当前位置:首页>文档>第7章平面直角坐标系(单元测试·培优卷)-(人教版)_初中数学_七年级数学下册(人教版)_专题突破练习-V4

第7章平面直角坐标系(单元测试·培优卷)-(人教版)_初中数学_七年级数学下册(人教版)_专题突破练习-V4

  • 2026-04-09 21:53:26 2026-03-28 05:40:52

文档预览

第7章平面直角坐标系(单元测试·培优卷)-(人教版)_初中数学_七年级数学下册(人教版)_专题突破练习-V4
第7章平面直角坐标系(单元测试·培优卷)-(人教版)_初中数学_七年级数学下册(人教版)_专题突破练习-V4
第7章平面直角坐标系(单元测试·培优卷)-(人教版)_初中数学_七年级数学下册(人教版)_专题突破练习-V4
第7章平面直角坐标系(单元测试·培优卷)-(人教版)_初中数学_七年级数学下册(人教版)_专题突破练习-V4
第7章平面直角坐标系(单元测试·培优卷)-(人教版)_初中数学_七年级数学下册(人教版)_专题突破练习-V4
第7章平面直角坐标系(单元测试·培优卷)-(人教版)_初中数学_七年级数学下册(人教版)_专题突破练习-V4
第7章平面直角坐标系(单元测试·培优卷)-(人教版)_初中数学_七年级数学下册(人教版)_专题突破练习-V4
第7章平面直角坐标系(单元测试·培优卷)-(人教版)_初中数学_七年级数学下册(人教版)_专题突破练习-V4
第7章平面直角坐标系(单元测试·培优卷)-(人教版)_初中数学_七年级数学下册(人教版)_专题突破练习-V4
第7章平面直角坐标系(单元测试·培优卷)-(人教版)_初中数学_七年级数学下册(人教版)_专题突破练习-V4
第7章平面直角坐标系(单元测试·培优卷)-(人教版)_初中数学_七年级数学下册(人教版)_专题突破练习-V4
第7章平面直角坐标系(单元测试·培优卷)-(人教版)_初中数学_七年级数学下册(人教版)_专题突破练习-V4
第7章平面直角坐标系(单元测试·培优卷)-(人教版)_初中数学_七年级数学下册(人教版)_专题突破练习-V4
第7章平面直角坐标系(单元测试·培优卷)-(人教版)_初中数学_七年级数学下册(人教版)_专题突破练习-V4
第7章平面直角坐标系(单元测试·培优卷)-(人教版)_初中数学_七年级数学下册(人教版)_专题突破练习-V4
第7章平面直角坐标系(单元测试·培优卷)-(人教版)_初中数学_七年级数学下册(人教版)_专题突破练习-V4
第7章平面直角坐标系(单元测试·培优卷)-(人教版)_初中数学_七年级数学下册(人教版)_专题突破练习-V4
第7章平面直角坐标系(单元测试·培优卷)-(人教版)_初中数学_七年级数学下册(人教版)_专题突破练习-V4
第7章平面直角坐标系(单元测试·培优卷)-(人教版)_初中数学_七年级数学下册(人教版)_专题突破练习-V4
第7章平面直角坐标系(单元测试·培优卷)-(人教版)_初中数学_七年级数学下册(人教版)_专题突破练习-V4
第7章平面直角坐标系(单元测试·培优卷)-(人教版)_初中数学_七年级数学下册(人教版)_专题突破练习-V4
第7章平面直角坐标系(单元测试·培优卷)-(人教版)_初中数学_七年级数学下册(人教版)_专题突破练习-V4
第7章平面直角坐标系(单元测试·培优卷)-(人教版)_初中数学_七年级数学下册(人教版)_专题突破练习-V4
第7章平面直角坐标系(单元测试·培优卷)-(人教版)_初中数学_七年级数学下册(人教版)_专题突破练习-V4
