轮复习(新高考版)第9章第58讲 沉淀溶解平衡图像的分析_05高考化学_2024年新高考资料_1.2024一轮复习_2024年高考化学一轮复习讲义(新人教新高考版)
2024年高考化学一轮复习(新高考版)第9章第58讲 沉淀溶解平衡图像的分析_05高考化学_2024年新高考资料_1.2024一轮复习_2024年高考化学一轮复习讲义(新人教新高考版)
2024年高考化学一轮复习(新高考版)第9章第58讲 沉淀溶解平衡图像的分析_05高考化学_2024年新高考资料_1.2024一轮复习_2024年高考化学一轮复习讲义(新人教新高考版)
2024年高考化学一轮复习(新高考版)第9章第58讲 沉淀溶解平衡图像的分析_05高考化学_2024年新高考资料_1.2024一轮复习_2024年高考化学一轮复习讲义(新人教新高考版)
2024年高考化学一轮复习(新高考版)第9章第58讲 沉淀溶解平衡图像的分析_05高考化学_2024年新高考资料_1.2024一轮复习_2024年高考化学一轮复习讲义(新人教新高考版)
2024年高考化学一轮复习(新高考版)第9章第58讲 沉淀溶解平衡图像的分析_05高考化学_2024年新高考资料_1.2024一轮复习_2024年高考化学一轮复习讲义(新人教新高考版)
2024年高考化学一轮复习(新高考版)第9章第58讲 沉淀溶解平衡图像的分析_05高考化学_2024年新高考资料_1.2024一轮复习_2024年高考化学一轮复习讲义(新人教新高考版)

文档信息

文档格式
docx
文档大小
1.315 MB
文档页数
17 页
上传时间
2026-03-27 01:05:55

文档内容

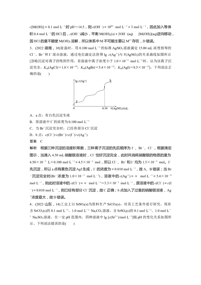
第 58 讲 沉淀溶解平衡图像的分析 [复习目标] 1.能正确分析沉淀溶解平衡图像。2.利用沉淀溶解平衡原理,分析图像中离子 浓度的关系、K 的计算等。 sp (一)常考沉淀溶解平衡图像的类型 1.沉淀溶解平衡移动中离子浓度关系曲线 以BaSO 在不同条件下沉淀溶解平衡为例 4 a→c 曲线上变化,增大c(SO) b→c 加入1×10-5 mol·L-1 Na SO 溶液(加水不行) 2 4 d→c 加入BaCl 固体(忽略溶液的体积变化) 2 c→a 曲线上变化,增大c(Ba2+) 曲线上方的点表示有沉淀生成;曲线下方的点表示不饱和溶液 2.沉淀溶解平衡移动中离子浓度对数关系曲线 图像 说明 横坐标数值越大,c(CO)越小 纵坐标数值越大,c(M)越小 曲线上方的点为不饱和溶液 曲线上的点为饱和溶液 曲线下方的点表示有沉淀生成 曲线上任意一点,坐标数值越大,其对应的离 已知:pM=-lg c(M) 子浓度越小 (M:Mg2+、Ca2+、Mn2+), p(CO)=-lg c(CO) 3.沉淀滴定曲线 沉淀滴定曲线是沉淀滴定过程中构成难溶电解质的离子浓度与滴定剂加入量之间的关系曲线,用0.100 mol·L-1 AgNO 溶液滴定50.0 mL 0.050 0 mol·L-1含Cl-溶液的滴定曲线如图所示。 3 回答下列问题: (1)根据曲线数据计算可知K (AgCl)的数量级为________。 sp (2)滴定终点c点为饱和AgCl溶液,c(Ag+)______(填“>”“<”或“=”)c(Cl-)。 (3)相同实验条件下,若改为0.040 0 mol·L-1 Cl-,反应终点c向______方向移动。 (4)相同实验条件下,若改为0.050 0 mol·L-1Br-,反应终点c向____方向移动。 