第7章平面直角坐标系(单元测试·培优卷)-(人教版)_初中数学_七年级数学下册(人教版)_专题突破练习-V4
第7章平面直角坐标系(单元测试·培优卷)-(人教版)_初中数学_七年级数学下册(人教版)_专题突破练习-V4
第7章平面直角坐标系(单元测试·培优卷)-(人教版)_初中数学_七年级数学下册(人教版)_专题突破练习-V4

文档信息

文档格式
docx
文档大小
3.196 MB
文档页数
23 页
上传时间
2026-03-28 05:40:52

文档内容

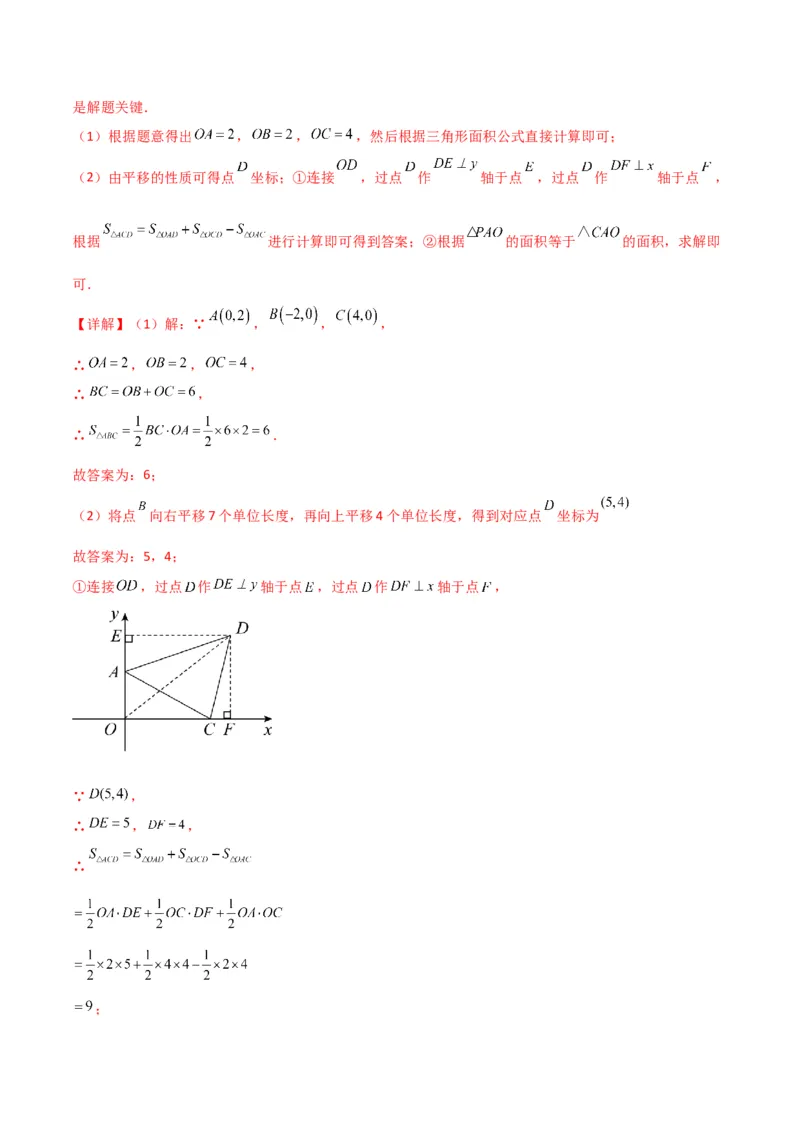
第7 章 平面直角坐标系(单元测试·培优卷) 一、单选题(本大题共10小题,每小题3分,共30分) 1.根据下列表述,不能确定一点的具体位置的是( ) A.东经122°,北纬43.6° B.礼堂6排22号 C.西安市高新路 D.港口南偏东60°方向上距港口10海里 2.已知 , 是平面直角坐标系上的两个点, 轴,且点B在点A的右侧. 若 ,则( ) A. , B. , C. , D. , 3.已知 ,则点 在( ) A.第一象限 B.第二象限 C.第三象限 D.第四象限 4.如图,已知点 ,点 在线段 上运动,当 时, 的取 值范围为( ) A. B. C. D. 5.若 ,则点 在( ) A.第一象限 B.第二象限 C.第三象限 D.第四象限 6. 平移后得到 ,点 对应的点是 ,则点 对应的 点 、点 对应的点 的坐标分别是( ). A. B. C. D.7.如图,在平面直角坐标系中,将四边形ABCD平移得到四边形ABC D,点E,E 分别是 1 1 1 1 1 两个四边形对角线的交点.已知E(3,2),E(﹣4,5),C(4,0),则点C 的坐标为 1 1 ( ) A.(﹣3,3) B.(1,7) C.(﹣4,2) D.(﹣4,1) 8.如图,在 中,顶点A在x轴的负半轴上,且 ,顶点B的坐标为 , P为AB边的中点,将 沿x轴向右平移,当点A落在 上时,点P的对应点 的坐 标为( ) A. B. C. D. 9.如图,将边长为1的正方形 沿 轴正方向连续翻转2014次,点 依次落在点 、 的位置,则点 的横坐标为( ) A.1343 B.1510 C.1610 D.2014 10.蜂巢结构精巧,其巢房横截面的形状均为正六边形.如图是部分巢房的横截面图,图中 全等的正六边形不重叠且无缝隙,将其放在平面直角坐标系中,点P,Q, , , ,……均为正六边形的顶点.若点P,Q的坐标分别为 , ,则点 的坐标 为( ) A. B. C. D. 二、填空题(本大题共8小题,每小题4分,共32分) 11.如图,若“帅”位于点 ,“马”位于点 ,则“兵”位于点 . 12.已知点 在x轴上,点 在y轴上,则 的中点C的坐标是 . 13.若点 在第二象限,则a的取值范围 . 14.在平面直角坐标系内,以点P(1,1)为圆心、 为半径作圆,则该圆与y轴的交点坐 标是 . 15.如图,在平面直角坐标系 中,已知点 , , , , , .将线段 , , 沿 轴或 轴方向平移后,恰好组成一个首尾相 接的三角形.若点 与点 平移后的对应点均为点 ,则线段 需先向左平移 个单 位长度,再向上平移 个单位长度.16.如图,点O,M,A,B,C在同一平面内.若规定点A的位置记为 ,点B的位置 记为 ,则点C的位置应记为 . 17.枫枫刚自学了直角坐标系,他按某种方法在坐标系上找点,已知第一个点的坐标为 ,第 个点的坐标为 ( 为自然数,且 ),其中 , ,其中 表示非负实数 的整数部分. 按照这样的方法,第 个点的坐标为 . 18.定义:在平面直角坐标系xOy中,把从点P出发沿纵或横方向到达点 至多拐一次弯 的路径长称为P,Q的“实际距离” 如图,若 , ,则P,Q的“实际距离”为 5,即 或 环保低碳的共享单车,正式成为市民出行喜欢的交通工具 设 A,B两个小区的坐标分别为 , ,若点 表示单车停放点,且满足M到 A,B的“实际距离”相等,则 .三、解答题(本大题共6小题,共58分) 19.(8分)在平面直角坐标系中,已知点 . (1)若点M在x轴上,求m的值; (2)若点 ,且直线 轴,求线段 的长. 20.(8分)如图在直角梯形 中, , , , . (1)求点 、 、 的坐标; (2)求 的面积. 21.(10分)如图,在平面直角坐标系中, , ,若点C在y轴右侧, 轴且 . (1)求点C的坐标; (2)在图中画出 ,并求 的面积: (3)若点P在x轴上运动,连接AP,当线段AP长度最小时,点P的坐标为_____依据是 _______.22.(10分)如图,在平面直角坐标系 中,已知点 , ,将线段 先向 右平移2个单位长度,再向上平移4个单位长度,使得点 平移到点 ,点 平移到点 . (1)直接写出点A和点 的坐标,并证明 ; (2)连接 ,求三角形 的面积; (3)在坐标轴上是否存在点 ,使三角形 的面积等于三角形 的面积的一半?若存 在,求出点 的坐标,若不存在,请说明理由. 23.(10分)在平面直角坐标系中, 为原点,点 , , . (1)如图①,则三角形 的面积为______; (2)如图②,将点 向右平移7个单位长度,再向上平移4个单位长度,得到对应点 坐标 为(______, ______).①求 的面积; ②点 是一动点,若 的面积等于 的面积,直接写出点 坐标. 24.(12分)如图 ,在平面直角坐标系中,点 , 的坐标分别为 , ,且 , 满足 ,现将线段 先向上平移 个单位长度,再向右平移 个单位 长度得到线段 ,其中点 对应点为 ,点 对应点为 ,连接 , . (1)请直接写出 , 两点的坐标; (2)如图 ,点 是线段 上的一个动点,点 是线段 的一个定点,连接 , , 当点 在线段 上移动时(不与 , 重合),探究 , , 之间的数 量关系,并说明理由; (3)在坐标轴上是否存在点 ,使三角形 的面积与三角形 的面积相等?若存在, 请求出点 的坐标;若不存在,试说明理由.参考答案: 1.C 【解析】略 2.B 【分析】本题考查了坐标与图形,点到坐标轴的距离以及数轴上两点的距离,由 轴可知, 、 两 点纵坐标相同,即可得到 的值,再利用数轴上两点的距离公式,即可求出 的值. 【详解】解: , 是平面直角坐标系上的两个点,且 轴, , 点B在点A的右侧,且 , , , 故选:B. 3.B 【分析】本题考了非负数的性质和各象限内点坐标的特征,求出a,b的值是解题的关键. 根据非负数的性质求出a,b的值,结合各象限内点坐标的特征即可得出答案. 【详解】 , , 而 , , , , , 点 在第二象限 故选:B. 4.C 【分析】本题考查了点关于轴对称,求坐标,结合 ,利用数形结合思想解答即可. 