答案 (1)10-10 (2)= (3)a (4)b 解析 (1)由题图可知,当 AgNO 溶液的体积为 50.0 mL时,溶液中的 c(Cl-)略小于 10-8 3 mol·L-1,此时混合溶液中c(Ag+)==2.5× 10-2 mol·L-1,故K (AgCl)=c(Ag+)·c(Cl sp -)≈2.5×10-2×10-8=2.5×10-10。 (3)根据 Ag++Cl-===AgCl↓可知,达到滴定终点时,消耗 AgNO 溶液的体积为=20.0 3 mL,反应终点c向a方向移动。 (4)相同实验条件下,沉淀相同量的 Cl-和 Br-消耗的 AgNO 的量相同,由于 3 K (AgBr)0,其沉淀溶解平衡曲线如图所示。 下列说法错误的是( ) A.图中温度Tc(Q2+)的混合溶液中滴加NaS溶液,首先析出MS沉淀 2 D.蒸发a点的QS溶液可得到b点状态的QS溶液 答案 C 解析 A项,由图知,当-lg c(S2-)=0即c(S2-)=1 mol·L-1时,c(M2+)=1× 10-30 mol·L- 1、c(Q2+)=1×10-20 mol·L-1,故 K (MS)=1× 10-30,K (QS)=1× 10-20,MS(s)+Q2+ sp sp (aq)QS(s)+M2+(aq),K==1×10-10,K值很小,故该转化很难进行,错误;B项,a点 对应的分散系相对于MS而言属于过饱和溶液,不稳定,错误;C项,由于MS、QS组成形 式相同且K (QS)>K (MS), 故相同条件下MS先形成沉淀,正确;D项,蒸发QS的不饱和 sp sp 溶液时,c(Q2+)、c(S2- )均增大,错误。 4.(2022·湖南模拟)常温时,若Ca(OH) 和CaWO (钨酸钙)的沉淀溶解平衡曲线如图所示(已 2 4 知=0.58)。下列分析正确的是( ) A.由图可知常温下K (CaWO )<K [Ca(OH) ] sp 4 sp 2 B.饱和Ca(OH) 溶液中加入少量CaO,溶液变浑浊,但Ca2+数目不变 2C.饱和Ca(OH) 溶液和饱和CaWO 溶液等体积混合:c(WO)<c(Ca2+)<c(H+)<c(OH-) 2 4 D.d点的CaWO 溶液中,加入CaCl 固体,d点溶液组成沿da线向c点移动(假设混合后溶 4 2 液体积不变) 答案 A 解析 由图可知常温下,饱和Ca(OH) 溶液中当c(Ca2+)=10-3 mol·L-1时,c(OH-)= 2 10-2 mol·L-1,K [Ca(OH) ]=10-7,c点当c(Ca2+)=10-6 mol·L-1时,c(WO)=10-4 mol·L- sp 2 1,K (CaWO )=10-10,则 K (CaWO )<K [Ca(OH) ],A 正确;CaO 与水反应,生成 sp 4 sp 4 sp 2 Ca(OH) ,反应放热温度升高,溶解度变小,析出Ca(OH) ,仍为饱和溶液,但溶剂减少, 2 2 则Ca2+数目减少,B错误;Ca(OH) 饱和溶液中c(Ca2+)=≈2.9×10-3 mol·L-1,c(OH-)= 2 5.8×10-3 mol·L-1,则CaWO 饱和溶液中c(WO)=c(Ca2+)==10-5 mol·L-1,因此等体积混 4 合后溶液中c(H+)<c(Ca2+),C错误;d点的CaWO 溶液为不饱和溶液,加入CaCl 固体, 4 2 c(Ca2+)增大,-lg c(Ca2+)减小,c(WO)不变,则d点溶液组成应沿水平线向右移动(假设混 合后溶液体积不变),D错误。 三、沉淀滴定曲线 5.25 ℃时,用0.100 0 mol·L-1的AgNO 溶液分别滴定体积均为 V mL且浓度均为 3 0 0.100 0 mol·L-1的KCl、KBr及KI溶液,其滴定曲线如图。 已知:25 ℃时,AgCl、AgBr及AgI溶度积常数依次为1.8×10-10、5.0×10-13、8.3×10- 17,下列说法正确的是( ) A.V=45.00 0 B.