【详解】根据题意,得 , 故点关于轴的对称点 ,且 ,∵ , ∴ , 故点一定在点的下方,且最低端与点重合, ∴ , 故选C. 5.B 【分析】本题考查了点所在的象限:第一象限: ,第二象限: ,第三象限: ,第四象限: ,据此即可作答. 【详解】解:∵ ∴ ∴点 在第二象限, 故选:B 6.A 【分析】本题考查了平移的性质,先根据点 对应的点是 判断出平移的方式,再根据 平移的方式求出 对应的点 、点 对应的点 的坐标即可. 【详解】解: 点 向右平移4个单位,向上平移5个单位得到 , 则 .故选:A. 7.A 【分析】由E(3,2),E(﹣4,5),确定平移方式,再根据平移方式可得点C 的坐标,从而可得答案. 1 1 【详解】解:E(3,2),E(﹣4,5),且它们是对应点, 1 向左边平移了7个单位,再向上平移了3个单位, C(4,0), 点C 的坐标为 即 1 故选A 【点拨】本题考查的是由坐标变化确定平移方式,再利用平移方式确定对应点的坐标,掌握“平移的坐标 变化规律”是解题的关键. 8.D 【分析】先求出点A的坐标,然后利用中点坐标公式求出点P的坐标,将点P和点A向右平移相同的单位 长度即可. 【详解】解:过点B作 轴,垂足为D,如图, ∵B , , 为等腰直角三角形, , , , ∵P为AB边的中点, ,即 , 当点A落在 上时,相当于将A水平向右平移了5个单位长度,将 向右平移5个单位长度后 ,即 , 故选:D. 【点拨】本题考查了坐标与图形中的点的平移,等腰直角三角形的性质,中点坐标公式等,得到 是由P 向右平移5个单位长度得到的是解决这题的关键. 9.D 【分析】本题考查了探究规律,利用规律即可解决问题,涉及坐标与图形变化-对称、规律型:点的坐标, 先根据题意写出已知点的坐标,再找到规律为次数是2的奇数倍的偶数,位于x轴上,横坐标为这个翻转 次数;次数是2的偶数倍的偶数,位于x轴的上方,横坐标为这个翻转次数加上1;据此作答即可. 【详解】解:由题意 , , , , 次数是2的奇数倍的偶数,位于x轴上,横坐标为这个翻转次数;次数是2的偶数倍的偶数,位于x轴的 上方,横坐标为这个翻转次数加上1; ∵ ,是奇数, 点 的横坐标为2014, 故选:D. 10.D 【分析】本题考查了图形与坐标,解题的关键是仔细观察、找出点与点之间的位置关系. 根据点坐标的含意并结合几何图形的性质即可求解. 【详解】过点P作 轴,垂足为R;过点 作x轴的垂线,垂足为S.连接 .如图. ∵点P、Q的坐标分别为 , ∴ , . 由题意可知,所有正六边形都是全等的,且 平行于x轴.∴ , 考虑到点 位于第四象限,横坐标为正,纵坐标为负, ∴点 的坐标为 . 故选:D. 11.(-2,2) 【分析】根据“帅”和“马”的位置,可确定原点O的位置,即可得答案. 【详解】解:如下图, ∵“帅”位于点(0,−1),“马”位于点(3,−1), ∴原点O的位置如上图, ∴“兵”位于点(-2,2), 故答案为:(-2,2). 【点拨】本题考查了平面上物体位置的确定,解题的关键是确定原点O的位置. 12. 【分析】根据坐标轴上点的坐标特点求出A、B坐标,再根据线段中点坐标公式,即可得到答案. 【详解】∵ 在x轴上, 在y轴上 ∴ 又∵点C为线段 的中点 ∴ 则故答案为: 【点拨】本题考查的是坐标轴上点的坐标特点以及线段中点坐标公式,解题的关键是熟记线段中点坐标公 式. 13. 【分析】根据第二象限点的坐标特征进行解答即可. 【详解】解:∵第二象限点的坐标特征是横坐标小于0,纵坐标大于0, , . 故答案为: . 