滴定曲线①表示KCl的滴定曲线 C.滴定KCl时,可加入少量的KI作指示剂 D.当AgNO 溶液滴定至60.00 mL时,溶液中c(I-)<c(Br-)<c(Cl-) 3 答案 D 解析 由25 ℃时AgCl、AgBr及AgI的溶度积及图像可知,V =50.00;c(Ag+)由大到小依 0 次是AgCl、AgBr、AgI,所以-lg c(Ag+)从小到大依次为AgCl、AgBr、AgI,所以曲线③、 ②、①依次为KCl、KBr及KI溶液的滴定曲线;在滴定KCl时,不能用KI作指示剂,因为 AgI溶度积更小,更容易沉淀;同理,当AgNO 溶液滴定至60.00 mL时,AgNO 溶液过量 3 3 10.00 mL,溶液中的c(Ag+)相同,所以溶液中c(I-)<c(Br-)<c(Cl-)。 6.(2022·湖南师范大学附属中学模拟)T K时,现有25 mL含KCl和KCN的溶液,用 0.100 0 mol·L-1的硝酸银标准溶液对该混合液进行电位滴定(CN-与H+的反应可以忽略),获得电动势(E)和硝酸银标准溶液体积(V)的电位滴定曲线如图所示,曲线上的转折点即为化学 计量点。已知: Ⅰ.Ag+与CN-反应过程为 ①Ag++2CN-===[Ag(CN) ]- 2 ②[Ag(CN) ]-+Ag+===2AgCN 2 Ⅱ.T K时,K (AgCN)=2×10-16,K (AgCl)=2×10-10。 sp sp Ⅲ.当溶液中CN-浓度较大时,通常难以形成AgCN沉淀。 下列说法错误的是( ) A.V=5.00,B点时生成AgCN 1 B.c(KCN)=0.020 00 mol·L-1,c(KCl)=0.030 00 mol·L-1 C.若反应①的平衡常数为K ,反应②的平衡常数为K ,则K +K =2K (AgCN) 1 2 1 2 sp D.C点时,溶液中=106 答案 C 解析 溶度积常数表达式相同时,溶度积小的先生成沉淀,曲线上的转折点即为化学计量点, 结合方程式①②知,B点生成AgCN,B点消耗硝酸银溶液的体积是 A点的2倍,则V = 1 5.00,故A项正确;A点生成[Ag(CN) ]-,根据方程式①知c(KCN)==0.020 0 mol·L-1,B 2 点KCN完全和AgNO 反应生成AgCN,V =5.00,则KCl和硝酸银完全反应消耗V(AgNO) 3 1 3 =(12.50-5.00) mL=7.50 mL,则c(KCl)==0.030 0 mol·L-1,故B项正确;反应①的平衡 常数为K ,反应②的平衡常数为K ,得Ag++CN-===AgCN,K (AgCN)=,故C项错误; 1 2 sp C点溶液中===106,故D项正确。 1.(2021·全国甲卷,12)已知相同温度下,K (BaSO)<K (BaCO)。某温度下,饱和溶液中 sp 4 sp 3 -lg [c(SO)]、-lg[c(CO)]与-lg[c(Ba2+)]的关系如图所示。下列说法正确的是( ) A.曲线①代表BaCO 的沉淀溶解曲线 3B.该温度下BaSO 的K (BaSO)值为1.0×10-10 4 sp 4 C.加适量BaCl 固体可使溶液由a点变到b点 2 D.c(Ba2+)=10-5.1时两溶液中= 答案 B 解析 由题可知,曲线上的点均为饱和溶液中微粒浓度关系,由题及图像分析可知,曲线① 为BaSO 的沉淀溶解曲线,选项A错误;曲线①为BaSO 溶液中-lg[c(Ba2+)]与-lg[c(SO)] 4 4 的关系,由图可知,当溶液中-lg[c(Ba2+)]=3时,-lg[c(SO)]=7,则-lg[K (BaSO)]=7+ sp 4 3=10,因此K (BaSO)=1.0×10-10,选项B正确;向饱和BaCO 溶液中加入适量BaCl 固 sp 4 3 2 体后,溶液中c(Ba2+)增大,根据温度不变则K (BaCO)不变可知,溶液中c(CO)将减小,因 sp 3 此a点将沿曲线②向左上方移动,选项C错误;由图可知,当溶液中c(Ba2+)=10-5.1 mol·L-1 时,两溶液中= ,选项D错误。 2.(2022·海南,14 改编)某元素 M 的氢氧化物 M(OH) (s)在水中的溶解反应为: 2 M(OH) (s)M2+(aq)+2OH-(aq)、M(OH) (s)+2OH-(aq)M(OH)(aq),25 ℃,-lg c与pH 2 2 的关系如图所示,c为M2+或M(OH)浓度的值。下列说法错误的是( ) A.曲线①代表-lg c(M2+)与pH的关系 B.M(OH) 的K 约为1×10-17 2 sp C.向c(M2+)=0.1 mol·L-1的溶液中加入 NaOH溶液至pH=9.0,体系中元素 M主要以 M(OH) (s)存在 2 D.向c=0.1 mol·L-1的溶液中加入等体积0.4 mol·L-1的HCl后,体系中元素M主要以M2+ 存在 答案 D 解析 由题干信息可知,随着pH增大,c(OH-)增大,则c(M2+)减小,c[M(OH)]增大,即- lg c(M2+)增大,-lg c[M(OH)]减小,因此曲线①代表-lg c(M2+)与pH的关系,曲线②代 表-lg c[M(OH)]与pH的关系,A正确;由图像可知,pH=7.0时,-lg c(M2+)=3.0,则 M(OH) 的K =c(M2+)·c2(OH-)=1×10-17,B正确;根据图像可知,pH=9.0时,c(M2+)、 2 sp c[M(OH)]均极小,则体系中元素 M 主要以 M(OH) (s)存在,C 正确;由曲线②可知, 2c[M(OH)]=0.1 mol·L-1时pH≈14.5,则c(OH-)=100.5 mol·L-1>3 mol·L-1,因此加入等体 积0.4 mol·L-1的HCl后,c(OH-)减小,平衡M(OH) (s)+2OH-(aq)[M(OH)](aq)逆向移动, 2 因HCl的量不能使M(OH) 溶解,所以体系中M不可能主要以M2+存在,D错误。 2 3.(2022·湖南,10)室温时,用0.100 mol·L-1的标准AgNO 溶液滴定15.00 mL浓度相等的 3 Cl-、Br-和I-混合溶液,通过电位滴定法获得 lg c(Ag+)与V(AgNO)的关系曲线如图所示 3 [忽略沉淀对离子的吸附作用。若溶液中离子浓度小于1.0×10-5 mol·L-1时,认为该离子沉 淀完全。K (AgCl)=1.8×10-10,K (AgBr)=5.4×10-13,K (AgI)=8.5×10-17]。下列说法正 sp sp sp 确的是( ) A.a点:有白色沉淀生成 B.原溶液中I-的浓度为0.100 mol·L-1 C.当Br-沉淀完全时,已经有部分Cl-沉淀 D.b点:c(Cl-)>c(Br-)>c(I-)>c(Ag+) 答案 C 解析 根据三种沉淀的溶度积常数,三种离子沉淀的先后顺序为I-、Br-、Cl-,根据滴定 图示,当滴入4.50 mL硝酸银溶液时,Cl-恰好沉淀完全,此时共消耗硝酸银的物质的量为 4.50×10-3 L×0.100 mol·L-1=4.5×10-4 mol,所以Cl-、Br-和I-均为1.5×10-4 mol。I- 先沉淀,所以a点有黄色沉淀AgI生成,I-的浓度为=0.010 mol·L-1,故A、B错误;当Br -沉淀完全时(Br-浓度为1.0×10-5 mol·L-1),溶液中的c(Ag+)== mol·L-1=5.4×10-8 mol·L-1,则此时溶液中的c(Cl-)== mol·L-1≈3.3×10-3 mol·L-1,原溶液中的c(Cl-)=c(I -)=0.010 mol·L-1,则已经有部分Cl-沉淀,故C正确;b点加入了过量的硝酸银溶液,Ag +浓度最大,故D错误。 