【点拨】本题考查了平面直角坐标系各象限点的坐标特征,第二象限点的坐标特征是横坐标小于0是解题 关键. 14.(0,3),(0,﹣1). 【详解】试题分析:以(1,1)为圆心, 为半径画圆,与y轴相交,构成直角三角形,用勾股定理计算 得另一直角边的长为2,则与y轴交点坐标为(0,3)或(0,﹣1).故答案为(0,3),(0,﹣1). 考点:坐标与图形性质. 15. 3 2 【分析】先根据点B与点C平移后的对应点均为点O,得到线段AB,CD的平移规律,得出点A、D平移 后的坐标,即为点F、E平移后坐标,再利用平移的规律得出线段EF的平移单位. 【详解】解:设EF平移后的线段为 ,如图所示: ∵点B与点C平移后的对应点均为点O, ∴线段AB沿y轴向下平移了2个单位长度,点A平移后的坐标为(1,2), 线段CD沿x轴向右平移了3个单位长度,点D平移后的坐标为(2,−1), ∵平移后,恰好组成一个首尾相接的三角形,E(5,−3),F(4,0),∴点E需平移到(2,−1),点F需平移到(1,2), ∵5−3=2,4−3=1,−3+2=−1,0+2=2, ∴线段EF需先向左平移3个单位长度,再向上平移2个单位长度. 故答案为:3;2. 【点拨】本题主要考查了平移变换,正确掌握平移的规律,是解题关键. 16. 【分析】根据已知点的坐标意义得出横坐标为线段长度,纵坐标为其与 夹角的度数即可解答. 【详解】解:∵定点A的位置记为 ,点B的位置记为 . ∴图中点C的位置应记为 . 故选: . 【点拨】本题主要考查了用坐标确定位置,理解已知得出点的坐标意义是解题关键. 17. 【分析】本题考查了坐标位置的确定,根据题目条件找出横坐标和纵坐标的规律是解题的关键,规律性强, 难度较大,根据规律性找出横坐标和纵坐标的规律公式,然后把 代入进行计算即可求解. 【详解】解:当n为偶数时, ; 当n为奇数时, . ∴ 依次为1,2,1,2,…; 依次为1,1,2,2,3,3,…. ∴ , ∴第 个点的坐标为 . 18. . 【分析0 】根据两点间的距离公式可求m的值. 【详解】依题意有 , 解得 ,故答案为0. 【点拨】考查了坐标确定位置,正确理解实际距离的定义是解题关键. 19.(1) (2)6 【分析】本题考查了点的坐标的特点,根据特点,列式计算即可. (1)根据点M在x轴上,得到 求m的值即可. (2)根据点 ,且直线 轴,得到 ,求线段 的长. 【详解】(1)∵点M在x轴上, ∴ , 解得 . (2)∵点 ,且直线 轴, ∴ , 解得 . 故 , ∴线段 的长为 . 20.(1) , , ; (2) . 【分析】( )由点 作 轴于 ,可得四边形 是正方形, 是等腰直角三角形,则 ,可容易得解; ( )可根据直角三角形的面积计算公式直接计算; 此题考查了简单的坐标与图形的知识,解题的关键是运用坐标系确定几何图形的顶点坐标,会结合坐标图 形读出相关信息,求出几何图形的面积. 【详解】(1)∵四边形 是直角梯形, , ∴ , , ∵ , ∴点 在 轴上且 、 有相同的纵坐标, , ,∴点 的坐标为 ,点 的坐标为 , 如图,过点 作 于点 , ∵ , , ∴ 是等腰直角三角形, ∴ , ∵点 在 轴上, ,点 的坐标为 , ∴ ,点 的坐标为 , ∵ , , ∴ , ∵点 的坐标为 , , ∴点 的坐标为 ; (2)由( )可知 , ∵ , , ∴ 的面积 . 21.