4.(2022·山东,14)工业上以SrSO (s)为原料生产SrCO (s),对其工艺条件进行研究。现有 4 3 含SrCO (s)的0.1 mol·L-1、1.0 mol·L-1 Na CO 溶液,含SrSO (s)的0.1 mol·L-1、1.0 mol·L- 3 2 3 4 1 Na SO 溶液。在一定pH范围内,四种溶液中lg [c(Sr2+)/mol·L-1]随pH的变化关系如图所 2 4 示。下列说法错误的是( )A.反应SrSO (s)+CO(aq)SrCO (s)+SO(aq)的平衡常数K= 4 3 B.a=-6.5 C.曲线④代表含SrCO (s)的1.0 mol·L-1 Na CO 溶液的变化曲线 3 2 3 D.对含SrSO (s)且NaSO 和NaCO 初始浓度均为1.0 mol·L-1的混合溶液,pH ≥7.7时才 4 2 4 2 3 发生沉淀转化 答案 D 解析 硫酸是强酸,随着溶液pH变化,溶液中硫酸根离子浓度几乎不变,则含硫酸锶固体 的硫酸钠溶液中锶离子的浓度几乎不变,pH相同时,溶液中硫酸根离子浓度越大,锶离子 浓度越小,所以曲线①代表含硫酸锶固体的0.1 mol·L-1硫酸钠溶液的变化曲线,曲线②代 表含硫酸锶固体的1.0 mol·L-1硫酸钠溶液的变化曲线;碳酸是弱酸,溶液pH越小,溶液中 碳酸根离子浓度越小,锶离子浓度越大,pH相同时,1.0 mol·L-1碳酸钠溶液中碳酸根离子 浓度大于0.1 mol·L-1碳酸钠溶液,则曲线③表示含碳酸锶固体的0.1 mol·L-1碳酸钠溶液的 变化曲线,曲线④表示含碳酸锶固体的1.0 mol·L-1碳酸钠溶液的变化曲线,故C正确;反 应SrSO (s)+CO(aq)SrCO (s)+SO(aq)的平衡常数K===,故A正确;曲线①代表含硫 4 3 酸锶固体的0.1 mol·L-1硫酸钠溶液的变化曲线,则硫酸锶的溶度积K (SrSO )=10-5.5×0.1 sp 4 =10-6.5,温度不变,溶度积不变,则在曲线②中溶液pH为7.7时,锶离子的浓度为 mol·L -1=10-6.5 mol·L-1,则a为-6.5,故B正确;对含SrSO (s)且NaSO 和NaCO 初始浓度均 4 2 4 2 3 为1.0 mol·L-1的混合溶液中锶离子浓度为10-6.5 mol·L-1,根据图示,pH≥6.9时锶离子浓 度降低,所以pH≥6.9时发生沉淀转化,故D错误。 课时精练 1.常温下,K (CaCO)=2.8×10-9,CaSO 在水中的沉淀溶解平衡曲线如图所示。下列判 sp 3 4 断错误的是( )A.a点是CaSO 的饱和溶液而b点不是 4 B.蒸发水可使溶液由b点变化到a点 C.常温下,CaCO (s)+SO(aq)CaSO(s)+CO(aq)的K=3.1×10-4 3 4 D.除去锅炉中的CaSO 时,可用NaCO 溶液将其转化为CaCO 4 2 3 3 答案 B 解析 a点位于沉淀溶解平衡曲线上,所以为饱和溶液,b点位于曲线下方,为不饱和溶液, 故A正确;b点和a点溶液中硫酸根离子浓度相同,蒸发水硫酸根离子和钙离子浓度均会增 大,无法变化到a点,故B错误;对于反应CaCO (s)+SO(aq)CaSO(s)+CO(aq)平衡常 3 4 数K====≈3.1×10-4,故C正确;常温下K (CaSO)>K (CaCO),二者为同类型沉淀, sp 4 sp 3 硫酸钙的溶解度大于碳酸钙的溶解度,所以NaCO 溶液可将CaSO 转化为CaCO ,故D正 2 3 4 3 确。 2.常温下,取一定量的PbI 固体配成饱和溶液,t时刻改变某一条件,离子浓度变化如图所 2 示。下列有关说法正确的是( ) A.常温下,PbI 的K 为2×10-6 2 sp B.温度不变,向PbI 饱和溶液中加入少量硝酸铅浓溶液,平衡向左移动,Pb2+的浓度减小 2 C.温度不变,t时刻改变的条件可能是向溶液中加入了KI固体,PbI 的K 增大 2 sp D.常温下,K (PbS)=8×10-28,向PbI 的悬浊液中加入 NaS溶液,反应 PbI (s)+S2- sp 2 2 2 (aq)PbS(s)+2I-(aq)的平衡常数为5×1018 答案 D 解析 根据图像知,常温下平衡时溶液中 c(Pb2+)、c(I-)分别是1×10-3mol·L-1、2×10- 3mol·L-1,因此K (PbI )=c(Pb2+)·c2(I-)=4×10-9,A错误;PbI 饱和溶液中存在平衡: sp 2 2 PbI (s)Pb2+(aq)+2I-(aq),温度不变,向PbI 饱和溶液中加入少量硝酸铅浓溶液,Pb2+浓 2 2 度增大,平衡逆向移动,最终平衡时Pb2+浓度仍然比原平衡时大,B错误;根据图像知,t 时刻改变的条件是增大I-的浓度,温度不变,PbI 的K 不变,C错误;反应PbI (s)+S2- 2 sp 2 (aq) PbS(s)+2I-(aq)的平衡常数K===5×1018,D正确。 3.T ℃时,向5 mL a mol·L-1 BaCl 溶液中逐滴加入0.1 mol·L-1 Na CO 溶液,滴加过程 2 2 3 中溶液的-lg c(Ba2+)与NaCO 溶液体积(V)的关系如图所示,下列说法正确的是[已知:lg 5 2 3 =0.7,K (BaSO)=1.0×10-10]( ) sp 4A.A、B两点溶液中c(Ba2+)之比为2 000∶3 B.a=10-4.3 C.T ℃时,C点对应的含BaCO 的分散系很稳定 3 D.若用同浓度的NaSO 溶液代替NaCO 溶液,则图像在A点后的变化曲线如虚线部分 2 4 2 3 答案 A 解析 由图可知,当未加入碳酸钠溶液时,V=0、-lg c(Ba2+)=1,则a=0.1,A点氯化钡 溶液与碳酸钠溶液恰好完全反应,溶液中c(Ba2+)=c(CO)=10-4.3 mol·L-1,则碳酸钡的溶度 积K (BaCO)=c(Ba2+)·c(CO)=10-4.3×10-4.3=10-8.6。B点碳酸钠溶液过量,溶液中c(CO) sp 3 == mol·L-1,由溶度积可知溶液中c(Ba2+)== mol·L-1=3×10-7.6 mol·L-1,则A、B两 点溶液中c(Ba2+)之比为,由lg 5=0.7可知,103.3=2 000,则=,故A项正确,B项错误; 由图可知,T ℃时,C点溶液中离子积Q大于溶度积K ,能析出沉淀,分散系是不稳定的 sp 悬浊液,故C项错误;碳酸钡的溶度积K (BaCO)=1.0×10-8.6>K (BaSO)=10-10,则图 sp 3 sp 4 中横坐标为5~10的曲线应该在实线的上面,故D项错误。 4.一定温度下,将足量的BaSO 固体溶于50 mL水中,充分搅拌,慢慢加入NaCO 固体, 4 2 3 随着c(CO)增大,溶液中c(Ba2+)的变化曲线如图所示。下列说法不正确的是( ) A.该温度下,K (BaSO)<K (BaCO) sp 4 sp 3 B.加入NaCO 固体,立即有BaCO 固体生成 2 3 3 C.BaCO 的K =2.5×10-9 3 sp D.曲线BC段内,=25 答案 B 解析 当c(CO)=0时,c(SO)=c(Ba2+)=1.0×10-5 mol·L-1,故BaSO 的溶度积K (BaSO) 4 sp 4 =1.0×10-5×1.0×10-5=1.0×10-10。