(1) (2)见解析, 的面积6 (3)见详解 【分析】(1)因为 轴,点C与点 纵坐标相等,点C在y轴右侧,且 ,即可求出横坐标; (2)利用三角形面积求解即可;(3)利用“垂线段最短”,解答即可. 【详解】(1)解: 轴, ,点C在y轴右侧,且 . ∴点C的坐标为: ; 故答案为: ; (2)如图: 的面积:(3) 当线段AP长度最小时,点P的坐标为 ,依据是直线外一点与直线上各点连线中垂线段最短. 【点拨】本题考查了作图-复杂作图,坐标与图形性质,解答本题的关键是准确作图. 22.(1)点 ,点 ,证明见解析 (2) (3)存在, 或 或 或 【分析】本题主要考查了平移的性质、平行线的性质、三角形的面积、坐标与图形等知识,熟练掌握平移 的性质是解此题的关键,同时注意分类讨论思想的运用. (1)本题主要考查利用平移的性质证明两条直线平行,再利用平行线的性质证明 ,对于点 A和点 的坐标, 直接利用平移性质求解即可. (2)本题主要考查利用坐标来求三角形的面积,由于A,B,C都是定点,直接利用三角形的面积定义法 求解即可. (3)本题考查面积存在性问题,利用方程思想解决,由于点 在坐标轴上,长度转化成坐标时,坐标有正 负,注意分类讨论的思想求解,做到不重不漏. 【详解】(1)解:点 ,点 , 由平移的性质可得, , , ∵ , ∴ ,∵ , ∴ , ∴ . (2)∵ , ∴ , ∵ , , ∴ , ∴三角形 的面积为 (3)∵三角形 的面积为10, ∴三角形 的面积为5, ①若点 在 轴上, ∵ , ∴ , ∴ , ∴点 的坐标为 或 ②若点 在 轴上, ∵ , ∴ , ∴ , ∴点 的坐标为 或 , 综上所述,点 的坐标为 或 或 或 . 23.(1)6 (2)5,4;①9;② 或 【分析】本题考查了坐标与图形、点的平移、绝对值方程等知识,掌握运用数形结合的思想分析解决问题是解题关键. (1)根据题意得出 , , ,然后根据三角形面积公式直接计算即可; (2)由平移的性质可得点 坐标;①连接 ,过点 作 轴于点 ,过点 作 轴于点 , 根据 进行计算即可得到答案;②根据 的面积等于 的面积,求解即 可. 【详解】(1)解:∵ , , , ∴ , , , ∴ , ∴ . 故答案为:6; (2)将点 向右平移7个单位长度,再向上平移4个单位长度,得到对应点 坐标为 故答案为:5,4; ①连接 ,过点 作 轴于点 ,过点 作 轴于点 , ∵ , ∴ , , ∴ ;②如下图, 根据题意,点 ,且 , 即有 , 解得 , ∴ 点坐标为 或 . 24.(1) , ; (2) ,见解析; (3) 或 或 或 . 【分析】( )根据非负数的性质求出 , ,即可求出答案; ( )过点 作直线 ,则 ,再判断出 ,即可得出结论; ( )先求出 的面积,再分点 在 轴和 轴上两种情况,根据三角形面积公式建立方程求解,即 可得出答案. 【详解】(1)∵ , ∴ , , ∴ , , ∴ , ; (2) , 理由:如图 ,过点 作直线 ,, 线段 由线段 平移得到, , , , , , , ∴ ; (3)如图,依题意可得 , , , , , , , , 当点 在 轴上时,设点 , 则 , , , 或 ;②当点 在 轴上时,设点 , 则 , , , 或 , 综上所述,存在点 ,使三角形 的面积与三角形 的面积相等,点 的坐标为 或 或 或 . 【点拨】此题考查了非负数的性质,平行线的性质,三角形的面积公式,坐标两点的距离公式,坐标平移 的特征,用分类讨论的思想解决问题是解题的关键.