由题图可知当c(CO)>2.5×10-4 mol·L-1时,开始有 BaCO 生成,BaCO 的溶度积K (BaCO)=2.5×10-4×1.0×10-5=2.5×10-9,A、C项正确, 3 3 sp 3 B项错误;曲线BC段内,BaSO(s)和BaCO (s)在溶液中都达到了沉淀溶解平衡状态,故= 4 3 ===25,D项正确。 5.常温下,Fe(OH) 和Cu(OH) 沉淀溶解平衡曲线如图所示。下列有关说法正确的是( ) 3 2A.K [Fe(OH) ]>K [Cu(OH) ] sp 3 sp 2 B.a、b、c、d四点的K 不同 w C.在Fe(OH) 饱和溶液中加入适量硝酸钾晶体可使a点变到b点 3 D.d点时的Cu(OH) 溶液为不饱和溶液 2 答案 D 解析 根据图示,b点c(Fe3+)与c点c(Cu2+)相等,而b点c(OH-)=10-12.7 mol·L-1,c点 c(OH-)=10-9.6 mol·L-1,根据K [Fe(OH) ]=c(Fe3+)·c3(OH-),K [Cu(OH) ]=c(Cu2+)·c2(OH sp 3 sp 2 -),显然K [Fe(OH) ]<K [Cu(OH) ],A项错误;a、b、c、d四点的温度相同,K 相同,B sp 3 sp 2 w 项错误;在Fe(OH) 饱和溶液中加入适量硝酸钾晶体,对Fe(OH) 的沉淀溶解平衡没有影响, 3 3 C项错误;d点位于Cu(OH) 沉淀溶解平衡曲线左方,为不饱和溶液,D项正确。 2 6.(2022·山东名校联盟联考)要使工业废水中的Pb2+沉淀,可用硫酸盐、碳酸盐等作沉淀剂。 已知某温度时,K (PbSO )=1.6×10-8,K (PbCO )=7.4×10-21,p(Pb)=-lg c(Pb2+),p(B) sp 4 sp 3 =-lg c(SO)或-lg c(CO)。为研究沉淀效果,在物质的量浓度相同的 NaSO 和NaCO 的 2 4 2 3 混合溶液中滴加PbCl 溶液产生两种沉淀(温度升高,PbSO 、PbCO 的K 均增大),上述反 2 4 3 sp 应过程溶液中离子浓度的负对数关系如图所示。下列说法错误的是( ) A.常温下PbSO 的溶解度大于PbCO 的溶解度 4 3 B.向d点对应的溶液中加入对应阴离子的钠盐,溶液组成由d点向b点方向移动 C.e约为4且对应的阴离子是SO D.对于曲线Ⅰ,对b点的溶液加热(忽略水分蒸发),溶液组成由b点向c点移动 答案 D 解析 PbSO 、PbCO 属于同种类型沉淀,根据题中条件,K (PbSO )=1.6×10- 4 3 sp 4 8>K (PbCO )=7.4×10-21,故相同条件下,PbSO 溶解度大于 PbCO ,A 正确; sp 3 4 3 K (PbSO )>K (PbCO ),相同条件下,PbSO 对应溶液中离子浓度大,故曲线Ⅰ代表 sp 4 sp 3 4 PbCO ,曲线Ⅱ代表PbSO ,d点存在沉淀溶解平衡:PbCO (s)Pb2+(aq)+CO(aq),加入 3 4 3 NaCO ,c(CO)增大,平衡逆向移动,c(Pb2+)减小,d点向b点方向移动,B正确;曲线Ⅱ 2 3代表PbSO ,a点c(Pb2+)=c(SO),K (PbSO )=c(Pb2+)·c(SO)=1.6×10-8,所以e点c(Pb2+) 4 sp 4 =c(SO)≈1.26× 10-4 mol·L-1,p(SO)=-lg(1.26×10-4)≈4,C正确;对于曲线Ⅰ, 加热b点对应溶液,K (PbCO )增大,Pb2+、CO浓度均增大,b点向a点方向移动,D错误。 sp 3 7.(2022·河南新乡模拟)已知:AgA、Ag B都是难溶盐。室温下,向体积均为10 mL、浓度 2 均为0.1 mol·L-1的NaA溶液、NaB溶液中分别滴加0.1 mol·L-1的AgNO 溶液,溶液中pX 2 3 与AgNO 溶液体积的关系如图所示[已知:pX=-lg c(A—)或-lg c(B2—)]。下列推断错误的 3 是( ) A.室温下,K (Ag B)=4×10-3a sp 2 B.对应溶液中c(Ag+):e>f C.室温下,溶解度:S(AgA)10-8.8 mol·L-1,因此会先析出 AgCl 沉淀,C 正确;向 Ag CrO 、AgCl混合固体和水的溶解平衡体系中加入少量水,其中仍然存在 Ag CrO 、AgCl 2 4 2 4 的沉淀溶解平衡,温度不变,所以=不变,D错误。 11. 在湿法炼锌的电解循环溶液中,较高浓度的Cl-会腐蚀阳极板而增大电解能耗。可向溶 液中同时加入Cu和CuSO ,生成CuCl沉淀从而除去Cl-。根据溶液中平衡时相关离子浓度 4 的关系图,下列说法错误的是( ) A.K (CuCl)的数量级为10-7 sp B.除Cl-的反应为Cu+Cu2++2Cl-===2CuClC.加入Cu越多,Cu+浓度越高,除去Cl-的效果越好 D.2Cu+(aq) Cu2+(aq)+Cu(s)平衡常数很大,反应趋于完全 答案 C 解析 A项,根据CuCl(s)Cu+(aq)+Cl-(aq)可知K (CuCl)=c(Cu+)·c(Cl-),由图像可知, sp 横坐标为1时,lg c(Cu+)>-6,则K (CuCl)的数量级为10-7,正确;B项,由题干中“可 sp 向溶液中同时加入Cu和CuSO ,生成CuCl沉淀从而除去Cl-”可知Cu、Cu2+与Cl― 可以 4 发生反应生成CuCl沉淀,正确;C项,Cu(s)+Cu2+(aq)2Cu+(aq),固体对平衡无影响, 故增加固体Cu的量,平衡不移动,错误;D项,2Cu+(aq)Cu(s)+Cu2+(aq),反应的平衡 常数 K=,从图中两条曲线上任取横坐标相同的 c(Cu2+)、c(Cu+)两点代入计算可得 K≈106,反应的平衡常数较大,反应趋于完全,正确。 12.(2022·济南调研)已知:pAg=-lg c(Ag+),K (AgCl)=1×10-12。如图是向 10 mL sp AgNO 溶液中逐渐加入0.1 mol·L-1的NaCl溶液时,溶液的pAg随着加入NaCl溶液的体积 3 变化的图像(实线)。根据图像回答下列问题[提示:K (AgCl)>K (AgI)]: sp sp (1)原AgNO 溶液的物质的量浓度为_____________________________________mol·L-1。 3 (2)图中在x点时加入NaCl的体积为________________。 (3)相同温度下,AgCl在热水中溶解度__________(填“>”“<”或“=”)在NaCl溶液中 的溶解度。 (4)若将0.1 mol·L-1的NaCl溶液换成0.1 mol·L-1 NaI溶液,用虚线在原图中画出x点后的图 像。 答案 (1)1 (2)100 mL (3)> (4) 解析 (1)加入NaCl之前,pAg=0,所以c(AgNO)=1 mol·L-1。 3 (2)由于c(Ag+)=10-6 mol·L-1,所以Ag+沉淀完全,n(NaCl)=n(AgNO)=0.01 L×1 mol·L- 3 1=0.01 mol,所以V(NaCl)=100 mL。 (3)AgCl在水中存在沉淀溶解平衡:AgCl(s)Ag+(aq)+Cl-(aq),相同温度下,c(Cl-)增大,平衡逆向移动,溶解度减小,温度升高,平衡右移,溶解度增大。 (4)若把NaCl换成NaI,由于K (AgI)更小,所以c(Ag+)更小,pAg更大。 sp